A Survey Bias Index Based on Unmanned Aerial Vehicle Imagery to Review the Accuracy of Rural Surveys
Abstract
:1. Introduction
2. Methods
2.1. Profile of the Study Area
2.2. Questionnaire and Survey Design
2.3. UAV Survey
2.4. Three-Dimensional Modeling for Visual Interpretation
2.5. Survey Bias Index
3. Results
3.1. Descriptive Statistics
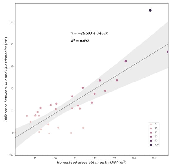
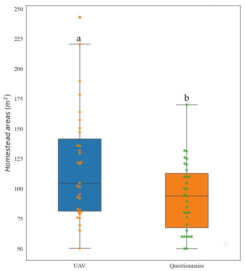
3.2. Areas of Homesteads Identified by Questionnaire and UAV
3.3. SBI in the Rural Homesteads Survey
4. Discussion
5. Conclusions
Funding
Institutional Review Board Statement
Informed Consent Statement
Data Availability Statement
Conflicts of Interest
Declaration of Self-Responsibility for Ethical Issues
References
- Sargeant, J.M.; Martin, S.W. The dependence of kappa on attribute prevalence when assessing the repeatability of questionnaire data. Prev. Vet. Med. 1998, 34, 115–123. [Google Scholar] [CrossRef]
- Lee, J.L.; Simon, M.J.; Basito, C.S. Problems translating a questionnaire in cross-cultural setting. Prev. Vet. Med. 1999, 41, 187–194. [Google Scholar] [CrossRef]
- Stuart, G.S.; Grimes, D.A. Social desirability bias in family planning studies: A neglected problem. Contraception 2009, 80, 108–112. [Google Scholar] [CrossRef]
- Catania, J.A.; Turner, H.; Pierce, R.C.; Golden, E.; Stocking, C.; Binson, D.; Mast, K. Response Bias in Surveys of AIDS-Related Sexual Behavior. In Methodological Issues in AIDS Behavioral Research; Ostrow, D.G., Kessler, R.C., Eds.; Kluwer Academic Publishers: Dordrecht, The Netherlands, 2002; pp. 133–162. [Google Scholar] [CrossRef]
- Moore, J.C.; Stinson, L.L.; Welniak, E.J. Income Measurement Error in Surveys: A Review. J. Off. Stat. 2000, 16, 331–361. [Google Scholar]
- Epstein, W.M. Response bias in opinion polls and American social welfare. Soc. Sci. J. 2006, 43, 99–110. [Google Scholar] [CrossRef]
- Kar, A.; Brauer, M.; Bailis, R.; Zerriffi, H. The risk of survey bias in self-reports vs. actual consumption of clean cooking fuels. World Dev. Perspect. 2020, 18, 100199. [Google Scholar] [CrossRef]
- Tur-Sinai, A.; Fleishman, L.; Romanov, D. The accuracy of self-reported dwelling valuation. J. Hous. Econ. 2020, 48, 101660. [Google Scholar] [CrossRef]
- Tuomela, J.; Kaprio, J.; Sipilȁ, P.N.; Silventoinen, K.; Wang, X.; Ollikainnen, M. Accuracy of self-reported anthropometric measures-Finding from the Finnish twin study. Obes. Res. Clin. Pract. 2019, 13, 522–528. [Google Scholar] [CrossRef]
- Verbeij, T.; Pouwels, J.L.; Beyens, I.; Valkenburg, P.M. The accuracy and validity of self-reported social media use measures among adolescents. Comput. Hum. Behav. Rep. 2021, 3, 100090. [Google Scholar] [CrossRef]
- Nam, S.; Kim, H.; Jeong, D.; Song, Y.; Lee, J.; Jeong, J. Questionnaire accuracy measurement and verification using bio signal sensor based virtual reality head mounted display. IBRO Rep. 2019, 6, 554–5345. [Google Scholar] [CrossRef]
- Zhang, Y.; Wang, Y. Research on the interaction relation between migrant workers citizenization and rural homestead exit. Acad. J. Zhongzhou 2016, 7, 43–48. (In Chinese) [Google Scholar]
- Han, K. The three major contradictions of the rural homestead system. Peoples Trib. 2008, 14, 38–39. (In Chinese) [Google Scholar]
- Li, X.; Li, H.; Wang, X. Farmers’ willingness to convert traditional houses to solar houses in rural areas: A survey of 465 households in Chongqing, China. Energy Policy 2013, 63, 882–886. [Google Scholar] [CrossRef] [Green Version]
- Su, K.; Hu, B.; Shi, K.; Zhang, Z.; Yang, Q. The structural and functional evolution of rural homesteads in mountainous areas: A case study of Sujiaying Village in Yunnan province, China. Land Use Policy 2019, 88, 104100. [Google Scholar] [CrossRef]
- Cao, Q.; Sarker, M.N.I.; Sun, J. Model of the influencing factors of the withdrawal from rural homesteads in China: Application of ground theory method. Land Use Policy 2019, 85, 285–289. [Google Scholar] [CrossRef]
- Ward, P.M.; Peters, P.A. Self-help housing and informal homesteading in peri-urban America: Settlement identification using digital imagery and GIS. Habitat Int. 2007, 31, 201–218. [Google Scholar] [CrossRef]
- Biase, C.; Losco, S. Up-grading illegal building settlements: An urban-planning methodology. Procedia Environ. Sci. 2017, 37, 454–464. [Google Scholar] [CrossRef]
- Li, B.; Tong, D.; Wu, Y.; Li, G. Government-backed ‘laundering of the grey’ in upgrading urban village properties. Prog. Plan. 2019, 146, 100436. [Google Scholar] [CrossRef]
- Sun, L.; Perter, H. Formalizing informal homes, a bad idea: The credibility thesis applied to China’s “extra-legal” housing. Land Use Policy 2018, 79, 891–901. [Google Scholar] [CrossRef]
- Yang, C.; Li, H.; Xu, G.; Xiang, X.; Yang, D. A measure to the building density and floor area ratio of rural settlements based on Da Jiang unmanned aerial vehicle remote sensing. Mt. Res. 2019, 37, 144–150. [Google Scholar]
- Purnamasayangsukasih, R.P.; Norizah, K.; Ismail, A.A.M.; Shamsudin, I. A review of uses of satellite imagery in monitoring mangrove forests. IOP Conf. Ser. Earth Environ. Sci. 2016, 37, 012034. [Google Scholar] [CrossRef]
- Agisoft. Agisoft Photoscan User Manual; Agisoft LLC: St. Petersburg, Russia, 2014; Available online: http://www.agisoft.com/pdf/photoscan-pro_1_1_en.pdf (accessed on 1 January 2022).
- Torres-sánchez, J.; Castro, A.I.; Peňa, J.M.; Jiménez-Brenes, F.M.; Arquero, O.; Lovera, M.; López-Granados, F. Mapping the 3D structure of almond trees using UAV acquired photogrammetric point clouds and object-based image analysis. Biosyst. Eng. 2018, 176, 172–184. [Google Scholar] [CrossRef]
- González-Jaramillo, V.; Fries, A.; Bendix, J. AGB estimation in a tropical mountain forest (TMF) by means of RGB and multispectral images using an unmanned aerial vehicle (UAV). Remote Sens. 2019, 11, 1413. [Google Scholar] [CrossRef] [Green Version]
- Sun, L. Problems and countermeasures of rural housing construction. Shanxi Agric. Econ. 2014, 6, 32–33. [Google Scholar]
- Walelign, S.Z. Should all attrition households in rural panel datasets be tracked? Lessons from a panel survey in Nepal. J. Rural. Stud. 2016, 47, 242–253. [Google Scholar] [CrossRef]





| Number | Question | Options or Unites |
|---|---|---|
| Q1 | Your gender | 1 = male; 0 = female |
| Q2 | Your age | Years |
| Q3 | How many years of school education have your received? | Years in school |
| Q4 | Your employment | 1 = agriculture; 0 = non-agriculture |
| Q5 | What is the area of the homestead | Area of homestead, m2 |
| Q6 | How many people currently live in the household? | Number of individuals |
| Q7 | How many years has the residence been build? | Years |
| Variable | Minimum | Maximum | Average | SD |
|---|---|---|---|---|
| Gender (1 = male; 0 = female) | 0 | 1 | 0.58 | 0.49 |
| Age (years) | 32 | 82 | 58.93 | 13.01 |
| Education level (years in school) | 0 | 12 | 6.31 | 3.96 |
| Employment (1 = agriculture; 0 = non-agriculture) | 0 | 1 | 0.31 | 0.46 |
| Area of homestead (m2) | 50 | 170 | 93.20 | 29.13 |
| Number of individuals in the household | 1 | 10 | 4.10 | 2.27 |
| Years for residence been built (years) | 1 | 64 | 29 | 13.97 |
| Survey Areas | ||||
|---|---|---|---|---|
| Zone A | 1652.12 | 1237.29 | 425.56 | 0.515 |
| Zone B | 2013.75 | 1662.85 | 361.63 | 0.258 |
| Study area | 3676.60 | 2889.41 | 787.19 | 0.439 |
Publisher’s Note: MDPI stays neutral with regard to jurisdictional claims in published maps and institutional affiliations. |
© 2022 by the author. Licensee MDPI, Basel, Switzerland. This article is an open access article distributed under the terms and conditions of the Creative Commons Attribution (CC BY) license (https://creativecommons.org/licenses/by/4.0/).
Share and Cite
Zhang, X. A Survey Bias Index Based on Unmanned Aerial Vehicle Imagery to Review the Accuracy of Rural Surveys. Land 2022, 11, 873. https://doi.org/10.3390/land11060873
Zhang X. A Survey Bias Index Based on Unmanned Aerial Vehicle Imagery to Review the Accuracy of Rural Surveys. Land. 2022; 11(6):873. https://doi.org/10.3390/land11060873
Chicago/Turabian StyleZhang, Xueyan. 2022. "A Survey Bias Index Based on Unmanned Aerial Vehicle Imagery to Review the Accuracy of Rural Surveys" Land 11, no. 6: 873. https://doi.org/10.3390/land11060873
APA StyleZhang, X. (2022). A Survey Bias Index Based on Unmanned Aerial Vehicle Imagery to Review the Accuracy of Rural Surveys. Land, 11(6), 873. https://doi.org/10.3390/land11060873
