Response of Ecosystem Service Value to Landscape Pattern Changes under Low-Carbon Scenario: A Case Study of Fujian Coastal Areas
Abstract
1. Introduction
2. Materials and Methods
2.1. Study Area
2.2. Data Source
2.3. Research Process and Methods
2.3.1. Research Process
2.3.2. Landscape Types Simulation and Prediction Based on LCS
2.3.3. Scenario Setting and Conversion-Cost Matrix
2.3.4. Index-Selected Landscape Patterns
2.3.5. Estimation of ESV and Correction of Coefficients
2.3.6. ESV and Landscape Patterns Index Correlation Test
3. Results
3.1. Spatiotemporal Characteristics of Landscape Transition and Landscape Pattern Evolution under LCS Simulation
3.1.1. Spatiotemporal Characteristics of Landscape Transition
3.1.2. Spatiotemporal Characteristics of Landscape Pattern Changes
3.2. Spatiotemporal Characteristics of ESV under LCS Simulation
3.2.1. Spatiotemporal Distribution of ESV

3.2.2. Change Characteristics of Individual ESVs
3.3. Response of ESV to Landscape Pattern Changes
4. Discussion
4.1. Combination of LCS and PLUS Model
4.2. Interrelationship between Landscape Patterns and ESV
4.3. Policy Guidance
4.4. Limitations of the Study and Future Work
5. Conclusions
- The historical and simulated landscape types were similar in spatial distribution, and the woodland landscape type had the largest area, followed by cultivated land and grassland. The construction land in Quanzhou, Xiamen, and Zhangzhou accounted for 69% of the total construction land area, whereas Fuzhou accounted for 18%. From 2030 to 2050, the construction land area under LCS will account for 5.58%, 6.62% to 7.67%, whereas that under NDS will account for 7.65%, 8.57% to 9.45% of the total area.
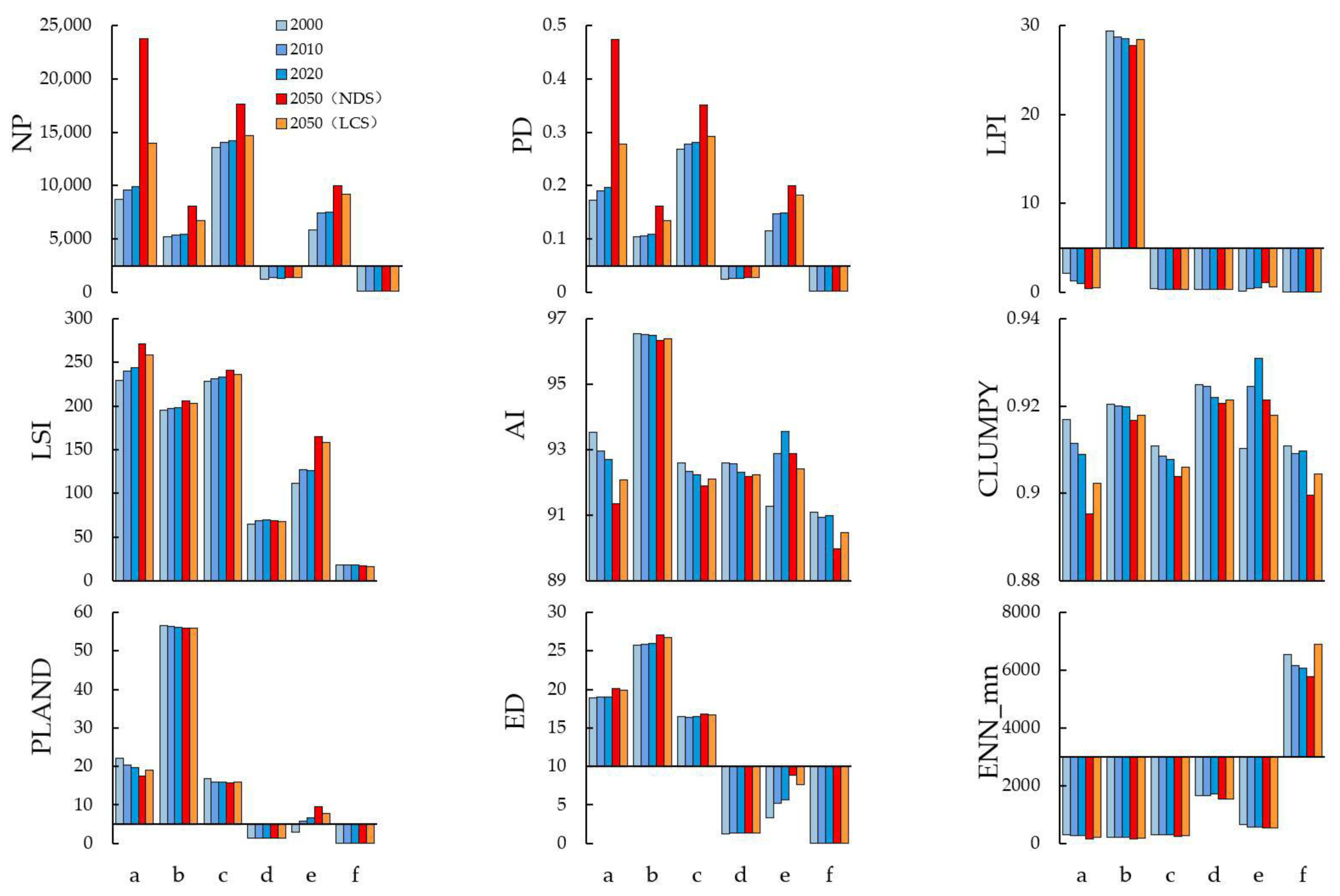
- At the landscape scale, the ED, LSI, PD, and IJI indices increased, the CONTAG and AREA_mn indices decreased, and the PAFRAC and SHAPE_mn indices did not fluctuate significantly. At the landscape type scale, woodland land was the dominant landscape in the study area, and its LPI and PLAND indices were always high. The two indices of construction land increased on a yearly basis, whereas the other landscape types decreased, and the declining trend of LCS was relatively slow. The PD, NP, and ED indices of each landscape type showed a rising trend, whereas the CLUMPY and AI indices decreased. The changes in these indices indicate that the landscape shape in the Fujian coastal areas tended to be complex and fragmented, the continuity of landscape types became low, and the aggregation of patches became weak.
- The total value of ESV in coastal Fujian decreased by 3.134 billion from 2000 to 2020, and the LCS resulted in a 1.294 billion higher ESV in 2050 than the NDS, indicating that the optimised LUCC structure is consistent with low-carbon conservation objectives. Among the individual ESs, the contribution of regulating services is approximately 67%, and support services are more than 20%. Climate regulation, hydrological regulation, soil conservation, biodiversity, and gas regulation are the most important ecosystem service functions in coastal Fujian.
- Over the past 20 years, the total ESV has decreased by 3.134 billion yuan. Except for the slightly higher ESV in the water area, the ESV of the other landscape types decreased. Urban expansion came at the cost of cultivated land loss, with a decline in ESV of 11.39% for cultivated land in the natural conservation scenario and 4.10% in the LCS. The total ESV values in the study area were significantly and positively correlated with cultivated land, woodland, and grassland and significantly and negatively correlated with construction land. The total ESV values were significantly and positively correlated with PLAND, LPI, and AI indices and significantly and negatively correlated with ED and NP, whereas the remaining correlations were not strong.
Author Contributions
Funding
Data Availability Statement
Conflicts of Interest
Appendix A
| Data Type | Data | Year | Resolution | Source |
|---|---|---|---|---|
| Base Data | Land-use data | 2000–2020 | 30 m | CAS (https://www.resdc.cn/, accessed on 28 November 2022) |
| Natural factors | DEM | 2016 | 30 m | DEM generated by NASA SRTM1 v3.0 |
| Slope | Extracted from DEM | |||
| Temperature | 2019 | 1 km | CAS (https://www.resdc.cn/, accessed on 28 November 2022) | |
| Precipitation | ||||
| Soil type | 2008 | |||
| Distance to water | 2018 | 30 m | OpenStreetMap (https://www.openstreetmap.org/, accessed on 28 November 2022) | |
| Socioeconomic factors | Population | 2018 | 1 km | CAS (https://www.resdc.cn/, accessed on 28 November 2022) |
| GDP | ||||
| night-light | 30 m | |||
| Accessibility factors | Distance to trunk road | 30 m | OpenStreetMap (https://www.openstreetmap.org/, accessed on 28 November 2022) | |
| Distance to primary road | ||||
| Distance to secondary road | ||||
| Distance to tertiary road | ||||
| Distance to railway | ||||
| Distance to railway station | ||||
| Constraint factors | Open water | 2018 | 30 m | OpenStreetMap (https://www.openstreetmap.org/, accessed on 28 November 2022) |
| 2000–2020 | LCS | NDS | ||||||||||
|---|---|---|---|---|---|---|---|---|---|---|---|---|
| a | b | c | d | e | f | a | b | c | d | e | f | |
| a | 1 | 0 | 0 | 0 | 0 | 0 | 1 | 0 | 1 | 0 | 0 | 0 |
| b | 0 | 1 | 1 | 0 | 0 | 0 | 0 | 1 | 1 | 0 | 1 | 1 |
| c | 0 | 1 | 1 | 0 | 0 | 0 | 1 | 1 | 1 | 1 | 1 | 1 |
| d | 0 | 0 | 0 | 1 | 0 | 0 | 0 | 1 | 1 | 1 | 1 | 1 |
| e | 1 | 1 | 1 | 0 | 1 | 0 | 1 | 1 | 1 | 0 | 1 | 1 |
| f | 1 | 1 | 1 | 0 | 1 | 1 | 1 | 1 | 1 | 0 | 1 | 1 |
| Landscape Metrics | The Description of Metrics |
|---|---|
| NP = ni | ni = number of patches in the landscape patch type (class) i |
| (100,000)(100) | ni = number of patches in the landscape patch type (class) i A = total landscape area (m2). Units: per 100 ha |
| = The area of patch I; N = The area of patchs | |
| aij = the area of a patch in a certain landscape type; A = the sum of the areas of all landscapes | |
| aij = the area of patch IJ A = the total area of the landscape; including the internal background of the landscape | |
| Enn_mn = cv(mean[patchij]) | ENN[patchij] = the Euclidean nearest-neighbour distance of each patch. |
| E = Total boundary length; A = Total boundary area | |
| ei = total length of edge (or perimeter) by class i in terms of number of cell surfaces; includes all landscape boundary and background edge segments involving class I minei = minimum total length of edge (or perimeter) of class i in terms of number of cell surfaces. units:% | |
| Gi = Similar to the adjacent; Pi = Focal patch type | |
| gii = Number of similar adjacent patches of the corresponding landscape type | |
| Pi = proportional abundance of each patch type (i) gik = number of adjacencies (k) between cells of patch type (i) m = number of different patch types units: % | |
| eik = the length (m) of each unique edge type E = the total landscape edge (m′) = number of patch types |
| Ecosystem Service | Class | Cultivated Land | Woodland | Grassland | Water | Construction Land | Unused Land |
|---|---|---|---|---|---|---|---|
| Supply Service | FP | 1.36 | 0.23 | 0.23 | 0.26 | 0 | 0.01 |
| MP | 0.09 | 0.54 | 0.34 | 0.25 | 0 | 0.03 | |
| Regulation Service | GR | 1.11 | 1.76 | 1.21 | 0.96 | 0 | 0.11 |
| CR | 0.57 | 5.27 | 3.19 | 1.80 | 0 | 0.10 | |
| PE | 0.17 | 1.57 | 1.05 | 1.85 | 0 | 0.31 | |
| HR | 2.72 | 3.81 | 2.34 | 12.13 | 0 | 0.21 | |
| Support Service | SC | 0.01 | 2.14 | 1.47 | 1.17 | 0 | 0.13 |
| MNC | 0.19 | 0.16 | 0.11 | 0.09 | 0 | 0.01 | |
| BD | 0.21 | 1.95 | 1.34 | 3.95 | 0 | 0.12 | |
| Cultural Service | AL | 0.09 | 0.86 | 0.59 | 2.37 | 0 | 0.05 |
| 2020 | Transfer out | |||||||
|---|---|---|---|---|---|---|---|---|
| Cultivated Land | Woodland | Grassland | Water | Construction Land | Unused Land | |||
| 2000 | Cultivated land | 10629 | 58 | 14 | 89 | 1361 | 0 | 1522 |
| Woodland | 35 | 28645 | 136 | 47 | 520 | 1 | 739 | |
| Grassland | 12 | 362 | 8291 | 11 | 229 | 2 | 616 | |
| Water | 15 | 9 | 12 | 995 | 199 | 5 | 240 | |
| Construction land | 8 | 6 | 5 | 15 | 1704 | 0 | 34 | |
| Unused land | 0 | 0 | 2 | 0 | 1 | 38 | 3 | |
| Transfer in | 70 | 435 | 169 | 162 | 2319 | 8 | ||
| Land area gain or loss | −1452 | −304 | −447 | −78 | 2276 | 5 | ||
References
- Chen, Y.; Lu, H.; Li, J.; Xia, J. Effects of land use cover change on carbon emissions and ecosystem services in chengyu urban agglomeration, China. Stoch. Environ. Res. Risk Assess. 2020, 34, 1197–1215. [Google Scholar] [CrossRef]
- Liu, X.; Li, S. A comparison analysis of the decoupling carbon emissions from economic growth in three industries of Heilongjiang province in China. Environ. Sci. Pollut. Res. 2021, 28, 65200–65215. [Google Scholar] [CrossRef] [PubMed]
- Gao, S.; Zhang, H. Urban planning for low-carbon sustainable development. Sustain. Comput. Inform. Syst. 2020, 28, 100398. [Google Scholar] [CrossRef]
- Cheng, R.; Wang, F. Land Use Benefit Evaluation and Barrier Diagnosis of Pearl River Delta from the Perspective of Low-Carbon Ecological City. Res. Soil Water Conserv. 2021, 28, 351–359. [Google Scholar]
- Zhang, Z.P.; Xia, F.Q.; Yang, D.G.; Huo, J.W.; Wang, G.L.; Chen, H.X. Spatiotemporal characteristics in ecosystem service value and its interaction with human activities in Xinjiang, China. Ecol. Indic. 2020, 110, 105826. [Google Scholar] [CrossRef]
- Wang, X.; Pan, T.; Pan, R.; Chi, W.; Ma, C.; Ning, L.; Wang, X.; Zhang, J. Impact of Land Transition on Landscape and ecosystem service value in Northeast Region of China from 2000–2020. Land 2022, 11, 696. [Google Scholar] [CrossRef]
- Chamling, M.; Bera, B. Spatio-temporal Patterns of Land Use/Land Cover Change in the Bhutan–Bengal Foothill Region Between 1987 and 2019. Study Towards Geospatial Applications and Policy Making. Earth Syst. Eviron. 2020, 4, 117–130. [Google Scholar] [CrossRef]
- Costanza, R.; d’Arge, R.; de Groot, R.; Farber, S.; Grasso, M.; Hannon, B.; Limburg, K.; Naeem, S.; O’Neill, R.V.; Paruelo, J. The value of the world’s ecosystem services and natural capital. Nature 1997, 387, 53–260. [Google Scholar] [CrossRef]
- Xie, L.; Wang, H.; Liu, S. The ecosystem service value simulation and driving force analysis based on land use/land cover: A case study in inland rivers in arid areas of the Aksu River Basin, China. Ecol. Indic. 2022, 38, 108828. [Google Scholar] [CrossRef]
- Gao, X.; Wang, J.; Li, C.; Shen, W.; Song, Z.; Nie, C.; Zhang, X. Land use change simulation and spatial analysis of ESV in Shijiazhuang under multi-scenarios. Environ. Sci. Pollut. Res. 2021, 28, 31043–31058. [Google Scholar] [CrossRef]
- Su, K.; Wei, D.Z.; Lin, W.X. Evaluation of ecosystem services value and its implications for policy making in China: A case study of Fujian province. Ecol. Indic. 2020, 108, 105752. [Google Scholar] [CrossRef]
- Zhang, J.; Qu, M.; Wang, C.; Zhao, J.; Cao, Y. Quantifying landscape pattern and ecosystem service value changes: A case study at the county level in the Chinese Loess Plateau. Glob. Ecol. Conserv. 2020, 23, e01110. [Google Scholar] [CrossRef]
- Jiang, W.; Lu, Y.; Liu, Y.; Gao, W. ESV of the Qinghai-Tibet Plateau significantly increased during 25 years. Ecosyst. Serv. 2020, 44, 101146. [Google Scholar] [CrossRef]
- Pan, N.; Guan, Q.; Wang, Q.; Sun, Y.; Li, H.; Ma, Y. Spatial Differentiation and Driving Mechanisms in ecosystem service value of Arid Region: A case study in the middle and lower reaches of Shule River Basin, NW China. J. Clean. Prod. 2021, 319, 128718. [Google Scholar] [CrossRef]
- Yang, X.; Chen, R.; Zheng, X.Q. Simulating land use change by integrating ANN-CA model and landscape pattern indices. Geomat. Nat. Hazards Risk 2016, 7, 918–932. [Google Scholar] [CrossRef]
- Chen, Y.; Li, X.; Liu, X.; Ai, B. Modeling urban land-use dynamics in a fast developing city using the modified logistic cellular automaton with a patch-based simulation strategy. J. Geogr. Sci. 2014, 28, 234–255. [Google Scholar] [CrossRef]
- Liu, X.; Liang, X.; Li, X.; Xu, X.; Ou, J.; Chen, Y.; Li, S.; Wang, S.; Pei, F. A future land use simulation model (FLUS) for simulating multiple land use scenarios by coupling human and natural effects. Landsc. Urban. Plan. 2017, 168, 94–116. [Google Scholar] [CrossRef]
- Liang, X.; Guan, Q.; Clarke, K.C.; Liu, S.; Wang, B.; Yao, Y. Understanding the drivers of sustainable land expansion using a patch-generating land use simulation (PLUS) model: A case study in Wuhan, China. Comput. Environ. Urban. Syst. 2021, 85, 101569. [Google Scholar] [CrossRef]
- Wang, B.; Liao, J.; Zhu, W.; Qiu, Q.; Tang, L. The weight of neighborhood setting of the FLUS model based on a historical scenario: A case study of land use simulation of urban agglomeration of the Golden Triangle of Southern Fujian in 2030. Acta Ecol. Sin. 2019, 39, 4284–4298. [Google Scholar]
- Lin, L.; Qiu, H. The Changes and Driving Factors of Coastal Areas Land Use in Time and Space: A Case Study in Fujian Province, Southeast China. Pol. J. Environ. Stud. 2022, 31, 2695–2707. [Google Scholar] [CrossRef]
- Li, S.; Cao, Y.; Liu, J.; Wang, S.; Zhou, W. Assessing Spatiotemporal Dynamics of Land Use and Cover Change and Carbon Storage in China’s Ecological Conservation Pilot Zone: A Case Study in Fujian Province. Remote Sens. 2022, 14, 4111. [Google Scholar] [CrossRef]
- Zhang, X.; Du, H.; Wan, Y.; Chen, Y.; Ma, L.; Dong, T. Watershed landscape ecological risk assessment and landscape pattern optimization: Take Fujiang River Basin as an example. Hum. Ecol. Risk Assess. 2021, 27, 2254–2276. [Google Scholar] [CrossRef]
- Chen, X.; He, X.; Wang, S. Simulated Validation and Prediction of Land Use under Multiple Scenarios in Daxing District, Beijing, China, Based on GeoSOS-FLUS Model. Sustainability 2022, 14, 11428. [Google Scholar] [CrossRef]
- Shi, M.; Wu, H.; Fan, X.; Jia, H.; Dong, T.; He, P.; Baqa, M.; Jiang, P. Trade-Offs and Synergies of Multiple Ecosystem Services for Different Land Use Scenarios in the Yili River Valley, China. Sustainability 2021, 13, 1577. [Google Scholar] [CrossRef]
- Pontius, R.G.; Boersma, W.; Castella, J.C.; Clarke, K.; de Nijs, T.; Dietzel, C.; Duan, Z.; Fotsing, E.; Goldstein, N.; Kok, K. Comparing the input, output, and validation maps for several models of land change. Ann. Reg. Sci. 2008, 42, 11–37. [Google Scholar] [CrossRef]
- Li, D.; Fan, K.; Lu, J.; Wu, S.; Xie, X. Research on Spatio-Temporal Pattern Evolution and the Coupling Coordination Relationship of Land-Use Benefit from a Low-Carbon Perspective: A Case Study of Fujian Province. Land 2022, 11, 1498. [Google Scholar] [CrossRef]
- Zhao, J.S.; Yuan, L.; Zhang, M. A study of the system dynamics coupling model of the driving factors for multi-scale land use change. Environ. Earth Sci. 2016, 75, 529. [Google Scholar] [CrossRef]
- Lu, C.; Qi, X.; Zheng, Z.; Jia, K. PLUS-model based multi-scenario land space simulation of the Lower Yellow River Region and its ecological effects. Sustainability 2022, 14, 6942. [Google Scholar] [CrossRef]
- Jia, Y.; Tang, L.; Xu, M.; Yang, X. Landscape pattern indices for evaluating urban spatial morphology—A case study of Chinese cities. Ecol. Indic. 2019, 99, 27–37. [Google Scholar] [CrossRef]
- Clement, F.; Ruiz, J.; Rodriguez, M.A.; Blais, D.; Campeau, S. Landscape diversity and forest edge density regulate stream water quality in agricultural catchments. Ecol. Indic. 2017, 72, 627–639. [Google Scholar] [CrossRef]
- Zhao, Q.; Wen, Z.; Chen, S.; Ding, S.; Zhang, M. Quantifying land Use/land cover and landscape pattern changes and impacts on ecosystem services. Int. J. Environ. Res. Public Health 2019, 17, 126. [Google Scholar] [CrossRef] [PubMed]
- Wu, M.; Li, C.; Du, J.; He, P.; Zhong, S.; Wu, P.; Lu, H.; Fang, S. Quantifying the dynamics and driving forces of the coastal wetland landscape of the Yangtze river estuary since the 1960s. Reg. Stud. Mar. Sci. 2019, 32, 100854. [Google Scholar] [CrossRef]
- Ma, C.; Ai, B.; Zhao, J.; Xu, X.; Huang, W. Change detection of mangrove forests in coastal Guangdong during the past three decades based on remote sensing data. Remote Sens. 2019, 11, 921. [Google Scholar] [CrossRef]
- Santos-Martin, F.; Zorrilla-Miras, P.; Palomo, I.; Montes, C.; Benayas, J.; Maes, J. Protecting nature is necessary but not sufficient for conserving ecosystem services: A comprehensive assessment along a gradient of land-use intensity in Spain. Ecosyst. Serv. 2019, 35, 43–51. [Google Scholar] [CrossRef]
- Xie, G.; Zhang, C.; Zhen, L.; Zhang, L. Dynamic changes in the value of China’s ecosystem services. Ecosyst. Serv. 2017, 26, 146–154. [Google Scholar] [CrossRef]
- Xiao, H.; Hu, C.; Chi, Y. Preliminary evaluation of ecosystem service value of natural grassland in China. Fresen. Environ. Bull. 2021, 30, 2670–2685. [Google Scholar]
- Estoque, R.C.; Murayama, Y. Quantifying landscape pattern and ecosystem service value changes in four rapidly urbanizing hill stations of Southeast Asia. Landsc. Ecol. 2016, 31, 1481–1507. [Google Scholar] [CrossRef]
- Brozovic, D.; Tregua, M. The evolution of service systems to service ecosystems: A literature review. Int. J. Manag. Rev. 2022, 24, 459–479. [Google Scholar] [CrossRef]
- Yun, J.; Liu, H.M.; Xu, Z.C.; Cao, X.A.; Ma, L.Q.; Wen, L.; Zhuo, Y.; Wang, L.X. Assessing changes in the landscape pattern of wetlands and its impact on the value of wetland ecosystem services in the Yellow River Basin, Inner Mongolia. Sustainability 2022, 14, 6328. [Google Scholar] [CrossRef]
- Solomon, N.; Segnon, A.C.; Birhane, E. Ecosystem service value changes in response to land-use/land-cover dynamics in dry afromontane forest in Northern Ethiopia. Int. J. Environ. Res. Public Health 2019, 16, 4653. [Google Scholar] [CrossRef]
- Wang, D.; He, W.; Shi, R. How to achieve the dual-control targets of China’s CO2 emission reduction in 2030? Future trends and prospective decomposition. J. Clean. Prod. 2019, 213, 1251–1263. [Google Scholar] [CrossRef]
- Fang, Z.; Ding, T.; Chen, J.; Xue, S.; Zhou, Q.; Wang, Y.; Wang, Y.; Huang, Z.; Yang, S. Impacts of land use/land cover changes on ecosystem services in ecologically fragile regions. Sci. Total Environ. 2022, 831, 154967. [Google Scholar] [CrossRef] [PubMed]
- Xiao, Y.; Huang, M.; Xie, G.; Zhen, L. Evaluating the impacts of land use change on ecosystem service value under multiple scenarios in the Hunshandake region of China. Sci. Total Environ. 2022, 850, 158067. [Google Scholar] [CrossRef] [PubMed]
- Lou, Y.; Yang, D.; Zhang, P.; Zhang, Y.; Song, M.; Huang, Y.; Jing, W. Multi-scenario simulation of land use changes with ecosystem services value in the Yellow River Basin. Land 2022, 11, 992. [Google Scholar] [CrossRef]
- Zhai, H.; Lv, C.; Liu, W.; Yang, C.; Fan, D.; Wang, Z.; Guan, Q. Understanding spatio-temporal patterns of land use/land cover change under urbanization in Wuhan, China, 2000–2019. Remote Sens. 2021, 13, 3331. [Google Scholar] [CrossRef]
- Zhang, L.; Jin, G.; Wan, Q.; Liu, Y.F.; Wei, X.J. Measurement of ecological land use/cover change and its varying spatiotemporal driving forces by statistical and survival analysis: A case study of Yingkou City, China. Sustainability 2018, 10, 4567. [Google Scholar] [CrossRef]
- Zang, Z.; Zou, X.; Zuo, P.; Song, Q.; Wang, C.; Wang, J. Impact of landscape patterns on ecological vulnerability and ecosystem service values: An empirical analysis of Yancheng Nature Reserve in China. Ecol. Indic. 2017, 72, 142–152. [Google Scholar] [CrossRef]
- Jia, Y.; Tang, X.; Liu, W. Spatial–temporal evolution and correlation analysis of ecosystem service value and landscape ecological Risk in Wuhu City. Sustainability 2020, 12, 2803. [Google Scholar] [CrossRef]
- Zhang, S.; Zhong, Q.; Cheng, D. Coupling coordination analysis and prediction of landscape ecological risks and ecosystem services in the Min River Basin. Land 2022, 11, 222. [Google Scholar] [CrossRef]
- Guo, P.; Zhang, F.; Wang, H. The response of ecosystem service value to land use change in the middle and lower Yellow River: A case study of the Henan section. Ecol. Indic. 2022, 140, 109019. [Google Scholar] [CrossRef]
- Luo, C.; Fu, X.; Zeng, X.; Cao, H.; Wang, J. Responses of remnant wetlands in the Sanjiang Plain to farming-landscape patterns. Ecol. Indic. 2022, 135, 108542. [Google Scholar] [CrossRef]
- Hou, L.; Wu, F.; Xie, X. The spatial characteristics and relationships between landscape pattern and ecosystem service value along an urban-rural gradient in Xi’an city, China. Ecol. Indic. 2020, 108, 105720. [Google Scholar] [CrossRef]
- Lu, M.; Zhang, Y.; Liang, F.; Wu, Y. Spatial relationship between land use patterns and ecosystem services value—Case study of Nanjing. Land 2022, 11, 1168. [Google Scholar] [CrossRef]
- Hasan, S.; Zhen, L.; Miah, M.G.; Ahamed, T.; Samie, A. Impact of land use change on ecosystem services: A review. Environ. Dev. 2020, 34, 100527. [Google Scholar] [CrossRef]
- Wang, Y.; Zhang, S.; Zhen, H.; Chang, X.E.; Shataer, R.; Li, Z. Spatiotemporal evolution characteristics in ecosystem services value based on land use/cover change in the Tarim River Basin, China. Sustainability 2020, 12, 7759. [Google Scholar] [CrossRef]
- Liao, J.; Peng, X.; Wang, Q.; Jian, P.; Wu, Q. Study on the coupling and coordination relationship of urban land use benefit in urban agglomeration on the west coast of Taiwan Strait. World Reg. Stud. 2021, 30, 556–566. [Google Scholar]
- Aksoy, H.; Kaptan, S. Simulation of future forest and land use/cover changes (2019–2039) using the cellular automata-Markov model. Geocarto Int. 2022, 37, 1183–1202. [Google Scholar] [CrossRef]
- Qiu, J.; Huang, T.; Yu, D. Evaluation and optimization of ecosystem services under different land use scenarios in a semiarid landscape mosaic. Ecol. Indic. 2022, 135, 108516. [Google Scholar] [CrossRef]
- Li, Y.; Zhan, J.; Liu, Y.; Zhang, F.; Zhang, M. Response of ecosystem services to land use and cover change: A case study in Chengdu City. Resour. Conserv. Recycl. 2018, 132, 291–300. [Google Scholar] [CrossRef]











| Ecosystem Service | Class | Cultivated Land | Woodland | Grassland | Water | Unused Land |
|---|---|---|---|---|---|---|
| Supply Service | FP | 2472 | 424 | 424 | 464 | 18 |
| RM | 164 | 976 | 624 | 454 | 55 | |
| Regulation Service | GR | 2018 | 3199 | 2193 | 1745 | 200 |
| CR | 1036 | 9574 | 5799 | 3272 | 182 | |
| PE | 309 | 2848 | 1915 | 3363 | 564 | |
| HR | 4944 | 6926 | 4248 | 22050 | 382 | |
| Support Service | SFM | 18 | 3896 | 2672 | 2118 | 236 |
| MNC | 345 | 297 | 206 | 164 | 18 | |
| BP | 382 | 3551 | 2430 | 7171 | 218 | |
| Cultural Service | AL | 164 | 1557 | 1073 | 4308 | 91 |
| Ecosystem Service | Class | ESV Change Rate (%) | ||
|---|---|---|---|---|
| NDS | LCS | |||
| 2000–2020 | 2020–2050 | |||
| Supply services | FP | 7.78 | 7.52 | 2.89 |
| MP | 2.03 | 1.79 | 1.07 | |
| Regulating services | GR | 3.21 | 2.90 | 1.42 |
| CR | 1.86 | 1.60 | 1.01 | |
| PE | 1.78 | 1.68 | 1.08 | |
| HR | 2.95 | 3.14 | 1.65 | |
| Support services | SC | 1.57 | 1.35 | 0.93 |
| MNC | 4.21 | 3.81 | 1.69 | |
| BD | 1.65 | 1.73 | 1.15 | |
| Cultural services | AL | 1.54 | 1.76 | 1.20 |
| Total ESV | 28.6 | 27.3 | 14.11 | |
| Landscape Type | ESV (108 Yuan) | Change Rate (%) | ||||||
|---|---|---|---|---|---|---|---|---|
| NDS | LCS | NDS | LCS | |||||
| 2000 | 2010 | 2020 | 2050 | 2050 | 2000–2020 | 2020–2050 | ||
| Cultivated land | 133.15 | 122.54 | 118.13 | 104.68 | 113.28 | 11.28 | 11.39 | 4.10 |
| Woodland | 952.24 | 946.59 | 943.10 | 933.45 | 934.91 | 0.96 | 1.02 | 0.87 |
| Grassland | 183.42 | 174.90 | 174.19 | 169.54 | 172.63 | 5.03 | 2.67 | 0.90 |
| Water | 29.89 | 33.36 | 31.94 | 30.44 | 30.21 | 6.86 | 4.71 | 5.42 |
| Barren land | 0.06 | 0.06 | 0.06 | 0.05 | 0.05 | 1.28 | 25.76 | 26.69 |
| Total ESV | 1298.77 | 1277.44 | 1267.43 | 1238.15 | 1251.08 | 9.13 | 45.55 | 37.98 |
Publisher’s Note: MDPI stays neutral with regard to jurisdictional claims in published maps and institutional affiliations. |
© 2022 by the authors. Licensee MDPI, Basel, Switzerland. This article is an open access article distributed under the terms and conditions of the Creative Commons Attribution (CC BY) license (https://creativecommons.org/licenses/by/4.0/).
Share and Cite
Cai, G.; Lin, Y.; Zhang, F.; Zhang, S.; Wen, L.; Li, B. Response of Ecosystem Service Value to Landscape Pattern Changes under Low-Carbon Scenario: A Case Study of Fujian Coastal Areas. Land 2022, 11, 2333. https://doi.org/10.3390/land11122333
Cai G, Lin Y, Zhang F, Zhang S, Wen L, Li B. Response of Ecosystem Service Value to Landscape Pattern Changes under Low-Carbon Scenario: A Case Study of Fujian Coastal Areas. Land. 2022; 11(12):2333. https://doi.org/10.3390/land11122333
Chicago/Turabian StyleCai, Guo, Yuying Lin, Fazi Zhang, Shihe Zhang, Linsheng Wen, and Baoyin Li. 2022. "Response of Ecosystem Service Value to Landscape Pattern Changes under Low-Carbon Scenario: A Case Study of Fujian Coastal Areas" Land 11, no. 12: 2333. https://doi.org/10.3390/land11122333
APA StyleCai, G., Lin, Y., Zhang, F., Zhang, S., Wen, L., & Li, B. (2022). Response of Ecosystem Service Value to Landscape Pattern Changes under Low-Carbon Scenario: A Case Study of Fujian Coastal Areas. Land, 11(12), 2333. https://doi.org/10.3390/land11122333

