The Effects of Tidal Flat Reclamation on the Stability of the Coastal Area in the Jiangsu Province, China, from the Perspective of Landscape Structure
Abstract
1. Introduction
2. Materials and Methods
2.1. Study Area
2.2. Data Sources and Preprocessing
2.3. The Identify of Use Types of Reclamation
2.4. Buffer Analysis
2.5. Evaluation of the Ecological Stability in the Jiangsu Coastal Area
2.6. Statistical Analyses
2.7. Landscape Indices
3. Results
3.1. Major Landscape Transformation Features
3.1.1. Analysis of the Landscape Change Process
3.1.2. Analysis of TFR process
3.2. Change in Cological Stability in the Coastal Area
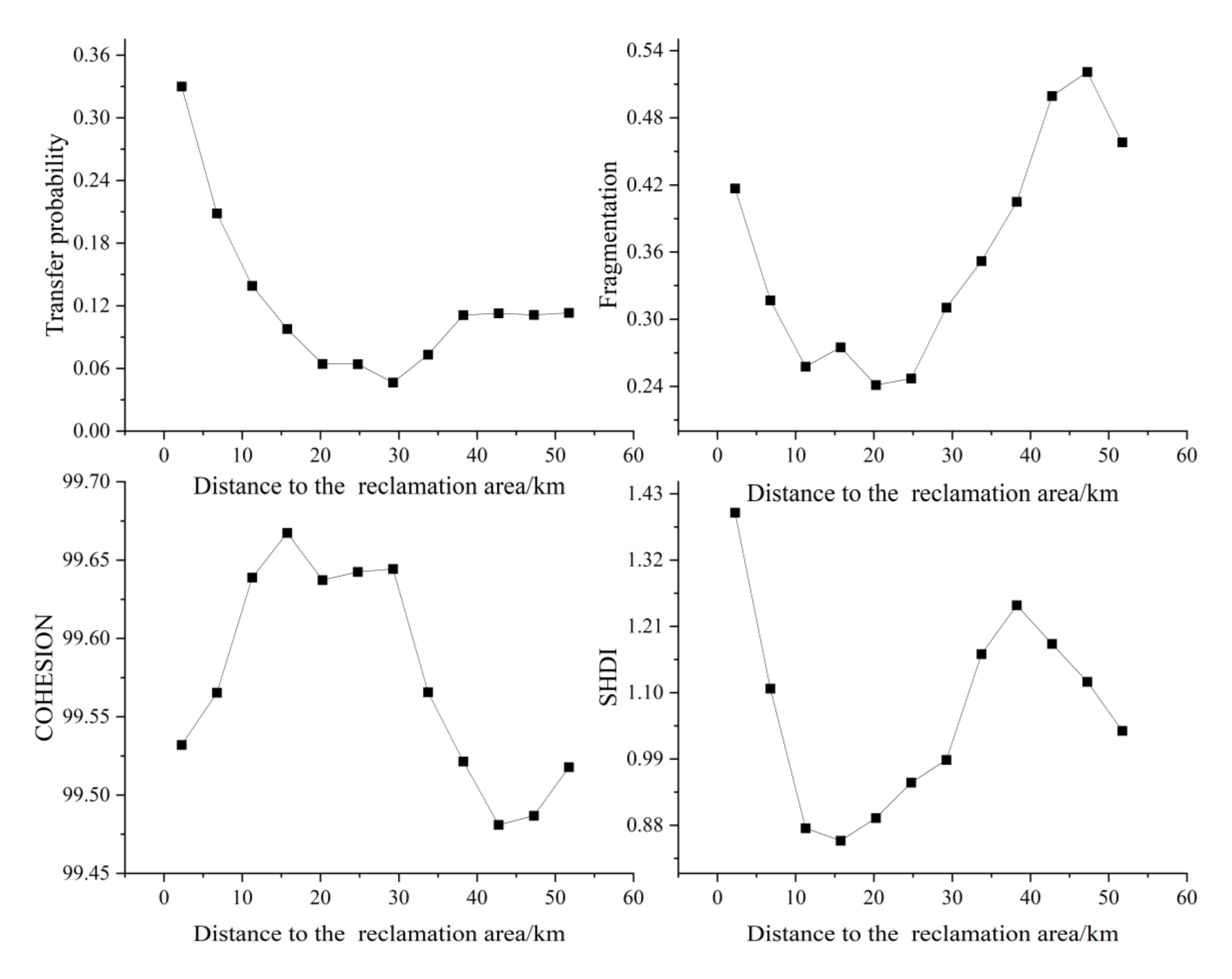
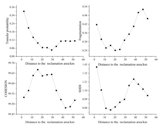
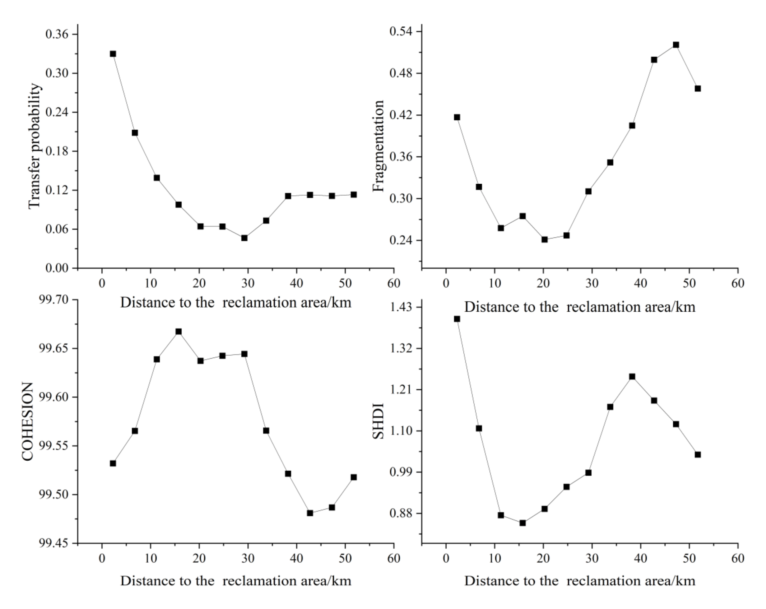
3.2.1. The Impact Scope of TFR in the Jiangsu Coastal Area
3.2.2. Temporal and Spatial Change in Stability
3.3. Quantitative Relationship between TFR and Ecological Stability
4. Discussion
4.1. The Impact Scope of TFR
4.2. The Rationality of the Index Construction
4.3. Landscape Transformation and Stability
4.4. Implications for Protection and Management of Wetland Resources
4.5. Limitations
5. Conclusions
Author Contributions
Funding
Data Availability Statement
Acknowledgments
Conflicts of Interest
References
- Costanza, R.; Anderson, S.J.; Sutton, P.; Mulder, K.; Mulder, O.; Kubiszewski, I.; Wang, X.; Liu, X.; Pérez-Maqueo, O.; Martinez, M.L. The global value of coastal wetlands for storm protection. Glob. Environ. Change 2021, 70, 102328. [Google Scholar] [CrossRef]
- Narayan, S.; Beck, M.W.; Wilson, P.; Thomas, C.J.; Guerrero, A.; Shepard, C.C.; Reguero, B.G.; Franco, G.; Ingram, J.C.; Trespalacios, D. The Value of Coastal Wetlands for Flood Damage Reduction in the Northeastern USA. Sci. Rep. 2017, 7, 9463. [Google Scholar] [CrossRef] [PubMed]
- Newton, A.; Icely, J.; Cristina, S.; Perillo, G.M.E.; Turner, R.E.; Ashan, D.; Cragg, S.; Luo, Y.M.; Tu, C.; Li, Y.; et al. Anthropogenic, Direct Pressures on Coastal Wetlands. Front. Ecol. Evol. 2020, 8, 144. [Google Scholar] [CrossRef]
- Murray, N.J.; Phinn, S.R.; DeWitt, M.; Ferrari, R.; Johnston, R.; Lyons, M.B.; Clinton, N.; Thau, D.; Fuller, R.A. The global distribution and trajectory of tidal flats. Nature 2019, 565, 222–225. [Google Scholar] [CrossRef] [PubMed]
- Cui, L.L.; Li, G.S.; Chen, Y.H.; Li, L.J. Response of Landscape Evolution to Human Disturbances in the Coastal Wetlands in Northern Jiangsu Province, China. Remote Sens. 2021, 13, 2030. [Google Scholar] [CrossRef]
- Gaglio, M.; Aschonitis, V.G.; Gissi, E.; Castaldelli, G.; Fano, E.A. Land use change effects on ecosystem services of river deltas and coastal wetlands: Case study in Volano-Mesola-Goro in Po river delta (Italy). Wetl. Ecol. Manag. 2017, 25, 67–86. [Google Scholar] [CrossRef]
- Wang, L.; Coles, N.; Wu, C.F.; Wu, J.P. Effect of Long-Term Reclamation on Soil Properties on a Coastal Plain, Southeast China. J. Coast. Res. 2014, 30, 661–669. [Google Scholar] [CrossRef]
- Wang, X.G.; Yan, F.Q.; Su, F.Z. Changes in coastline and coastal reclamation in the three most developed areas of China, 1980–2018. Ocean Coast Manage. 2021, 204, 105542. [Google Scholar] [CrossRef]
- Wang, X.X.; Xiao, X.M.; Zou, Z.H.; Chen, B.Q.; Ma, J.; Dong, J.W.; Doughty, R.B.; Zhong, Q.Y.; Qin, Y.W.; Dai, S.Q.; et al. Tracking annual changes of coastal tidal flats in China during 1986–2016 through analyses of Landsat images with Google Earth Engine. Remote Sens. Environ. 2020, 238, 110987. [Google Scholar] [CrossRef] [PubMed]
- Chen, L.; Ren, C.Y.; Zhang, B.; Li, L.; Wang, Z.M.; Song, K.S. Spatiotemporal Dynamics of Coastal Wetlands and Reclamation in the Yangtze Estuary During Past 50 Years (1960s–2015). Chin. Geogr. Sci. 2018, 28, 386–399. [Google Scholar] [CrossRef]
- Wang, X.X.; Xiao, X.M.; Xu, X.; Zou, Z.H.; Chen, B.Q.; Qin, Y.W.; Zhang, X.; Dong, J.W.; Liu, D.Y.; Pan, L.H.; et al. Rebound in China’s coastal wetlands following conservation and restoration. Nat. Sustain. 2021, 4, 1076–1083. [Google Scholar] [CrossRef]
- Tian, B.; Wu, W.T.; Yang, Z.Q.; Zhou, Y.X. Drivers, trends, and potential impacts of long-term coastal reclamation in China from 1985 to 2010. Estuar. Coast. Shelf Sci. 2016, 170, 83–90. [Google Scholar] [CrossRef]
- Ma, Z.; Melville, D.S.; Liu, J.; Chen, Y.; Yang, H.; Ren, W.; Zhang, Z.; Piersma, T.; Li, B. Rethinking China’s new great wall. Science 2014, 346, 912–914. [Google Scholar] [CrossRef] [PubMed]
- Meng, W.Q.; He, M.X.; Hu, B.B.; Mo, X.Q.; Li, H.Y.; Liu, B.Q.; Wang, Z.L. Status of wetlands in China: A review of extent, degradation, issues and recommendations for improvement. Ocean Coast. Manage. 2017, 146, 50–59. [Google Scholar] [CrossRef]
- Chen, Y.; Dong, J.; Xiao, X.; Zhang, M.; Tian, B.; Zhou, Y.; Li, B.; Ma, Z. Land claim and loss of tidal flats in the Yangtze Estuary. Sci. Rep. 2016, 6, 24018. [Google Scholar] [CrossRef] [PubMed]
- Yang, H.; Ma, M.; Thompson, J.R.; Flower, R.J. Protect coastal wetlands in China to save endangered migratory birds. Proc. Natl. Acad. Sci. USA. 2017, 114, E5491–E5492. [Google Scholar] [CrossRef] [PubMed]
- Sun, X.; Li, Y.F.; Zhu, X.D.; Cao, K.; Feng, L. Integrative assessment and management implications on ecosystem services loss of coastal wetlands due to reclamation. J. Clean Prod. 2017, 163, S101–S112. [Google Scholar] [CrossRef]
- Liu, Q.; Mou, X. Interactions between Surface Water and Groundwater: Key Processes in Ecological Restoration of Degraded Coastal Wetlands Caused by Reclamation. Wetlands 2016, 36, S95–S102. [Google Scholar] [CrossRef]
- Zhang, H.; Wu, P.B.; Fan, M.M.; Zheng, S.Y.; Wu, J.T.; Yang, X.H.; Zhang, M.; Yin, A.J.; Gao, C. Dynamics and driving factors of the organic carbon fractions in agricultural land reclaimed from coastal wetlands in eastern China. Ecol. Indic. 2018, 89, 639–647. [Google Scholar] [CrossRef]
- Wang, W.; Liu, H.; Li, Y.Q.; Su, J.L. Development and management of land reclamation in China. Ocean Coast. Manage. 2014, 102, 415–425. [Google Scholar] [CrossRef]
- Choi, C.Y.; Jackson, M.V.; Gallo-Cajiao, E.; Murray, N.J.; Clemens, R.S.; Gan, X.J.; Fuller, R.A. Biodiversity and China’s new Great Wall. Divers. Distrib. 2018, 24, 137–143. [Google Scholar] [CrossRef]
- Lin, W.J.; Wu, J.; Lin, H.J. Contribution of unvegetated tidal flats to coastal carbon flux. Glob. Change Biol. 2020, 26, 3443–3454. [Google Scholar] [CrossRef] [PubMed]
- Yan, X.L.; Liu, M.; Zhong, J.Q.; Guo, J.T.; Wu, W. How Human Activities Affect Heavy Metal Contamination of Soil and Sediment in a Long-Term Reclaimed Area of the Liaohe River Delta, North China. Sustainability 2018, 10, 338. [Google Scholar] [CrossRef]
- Hua, J.; Feng, Y.; Jiang, Q.; Bao, X.; Yin, Y. Shift of bacterial community structure along different coastal reclamation histories in Jiangsu, Eastern China. Sci. Rep. 2017, 7, 10096. [Google Scholar] [CrossRef]
- Jin, Y.W.; Yang, W.; Sun, T.; Yang, Z.F.; Li, M. Effects of seashore reclamation activities on the health of wetland ecosystems: A case study in the Yellow River Delta, China. Ocean Coast. Manage. 2016, 123, 44–52. [Google Scholar] [CrossRef]
- Donohue, I.; Hillebrand, H.; Montoya, J.M.; Petchey, O.L.; Pimm, S.L.; Fowler, M.S.; Healy, K.; Jackson, A.L.; Lurgi, M.; McClean, D.; et al. Navigating the complexity of ecological stability. Ecol. Lett. 2016, 19, 1172–1185. [Google Scholar] [CrossRef]
- Kéfi, S.; Domínguez-García, V.; Donohue, I.; Fontaine, C.; Thébault, E.; Dakos, V. Advancing our understanding of ecological stability. Ecol. Lett. 2019, 22, 1349–1356. [Google Scholar] [CrossRef] [PubMed]
- Grimm, V.; Wissel, C. Babel, or the ecological stability discussions: An inventory and analysis of terminology and a guide for avoiding confusion. Oecologia 1997, 109, 323–334. [Google Scholar] [CrossRef] [PubMed]
- Li, W.; Tan, R.; Wang, J.; Fan, D.; Yang, Y. Effects of anthropogenic disturbance on richness-dependent stability in Napahai plateau wetland. Sci. Bull. 2013, 55, 4120–4125. [Google Scholar] [CrossRef][Green Version]
- Li, H.F.; Li, L.F.; Su, F.L.; Wang, T.L.; Gao, P. Ecological stability evaluation of tidal flat in coastal estuary: A case study of Liaohe estuary wetland, China. Ecol. Indic. 2021, 130, 108032. [Google Scholar] [CrossRef]
- Li, X.H.; Lei, S.G.; Liu, Y.; Chen, H.; Zhao, Y.B.; Gong, C.A.; Bian, Z.F.; Lu, X.G. Evaluation of Ecological Stability in Semi-Arid Open-Pit Coal Mining Area Based on Structure and Function Coupling during 2002–2017. Remote Sens. 2021, 13, 5040. [Google Scholar] [CrossRef]
- Parparov, A.; Gal, G. Quantifying Ecological Stability: From Community to the Lake Ecosystem. Ecosystems 2017, 20, 1015–1028. [Google Scholar] [CrossRef]
- Zhang, Z.S.; Xue, Z.S.; Lyu, X.G.; Tong, S.Z.; Jiang, M. Scaling of soil carbon, nitrogen, phosphorus and C:N:P ratio patterns in peatlands of China. Chin. Geogr. Sci. 2017, 27, 507–515. [Google Scholar] [CrossRef]
- Mukherjee, K. Wetland habitat stability assessment in hydro-geomorphological (HGM) and surface water availability (SWA) conditions in a lower Gangetic floodplain region of Eastern India. Ecol. Indic. 2020, 119, 106842. [Google Scholar] [CrossRef]
- Ren, P.; Hong, B.T.; Cheng, W.X.; Zhou, J.M. Stability evaluation of forest ecosystem and study of spatial differential features in the upper Yangtze River. Geogr. Res. 2013, 32, 1017–1024. [Google Scholar]
- Zhou, Z.B.; Xu, X.W.; Lei, J.Q.; Li, S.G. Study on the ecological stability of tarim desert highway shelterbelt. Sci. Bull. 2006, 51, 126–312. [Google Scholar] [CrossRef]
- Wu, J.G. Landscape Ecology—Concepts and Theories. Chinese J. Ecol. 2000, 19, 42–52. [Google Scholar]
- Ma, T.T.; Li, X.W.; Bai, J.H.; Cui, B.S. Impacts of Coastal Reclamation on Natural Wetlands in Large River Deltas in China. Chin. Geogr. Sci. 2019, 29, 640–651. [Google Scholar] [CrossRef]
- Yu, H.; Liu, X.M.; Kong, B.; Li, R.P.; Wang, G.X. Landscape ecology development supported by geospatial technologies: A review. Ecol. Inform. 2019, 51, 185–192. [Google Scholar] [CrossRef]
- Xu, X.; Yang, T. Mathematical model study on overall impact of Sanmenwan Bay reclamation project. J. Mar. Sci. 2006, 4, 49–59. [Google Scholar]
- Zhang, C.; Zheng, J.; Dong, X.; Cao, K.; Zhang, J. Morphodynamic response of Xiaomiaohong tidal channel to a coastal reclamation project in Jiangsu Coast, China. J. Coast. Res. 2013, 65, 630–635. [Google Scholar] [CrossRef]
- Yu, J.; Bao, X.W.; Ding, Y.; Zhang, W.; Zhou, L.L. The impact of large-scale reclamation on hydro-dynamic environment—A case study of Xinghua Bay. J. Ocean Univ. China 2016, 15, 583–592. [Google Scholar] [CrossRef]
- Zhou, Y.K.; Ning, L.X.; Bai, X.L. Spatial and temporal changes of human disturbances and their effects on landscape patterns in the Jiangsu coastal zone, China. Ecol. Indic. 2018, 93, 111–122. [Google Scholar] [CrossRef]
- Bao, J.L.; Gao, S. Traditional coastal management practices and land use changes during the 16–20th centuries, Jiangsu Province, China. Ocean Coast. Manage. 2016, 124, 10–21. [Google Scholar] [CrossRef]
- Li, L.J.; Li, G.S.; Cui, L.L.; He, L.; Chen, Y.H. Method for modelling ecological competition based on Pareto optimality: A case study of coastal wetlands in Jiangsu Province, China. Ecol. Indic. 2021, 129, 107946. [Google Scholar] [CrossRef]
- Ma, T.T.; Li, X.W.; Bai, J.H.; Cui, B.S. Tracking three decades of land use and land cover transformation trajectories in China’s large river deltas. Land Degrad. Dev. 2019, 30, 799–810. [Google Scholar] [CrossRef]
- Liu, S.L.; Zhao, Q.H.; Wen, M.X.; Deng, L.; Dong, S.K.; Wang, C. Assessing the impact of hydroelectric project construction on the ecological integrity of the Nuozhadu Nature Reserve, southwest China. Stoch. Environ. Res. Risk Assess. 2013, 27, 1709–1718. [Google Scholar] [CrossRef]
- Li, H.L.; Peng, J.; Liu, Y.X.; Hu, Y.N. Urbanization impact on landscape patterns in Beijing City, China: A spatial heterogeneity perspective. Ecol. Indic. 2017, 82, 50–60. [Google Scholar] [CrossRef]
- Zhu, C.M.; Zhang, X.L.; Zhou, M.M.; He, S.; Gan, M.Y.; Yang, L.X.; Wang, K. Impacts of urbanization and landscape pattern on habitat quality using OLS and GWR models in Hangzhou, China. Ecol. Indic. 2020, 117, 106654. [Google Scholar] [CrossRef]
- Kirwan, M.L.; Megonigal, J.P. Tidal wetland stability in the face of human impacts and sea-level rise. Nature 2013, 504, 53–60. [Google Scholar] [CrossRef]
- Tobler, W.R. A Computer Movie Simulating Urban Growth in the Detroit Region. Econ. Geogr. 1970, 46, 234–240. [Google Scholar] [CrossRef]
- Fan, Q.D.; Ding, S.Y. Landscape pattern changes at a county scale: A case study in Fengqiu, Henan Province, China from 1990 to 2013. Catena 2016, 137, 152–160. [Google Scholar] [CrossRef]
- Di, X.H.; Hou, X.Y.; Wang, Y.D.; Wu, L. Spatial-temporal Characteristics of Land Use Intensity of Coastal Zone in China During 2000–2010. Chin. Geogr. Sci. 2015, 25, 51–61. [Google Scholar] [CrossRef]
- Cavallero, L.; Lopez, D.R.; Raffaele, E.; Aizen, M.A. Structural-functional approach to identify post-disturbance recovery indicators in forests from northwestern Patagonia: A tool to prevent state transitions. Ecol. Indic. 2015, 52, 85–95. [Google Scholar] [CrossRef]
- Wang, Y.; Cadotte, M.W.; Chen, Y.; Fraser, L.H.; Zhang, Y.; Huang, F.; Luo, S.; Shi, N.; Loreau, M. Global evidence of positive biodiversity effects on spatial ecosystem stability in natural grasslands. Nat. Commun. 2019, 10, 3207. [Google Scholar] [CrossRef]
- Pennekamp, F.; Pontarp, M.; Tabi, A.; Altermatt, F.; Alther, R.; Choffat, Y.; Fronhofer, E.A.; Ganesanandamoorthy, P.; Garnier, A.; Griffiths, J.I.; et al. Biodiversity increases and decreases ecosystem stability. Nature 2018, 563, 109–112. [Google Scholar] [CrossRef]
- Hu, T.; Fan, J.; Hou, H.; Li, Y.; Li, Y.; Huang, K. Long-term monitoring and evaluation of land development in a reclamation area under rapid urbanization: A case-study in Qiantang New District, China. Land Degrad. Dev. 2021, 32, 3259–3271. [Google Scholar] [CrossRef]
- Lin, Q.Y.; Yu, S. Losses of natural coastal wetlands by land conversion and ecological degradation in the urbanizing Chinese coast. Sci. Rep. 2018, 8, 16046. [Google Scholar] [CrossRef]
- Jim, C.Y. Sustainable urban greening strategies for compact cities in developing and developed economies. Urban Ecosyst. 2012, 16, 741–761. [Google Scholar] [CrossRef]








| Categories | Landscape Types |
|---|---|
| Natural wetlands | River (RR), grassy marshland (GM), Phragmites Australis (PA), Suaeda glauca (SG), Spartina alterniflora (SA), mudflat (MT) |
| Artificial wetlands | Paddy field (PF), pool (PL), salt field (SF), mariculture farm (MF) |
| Non-wetlands | Dryland (DL), forest (FT), bareland (BD), levee (LE), urban land (UL), rural residential land (RL), construction land (CL) |
| Use Types | Start-Point Landscape Type | End-Point Landscape Type |
|---|---|---|
| AQL | Nature wetlands: mudflat, Suaeda glauca, Phragmites Australis, grasslands, rivers, and Spartina alterniflora | Mariculture farm |
| ARL | Paddy land, dryland | |
| POL | Rural land, urban land, construction land | |
| SAL | Salt pond | |
| HYL | Pool, levee |
| Types | GM | MT | DL | RR | FT | PA | BD | SA | PL | PF | SG | SF | MF |
|---|---|---|---|---|---|---|---|---|---|---|---|---|---|
| Optimal | 9.94 | 0.07 | 0.87 | 1.81 | 35.81 | 7.27 | 2.53 | 4.24 | 0.44 | 29.53 | 0.15 | 1.30 | 6.00 |
| Use Types | Affected Area | Reclamation Area | Non-Reclamation Area | |||||||||
|---|---|---|---|---|---|---|---|---|---|---|---|---|
| SW | SNW | SCW | SOW | SW | SNW | SCW | SOW | SW | SNW | SCW | SOW | |
| CA | −0.488 | −0.936 ** | −0.525 | −0.385 | −0.909 ** | −0.987 ** | 0.667 * | 0.596 | −0.486 | 0.686 * | −0.474 | −0.476 |
| AQL | −0.570 | −0.899 ** | −0.618 * | −0.474 | −0.932 ** | −0.962 ** | 0.581 | 0.582 | −0.563 | 0.712 * | −0.441 | −0.556 |
| ARL | −0.675 * | −0.749 ** | −0.777 ** | −0.589 | −0.962 ** | −0.843 ** | 0.267 | 0.593 | −0.675 * | 0.821 ** | −0.397 | −0.670 * |
| POL | −0.376 | −0.977** | −0.321 | −0.281 | −0.794 ** | −0.965 ** | 0.793 ** | 0.364 | −0.343 | 0.522 | −0.418 | −0.333 |
| SAL | −0.631 * | −0.707 * | −0.737 ** | −0.547 | −0.880 ** | −0.817 ** | 0.353 | 0.666* | −0.644 * | 0.735 * | −0.454 | −0.637 * |
| HYL | −0.405 | −0.977 ** | −0.357 | −0.308 | −0.824 ** | −0.979 ** | 0.755 ** | 0.444 | −0.384 | 0.565 | −0.444 | −0.374 |
Publisher’s Note: MDPI stays neutral with regard to jurisdictional claims in published maps and institutional affiliations. |
© 2022 by the authors. Licensee MDPI, Basel, Switzerland. This article is an open access article distributed under the terms and conditions of the Creative Commons Attribution (CC BY) license (https://creativecommons.org/licenses/by/4.0/).
Share and Cite
Chen, Y.; Li, G.; Cui, L.; Li, L.; He, L.; Ma, P. The Effects of Tidal Flat Reclamation on the Stability of the Coastal Area in the Jiangsu Province, China, from the Perspective of Landscape Structure. Land 2022, 11, 421. https://doi.org/10.3390/land11030421
Chen Y, Li G, Cui L, Li L, He L, Ma P. The Effects of Tidal Flat Reclamation on the Stability of the Coastal Area in the Jiangsu Province, China, from the Perspective of Landscape Structure. Land. 2022; 11(3):421. https://doi.org/10.3390/land11030421
Chicago/Turabian StyleChen, Yanhui, Guosheng Li, Linlin Cui, Lijuan Li, Lei He, and Peipei Ma. 2022. "The Effects of Tidal Flat Reclamation on the Stability of the Coastal Area in the Jiangsu Province, China, from the Perspective of Landscape Structure" Land 11, no. 3: 421. https://doi.org/10.3390/land11030421
APA StyleChen, Y., Li, G., Cui, L., Li, L., He, L., & Ma, P. (2022). The Effects of Tidal Flat Reclamation on the Stability of the Coastal Area in the Jiangsu Province, China, from the Perspective of Landscape Structure. Land, 11(3), 421. https://doi.org/10.3390/land11030421

