Next Article in Journal
Land Preservation Uptakes in the Escarpments of North-Eastern Ethiopia: Drivers, Sustainability, and Constraints
Previous Article in Journal
Spatiotemporal Dynamics of Grasslands Using Landsat Data in Livestock Micro-Watersheds in Amazonas (NW Peru)
 
 
land-logo
Article Menu

Article Menu

Font Type:
Arial Georgia Verdana
Font Size:
Aa Aa Aa
Line Spacing:
Column Width:
Background:
Article

Impact of the COVID-19 Epidemic on Population Mobility Networks in the Beijing–Tianjin–Hebei Urban Agglomeration from a Resilience Perspective

1
Institute of Geographic Sciences and Natural Resources Research, Chinese Academy of Sciences, Beijing 100101, China
2
University of Chinese Academy of Sciences, Beijing 100049, China
*
Author to whom correspondence should be addressed.
Land 2022, 11(5), 675; https://doi.org/10.3390/land11050675
Submission received: 7 April 2022 / Revised: 28 April 2022 / Accepted: 29 April 2022 / Published: 2 May 2022

Abstract

:
As an important symbol and carrier of regional social and economic activities, population mobility is a vital force to promote the re-agglomeration and diffusion of social and economic factors. An accurate and timely grasp on the impact of the COVID-19 epidemic on population mobility between cities is of great significance for promoting epidemic prevention and control and economic and social development. This study proposes a theoretical framework for resilience assessment, using centrality and nodality, hierarchy and matching, cluster, transmission, and diversity to measure the impact of the COVID-19 epidemic on population mobility in the Beijing–Tianjin–Hebei (BTH) urban agglomeration in 2020–2022, based on the migration data of AutoNavi and social network analysis. The results show that the COVID-19 epidemic had different impacts on the population network resilience of the BTH urban agglomeration based on the scale and timing. During the full-scale outbreak of the epidemic, strict epidemic prevention and control measures were introduced. The measures, such as social distancing and city and road closure, significantly reduced population mobility in the BTH urban agglomeration, and population mobility between cities decreased sharply. The population mobility network’s cluster, transmission, and diversity decreased significantly, severely testing the network resilience. Due to the refinement of the epidemic control measures over time, when a single urban node was impacted, the urban node did not completely fail, and consequently it had little impact on the overall cluster, transmission, and diversity of the population mobility network. Urban nodes at different levels of the population mobility network were not equally affected by the COVID-19 epidemic. The findings can make references for the coordination of epidemic control measures and urban development. It also provides a new perspective for the study of network resilience, and provides scientific data support and a theoretical basis for improving the resilience of BTH urban agglomeration and promoting collaborative development.

1. Introduction

The COVID-19 epidemic hit the whole world at the beginning of 2020. The virus has a wide range of transmission routes characterized by high infectivity, high concealment, and high variability [1,2]. As of 21 March 2022, COVID-19 caused 470 million infections and 6.09 million deaths worldwide, with a mortality rate of 1.3%. The global spread of the COVID-19 epidemic has caused a significant security threat to the entire human community. At the same time, it has also seriously impacted the normal development of the social economy and human activities, causing a huge impact on transportation, tourism, education, catering, real estate, and other industries [3,4,5], which has led to huge economic losses [6]. Population movement plays a vital role in spreading diseases, and large-scale population movements often trigger the rapid spread of viruses [7,8]. In response to the COVID-19 epidemic, various regions introduced prevention and control measures and policies to restrict population mobility. Population mobility, an important symbol and carrier of regional social and economic activity, is an essential driving force to promote the re-agglomeration and diffusion of social and economic factors. Against a background of globalization, informatization, and rapid urbanization, population mobility between cities is not only reshaping spatial patterns in China’s population, but also has a significant impact on China’s urban development [9]. Therefore, it is of great importance to have an accurate and timely grasp of the impact of the COVID-19 epidemic on population mobility between cities for epidemic prevention and control as well as economic and social development.
As one of the most important geographical processes, the study of population mobility has always been the focus of geographers [10,11]. Previous studies have examined spatial–temporal patterns, their characteristics, and the factors that drive population mobility [12,13,14]. Research data are traditionally extracted from census data, 1% population sampling data, and statistical yearbook data. This kind of static data can depict the importance of node cities in regional population distribution patterns, but it cannot reflect the dynamic real-time characteristics of population mobility among cities in a region. The data acquisition environment and collection methods of urban research have been greatly improved in recent years with the rapid development of the Internet and information technology [15]. New data sources, such as social network data [16], population migration data [17], mobile phone signaling data [18], and taxi data [19], are constantly emerging. Big data on geographical behavior, which are quantitative and objective, have strong spatiotemporal heterogeneity, can perceive human activities, and provide new opportunities for studying population mobility.
Many scholars have examined population mobility based on geographical big data, which significantly enriches research perspectives on population mobility. At present, research on the use of geographic big data mainly focuses on spatiotemporal evolution patterns, the characteristics of network structures, and factors that influence population mobility at different scales [20,21,22]. Most of the research methods are complex network analyses. The network structures related to population mobility are analyzed by calculating network characteristics such as degree centrality, weighted degree, clustering coefficients, and diversity using UCINET and Gephi software [23,24]. Some scholars have also studied the short-term patterns and modes of population mobility. For example, Xu and Li used Tencent’s location big data to explore unbalanced migration between cities and the spatial differences in urban development during China’s Spring Festival travel rush based on a network analysis [25]. Lin and Wu revealed an asymmetric pattern in population mobility in the Yangtze River Delta during the Spring Festival by analyzing the degree centrality, core-edge structure, and symmetry of the population mobility network [26]. Pan and Lai used Tencent’s location big data to reveal the temporal and spatial patterns and network structure characteristics of population mobility during China’s National Day holiday [17].
Since the COVID-19 epidemic, several scholars have explored the relationship between the spread and control of the epidemic and the population mobility between cities. For example, Jia and Lu tracked the collective flow of the Chinese population by using mobile phone signaling big data, and accurately predicted the relative frequency and temporal and spatial distribution of COVID-19 infections on the Chinese mainland and evaluated the epidemic risk in 296 counties in China [27]. Zhao and Li used Baidu migration big data to explore national trends and infection coefficients of COVID-19 in China and revealed the positive impact of government control measures at all levels [28]. Wei and Wang examined population migration based on Baidu’s big data [29]. This paper examines spatial patterns in the population migration network and their significance in curbing the spread of the COVID-19 epidemic in China by analyzing the weighting degree and intermediary centrality of the network.
Existing research has fully demonstrated the feasibility and effectiveness of geographic big data and complex network analysis in exploring population mobility networks. Several attempts have been made to study the spread and impact of population mobility on the COVID-19 epidemic, but have the following shortcomings. First, most of the research has focused on the outbreak period in Wuhan, without a long-term series to track the epidemic’s impact on population mobility. Second, studies have focused on the regional impact of the COVID-19 epidemic, without examining the impact of a single city on the whole network. Third, studies have also focused on analyzing the spatial–temporal pattern of population mobility networks, ignoring the resistance and resilience of the network itself after being disturbed and impacted. Network resilience refers to the adaptability, recovery, and learning ability of the network when dealing with shocks and cumulative disturbances. Many scholars have explored the impact of specific risk disasters such as public health emergencies, earthquakes, typhoons, and floods on urban network resilience [26,30]. They have pointed out that a timely and scientific assessment of the impact of extreme events on urban network resilience can provide a fast and valuable way to diagnose weak links in urban resilience construction. It is vital to improve the resistance and resilience of future cities for the sustainable development of human society.
This study explores the impact of four major COVID-19 outbreaks on the resilience of population mobility networks in the Beijing–Tianjin–Hebei (BTH) urban agglomeration from 2020 to 2022 using AutoNavi population migration big data and social network analysis methods. We provide empirical evidence for coordinating epidemic prevention and control and economic and social development. We expect to provide policy references for the implementation of precision measures in the routine control stage of an outbreak by exploring the impact of four major COVID-19 outbreaks on the resilience of the BTH population mobility network. Furthermore, this paper introduces a new perspective on population mobility network resilience to provide scientific support and a theoretical basis for improving risk management and the BTH coordinated development.
This paper is structured as follows. In the second section, we propose a theoretical framework for the population mobility network resilience assessment. Measuring the resilience level of urban nodes, structural characteristics, organizational efficiency, and stability of the population mobility network by the index of centrality and nodality, hierarchy and matching, cluster, transmission, diversity, etc. The results of the impact of the COVID-19 epidemic on population mobility in the BTH urban agglomeration are described in the third section. The fourth section discusses our results in the context of other relevant papers and makes some policy recommendations. The fifth part is the conclusion of the research.

2. Materials and Methods

2.1. Study Areas

The BTH urban agglomeration is located in the heart of the Bohai Sea in Northeast Asia, which is the largest and most dynamic area in northern China (Figure 1). The BTH urban agglomeration encompasses the municipalities of Beijing and Tianjin as well as Hebei Province, which has 13 prefecture-level cities. It covers an area of 216,800 km2 and accounts for 2.26% of China’s national land area [31]. It had a resident population of 110 million in 2021, or 7.6% of China’s total population. In recent years, rapid urbanization and the proposition of the BTH coordinated development strategy have led to the continuous improvement of transportation infrastructure between cities within the BTH urban agglomeration and increasingly close social, economic, industrial, and innovation cooperation. All of the above factors contribute to the increasing population mobility intensity in the BTH urban agglomeration [32]. Since the outbreak of COVID-19 in 2020, the BTH urban agglomeration has experienced many localized outbreaks. It limited the population mobility in the BTH urban agglomeration to some extent, which will further affect the socio-economic operation in the BTH urban agglomeration. Hence, taking the BTH urban agglomeration as an example, this study explores the impact and differences in the COVID-19 episodes on the resilience of the population mobility network since 2020. The findings will be of great significance for the implementation of precision control policies to improve the BTH urban agglomeration’s risk management capacity.

2.2. Data Processing and Network Construction

2.2.1. AutoNavi Migration Data

AutoNavi population migration data track user behavior through hundreds of millions of mobile phone communications and mobile application (AP) use, which has high positioning data accuracy and covers all modes of transportation. It can accurately reflect the direction and intensity of population mobility between cities and the population contact network between cities. This study is based on AutoNavi population migration big data and constructs a population migration network for the BTH urban agglomeration according to migration data in the migration willingness list of major cities in China and big data collected by AutoNavi’s traffic map (https://trp.autonavi.com/migrate/page.do (accessed on 20 February 2022)).

2.2.2. Data Processing

This paper selects four major stages of the outbreak of the COVID-19 epidemic in the BTH urban agglomeration: the full-scale outbreak, the Xinfadi outbreak in Beijing, the outbreak in Shijiazhuang, and the outbreak in Tianjin. Next, we analyze the characteristics and differences of the changes in the population network and the key nodes when they are impacted by a full-scale outbreak.
In order to compare the impact of a COVID-19 outbreak on the resilience level of the population network, the population mobility data of the corresponding period in 2019 (before the epidemic) are selected as a reference. This paper also considers the impact of official holidays, such as the Spring Festival and Dragon Boat Festival, on population mobility. We also consider that there will be a time lapse between the outbreak and local governments’ response to the epidemic, and that during this period the normal population flow between cities will continue. In order to eliminate the influence of this objective factor on population mobility, this study selects 14 days during which the population mobility between cities was relatively stable to collect population mobility data.
The collection time and reference time for population mobility data in each outbreak period are as follows: the full-scale outbreak period of the BTH epidemic (A1) is taken from 2 February 2020 to 15 February 2020, and the control time (A2) from 13 February 2019 to 26 February 2019. The outbreak period of the Xinfadi epidemic in Beijing (B1) is taken from 19 June 2020 to 2 July 2020, and the control time (B2) from 1 June 2019 to 14 June 2019. The outbreak period of the epidemic in Shijiazhuang (C1) is taken from 10 January 2021 to 23 January 2021, and the control time (C2) from 1 January 2019 to 15 January 2019. The outbreak period of the epidemic in Tianjin (D1) is taken from 12 January 2022 to 25 January 2022, and the control time (D2) from 15 January 2019 to 28 January 2019.

2.2.3. Construction of Population Mobility Networks

This study uses AutoNavi migration data for 13 cities in the BTH urban agglomeration to develop a daily migration index for each city in each epidemic outbreak period. Taking the daily average value to obtain the population mobility intensity among the cities, we construct a 13 × 13 population connection matrix.
In order to represent the migration intensity between cities, the average value of migration intensity between the cities is used to express the migration intensity. The calculation can be expressed as follows:
T i j = R i j + R j i 2
where T i j is the migration intensity between city i and city j , R i j is the migration index from city i to city j , and R j i is the migration index from city j to city i .

2.3. Evaluation Indicators and Measurement Methods

The network resilience of urban agglomerations is determined by the network node resilience, network structure characteristics, and network organizational efficiency. Based on the current research [33,34,35,36], an assessment index system for measuring network resilience is constructed by combining the social network analysis method, using centrality and nodality, hierarchy and matching, cluster, transmission, and diversity to measure the population mobility network resilience of the BTH urban agglomeration (Table 1). Where the resilience level of urban nodes in the population mobility network is evaluated by centrality and nodality, the structural characteristics of the population mobility network are measured by hierarchy and matching. The organizational efficiency of the population mobility network is measured by cluster, transmission, and diversity.

2.3.1. Centrality and Nodality

Measurement Method for Centrality

Degree centrality is an important index to measure the centrality of nodes in the network [37]. The greater the degree centrality of a node, the more nodes are connected in the network. This means the node has a greater ability to integrate resources and a higher level of resilience. Degree centrality can be expressed as follows:
K i = j N a i
C D ( i ) = K i N 1
where K i is the degree of node i , a i j = 1 if there is a connection between two nodes, and is otherwise 0. C D ( i ) is the degree centrality of node i , and N is the number of nodes in the network.

Measurement Method for Nodality

Nodality reflects the transfer and connection function of nodes within the network, measured by closeness centrality and betweenness centrality. Closeness centrality represents the relative proximity of nodes in a network, measured by the sum of the distance of the shortest path between nodes. The greater the node closeness centrality, the closer the node is to other nodes, which means that the connection between the node and other nodes is more convenient, and the resilience of the node is greater. The formula can be expressed as follows:
C C ( i ) = 1 j D i j
where C C ( i ) is the closeness centrality of node i , and D i j is the distance of the shortest path between node i and node j .
Betweenness centrality reflects the transit and hub functions of a node. The betweenness centrality uses the ratio of the number of shortest paths through the node to the number of all the shortest paths. The higher the betweenness centrality, the stronger the transit connection ability and the higher the resilience of the node. The formula can be expressed as follows [38]:
C B ( i ) = m n σ m n ( i ) σ m n
where C B ( i ) is the betweenness centrality of node i , σ m n is the number of all the shortest paths from node m to node n , and σ m n ( i ) is the number of all the shortest paths from node m to node n through node i .

2.3.2. Hierarchy and Matching

Measurement Method for Hierarchy

Network hierarchy represents the hierarchical span between high-level cities and low-level cities in the network. High-level networks usually have prominent core cities that enhance the cohesion and competitiveness of the network. However, the development gap between core and low-level cities is significant, and low-level cities have a strong dependence on core cities. The network, therefore, presents a degree of fragility. In this study, weighted degree and weighted degree distribution are used to measure the hierarchy of networks. According to the weighted degree value of each node, the nodes are sorted from large to small to draw a power law curve; the absolute value of its slope is the weighted degree distribution coefficient of the network. The larger the distribution coefficient of the weighted degree, the more significant the hierarchy. The power law curve distribution of the weighted degree distribution is represented by the following formula:
W i = C × ( W i * ) a
By processing the formula, we obtain
log ( W i ) = log ( C ) + a log ( W i * )
where W i is the weighted degree of city i , that is, the sum of the weights of edges directly connected to node i ; W i * is the bit order ranking of the weighted degree of city i in the network; C is a constant; a represents the slope of the weighted degree distribution curve, and its absolute value is the weighted degree distribution coefficient.

Measurement Method for Matching

Matching of a network represents the relevance of different nodes in the network, which can be divided into assortative networks and disassortative networks. In this study, neighbor weighted average degree (NWAD) and weighted degree correlation are used to measure network matching. If the correlation coefficient of the weighted degree is positive, the network is assortative, and the cities in the network are connected at the same level. The larger the coefficient, the greater the differences in the levels of the network, and the lower the network’s resilience. If the correlation coefficient of the weighted degree is negative, the network is disassortative, and the cities in the network can be connected across levels. The larger the absolute value of the coefficient, the stronger the connection between the core cities and the marginal cities in the network, and the higher the network’s resilience. The formula can be expressed as follows:
W i ¯ = 1 K i i G i W j
The linear relationship of W i ¯ is given by
W i ¯ = D + b K i
where W i ¯ is the neighbor weighted average degree of node i ; W j is the weighted degree of the adjacent node j directly connected to the city i; K i is the degree of city i, G i is the set of all adjacent nodes of city i, D is a constant, and b is the degree correlation coefficient.

2.3.3. Cluster

The cluster represents the network’s density and is usually measured by the local clustering coefficient and the average clustering coefficient. The higher the local clustering coefficient, the higher the resource integration efficiency and resilience of the node in the network. The higher the average clustering coefficient, the stronger the aggregation of the network, and the higher the flow and integration efficiency of elements in the network [39]. The calculation can be expressed as follows:
C i = 2 E i K i ( K i 1 )
C ¯ = i n C i n
where C i is the local clustering coefficient of node i, K i is the degree of node i, and E i is the number of edges connected between the neighbors of node i; C ¯ is the average clustering coefficient of the network, and n is the number of nodes in the network.

2.3.4. Transmission

Transmission describes the flow efficiency of various elements in the network, which is usually measured by the length of the shortest average path [40]. The higher the transmission of the network, the lower the transmission costs in the network. When the network is impacted, the integration efficiency of various resources is higher, the faster the response speed, and the stronger the network’s ability to cope with the impact. The formula can be expressed as follows:
L = 2 n ( n 1 ) i j D i j
where L is the length of the average shortest path in the network, D i j is the shortest path length from node i to node j, and n is the number of nodes in the network.

2.3.5. Diversity

Diversity reflects the redundancy and fault tolerance of the network, expressed by the average number of independent paths between two cities in the network. The higher the average number of independent paths in the network, the richer the diversity and redundancy of the network. This type of network has a high fault tolerance and stability. The formula can be expressed as follows:
V = i j V i j n ( n 1 )
where V represents the average number of independent paths, V i j is the number of independent paths between node i and node j, and n represents the number of nodes in the network.
During the construction of the various networks, we found connections between two cities in the vast majority of the networks in the BTH urban agglomeration, and there were also too dense connections and redundant data. In order to prevent the relatively weak relationship between cities affecting the overall distribution of the urban agglomeration network and to retain the effect of the original connection strength on the network, the original network was divided into five levels using the natural breaks clustering analysis method in ArcGIS. The fifth-level network, which had the lowest connection strength, was deleted. The network data of the first four levels were taken to measure and analyze structural characteristics and resilience, thus making the analysis results more precise and intuitive.

3. Results

3.1. Spatial Pattern of Population Connections in Cyberspace under the Influence of COVID-19 Pandemic

3.1.1. The Outbreak in the BTH Area (A1)

During A1, China responded quickly to cut off the transmission path of the COVID-19 pandemic by taking preventative measures, such as traffic control and extending holidays. These epidemic prevention and control policies significantly impacted the population mobility network within the BTH urban agglomeration [41]. Figure 2 shows the relative strength of the population mobility network between A1 and A2. During A1, the population mobility intensity in the BTH urban agglomeration decreased significantly. Compared with A2, the population mobility intensity between Beijing and Langfang decreased from 20.74 (first level) to 5.16 (third level). Beijing–Tianjin, Beijing–Baoding, Tianjin–Langfang, and Tianjin–Cangzhou, initially located on the second level, and Tianjin–Tangshan, which was located on the third level, all dropped to the fourth level. Other network connections initially on the third and fourth levels dropped to the fifth level, and the population mobility intensity was below 0.92. Overall, the population mobility intensity of the BTH urban agglomeration decreased by 76.3%. Beijing and Tianjin were still the core areas with high population connection intensity.

3.1.2. The Xinfadi Outbreak in Beijing (B1)

In June 2020, a cluster epidemic broke out in the Beijing Xinfadi Wholesale Market. In order to contain the outbreak, Beijing restricted the flow of traffic out of Beijing. Tianjin and Hebei issued policies such as centralized isolation and medical observation for 14 days for people from middle- and high-risk areas in Beijing. This had an immediate impact on population mobility in the BTH urban agglomeration.
Figure 3 illustrates the differences in population mobility network intensity between B1 and B2. The epidemic had a significant impact on population mobility between Beijing and other cities, and the connection intensity decreased by 75.2% on average. However, it had little effect on the population mobility between other cities. Beijing–Langfang dropped from the first level to the third level, and Beijing–Tianjin and Beijing–Baoding dropped from the second level to the third and fourth levels, respectively. The connections between Beijing and Zhangjiakou, Chengde, Tangshan, Qinhuangdao, Cangzhou, and other cities dropped from the third and fourth levels to the fifth level.
The population mobility intensity between other cities was less affected by B1. In the case of Shijiazhuang–Xingtai and Shijiazhuang–Hengshui, the population mobility intensity increased from the third and fourth levels in 2019 to the second and third levels. This shows that under the influence of the BTH coordinated development, cooperation and exchanges between the cities had improved, as well as the intensity of population mobility between cities.

3.1.3. The Outbreak in Shijiazhuang (C1)

The epidemic broke out in Shijiazhuang in early January 2021, during which confirmed cases were reported in Xingtai, Beijing, and Langfang. Shijiazhuang, Xingtai, and Langfang immediately closed off the whole area and implemented a policy preventing travel to Beijing. As the outbreak involved many cities, it had a significant impact on the population mobility network within the BTH urban agglomeration. The overall population mobility intensity decreased by 34.9%, which meant that it had the most significant impact on the population network among the three nodal outbreaks.
The epidemic significantly affected the population mobility network with Shijiazhuang and Beijing as the core (Figure 4). The population mobility intensity of Shijiazhuang decreased by 75.0%. Shijiazhuang–Baoding, Shijiazhuang–Xingtai, Shijiazhuang–Cangzhou, and Shijiazhuang–Hengshui all fell from the third and fourth levels to the fifth level. The population mobility intensity between Beijing and the other cities dropped by 58.8%. Among them, Beijing–Langfang dropped from the first level to the second level. Beijing–Tianjin and Beijing–Baoding dropped from the second to the third and fourth level, respectively. Beijing’s connections with Cangzhou, Chengde, and Zhangjiakou dropped from the fourth to the fifth level. Except for the four cities involved in the C1, the population mobility intensity among other cities increased by a varying degree. This shows that under the strict epidemic prevention and control measures, inter-city population mobility in unaffected areas had improved under the impetus of the BTH coordinated development.

3.1.4. The Outbreak in Tianjin (D1)

On 8 January 2022, a new outbreak of COVID-19 was reported in Tianjin; confirmed cases were also reported in Beijing. The precise prevention and control measures adopted by the BTH had significantly reduced the impact of the epidemic on social development. Among the four outbreaks reported in this paper, D1 had the most negligible effect on the population mobility network. The mobility intensity of the total population only decreased by 2.43%.
D1 had the greatest effect on the connection between Tianjin and Beijing (Figure 5). The population mobility intensity between Beijing and Tianjin decreased by 79.7%. With Tianjin as the core, the population mobility intensity between Tianjin and Langfang dropped from the second level to the third level. The Tianjin–Cangzhou connection fell from the third to the fourth level. The Tianjin–Baoding connection dropped from the fourth to the fifth level. The population mobility intensity between Beijing and Langfang decreased by 11%. Beijing–Baoding dropped from the second to the third level, and Beijing–Zhangjiakou fell from the third to the fourth level.
Except for Beijing and Tianjin, the population mobility intensity of the other cities increased significantly compared to the same period in 2019. Langfang–Cangzhou, Langfang–Baoding, Baoding–Cangzhou, Xingtai–Handan, and Tangshan–Chengde all improved their levels. There are two main reasons for this result. First, due to the normalization of epidemic control and the effectiveness of the control measures, the epidemic’s impact on the social economy was getting smaller, especially in cities in urban agglomerations without outbreaks. Second, with the deepening of the BTH coordinated development, the transportation infrastructure in BTH urban agglomeration had improved. Cooperation between the cities had also increased, thus promoting population mobility in the urban agglomeration.

3.2. The Changing Characteristics of Centrality and Nodality

3.2.1. Degree Centrality

The results of the calculations on population network degree centrality in the BTH urban agglomeration in different periods (Figure 6) show that epidemics in different periods and scales have different impacts on the centrality of cities in urban agglomeration.
First, A1 had the most significant impact on the centrality of each city. The degree centrality of the 13 cities declined by a varying degree, with an average decline of 0.33. Zhangjiakou, Chengde, and Qinhuangdao, with the lowest degree centrality in A2, had the smallest decrease in degree centrality (0.1); however, due to their low centrality and low resilience level, their resilience level declined further under the influence of A1. Second, the degree centrality of Beijing decreased by 0.25, but the city still maintained a high resilience level. In other cities, degree centrality decreased by 0.3–0.6. Intercity population mobility was significantly reduced, which was not conducive to the resilient development of the urban agglomeration. In B1 and C1, the epidemic’s impact on the degree centrality of the population network was mainly reflected in the cities where the epidemic occurred. During B1, Beijing had the most significant impact and its degree centrality decreased by 0.4. The degree centrality of Cangzhou showed an upward trend, increasing by 0.16. However, the change in degree centrality in the other cities was less than 0.1, as they were not affected by the epidemic. During C1, the centrality of Shijiazhuang changed significantly, from 0.58 to 0.08, and the resilience of the city was significantly impacted. At the same time, Hengshui, which is closely connected to Shijiazhuang, also dropped by 0.17. As there were confirmed cases in Beijing, Langfang, Xingtai, and other places, the degree centrality of these cities also declined to a certain extent. D1 had the most negligible impact on the centrality of cities. Tianjin’s degree centrality decreased by 0.17. Beijing, which is closely connected to Tianjin, fell by 0.08. Hengshui and Shijiazhuang also showed a slight decline. In addition, the centrality of the other cities showed different degrees of growth. Cangzhou had increased its population mobility in recent years and its centrality growth increased by 0.25.

3.2.2. Closeness Centrality

The epidemic’s impact on the closeness centrality of cities in the BTH urban agglomeration was similar to that of degree centrality (Figure 7), which shows that both the proximity centrality of cities involved in the epidemic and the stability of cities had decreased. With the normalization of epidemic prevention and control measures, the closeness centrality of the cities that were not involved in the epidemic continued to increase, the convenience of the inter-city population increased, and the cities’ resilience was enhanced.
An analysis of the characteristics of the changes during the different stages shows that during A1, the closeness centrality declined in all BTH cities, with an average decline of 0.24. After the decline, the proximity centrality of Beijing was 0.75, which was still in the first place and had high stability. The closeness centrality of Shijiazhuang, Tianjin, Baoding, and Langfang decreased significantly. The cities with the lowest centrality changed from Zhangjiakou and Chengde, to Handan and Qinhuangdao.
During B1, the closeness centrality of Beijing decreased from 1.0 to 0.7. The external connections between Cangzhou and Tianjin were less affected by B1, and population mobility with other cities was improving. The closeness centrality of cities in B1 increased compared to B2. Other cities were less affected by B1, and the decline rate was below 0.1.
During C1, the closeness centrality of Shijiazhuang, Beijing, Xingtai, and Langfang, which had experienced the epidemic, decreased significantly. Shijiazhuang, the core area of the outbreak, had the most significant decline in centrality, with a decrease of 0.3. At the same time, the closeness centrality of Hengshui and Xingtai, which are closely connected to Shijiazhuang and Beijing, also declined to a certain extent. In contrast, the proximity centrality of the other cities increased.
D1 had little influence on the closeness centrality of the cities. The closeness centrality of Tianjin and Beijing declined slightly, with declines below 0.1. The closeness centrality of the other cities increased, with Baoding and Cangzhou showing significant increases.

3.2.3. Betweenness Centrality

Betweenness centrality fluctuated greatly during the epidemic (Figure 8). During the outbreak period, affected by different levels of closure and control policies in various places, population mobility between some cities dropped sharply. Dependence on inter-city connections of intermediary node cities was further enhanced, and the overall vulnerability of the network increased significantly.
During A1, Cangzhou, Hengshui, and Xingtai had weak connections with other cities in the network, and their nodes tended to fail. At the same time, the betweenness centrality of Baoding and Tianjin declined, which led to a significant increase in the urban agglomeration network’s dependence on Beijing. Beijing’s betweenness centrality increased from 17 to 46, and its ability to control the whole population mobility network increased. At the same time, as the core city in the south of the BTH urban agglomeration, Shijiazhuang had significantly enhanced its betweenness centrality. Xingtai and Tangshan also played an intermediary role in the local network.
During B1, the intensity of population mobility between Beijing and the other cities dropped sharply, and the betweenness centrality of Beijing dropped from 15.9 to 2.3. Tianjin, the sub-central node, played an intermediary role, and its betweenness centrality increased from 3.8 to 10.5. Due to the increase in inter-city population mobility in Cangzhou, its betweenness centrality began to stand out, while the betweenness centrality of other cities had not changed much.
During C1, the centrality of Shijiazhuang, Beijing, and Langfang decreased significantly, while the intermediary role of Baoding, Tianjin, and Tangshan was highlighted. Baoding, located in the middle of the urban agglomeration, is closely connected to both cities. Baoding’s betweenness centrality increased from 4 to 19, showing its capacity to control population mobility in the network and thus significantly improve the stability of the city.
During D1, the betweenness centrality between Beijing and Tianjin decreased significantly. While the betweenness centrality between Shijiazhuang and Hengshui declined due to the weakening intensity of population mobility. Cangzhou showed strong centrality.

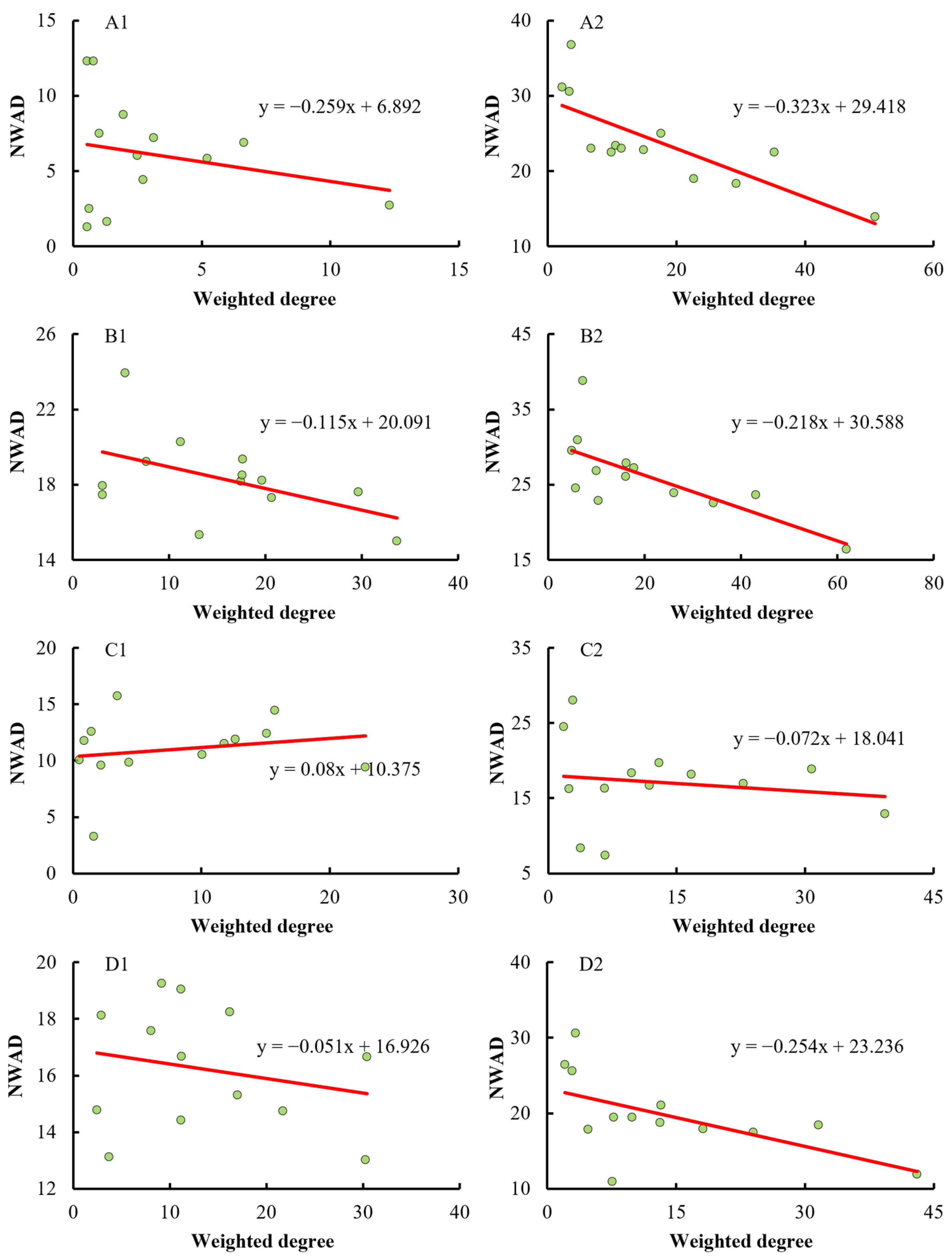
3.3. The Changing Characteristics of Hierarchy and Matching

By calculating the weighted degree distribution (Figure 9) and weighted degree correlation (Figure 10) of the population mobility network, this paper examines the influence of the COVID-19 epidemic in different periods on the hierarchy and matching in the population mobility network. The hierarchy of A1 and C1 had improved, while B1 and D1 had been significantly reduced. Under the epidemic’s influence, the networks had become less disassortative.
The absolute value of the population mobility network’s weighted degree distribution coefficient of the BTH urban agglomeration increased from 1.15 in A2 to 1.29 in A1. This shows that under the influence of A1, the hierarchy of the population mobility network in the BTH urban agglomeration had improved, and the difference in population mobility intensity between cities at different levels had increased. The weighted degree correlation coefficient changed from −0.323 to −0.259, and the network was still disassortative, but was less disassortative compared to the same period in 2019. Population mobility between high- and low-level cities had decreased, and the radiation effect of the core cities on the general cities had decreased. The improvement in hierarchy and the reduction in the disassortativity will lead to the decline of population mobility network resilience in the BTH urban agglomerations.
During B1, the weighted degree distribution coefficient of the population mobility network of the BTH urban agglomeration decreased from 1.04 in B2 to 0.87, and the hierarchy decreased significantly. As the core city with the highest weighted degree in 2019, Beijing decreased from 62 to 17. Langfang decreased from 43 to 30. While the weighted degree of other cities was around 1, which significantly reduced the population mobility intensity gap among different cities; the weighted degree correlation coefficient changed from −0.218 to −0.115, showing a disassortative network. However, the disassortative decreased significantly, that is, the connection between different levels of cities decreased. The significant decline in the hierarchy and disassortative qualities of the population mobility network significantly reduced the resilience level of the BTH urban agglomeration.
During C1, the weighted degree distribution coefficient of the population mobility network increased from 1.2 to 1.4, and the network hierarchy increased. Compared to C2, the difference in weighted degree distribution among cities at different levels increased. However, from the perspective of matching, the weighted degree correlation coefficient changed from −0.07 in 2019 to 0.08, and the network changed from a disassortative network to an assortative network. The network tended to develop in groups of cities at the same level, while the connection with cities at different levels decreased significantly. The hierarchical increase and matching transformation of the BTH population network further widened the gap in population mobility intensity between cities at different levels, which was not conducive to the healthy development of urban agglomerations, and the resilience of the population mobility network was significantly reduced.
During D1, the weighted degree distribution coefficient of the population mobility network decreased from 1.16 in the same period of 2019 to 0.95. The epidemic significantly decreased population mobility between Beijing and Tianjin, which are core cities, and the weighted degree decreased by 13. However, the population mobility intensity of cities not affected by the epidemic increased. The differences between cities at different levels narrowed, and the hierarchy decreased. The weighted degree correlation coefficient changed from −0.25 to −0.05, which means that it was still a disassortative network, but the disassortative level was extremely low and the connection between different levels of cities was weak. During D1, the hierarchy and disassortative level of the population network in the BTH urban agglomeration decreased significantly. The resilience level of the population network also decreased significantly.

3.4. The Changing Characteristics of Clusters

The COVID-19 epidemic also had various impacts at different stages on the cluster of population mobility networks in the BTH urban agglomeration (Table 2). The average clustering coefficient of the population mobility network in the four periods declined. The average clustering coefficient during A1 decreased from 0.84 in A2 to 0.52. The cluster of the population mobility network decreased significantly, the efficiency of resource integration also decreased. For B1, C1, and D1, the average clustering coefficient of the population mobility network of the BTH urban agglomeration decreased slightly—all decreased by 0.03, and the average clustering coefficient remained above 0.7. The network cluster effect was obvious, and the connection between cities was close. It was evident that when the population network of the BTH urban agglomeration was impacted as a whole, the cluster of the network would drop sharply. When a small number of network nodes were affected, the overall impact on the network cluster was not obvious.

3.5. The Changing Characteristics of Transmission

From the perspective of network transmission, the impact of the failure of network nodes caused by the COVID-19 epidemic reduced network transmission. During A1, the average length of the shortest path of the population network increased from 1.44 in A2 to 2.19, and the transmission efficiency decreased significantly. The time cost of population mobility between cities had increased, and the efficiency of population mobility dropped significantly. During B1, as the core city in the urban agglomeration, Beijing’s external connections weakened, but its connections with other cities still persisted. Therefore, the average length of the shortest path in the network only increased by 0.07, which had a weak impact on the transmissibility of the network. During C1, the average length of the shortest path increased slightly from 1.69 to 1.83 due to the failure of nodes in Shijiazhuang. The transmission efficiency declined slightly, but it had little impact on the network, and the overall transmission was still at a high level. During D1, the optimization of epidemic control policies weakened the connection between Beijing and Tianjin, but the connection between cities was not broken. Moreover, the connection between other cities was enhanced, resulting in the average length of the shortest path in the network decreased from 1.54 in 2019 to 1.49. The network transmission improved between the two time periods.

3.6. The Changing Characteristics of Diversity

The impact of the COVID-19 epidemic in different periods affected the diversity of the population mobility network in the BTH urban agglomeration (Table 3).
During A1, intercity population connection intensity was significantly reduced, and multiple nodes tended to fail. The diversity of the population mobility network dropped sharply, the average number of independent paths in all cities dropped to 2 or below. The network’s redundancy was significantly reduced, and the network’s ability to cope with shocks was insufficient.
During B1, the average number of independent paths in the population mobility network of the BTH urban agglomeration decreased slightly from 5.44 to 5.27 compared with B2. The average number of independent paths in all the cities was greater than 3. The impact of B1 on the diversity of the whole population network was not evident, and the whole network still had a high level of stability and redundancy.
During C1, the average number of independent paths of the population mobility network decreased from 3.85 to 2.79, and network diversity decreased. C1 impacted the diversity of many cities. Shijiazhuang, which was most seriously affected by the epidemic, saw a decline in the average number of independent paths from 4.92 to 1, and the resilience of urban nodes in the network dropped sharply. Except for Shijiazhuang, Chengde, and Xingtai, which showed low diversity, the external population mobility between other cities still showed high redundancy.
During D1, the diversity of the population mobility network in the BTH urban agglomeration increased compared to D2. The average number of independent paths increased from 4.4 in D2 to 5. From the perspective of individual cities, the average number of independent paths decreased from 5.58 to 5.17 in Tianjin, while the diversity of other cities showed an upward trend. The average number of independent paths in Chengde, Zhangjiakou, and Qinhuangdao, which had low diversity, increased to 3. It can be seen that D1 had little impact on the diversity of the population mobility network. In comparison, the increase in population mobility promoted by the BTH coordinated development was more prominent in 2019–2022.

4. Discussion

The analysis of the changing characteristics of population network resilience in four periods, A1, B1, C1, and D1, shows that different types of shocks have different impacts on network resilience. The more cities affected and the higher the city’s level of development, the more significant the effect on network resilience.

4.1. The Impact of the Full-Scale Outbreak of the Epidemic on the Population Mobility Network

A1 had a significant impact on the resilience of the population mobility network in the BTH urban agglomeration. The first outbreak of the COVID-19 epidemic was characterized by a high level of uncertainty. Strict epidemic prevention and control measures were adopted, which significantly reduced population mobility within urban agglomerations [42]. Consequently, population mobility intensity between cities was dramatically reduced, and the weighted degree and degree centrality of cities were also reduced. The cluster, transmission, and diversity of networks declined, which led to a decline in the transmission efficiency, stability, and redundancy of networks. Although the population mobility was limited to some extent, the connections still remained intact. The higher the development level of cities, the greater the connection intensity of the external population. Cities with lower development levels tended to be closely managed, which led to a further increase in the hierarchy of cities and a decline in matching and network resilience. The resilience level of individual city nodes also decreased.

4.2. The Impact of Urban Node Epidemic Outbreak on the Population Mobility Network

The impact of B1 on the population network of the BTH urban agglomeration was mainly reflected in the network structure with Beijing as the core. The population mobility between Beijing and other cities was significantly reduced, rapidly decreasing Beijing’s weighted degree. Centrality and nodality were also vastly reduced, leading to a decline in urban resilience within the network. At the same time, the matching, hierarchy, cluster, transmission, and diversity of the network were all reduced. However, because the epidemic had little impact on the other cities, the overall resilience of the network remained relatively unchanged.
C1 significantly impacted the population mobility networks of four cities during the epidemic. Shijiazhuang, where the epidemic had the most significant impact, the population mobility decreased significantly. In comparison, the effect on the other cities was not apparent. The centrality and nodality of Beijing, Shijiazhuang, Langfang, and Xingtai all declined by varying degree. In the population mobility network, the resilience level decreased. However, Shijiazhuang was more seriously affected and tended to fail at nodes; centrality and nodality dropped significantly, causing the resilience levels of cities to drop sharply. The rise in the network hierarchy, the change in assortative into disassortative networks, and the decrease in network cluster, transmission, and diversity led to the apparent decline in the resilience level of the population mobility network.
At the time of Tianjin’s outbreak, China had already experienced two years of COVID-19 epidemic prevention and control measures. With the accumulation of experience and technology, the epidemic prevention and control measures were more refined and appropriate; consequently, D1 only had a specific effect on population mobility, with Tianjin and Beijing as the core [43]. The centrality and nodality of Beijing and Tianjin in the network decreased, while the hierarchy and matching of the network declined, and the network cluster also decreased slightly. However, due to the insignificant impact of the epidemic on the other cities, the population mobility intensity between the other cities increased, and the overall transmission and diversity of the network improved. During D1, because of the low resilience level of Beijing and Tianjin in the network, connections between different levels of the network decreased. The network resilience also decreased due to the lack of core cities to drive the network.

4.3. The Impact of the Epidemic on Different City Nodes

Affected by the level of urban development and other factors, urban nodes at different levels of the population mobility network in the BTH urban agglomeration were affected by the COVID-19 epidemic to a varying degree. As the capital of China and the core city of the BTH urban agglomeration, Beijing has significant population mobility and was vulnerable to an epidemic situation and experienced four outbreaks. At the same time, Beijing made great efforts to prevent and control the COVID-19 epidemic and imposed strict control over traffic and population mobility. Consequently, population mobility intensity in the network changed significantly, and urban resilience was greatly affected. For marginal cities such as Zhangjiakou and Chengde, with a low development level, the intensity of population mobility was small, and the resilience level in the population network was comparatively less affected by the COVID-19 epidemic.

4.4. Policy Recommendations

After several rounds of epidemic outbreaks, it is evident that appropriate, accurate, and refined epidemic prevention and control policies are of great significance to ensure the regular operation of population mobility networks in urban agglomerations. Governments’ decision-making and organizational connections between cities play a decisive role in improving the network resilience [42,44]. Therefore, we put forward the following policy suggestions for public health emergencies:
First, in the early warning and prevention stage of public health emergencies, a unified early warning risk system and an emergency linkage mechanism should be established in urban agglomerations. It should coordinate a joint response mechanism for regional public health emergencies and improve the timeliness and accuracy of early risk warning systems. Government departments in the urban agglomeration should jointly carry out emergency training and emergency drills for various public health emergencies to improve the coordination ability of all governments and relevant departments and to ensure that when public health emergencies occur, cities can concentrate on cooperation and the timely measures to prevent the spread of risks.
Second, in the response and governance of public health emergencies, authorities should take full advantage of the possibilities presented by big data. A big data emergency platform should be established to identify and scientifically predict risk areas accurately. The precision of prevention and control measures in public health emergencies should be refined to limit the impact on social and economic operations in the region. At the same time, a unified command system should be established in urban agglomerations. Full play should be given to the organization and leadership role of the government, while clarifying the responsibilities and tasks of each city and unit [45]. Cities at all levels should respond to public health emergencies in urban agglomerations in a timely way to maintain the regular operation of urban agglomerations.
We need to be fully aware that the world is in the fastest and most widespread period of disease transmission in history [46]. Whether in China’s urban agglomerations or megalopolises all over the world, closely linked cities have become a community of shared destiny on health issues. No city, no matter how powerful, wealthy, or technologically advanced, can deal with all public health threats alone. Therefore, all urban agglomerations in the world require high-quality intercity cooperation to respond to high-frequency public health emergencies.

5. Conclusions

As an important symbol and carrier of regional social and economic activities, population mobility is vital to promoting the reorganization of social and economic factors. Based on the perspective of network resilience, this study constructs a measurement method of population mobility network resilience by using AutoNavi population migration big data and a social network analysis method to explore the impact of four major COVID-19 outbreaks on population mobility network resilience in the BTH urban agglomeration from 2020 to 2022.
The study shows that the outbreaks of the COVID-19 impacted the resilience of population mobility networks in the BTH urban agglomeration. By comparing the resilience of the population mobility network during four severe outbreaks of COVID-19 in Beijing, Tianjin, and Hebei since 2020 with the corresponding period in 2019, we found that A1 had the most significant impact on population mobility in BTH. The resilience of the population mobility network dropped sharply. The effect of B1 on the population mobility network was mainly reflected in the network structure, with Beijing as the core. Beijing’s urban nodes did not fail entirely, so the overall resilience level of the network was not severely impacted. During C1, Shijiazhuang nodes tended to fail, and the resilience level of the population mobility network decreased significantly. By D1, the prevention and control measures of the epidemic had become more precise. As a result, the outbreak had a limited impact on population mobility, with Beijing and Tianjin as the core, and little impact on the resilience of the overall population network.
Urban nodes at different levels of the population mobility network were affected by the COVID-19 epidemic to a varying degree. The epidemic situation significantly affected the resilience level of core cities with high development levels in the network, such as Beijing and Tianjin. The resilience level of marginal cities, such as Zhangjiakou, Chengde, and Hengshui, was less affected.
After several rounds of epidemic outbreaks, it is evident that appropriate and refined epidemic prevention and control policies are of great significance to ensuring the regular operation of the population network of urban agglomerations. Based on the results of our empirical analysis, we put forward policy suggestions to deal with public health emergencies from the perspective of prevention and control, hoping to provide a reference for coordinating epidemic control and economic and social development.
In addition, the study proposes a theoretical framework for network resilience measurement. In future research, the assessment index system can be used to evaluate the resilience of population mobility networks in urban agglomerations or a wider range. We will also use this method to measure the resilience of various urban networks such as transportation networks, economic networks, innovation networks, etc., in combination with big data.

Author Contributions

Conception and design of study, data acquisition, data analysis, drafting the manuscript, and revising the manuscript critically for important intellectual content: X.M. Conception and design of study, supervision, and carrying out the experimental procedures, revising the manuscript critically for important intellectual content: C.F. Data acquisition, data analysis, drafting the method and result sections, revising the manuscript critically for important intellectual content: Z.Y. Helped to revise and improve the manuscript language: X.G. All authors have read and agreed to the published version of the manuscript.

Funding

This research was funded by the National Natural Science Foundation of China’s Innovative Research Group Project (42121001).

Institutional Review Board Statement

Not applicable.

Informed Consent Statement

Not applicable.

Data Availability Statement

Not applicable.

Conflicts of Interest

The authors declare no conflict of interest.

References

  1. Ghinai, I.; McPherson, T.D.; Hunter, J.C.; Kirking, H.L.; Christiansen, D.; Joshi, K.; Rubin, R.; Morales-Estrada, S.; Black, S.R.; Pacilli, M. First known person-to-person transmission of severe acute respiratory syndrome coronavirus 2 (SARS-CoV-2) in the USA. Lancet 2020, 395, 1137–1144. [Google Scholar] [CrossRef]
  2. Huang, C.; Wang, Y.; Li, X.; Ren, L.; Zhao, J.; Hu, Y.; Zhang, L.; Fan, G.; Xu, J.; Gu, X. Clinical features of patients infected with 2019 novel coronavirus in Wuhan, China. Lancet 2020, 395, 497–506. [Google Scholar] [CrossRef] [Green Version]
  3. Xu, Y.; Li, J.P.; Chu, C.C.; Dinca, G. Impact of COVID-19 on transportation and logistics: A case of China. Ekon. Istraz. 2021, 34, 1–19. [Google Scholar] [CrossRef]
  4. Tajani, F.; Liddo, F.D.; Guarini, M.R.; Ranieri, R.; Anelli, D. An Assessment Methodology for the Evaluation of the Impacts of the COVID-19 Pandemic on the Italian Housing Market Demand. Buildings 2021, 11, 592. [Google Scholar] [CrossRef]
  5. Pokhrel, S.; Chhetri, R. A literature review on impact of COVID-19 pandemic on teaching and learning. High. Educ. Future 2021, 8, 133–141. [Google Scholar] [CrossRef]
  6. Ayittey, F.K.; Ayittey, M.K.; Chiwero, N.B.; Kamasah, J.S.; Dzuvor, C. Economic impacts of Wuhan 2019-nCoV on China and the world. J. Med. Virol. 2020, 92, 473–475. [Google Scholar] [CrossRef] [Green Version]
  7. Backer, J.A.; Klinkenberg, D.; Wallinga, J. Incubation period of 2019 novel coronavirus (2019-nCoV) infections among travellers from Wuhan, China, 20–28 January 2020. Eurosurveillance 2020, 25, 2000062. [Google Scholar] [CrossRef] [Green Version]
  8. Wu, J.T.; Leung, K.; Leung, G.M. Nowcasting and forecasting the potential domestic and international spread of the 2019-nCoV outbreak originating in Wuhan, China: A modelling study. Lancet 2020, 395, 689–697. [Google Scholar] [CrossRef] [Green Version]
  9. Zhao, Z.; Wei, Y.; Pang, R.; Yang, R.; Wang, S. Spatiotemporal and structural characteristics of interprovincial population flow during the 2015 Spring Festival travel rush. Prog. Geogr. 2017, 36, 952–964. [Google Scholar]
  10. Zhu, Y.; Lin, L. Continuity and change in the transition from the first to the second generation of migrants in China: Insights from a survey in Fujian. Habitat Int. 2014, 42, 147–154. [Google Scholar] [CrossRef]
  11. Zhu, Y.; Lin, L.Y. Studies on the Temporal Processes of Migration and Their Spatial Effects in China: Progress and Prospect. Sci. Geogr. Sin. 2016, 36, 820–828. (In Chinese) [Google Scholar]
  12. Xu, W.; Song, C.; Sun, D.; Yu, B. Spatiotemporal Differentiation of the School-Age Migrant Population in Liaoning Province, China, and Its Driving Factors. Land 2021, 10, 1036. [Google Scholar] [CrossRef]
  13. Liu, T.; Qi, Y.; Cao, G.; Liu, H. Spatial patterns, driving forces, and urbanization effects of China’s internal migration: County-level analysis based on the 2000 and 2010 censuses. J. Geogr. Sci. 2015, 25, 236–256. [Google Scholar] [CrossRef]
  14. Wang, G.X.; Pan, Z.H.; Lu, Y.Q. China’s Inter-Provincial Migration Patterns and Influential Factors: Evidence from Year 2000 and 2010 Population Census of China. Chin. J. Popul. Sci. 2012, 5, 2–13+111. (In Chinese) [Google Scholar]
  15. Yang, Z.Q.; Fang, C.L.; Li, G.D.; Mu, X.F. Integrating multiple semantics data to assess the dynamic change of urban green space in Beijing, China. Int. J. Appl. Earth Obs. Geoinf. 2021, 103, 102479. [Google Scholar] [CrossRef]
  16. García-Palomares, J.C.; Gutiérrez, J.; Mínguez, C. Identification of tourist hot spots based on social networks: A comparative analysis of European metropolises using photo-sharing services and GIS. Appl. Geogr. 2015, 63, 408–417. [Google Scholar] [CrossRef]
  17. Pan, J.; Lai, J. Spatial pattern of population mobility among cities in China: Case study of the National Day plus Mid-Autumn Festival based on Tencent migration data. Cities 2019, 94, 55–69. [Google Scholar] [CrossRef]
  18. Jiang, S.; Ferreira, J.; Gonzalez, M.C. Activity-based human mobility patterns inferred from mobile phone data: A case study of Singapore. IEEE Trans. Big Data 2017, 3, 208–219. [Google Scholar] [CrossRef] [Green Version]
  19. Liu, X.; Gong, L.; Gong, Y.; Liu, Y. Revealing travel patterns and city structure with taxi trip data. J. Transp. Geogr. 2015, 43, 78–90. [Google Scholar] [CrossRef] [Green Version]
  20. Laharotte, P.A.; Billot, R.; Come, E.; Oukhellou, L.; Nantes, A.; El Faouzi, N.E. Spatiotemporal analysis of bluetooth data: Application to a large urban network. IEEE Trans. Intell. Transp. Syst. 2014, 16, 1439–1448. [Google Scholar] [CrossRef]
  21. Belyi, A.; Bojic, I.; Sobolevsky, S.; Sitko, I.; Hawelka, B.; Rudikova, L.; Kurbatski, A.; Ratti, C. Global multi-layer network of human mobility. Int. J. Geogr. Inf. Sci. 2017, 31, 1381–1402. [Google Scholar] [CrossRef] [PubMed]
  22. Zhang, W.; Chong, Z.; Li, X.; Nie, G. Spatial patterns and determinant factors of population flow networks in China: Analysis on Tencent Location Big Data. Cities 2020, 99, 102640. [Google Scholar] [CrossRef]
  23. Barthélemy, M. Spatial networks. Phys. Rep.-Rev. Sec. Phys. Lett. 2011, 499, 1–101. [Google Scholar] [CrossRef] [Green Version]
  24. Zhong, C.; Arisona, S.M.; Huang, X.; Batty, M.; Schmitt, G. Detecting the dynamics of urban structure through spatial network analysis. Int. J. Geogr. Inf. Sci. 2014, 28, 2178–2199. [Google Scholar] [CrossRef]
  25. Xu, J.; Li, A.; Li, D.; Liu, Y.; Du, Y.; Pei, T.; Ma, T.; Zhou, C. Difference of urban development in China from the perspective of passenger transport around Spring Festival. Appl. Geogr. 2017, 87, 85–96. [Google Scholar] [CrossRef]
  26. Lin, J.; Wu, K.; Yang, S.; Liu, Q. The Asymmetric Pattern of Population Mobility during the Spring Festival in the Yangtze River Delta Based on Complex Network Analysis: An Empirical Analysis of “Tencent Migration” Big Data. ISPRS Int. J. Geo-Inf. 2021, 10, 582. [Google Scholar] [CrossRef]
  27. Jia, J.S.; Lu, X.; Yuan, Y.; Xu, G.; Jia, J. Christakis NA: Population flow drives spatio-temporal distribution of COVID-19 in China. Nature 2020, 582, 389–394. [Google Scholar] [CrossRef] [PubMed]
  28. Zhao, X.; Li, X.; Nie, C. Backtracking transmission of COVID-19 in China based on big data source, and effect of strict pandemic control policy. Bull. Chin. Acad. Sci. 2020, 35, 248–255. [Google Scholar]
  29. Wei, S.; Wang, L. Examining the population flow network in China and its implications for epidemic control based on Baidu migration data. Hum. Soc. Sci. Commun. 2020, 7, 145. [Google Scholar] [CrossRef]
  30. Sun, H.; Cheng, X.; Dai, M. Regional flood disaster resilience evaluation based on analytic network process: A case study of the Chaohu Lake Basin, Anhui Province, China. Nat. Hazards 2016, 82, 39–58. [Google Scholar] [CrossRef]
  31. Fang, C.L. Atlas of China Urban Agglomeration; Science Press: Beijing, China, 2020; pp. 23–122. (In Chinese) [Google Scholar]
  32. Fang, C.L. Strategic choice of integrated development of Beijing-Tianjin-Hebei urban agglomeration. Reform 2017, 05, 54–63. (In Chinese) [Google Scholar]
  33. Xie, Y.S.; Wang, C.J.; Han, Z.L.; Liu, S.D. Structural resilience evolution of multiple urban networks in the Harbin-Dalian urban belt. Prog. Geogr. 2020, 39, 1619–1631. (In Chinese) [Google Scholar] [CrossRef]
  34. Peng, C.; Lin, Y.Z.; Gu, C.L. Evaluation and optimization strategy of city network structural resilience in the middle reaches of Yangtze River. Geogr. Res. 2018, 37, 1193–1207. (In Chinese) [Google Scholar]
  35. Wei, S.M.; Pan, J.H. Network structure resilience of cities at the prefecture level and above in China. Acta Geogr. Sin. 2021, 76, 1394–1407. (In Chinese) [Google Scholar]
  36. Meng, H.; Huang, X.; Yang, J.; Lin, B. Network structure and development concept in Huaihai economic zone. Econ. Geogr. 2019, 39, 1–10. [Google Scholar]
  37. Xu, X.; Zhu, C.; Wang, Q.; Zhu, X.; Zhou, Y. Identifying vital nodes in complex networks by adjacency information entropy. Sci. Rep. 2020, 10, 2691. [Google Scholar] [CrossRef] [Green Version]
  38. Giustolisi, O.; Ridolfi, L.; Simone, A. Embedding the intrinsic relevance of vertices in network analysis: The case of centrality metrics. Sci. Rep. 2020, 10, 2691. [Google Scholar] [CrossRef]
  39. Lovejoy, W.S.; Loch, C.H. Minimal and maximal characteristic path lengths in connected sociomatrices. Soc. Netw. 2003, 25, 333–347. [Google Scholar] [CrossRef]
  40. Lai, J.; Pan, J. China’s City Network Structural Characteristics Based on Population Flow during Spring Festival Travel Rush: Empirical Analysis of “Tencent Migration” Big Data. J. Urban Plan. Dev. 2020, 146, 04020018. [Google Scholar] [CrossRef]
  41. Chen, S.; Yang, J.; Yang, W.; Wang, C.; Bärnighausen, T. COVID-19 control in China during mass population movements at New Year. Lancet 2020, 395, 764–766. [Google Scholar] [CrossRef] [Green Version]
  42. Kraemer, M.U.; Yang, C.H.; Gutierrez, B.; Wu, C.H.; Klein, B.; Pigott, D.M.; Open COVID-19 Data Working Group; Plessis, L.; Faria, N.R.; Li, R. The effect of human mobility and control measures on the COVID-19 epidemic in China. Science 2020, 368, 493–497. [Google Scholar] [CrossRef] [PubMed] [Green Version]
  43. Shen, J.; Duan, H.; Zhang, B.; Wang, J.; Ji, J.S.; Wang, J.; Pan, L.; Wang, X.; Zhao, K.; Ying, B. Prevention and control of COVID-19 in public transportation: Experience from China. Environ. Pollut. 2020, 266, 115291. [Google Scholar] [CrossRef] [PubMed]
  44. Fang, Y.; Nie, Y.; Penny, M. Transmission dynamics of the COVID-19 outbreak and effectiveness of government interventions: A data-driven analysis. J. Med. Virol. 2020, 92, 645–659. [Google Scholar] [CrossRef] [PubMed] [Green Version]
  45. Ning, Y.; Ren, R.; Nkengurutse, G. China’s model to combat the COVID-19 epidemic: A public health emergency governance approach. Glob. Health Res. Policy 2020, 5, 34. [Google Scholar] [CrossRef] [PubMed]
  46. Zhao, L. Global Public Health Emergencies and International Cooperation. J. CCPS (CAG) 2020, 24, 14–21. (In Chinese) [Google Scholar]
Figure 1. The location of the Beijing–Tianjin–Hebei urban agglomeration in China.
Figure 1. The location of the Beijing–Tianjin–Hebei urban agglomeration in China.
Land 11 00675 g001
Figure 2. Comparison of population mobility network patterns in A1 and A2.
Figure 2. Comparison of population mobility network patterns in A1 and A2.
Land 11 00675 g002
Figure 3. Comparison of population mobility network patterns in B1 and B2.
Figure 3. Comparison of population mobility network patterns in B1 and B2.
Land 11 00675 g003
Figure 4. Comparison of population mobility network patterns in C1 and C2.
Figure 4. Comparison of population mobility network patterns in C1 and C2.
Land 11 00675 g004
Figure 5. Comparison of population mobility network patterns in D1 and D2.
Figure 5. Comparison of population mobility network patterns in D1 and D2.
Land 11 00675 g005
Figure 6. Changes in urban degree centrality in different periods.
Figure 6. Changes in urban degree centrality in different periods.
Land 11 00675 g006
Figure 7. Changes in urban closeness centrality in the different periods.
Figure 7. Changes in urban closeness centrality in the different periods.
Land 11 00675 g007
Figure 8. Changes in urban betweenness centrality in the different periods.
Figure 8. Changes in urban betweenness centrality in the different periods.
Land 11 00675 g008
Figure 9. Changes in the weighted degree distribution of population mobility networks in different periods.
Figure 9. Changes in the weighted degree distribution of population mobility networks in different periods.
Land 11 00675 g009
Figure 10. Changes in the weighted degree correlation of the population mobility networks in different periods.
Figure 10. Changes in the weighted degree correlation of the population mobility networks in different periods.
Land 11 00675 g010
Table 1. Measurement index system for population mobility network resilience.
Table 1. Measurement index system for population mobility network resilience.
Network PropertyIndexMeaning
Centrality and nodalityDegree centralityInteraction between nodes and other nodes
Closeness centralityProximity between a node and other nodes
Betweenness centralityProportion of the number of nodes passing through all the shortest paths in the network
Hierarchy and matchingWeighted degree distributionDispersion of weighting degree of each node
Weighted degree correlationCorrelation of connections between nodes
ClusterLocal custering coefficientAggregation degree of connection between nodes and adjacent nodes
Average clustering coefficientAggregation degree of network
TransmissionAverage shortest path lengthEfficiency of element flow between nodes
DiversityAverage number of independent pathsDiversity and redundancy of communication between nodes
Table 2. Comparison of the measurement results of the population mobility network resilience index.
Table 2. Comparison of the measurement results of the population mobility network resilience index.
StageHierarchy and MatchingClusterTransmissionDiversity
Weighted Degree DistributionWeighted Degree
Correlation
Average Clustering
Coefficient
Average Shortest Paths LengthAverage Number of
Independent Paths
A1−1.29−0.260.522.191.50
A2−1.15−0.320.841.445.00
B1−0.87−0.120.731.495.27
B2−1.04−0.220.761.425.44
C1−1.450.080.741.832.79
C2−1.21−0.070.771.693.85
D1−0.95−0.050.761.495.00
D2−1.16−0.250.791.544.40
Table 3. Comparison of the average number of independent paths of cities in different periods.
Table 3. Comparison of the average number of independent paths of cities in different periods.
CityA1A2B1B2C1C2D1D2
Baoding1.926.336.256.503.924.926.175.58
Beijing2.006.335.836.503.754.926.175.58
Cangzhou1.585.676.336.333.924.926.175.25
Chengde1.002.003.923.921.002.003.002.00
Handan1.005.084.673.922.502.755.173.58
Hengshui1.586.005.836.333.004.925.675.58
Langfang1.925.676.086.333.424.505.675.25
Qinhuangdao1.002.833.003.922.502.003.002.83
Shijiazhuang1.926.005.836.331.004.925.675.58
Tangshan1.585.675.835.833.754.505.674.75
Tianjin2.006.336.336.503.924.925.175.58
Xingtai1.005.084.675.251.832.754.503.58
Zhangjiakou1.002.003.923.001.832.003.002.00
Publisher’s Note: MDPI stays neutral with regard to jurisdictional claims in published maps and institutional affiliations.

Share and Cite

MDPI and ACS Style

Mu, X.; Fang, C.; Yang, Z.; Guo, X. Impact of the COVID-19 Epidemic on Population Mobility Networks in the Beijing–Tianjin–Hebei Urban Agglomeration from a Resilience Perspective. Land 2022, 11, 675. https://doi.org/10.3390/land11050675

AMA Style

Mu X, Fang C, Yang Z, Guo X. Impact of the COVID-19 Epidemic on Population Mobility Networks in the Beijing–Tianjin–Hebei Urban Agglomeration from a Resilience Perspective. Land. 2022; 11(5):675. https://doi.org/10.3390/land11050675

Chicago/Turabian Style

Mu, Xufang, Chuanglin Fang, Zhiqi Yang, and Xiaomin Guo. 2022. "Impact of the COVID-19 Epidemic on Population Mobility Networks in the Beijing–Tianjin–Hebei Urban Agglomeration from a Resilience Perspective" Land 11, no. 5: 675. https://doi.org/10.3390/land11050675

APA Style

Mu, X., Fang, C., Yang, Z., & Guo, X. (2022). Impact of the COVID-19 Epidemic on Population Mobility Networks in the Beijing–Tianjin–Hebei Urban Agglomeration from a Resilience Perspective. Land, 11(5), 675. https://doi.org/10.3390/land11050675

Note that from the first issue of 2016, this journal uses article numbers instead of page numbers. See further details here.

Article Metrics

Back to TopTop