Urban Green Spaces Restoration Using Native Forbs, Site Preparation and Soil Amendments—A Case Study
Abstract
1. Introduction
2. Materials and Methods
2.1. Study Area and Experimental Design
2.2. Experimental Design and Treatments
2.3. Planting and Plot Management
2.4. Vegetation Assessments
2.5. Soils Sampling and Analyses
2.6. Statistical Analyses
3. Results
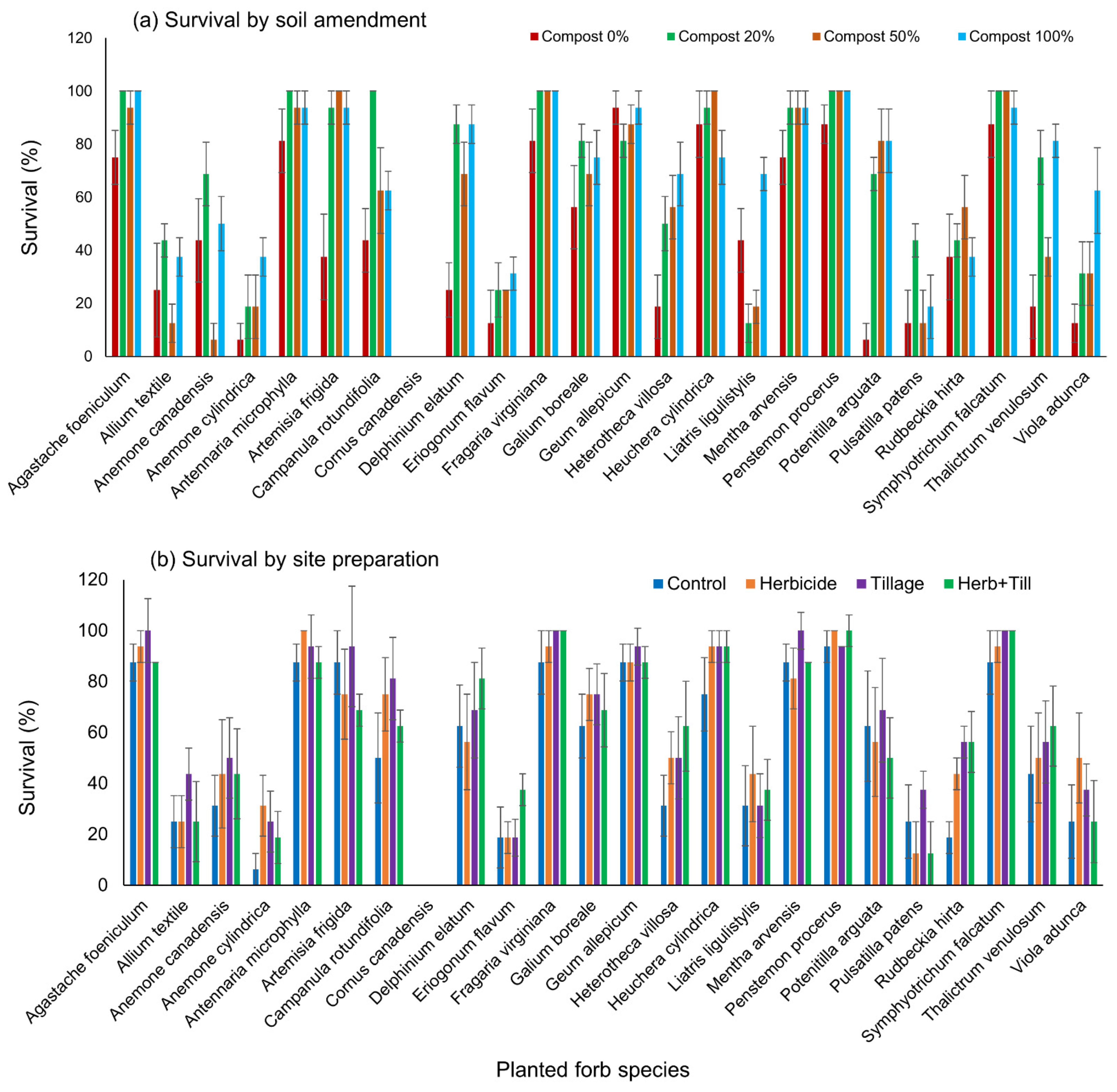
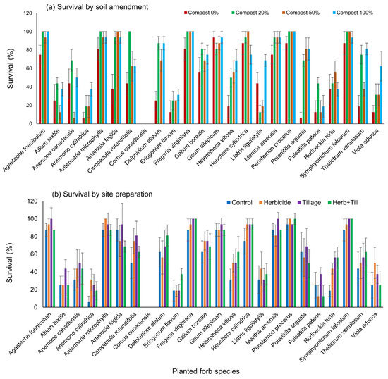
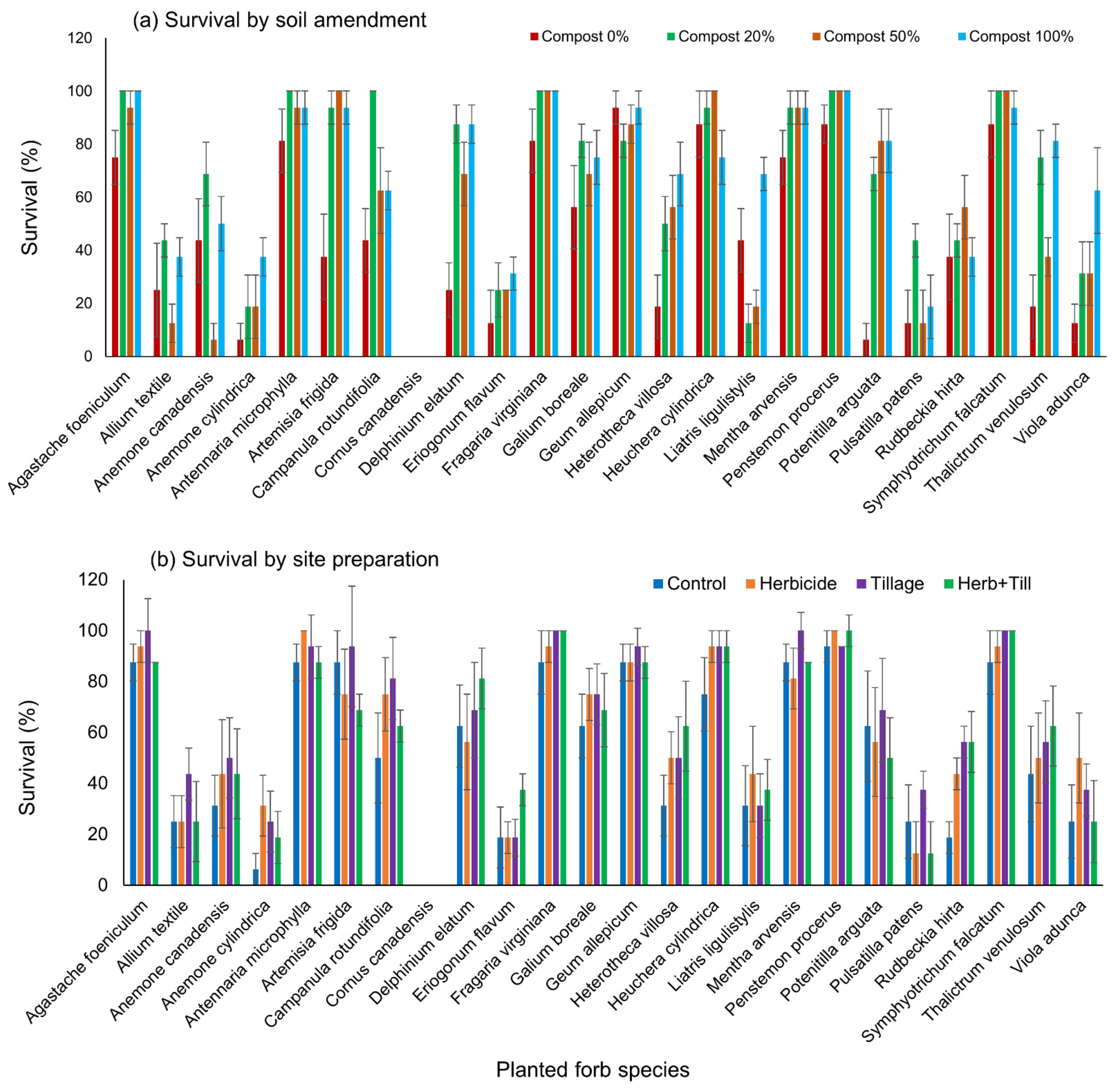
3.1. Forb Survival Response to Treatments
3.2. Spread of Planted Forb Species
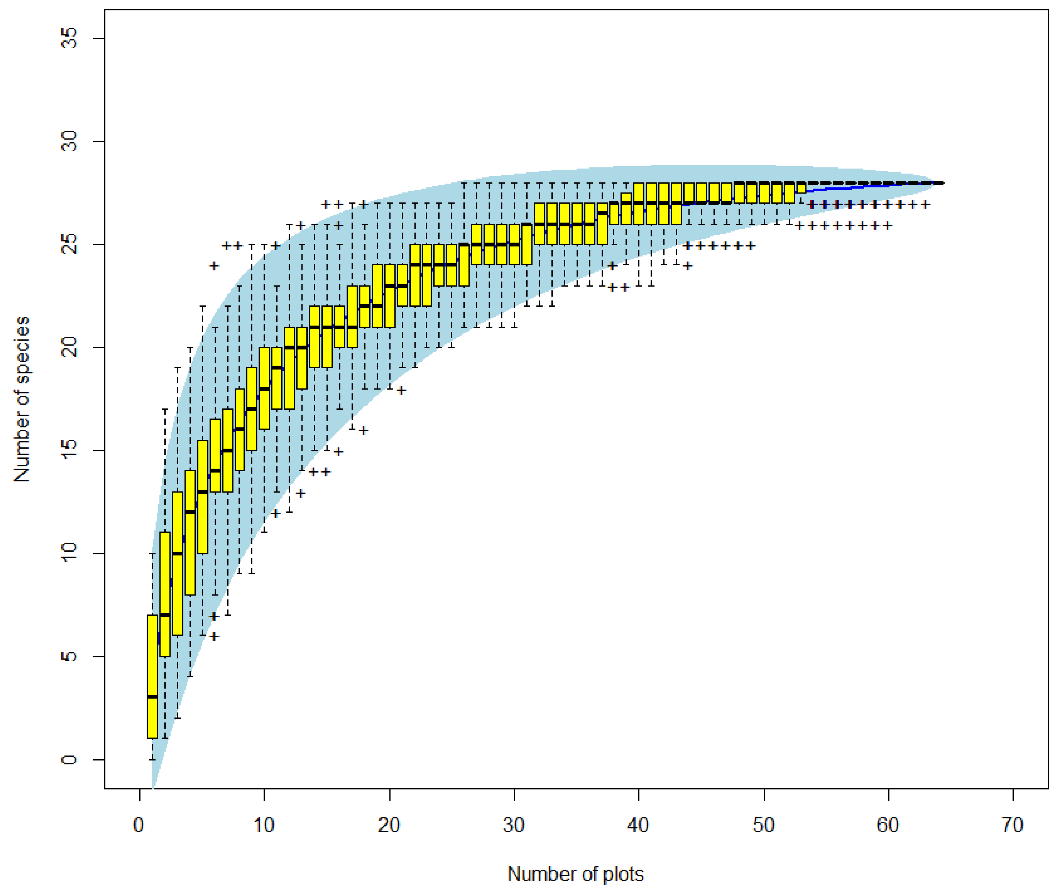
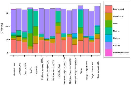
3.3. Species Cover, Composition and Richness
3.4. Soil Response to Treatments
4. Discussion
5. Conclusions
Author Contributions
Funding
Institutional Review Board Statement
Informed Consent Statement
Data Availability Statement
Acknowledgments
Conflicts of Interest
Appendix A


| Plant Category | Common Name | Botanical Name |
|---|---|---|
| Native | Milkvetch | Astragalus L. |
| Plains rough fescue | Festuca hallii (Vasey) Piper | |
| Mountain fescue | Festuca saximontana Rydb. | |
| Foxtail barley | Hordeum jubatum L. | |
| Western wheatgrass | Pascopyrum smithii (Rydb.) Á. Löve | |
| Alpine bluegrass | Poa alpina L. | |
| Wood bluegrass | Poa nemoralis L. subsp. interior (Rydb.) W.A. Weber | |
| Bluebunch wheatgrass | Pseudoroegneria spicata (Pursh) Á. Löve | |
| Prairie thermopsis | Thermopsis rhombifolia (Nutt. ex Pursh) Nutt. Ex Richardson | |
| Non Native | Common oat | Avena sativa L. |
| Smooth brome | Bromus inermis Leyss. | |
| Lamb’s quarters | Chenopodium album L. | |
| Quackgrass | Elymus repens (L.) Gould | |
| Creeping red fescue | Festuca rubra L. | |
| Yellow sweet clover | Melilotus officinalis (L.) Lam. | |
| White man’s foot | Plantago major L. | |
| Kentucky bluegrass | Poa pratensis L. | |
| Wild buckwheat | Polygonum convolvulus L. | |
| Prickly sow-thistle | Sonchus asper (L.) Hill | |
| Chickweed | Stellaria media (L.) Vill. | |
| Common dandelion | Taraxacum officinale F.H. Wigg. | |
| Alaska clover | Trifolium hybridum L. | |
| White clover | Trifolium repens L | |
| Rapeseed | Brassica napus L. | |
| Noxious | Canada thistle | Cirsium arvense (L.) Scop. |
| Perennial sow thistle | Sonchus arvensis L. | |
| Scentless chamomile | Tripleurospermum perforatum (Mérat) M. Lainz | |
| Prohibited Noxious | Slphur cinquefoil | Potentilla recta L. |
References
- Benedict, M.A.; McMahon, E.T. Green infrastructure: Smart conservation for the 21st century. Renew. Resour. J. 2002, 20, 12–17. [Google Scholar]
- Grimm, N.B.; Faeth, S.H.; Golubiewski, N.E.; Redman, C.L.; Wu, J.; Bai, X.; Briggs, J.M. Global change and the ecology of cities. Science 2008, 319, 756–760. [Google Scholar] [CrossRef] [PubMed]
- Chiesura, A. The role of urban parks for the sustainable city. Landsc. Urban Plan. 2004, 68, 129–138. [Google Scholar] [CrossRef]
- Aronson, M.F.; Lepczyk, C.A.; Evans, K.L.; Goddard, M.A.; Lerman, S.B.; MacIvor, J.S.; Vargo, T. Biodiversity in the city: Key challenges for urban green space management. Front. Ecol. Environ. 2017, 15, 189–196. [Google Scholar] [CrossRef]
- Rojas, J.A.; Dhar, A.; Naeth, M.A. Urban Naturalization for Green Spaces Using Soil Tillage, Herbicide Application, Compost Amendment and Native Vegetation. Land 2021, 10, 854. [Google Scholar] [CrossRef]
- Bartoli, F.; Savo, V.; Caneva, G. Biodiversity of urban street trees in Italian cities: A comparative analysis. Plant Biosyst. 2021, 1–14. [Google Scholar] [CrossRef]
- Song, P.; Kim, G.; Mayer, A.; He, R.; Tian, G. Assessing the Ecosystem Services of Various Types of Urban Green Spaces Based on i-Tree Eco. Sustainability 2020, 12, 1630. [Google Scholar] [CrossRef]
- Millard, A. Indigenous and spontaneous vegetation: Their relationship to urban development in the city of Leeds, UK. Urban For. Urban Green. 2004, 3, 39–47. [Google Scholar] [CrossRef]
- Lin, B.B.; Meyers, J.; Beaty, M.; Barnett, G.B. Urban green infrastructure impacts on climate regulation services in Sydney, Australia. Sustainability 2016, 8, 788. [Google Scholar] [CrossRef]
- Lindemann-Matthies, P.; Brieger, H. Does urban gardening increase aesthetic quality of urban areas? A case study from Germany. Urban For. Urban Green. 2016, 17, 33–41. [Google Scholar] [CrossRef]
- Hwang, Y.H.; Yue, Z.E.J.; Ling, S.K.; Tan, H.H.V. It’s ok to be wilder: Preference for natural growth in urban green spaces in a tropical city. Urban For. Urban Green. 2019, 38, 165–176. [Google Scholar] [CrossRef]
- Mayer, K.; Haeuser, E.; Dawson, W.; Essl, F.; Kreft, H.; Pergl, J.; Pysek, P.; Weigelt, P.; Winter, M.; Lenzner, B.; et al. Naturalization of ornamental plant species in public green spaces and private gardens. Biol. Invasions 2017, 19, 3613–3627. [Google Scholar] [CrossRef]
- Çoban, S.; Yener, S.D.; Bayraktar, S. Woody plant composition and diversity of urban green spaces in Istanbul, Turkey. Plant Biosyst. 2021, 155, 83–91. [Google Scholar] [CrossRef]
- Dullinger, I.; Wessely, J.; Bossdorf, O.; Dawson, W.; Ess, L.F.; Gattringer, A.; Klonner, G.; Kuttner, M.; Moser, D.; Pergl, J.; et al. Climate change will increase naturalization risk from garden plants in Europe. Glob. Ecol. Biogeogr. 2017, 26, 43–53. [Google Scholar] [CrossRef]
- Vila, M.; Espinar, J.L.; Hejda, M.; Hulme, P.E.; Jarosik, V.; Maron, J.L.; Pergl, J.; Schaffner, U.; Sun, Y.; Pysek, P. Ecological impacts of invasive alien plants: A meta-analysis of their effects on species, communities and ecosystems. Ecol. Lett. 2011, 14, 702–708. [Google Scholar] [CrossRef]
- Savard, J.-P.L.; Clergeau, P.; Mennechez, G. Biodiversity concepts and urban ecosystems. Landsc. Urban Plan. 2000, 48, 131–142. [Google Scholar] [CrossRef]
- City of Edmonton. Environmental Stewardship Naturalization. 2021. Available online: https://www.edmonton.ca/city_government/environmental_stewardship/naturalization (accessed on 20 February 2022).
- Pavao-Zuckerman, M.A. The nature of urban soils and their role in ecological restoration in cities. Restor. Ecol. 2008, 16, 642–649. [Google Scholar] [CrossRef]
- Schaefer, V. Alien Invasions, ecological restoration in cities and the loss of ecological memory. Restor. Ecol. 2009, 17, 171–176. [Google Scholar] [CrossRef]
- Millwood, A.A.; Paudel, K.; Briggs, S.E. Naturalization as a strategy for improving soil physical characteristics in a forested urban park. Urban Ecosyst. 2011, 14, 261–278. [Google Scholar] [CrossRef]
- Alakukku, L. Persistence of soil compaction due to high axle load traffic. II. Long-term effects on the properties of fine-textured and organic soils. Soil Tillage Res. 1996, 37, 223–238. [Google Scholar] [CrossRef]
- Gomez, A.; Powers, R.F.; Singer, M.J.; Horwath, W.R. Soil compaction effects on growth of young ponderosa pine following litter removal in California’s Sierra Nevada. Soil Sci. Soc. Am. J. 2002, 66, 1334–1343. [Google Scholar] [CrossRef]
- Bretzel, F.; Malorgio, F.; Carrai, C.; Pezzarossa, B. Wildflower plantings to reduce the management costs of urban gardens and roadsides. Acta Hortic. 2009, 813, 263–269. [Google Scholar] [CrossRef]
- Muzafar, I.; Khuroo, A.A.; Mehraj, G.; Hamid, M.; Rashid, I.; Malik, A.H. Floristic diversity along the roadsides of an urban biodiversity hotspot in Indian Himalayas. Plant Biosyst. 2019, 153, 222–230. [Google Scholar] [CrossRef]
- Itani, M.; Al Zein, M.; Nasralla, N.; Talhouk, S.N. Biodiversity conservation in cities: Defining habitat analogues for plant species of conservation interest. PLoS ONE 2020, 15, e0220355. [Google Scholar] [CrossRef]
- Environment Canada. Canadian Climate Normals 1981–2010. Bindloss East Station Data. 2021. Available online: https://climate.weather.gc.ca/climate_normals/index_e.html (accessed on 2 March 2022).
- Moss, E.H. Flora of Alberta, 2nd ed.; Packer, J.G., Ed.; University Press Inc: Toronto, ON, Canada, 1994; p. 687. [Google Scholar]
- Hendershot, W.H.; Lalande, H.; Duquette, M. Ion exchange and exchangeable cations. In Soil Sampling and Methods of Analysis; Carter, M.R., Gregorich, E.G., Eds.; Canadian Society of Soil Science: Boca Raton, FL, USA, 2008; pp. 199–201. [Google Scholar]
- Loeppert, R.H.; Suarez, D.L. Carbonate and gypsum. In Methods of Soil Analysis Part 3—Chemical Methods; Sparks, D.L., Page, A.L., Helmke, P.A., Loeppert, R.H., Eds.; Soil Science Society of America, American Society of Agronomy: Madison, WI, USA, 1996; pp. 437–474. [Google Scholar]
- Nelson, D.W.; Sommers, L.E. Total carbon, organic carbon, and organic matter. In Methods of Soil Analysis Part 3—Chemical Methods; Sparks, D.L., Page, A.L., Helmke, P.A., Loeppert, R.H., Eds.; Soil Science Society of America, American Society of Agronomy: Madison, WI, USA, 1996; pp. 961–1010. [Google Scholar]
- Chapman, H.D. Cation-exchange capacity. In Methods of Soil Analysis; Black, C.A., Ed.; Soil Science Society of America, American Society of Agronomy: Madison, WI, USA, 1965; pp. 891–901. [Google Scholar]
- Maynard, D.G.; Kalra, Y.P.; Crumbaugh, J.A. Nitrate and exchangeable ammonium nitrogen. In Soil Sampling and Methods of Analysis; Carter, M.R., Gregorich, E.G., Eds.; Canadian Society of Soil Science: Boca Raton, FL, USA, 2008; pp. 71–80. [Google Scholar]
- Bremner, J.M. Nitrogen—Total. In Methods of Soil Analysis Part 3—Chemical Methods; Sparks, D.L., Page, A.L., Helmke, P.A., Loeppert, R.H., Eds.; Soil Science Society of America, American Society of Agronomy: Madison, WI, USA, 1996; pp. 1085–1121. [Google Scholar]
- Ashworth, J.; Mrazek, K. Modified Kelowna test for available phosphorus and potassium in soil. Commun. Soil Sci. Plant. Anal. 1995, 26, 731–739. [Google Scholar] [CrossRef]
- Miller, J.J.; Curtin, D. Electronical conductivity and soluble ions. In Soil Sampling and Methods of Analysis, 2nd ed.; Carter, M.R., Gregorich, E.G., Eds.; Canadian Soil Science Society: Madison, WI, USA; CRC Press and Taylor and Francis Group: Boca Raton, FL, USA, 2007; pp. 153–166. [Google Scholar]
- Burt, R. Soil Survey Field and Laboratory Methods Manual. Soil Survey Investigations Report No. 51 Version 2.0. US Department of Natural Resources. 2014. Available online: http://www.nrcs.usda.gov/Internet/FSE_DOCUMENTS/stelprdb1244466.pdf (accessed on 1 February 2022).
- R Core Team. R: A Language and Environment for Statistical Computing; R Foundation for Statistical Computing: Vienna, Austria, 2021; Available online: http://www.Rproject.org/ (accessed on 15 July 2021).
- Hurlbert, S.H. Pseudoreplication and the design of ecological field experiments. Ecol. Monogr. 1984, 54, 187–211. [Google Scholar] [CrossRef]
- Oksanen, L. Logic of experiments in ecology: Is pseudo-replication a pseudoissue? Oikos 2001, 94, 27–38. [Google Scholar] [CrossRef]
- Buonopane, M.; Snider, G.; Kerns, B.K.; Doescher, P.S. Complex restoration challenges: Weeds, seeds, and roads in a forested wildland urban interface. For. Ecol. Manag. 2013, 295, 87–96. [Google Scholar] [CrossRef]
- Marrs, R.H.; Gough, M.W. Soil fertility—A potential problem for habitat restoration. In Biological Habitat Reconstruction; Buckley, G.P., Ed.; Belhaven Press: London, UK, 1989; pp. 29–44. [Google Scholar]
- Bretzel, F.; Vannucchi, F.; Romano, D.; Malorgio, F.; Benvenuti, S.; Pezzarossa, B. Wildflowers: From conserving biodiversity to urban greening: A review. Urban For. Urban Green. 2016, 20, 428–436. [Google Scholar] [CrossRef]
- Ruthrof, K.X.; McHenry, M.P.; Hardy, G.E.S.J.; Matusick, G.; Fontaine, J.B.; Buizer, M. Linking restoration outcomes with mechanism: The role of site preparation, fertilisation and revegetation timing relative to soil density and water content. Plant Ecol. 2013, 214, 987–998. [Google Scholar] [CrossRef][Green Version]
- Skrindo, A.B.; Pedersen, P.A. Natural revegetation of indigenous roadside vegetation by propagules from topsoil. Urban For. Urban Green. 2004, 3, 29–37. [Google Scholar] [CrossRef]
- Fortuna-Antoszkiewicz, B.; Łukaszkiewicz, J.; Rosłon-Szeryńska, E.; Wysocki, C.; Wiśniewski, P. Invasive species and maintaining biodiversity in the natural Areas—Rural and urban—Subject to strong anthropogenic pressure. J. Ecol. Eng. 2018, 19, 14–23. [Google Scholar] [CrossRef]
- Pickett, S.T.; Cadenasso, M.L.; Childers, D.L.; McDonnell, M.J.; Zhou, W. Evolution and future of urban ecological science: Ecology in, of, and for the city. Ecosyst. Health Sustain. 2016, 2, e01229. [Google Scholar] [CrossRef]
- US Fish and Wildlife Service. Managing Invasive Plants Concept, Principles and Practices. 2021. Available online: https://www.fws.gov/invasives/stafftrainingmodule/methods/chemical/impacts.html (accessed on 2 March 2022).
- Semeraro, T.; Scarano, A.; Buccolieri, R.; Santino, A.; Aarrevaara, E. Planning of Urban Green Spaces: An Ecological Perspective on Human Benefits. Land 2021, 10, 105. [Google Scholar] [CrossRef]
- Klaus, V.H.; Kiehl, K. A conceptual framework for urban ecological restoration and rehabilitation. Basic Appl. Ecol. 2021, 52, 82–94. [Google Scholar] [CrossRef]



| Common Name | Scientific Name | Family |
|---|---|---|
| Black-eyed Susan | Rudbeckia hirta L. | Asteraceae |
| Dotted blazing star | Liatris ligulistylis A. Nels. K. Schum. | Asteraceae |
| Hairy false golden aster | Heterotheca villosa Pursh Shinners | Asteraceae |
| Little-leaf pussytoes | Antennaria microphylla Rydb. | Asteraceae |
| Prairie sagewort | Artemisia frigida Willd | Asteraceae |
| White prairie aster | Symphyotrichum falcatum Lindl. G.L. Nesom | Asteraceae |
| Harebell | Campanula rotundifolia L. | Campanulaceae |
| Bunchberry | Cornus canadensis L. | Cornaceae |
| Giant hyssop | Agastache foeniculum Pursh ktze. | Lamiaceae |
| Wild mint | Mentha arvensis L. | Lamiaceae |
| Prairie onion | Allium textile A. Nels. and J. F. Macbr. | Liliaceae |
| Yellow buckwheat | Eriogonum flavum Nutt. | Polygonaceae |
| Canada anemone | Anemone canadensis L. | Ranunculaceae |
| Long-fruited anemone | Anemone cylindrica Gray | Ranunculaceae |
| Prairie crocus | Pulsatilla patens L. | Ranunculaceae |
| Tall larkspur | Delphinium elatum L. | Ranunculaceae |
| Veiny meadow | Thalictrum venulosum Trel. | Ranunculaceae |
| Prairie cinquefoil | Potentilla arguta Pursh | Rosaceae |
| Three-flowered avens | Geum aleppicum Jacq. | Rosaceae |
| Wild strawberry | Fragaria virginiana Dcne. | Rosaceae |
| Northern bedstraw | Galium boreale L. | Rubiaceae |
| Round-leaved alumroot | Heuchera cylindrica Douglas ex Hook. | Saxifragaceae |
| Slender penstemon | Penstemon procerus Dougl. Ex Graham | Scrophulariaceae |
| Early blue violet | Viola adunca Sm. | Violaceae |
| Species | Compost 0% | Compost 20% | Compost 50% | Compost 100% |
|---|---|---|---|---|
| Agastache foeniculum | 11.4 (1.2) | 72.0 (4.3) | 46.5 (3.4) | 68.8 (7.2) |
| Allium textile | 6.5 (0.9) | 9.6 (1.9) | 7.5 (0.5) | 8.2 (2.3) |
| Anemone canadensis | 8.7 (1.0) | 16.2 (1.1) | 17.0 (NA) | 24.3 (1.4) |
| Anemone cylindrica | 5.0 (NA) | 11.7 (2.5) | 9.7 (1.9) | 18.7 (1.8) |
| Antennaria microphylla | 20.7 (1.8) b | 27.3 (2.3) ab | 21.6 (1.1) b | 30.7 (2.4) a |
| Artemisia frigida | 16.2 (1.9) | 128.0 (3.9) | 118.7 (6.7) | 99.2 (10.8) |
| Campanula rotundifolia | 7.4 (0.7) | 25.4 (3.7) | 15.8 (1.7) | 26.4 (2.9) |
| Delphinium elatum | 5.3 (0.3) b | 16.4 (1.8) a | 16.4 (1.1) a | 21.0 (1.9) a |
| Eriogonum flavum | 8.5 (0.9) | 14.0 (1.2) | 9.0 (0.2) | 12.4 (0.6) |
| Fragaria virginiana | 9.5 (0.8) b | 18.0 (1.7) a | 16.6 (1.0) a | 19.0 (1.2) a |
| Galium boreale | 8.8 (1.1) | 24.2 (2.6) | 19.9 (1.0) | 21.3 (2.6) |
| Geum aleppicum | 12.1 (1.0) b | 22.5 (1.7) a | 18.1 (1.2) ab | 21.0 (2.1) a |
| Heterotheca villosa | 16.3 (2.1) | 37.6 (5.5) | 21.6 (3.3) | 38.6 (4.9) |
| Heuchera cylindrica | 9.4 (0.6) b | 24.0 (1.2) a | 19.8 (1.8) a | 23.6 (1.6) a |
| Liatris ligulistylis | 9.6 (1.0) | 13.5 (0.5) | 10.0 (1.6) | 14.3 (0.9) |
| Mentha arvensis | 9.7 (2.2) b | 67.5 (10.3) a | 39.1 (6.0) ab | 52.2 (7.8) a |
| Penstemon procerus | 18.9 (1.8) c | 47.1 (2.7) a | 33.3 (3.4) b | 49.8 (2.5) a |
| Potentilla arguta | 5.0 (NA) | 25.7 (1.7) | 22.6 (1.4) | 30.2 (2.2) |
| Pulsatilla patens | 2.5 (0.2) | 8.1 (0.7) | 6.0 (1.1) | 10.0 (0.9) |
| Rudbeckia hirta | 21.7 (2.7) b | 39.1 (3.9) ab | 38.4 (2.9) ab | 46.8 (4.1) a |
| Symphyotrichum falcatum | 21.8 (2.5) b | 55.3 (4.6) a | 60.1 (4.4) a | 62.7 (5.6) a |
| Thalictrum venulosum | 7.3 (1.3) | 19.8 (2.2) | 13.8 (2.9) | 19.7 (1.3) |
| Viola adunca | 7.5 (0.2) | 11.2 (1.3) | 10.6 (2.4) | 12.6 (1.4) |
| Properties | Compost 0% | Compost 20% | Compost 50% | Compost 100% | ||||
|---|---|---|---|---|---|---|---|---|
| Year 1 | Year 2 | Year 1 | Year 2 | Year 1 | Year 2 | Year 1 | Year 2 | |
| pH | 6.5 (0.1) | 6.9 (0.1) | 6.2 (0.2) | 6.3 (0.1) | 6.0 (0.1) | 6.2 (0.1) | 5.8 (0.1) | 5.7 (0.1) |
| EC (dS m−1) | 1.1 (0.1) c | 1.2 (0.1) y | 2.8 (0.3) b | 2.2 (0.3) x | 3.2 (0.3) a | 2.0 (0.4) x | 5.6 (0.6) a | 2.1 (0.4) x |
| CEC (meq 100 g−1) | 33.8 (1.5) b | 35.7 (5.2) z | 39.8 (4.0) b | 41.5 (5.0) yz | 43.1 (5.9) b | 52.6 (4.7) y | 61.6 (4.2) a | 71.8 (5.2) x |
| SAR | 0.7 (0.1) | 1.0 (0.1) | 0.4 (0.0) | 0.5 (0.1) | 0.4 (0.0) | 0.5 (0.0) | 0.3 (0.1) | 0.3 (0.0) |
| Sodium (mg L−1) | 26.4 (2.8) | 56.4 (4.9) y | 31.0 (4.8) | 41.7 (6.2) xy | 34.0 (6.2) | 35.6 (8.5) x | 28.3 (12) | 22.5 (3.1) x |
| Total Carbon (%) | 4.3 (0.4) c | 3.4 (0.3) y | 5.6 (1.7) c | 5.1 (0.5) y | 9.4 (1.6) b | 6.9 (1.2) y | 23.2.3 (2.5) a | 20.86 (1.9) x |
| Total Nitrogen (%) | 0.3 (0.0) c | 0.3 (0.0) y | 0.5 (0.1) c | 0.5 (0.1) y | 1.4 (0.1) b | 0.6 (0.1) y | 6.4 (0.8) a | 1.5 (0.1) x |
| TOC (%) | 4.3 (0.4) c | 3.2 (0.3) y | 5.2 (0.7) c | 5.1 (0.5) y | 8.3 (0.3) b | 6.5 (1.2) y | 22.5 (2.3) a | 20.7 (1.4) x |
| Ammonium (mg L−1) | 4.3 (1.8) c | 2.3 (0.9) y | 8.8 (3.5) bc | 2.6 (0.3) y | 17.4 (5.1) b | 14.9 (4.6) x | 70.4 (14.2) a | 23.7 (6.4) x |
| Nitrate (mg L−1) | 19.9 (3.3) b | 2.9 (0.9) z | 117.0 (23.2) a | 56.4 (9.1) y | 104.0 (15.8) a | 55.1 (8.0) y | 139.8 (22.3) a | 91.6 (9.0) x |
| Phosphate (mg L−1) | 29.9 (6.1) c | 8.2 (1.8) z | 251.0 (65.2) b | 212.0 (41.2) y | 470.2 (82.4)b | 412.0 (79.5) y | 2580.7 (179.3) a | 1550.0 (154.2) x |
| Potassium (mg L−1) | 176.5 (37.4) c | 121.3 (23.8) z | 231.0 (19.9) c | 186.3 (14.1) y | 330.7 (29.0) b | 290.0 (62.3) y | 1100.0 (58.6) a | 1050.8 (100.8) x |
| Sulfate (mg L−1) | 44.1 (2.2) c | 82.1 (3.8) z | 154.0 (23.6) b | 129.4 (23.9) y | 231.5 (32.4) ab | 178.8 (31.1) y | 372.7 (85.7) a | 274.1 (61.1) x |
| Calcium (mg L−1) | 111.4 (13.5) b | 170.0 (15.8) y | 340.1 (53.1) a | 379.7 (48.2) x | 396.8 (75.7) 4 | 328.0 (61.0) x | 306.5 (45.4) a | 299.8 (63.3) x |
| Chloride (mg L−1) | 30.5 (3.8) | 36.5 (4.3) | 25.6 (5.0) | 30.8 (5.7) | 26.2 (7.7) | 34.5 (4.9) | 24.1 (6.5) | 20.0 (3.1) |
| Copper (mg L−1) | 16.6 (0.5) c | 0.9 (0.1) z | 44.0 (3.5) b | 2.9 (0.4) y | 55.5 (5.9) b | 5.1 (1.9) y | 308.0 (5.9) a | 40.6 (2.7) x |
| Magnesium (mg L−1) | 27.0 (4.2) c | 39.5 (8.6) y | 77.6 (15.1) b | 89.7 (14.8) x | 108.6 (21.4) a | 91.5 (19.2) x | 126.4 (19.4) a | 114.0 (22.2) x |
Publisher’s Note: MDPI stays neutral with regard to jurisdictional claims in published maps and institutional affiliations. |
© 2022 by the authors. Licensee MDPI, Basel, Switzerland. This article is an open access article distributed under the terms and conditions of the Creative Commons Attribution (CC BY) license (https://creativecommons.org/licenses/by/4.0/).
Share and Cite
Rojas, J.A.; Dhar, A.; Naeth, M.A. Urban Green Spaces Restoration Using Native Forbs, Site Preparation and Soil Amendments—A Case Study. Land 2022, 11, 498. https://doi.org/10.3390/land11040498
Rojas JA, Dhar A, Naeth MA. Urban Green Spaces Restoration Using Native Forbs, Site Preparation and Soil Amendments—A Case Study. Land. 2022; 11(4):498. https://doi.org/10.3390/land11040498
Chicago/Turabian StyleRojas, Jaime Aguilar, Amalesh Dhar, and M. Anne Naeth. 2022. "Urban Green Spaces Restoration Using Native Forbs, Site Preparation and Soil Amendments—A Case Study" Land 11, no. 4: 498. https://doi.org/10.3390/land11040498
APA StyleRojas, J. A., Dhar, A., & Naeth, M. A. (2022). Urban Green Spaces Restoration Using Native Forbs, Site Preparation and Soil Amendments—A Case Study. Land, 11(4), 498. https://doi.org/10.3390/land11040498

