Abstract
The upward trajectory of urbanization, coupled with the ever-growing demand for more water resources, has led to increased pressure on limited water resources, particularly in cities with dry climates such as Tehran. Since the balance of Tehran’s water ecosystems has been disturbed, and the quality and quantity of water resources have been affected in recent years, conducting an assessment of water environment carrying capacity (WECC) seemed vital for this city. WECC was used as the basis of water supply sustainability evaluation concerning Tehran’s land use and demographic characteristics on a neighborhood scale. Therefore, the effect size and correlation of 12 types of land use and six variables derived from the literature with water consumption patterns were examined in warm and cold seasons. The results show that land use, population density, percentage of deteriorated area, percentage of buildings over 30 years old, residential–commercial land use, and green spaces correlate significantly with water consumption. The percentage of deteriorated areas and buildings over 30 years old has a negative, and the rest has a positive impact on water consumption. It is also recommended to use the research findings to improve Tehran’s water environment carrying capacity and apply the proposed evaluation procedure to other cities. The results of this research can be used in planning large and densely populated cities with a neighborhood-oriented approach, in which local institutions play an essential role in attracting people’s participation and inclusive urban planning.
1. Introduction
Climate change is a significant issue with undeniable consequences of various scales and magnitudes. Some of the effects are weather extremes, high temperatures, wildfires, a lack of rain, torrential rain, devastating floods, and dust-based air pollution [1,2,3]. According to IPCC’s report [4], climate change could have a negative impact on urban development and socioeconomics, including decreasing accessibility to water, water security, and water quality for a large part of the world [5]. Moreover, the world is becoming increasingly urbanized [6,7,8], and it has been estimated that 7 out of 10 people will live in cities. Undoubtedly, such a rapid growth rate of urbanization will exacerbate challenges such as the need for affordable housing, extensive public transportation systems, and other physical and societal infrastructures, as well as challenges caused by pressures on the urban ecosystems such as increased demand for water and energy supplies, and ultimately going beyond the urban carrying capacity [7]. The world population has grown from 0.8 billion (29.6 percent) in 1950 to 4.4 billion (56.2 percent) in 2020 and is predicted to reach 6.7 billion (68.4 percent) by 2050 [8].
The growing rates of urbanization, especially in the developing world, where the proper management of natural resources is often underestimated, accompanied by the impacts of climate change, have posed serious challenges to water accessibility and water quality assurance. Demand for industrial and domestic water supplies is expected to rise by 50 to 80 percent in the next three decades due to the increasing world population and socioeconomic developments. Moreover, the population of cities located in dry areas will rise from 993 million (32.5 percent of the total urban population) in 2016 to 2.065 billion 30.82 percent of the total urban population) in 2050, showing a staggering 121.3 percent increase [9,10]. Predictions reveal that the world will face a 40 percent gap between predicted demand for water and unequal spatial and temporal distribution, pollution, and excessive consumption of water resources; this considerable gap has made effective water resource management urgently needed [10,11]. There have been a number of evaluations and conceptual frameworks proposed to address this necessity, one of which is the assessment of urban carrying capacity. According to Esfandi and Nourian [12], one of the main variables that should be considered in the urban carrying capacity assessment is the level of pressure on the quantity and quality of urban water supplies. Moreover, a study by Morino-saum et al. [13] revealed that water consumption is the third most frequent index among 67 urban sustainability indices. Due to this high priority, urban water resources management should receive special attention as an essential and decisive component of urban overall carrying capacity.
Water resources management (WRM) is a strategic practice globally [14]. This is particularly important in cities located in developing countries struggling with financial constraints and limited access to reliable water resources [15]. Moreover, cities concentrate population, infrastructures, economic activities, and wealth, and thus intensify the impacts of local climate changes disproportionately; they need to be prepared for sudden changes as part of their planning system. On the other hand, due to the rapid growth of the population in the coming decades, particularly in developing countries, issues related to urban poverty will be intensified, and the vulnerable urban population will increase, imposing further pressure on declining water resources. Consequently, not only will the urban water system be directly affected, but food production, green spaces, and urban transportation systems will also be pushed to the verge of crisis [16]. Of paramount importance in planning to resolve these challenges is considering the difference between global and local levels of climate change consequences; such differences in magnitude are observable both in spatial and temporal aspects. Long-term trends with short-term fluctuations lead to greater variety, creating a sense of uncertainty and unpredictability, and since the impact of the contributing factors is easier to measure, control, and plan in smaller scales, neighborhood scales are usually taken as the unit of planning and decision making [17]. Examination of the contributing factors or main variables on a large scale provides valuable results but is only applicable at the management level and useless at the citizen’s action level. Therefore, taking a neighborhood scale can better ensure public engagement in decision making, planning, and execution.
Consumption pattern modeling can be a powerful tool in water management. Cities are sophisticated ecosystems that become even more complicated when interacting with various natural factors, and consequently, cities impact the hydrologic cycle of water through various processes, resulting in new urban water cycles. Moreover, rapid urban population growth, the need for the development and expansion of cities, inadequate infrastructures, and limited water supplies contribute to urban challenges. This has led many researchers to study the quantitative and qualitative impact of urbanization on water cycle changes [18].
A review of the literature on integrated management of urban water revealed that little research had been carried out on solving urban water problems as an integrated system. Most of the research on water management mainly studied certain aspects of water management, such as water quality or water demand, independently and separately. Furthermore, few studies discussed the transition toward water-sensitive and water-resilient cities. Although there are studies that proposed an integrated model of urban water systems, these studies did not explain how to achieve a water-sensitive city [19]. An analytical and systematic review of the literature showed that most studies have primarily focused on the effects of spatial variables in identifying the patterns and factors impacting the demand for urban water. It shows the impact of the complex urban network system on the amount and pattern of urban water consumption. Moreover, temporal and spatial variations are the main foundations of consumption patterns. Voskamp et al. [19] classified the contributing factors to urban water management into 10 groups (cultural, political, economic, demographic, technological, geographical, spatial, infrastructural, social and context, and decision making) and 20 indexes. Studies on this subject fall into two categories; Table 1 shows the two categories and some studies as examples:
Table 1.
Methods and techniques applied in urban water consumption studies.
According to the reviewed studies, all cities worldwide struggle with the environmental impacts of urban life and the pressures caused by old infrastructures. In order to resolve such issues, the proper management of water resources is vital. The notion of sustainable cities is an international movement aimed at turning cities into greener and healthier places for citizens, with higher levels of economic and social stability, wiser consumption of resources, and better protection of the environment [35]. The seventh goal among UNO’s 2015 sustainable development goals concerns water accessibility and sustainable management of water, which is testimony to global attention to water. Additionally, identifying high-consumption districts can help improve policies [22].
According to the literature, about one-third of the world’s population live under water tension due to unsustainable development, which means that climate change is not the sole reason for water scarcity; excessive consumption of unrenewable resources and lack of proper management is responsible for the current drought [36]. Since natural resources in urban ecosystems are intensely affected by human activity, such as urban space interventions, societal priorities, and urban management methods, identification of patterns and contributing factors in the consumption of water resources is essential for creating plans and policies for the sustainable management of urban water resources [37].
In the context of urban water management, it is well understood that land use patterns provide valuable information for urban planning and management, such as information about the socioeconomic state of the area and human–environment interaction in the past and present [31]. This makes urban water sustainability (UWS) a higher priority and makes urban policymakers, who are in charge of urban planning and management, design plans that suit the water conditions of cities. Since uncertainty is one of the most important characteristics of climate change that needs to be taken into account, especially in sophisticated systems such as cities, it is of paramount importance to have proper knowledge of contributing factors and environmental reactions to make better predictions and assessments in order to design better plans for sustainable urban development. Local governments need to improve their understanding of the potential impacts of climate change on urban water systems in order to enhance their capacity to form long-term strategies compatible with water sustainability. Understanding and predicting urban water consumption patterns are crucial in designing accurate plans for sustainable urban development [14,38]. To this end, water consumption needs to be examined as a function of various contributing factors, such as climate-related, social, and economic factors [39].
In order to overcome the challenges caused by climate change, an improved, more sustainable management of water resources is essential, and better management requires all sorts of information, from the identification of patterns and trends to social behaviors. In order to fully comprehend urban water sustainability processes against various climatic, social, and economic factors, it is vital to form a proper understanding of patterns, trends, and the behavior of the society. Identification involves examining the root causes of vulnerabilities in physical infrastructures; social factors and social behaviors; contextual conditions; and current, past, and future trends in urban management [40]. Therefore, this paper’s main goal is to identify water consumption patterns in the neighborhoods of Tehran and spatial analysis of these patterns based on land use type and socioeconomic characteristics of the neighborhoods. Since Tehran’s third five-year plan is based on neighborhood development, as the smallest official unit of the city, and since water consumption pattern is a useful tool for strategy setting for water utilization, the results of the study can help decision-makers to identify troubled neighborhoods and design water-saving strategies at the local level. This study paves the way for the detection of neighborhood’s vulnerability to urgent and non-urgent environmental risks, and since pressure on the urban water system is influenced by climate change as well as local people’s behavior in terms of water consumption, human activity and behaviors can intensify the harmful effects of climate change, increasing cities’ vulnerability to extreme weather [41]. Moreover, the results of this study can be used to raise awareness and empower local communities in long-term plans to reduce the negative impacts of climate change to achieve UNO’s sustainable development goals (SDGs). There has yet to be any such research conducted on Tehran so far. A contribution to the scientific field of urban water resources management is made by simultaneously investigating the physical characteristics of a city, its population behavior, and urban governance (allocation of land uses) concerning water consumption. Moreover, investigating the behavioral types of water consumption in both hot and cold seasons in cities with dry climates and irregular rainfall regimes, such as Tehran, will be the basis for new research in this field. It should be noted that the carrying capacity of the urban environment is generally measured at the scale of the city and the connection between the city and its surroundings. This is a new perspective to measure the carrying capacity at the neighborhood scale. Therefore, this model can confirm this paper’s scientific contribution to the urban environment carrying water capacity.
2. Study Area
Iran’s annual rainfall of 418 mm is a third of the global average. Additionally, Iran has one of the highest water consumption rates in the world despite its scarcity of drinking water resources, and its water consumption per capita is higher than the global average [20]. According to IPCC, 2022, Middle Eastern countries will experience between two and four-degree Celsius increases in temperature in 15 to 20 years. As for Iran, a 2.6 degrees increase in temperature and a rainfall decline of about 1.35 percent has been predicted. In 2019, about 97 percent of the population was struggling with drought. This has resulted in several issues, such as immigration from rural areas due to lack of water for agriculture, excessive immigration to cities, and intensifying urban problems such as urban poverty and lack of access to hygienic water resources, among others [42].
In order to study the impact of urban factors affecting water consumption in urban neighborhoods and develop a framework for neighborhood-based evaluation and policy-making, Tehran, the capital of Iran, was selected as the study area (Figure 1). With an area of 750 km2 and a population of over 9 million (more than 3 million households in 353 neighborhoods, the smallest level of urban subdivisions, and 22 districts, the largest level of urban subdivisions) [43], Tehran is located in a semi-arid region [43]. Uneven distribution of population, immigration, uncontrolled urban expansion, and concentration of population, industries, and political centers has caused considerable pressure on natural resources and led to complexities in managing resources, especially water resources, in the mega city.
Figure 1.
Study area, Tehran, and its land use classification.
The city, with average annual precipitation of 418 mm, is considered a semi-arid climate which clearly indicates the significance of water resources, particularly in such growing urban areas. Additionally, despite the scarcity of drinking water resources, Iran has one of the highest water consumption in the world, and water consumption per capita in Iran is higher than the global average [20]. Drought is probably the most acute environmental issue in Iran; the country has been struggling with the problem for decades. In 2019, about 97 percent of the population was wrestling with drought. This has resulted in several issues, such as immigration from villages due to a lack of water for agriculture, excessive immigration to cities, and intensifying urban problems such as urban poverty [42]. According to IPCC, 2022, Middle Eastern countries will experience a 2- to 4-degree increase in temperature in 15 to 20 years. As for Iran, a 2.6 degrees increase in temperature and a rainfall decline of about 1.35 percent has been predicted. As a result, immigrants will flock to the capital from villages and small towns. To make matters worse, political and socioeconomic factors will intensify the trend. All this while Tehran is located in a semi-arid region. Unbalanced development and lack of international land-use planning, rainfall reduction, and successive droughts have caused incessant immigration to Tehran and its surroundings. Excessive immigration, combined with the natural expansion of the city, pressures the authorities for more considerable resources.
The main suppliers of Tehran’s water are Karaj, Taleqan, Latian, Laar dam, and Maamlo dams [44] and 594 active wells (Figure 2). As shown in Table 2, the greatest share of Tehran’s water comes from underground water supplies, which can cause several problems, such as subsidence in some parts of the city.
Figure 2.
Locations of water supply dams in Tehran.
Table 2.
Water resources of Tehran city and the percentage of participation in Tehran’s water supply [43].
Tehran has received various drought warnings, and the introduced water restrictions demonstrate the brittle balance between supply and demand for this resource. The unbalanced development of the city has caused considerable social, economic, infrastructural, and physical gaps among different parts of the city, polarizing the city. Despite efforts to bridge the gap, economic unbalance still influences sustainability in the neighborhoods. As a consequence, about half of the city (the southern part) that covers deteriorated areas and underprivileged parts (about 4427 acres of deteriorated area in 213 out of the 353 neighborhoods of Tehran that constitute around 30 percent of Tehran’s lot) is suffering from deteriorated infrastructures such as waterworks. Moreover, due to their land use background (mainly farming), high population density (around three times that of the average in Tehran), and their large number of legal and illegal wells, these areas are particularly susceptible to subsidence since the identification of patterns and prediction of demand can result in better planning and thus financial, ecological, and social sustainability.
3. Methods
Within this study, we applied an integrated Geospatial approach to analyze the effect of the contributing factors and their correlation with water consumption in Tehran’s neighborhoods. For this goal, the relevant literature was reviewed to identify the factors affecting water consumption in Tehran and similar cities (see Table 1). The factors were then classified into two groups: social and demographic properties and physical properties. Various physical, contextual, social, and economic aspects of the cities in these studies were examined. Accordingly, 12 factors affecting water consumption in urban areas were identified. Then, based on the Delphi method, 20 experts on urban environmental sciences, water engineering, and urban management from various sectors, such as government, municipality, academia, and private sector, were consulted about these factors through a questionnaire. The experts were selected from a list of 50 experts. It was essential that experts were interested in working with the research team to answer the questionnaire. Therefore, 20 people were selected for this work. This questionnaire was completed in 2 stages. In the first stage, a table of all the factors affecting the amount of water consumption in different urban scales with various fields was provided to the experts, and they were asked to identify the significance of these factors for the city of Tehran (exploratory questionnaire). In the next step, in an unstructured interview, all 20 experts were interviewed about the characteristics of the city of Tehran and the type of influence of the factors. Next, the initial results were sent to them to check if the factors derived from the literature were effective, meaningful, and relevant to Tehran. For this purpose, structured interviews with the experts were conducted to filter those factors carefully. Finally, based on experts’ opinions and the accessibility of urban data, the contributing factors to water consumption were determined (Table 3). Statistical information on water consumption is based on data from the 1400 Persian calendar, which equals March 2021 to March 2022. Based on this explanation, the following information was classified and analyzed by the warm season (March 2021 to September 2021) and the cold season (September 2021 to March 2022). The data utilized in this study are shown in Table 4. The data are derived from official data of Tehran municipality, Iran Statistic Center, and Tehran province water and wastewater. They also were normalized based on the time scale of surveying periods.
Table 3.
Water consumption indicators (WCI).
Table 4.
Sources of data used in the research.
Deteriorated area ratio: As defined by the Supreme Council of Urban Planning and Architecture of Iran, deteriorated areas of Tehran cover a wide area of the city. Although this definition is based on the physical characteristics, including the instability of the buildings, tiny parcels, and very narrow and non-accessible urban streets, these areas also experience many infrastructural, social, economic, and environmental anomalies that reduce the quality of life there. According to the most recent ordinances, Tehran covers around 4427 acres of deteriorated and inefficient area, located in 213 out of the 353 neighborhoods of the city, constituting about 30 percent of the lots. These areas are mostly located in the southern half of the city and are home to 20 percent of the city’s population while constituting only 7 percent of its area [46]. Due to high population density (3 times that of the average in Tehran), intense deficiency of green space and other services and infrastructures in these areas (about one-fourth of the city’s average), the high ratio of population to space, and the high ratio of deprived, poverty-stricken population these areas are particularly vulnerable and barely resilient to various crises. Because of severe deterioration, lack of access to urban and health services, cultural and security problems, vulnerability to earthquakes, and incompatibility with today’s urban life and modern urbanization, these deteriorated areas and nighborhoods suffer from numerous services and infrastructural problems. This factor is related to water consumption because of water loss due to deteriorated infrastructures and the economic and cultural state of the households.
The ratio of buildings over 30 years old: Building age seems to be an important indicator of water consumption. According to experts, the lifetime of water pipes is roughly 30 years. Considering the construction methods in Tehran, where water service branches are added to the building during construction, it is safe to assume that buildings over 30 years old have decayed water pipes. Moreover, there is an analytical link between these buildings and deteriorated urban areas. While there is no accurate report on the amount of water wasted from old pipes in deteriorated parts of Tehran, some crucial reports have been published by neighborhood development offices (NDOs). Supporting documents for neighborhood development plans describe the state of urban infrastructure in deteriorated and old parts of the city. Previously, it was stated that loose and permeable soils are a big problem for buildings in these areas, mostly because of water infiltration due to leaks in old pipes.
Types of land use: The link between land use type and water consumption has been shown in many studies [30,44,47]. Industries consume a considerable part of urban water. Additionally, industrially polluted water is extremely costly to purify and return to the consumption cycle. Green space is another land use type with one of the highest water consumption rates. However, for a city such as Tehran, with its highly polluted air, its climatic conditions, and high proneness to urban heat islands, green spaces are crucial and indispensable. Residential land use reflects the quantitative and qualitative characteristics of the population, lifestyles, and population planning and construction regulations. As a result, land use type will be considered alongside other factors considering the context of the study.
The average area of the residential unit: The average area of a residential unit in Tehran varies according to economic and demographic conditions. Residences with larger floor areas are assumed to have higher consumption due to more significant sanitary needs and the potential presence of pools and green spaces. The average residential area can also affect the built-up area ratio and population density and thus seems to be an influential factor in water consumption.
Built-up area ratio: With the assumption that the highest water consumption rates happen at homes and workplaces, the built-up area ratio will also be examined for its impact both on the type and magnitude of water consumption.
Immigrant rates: Immigration, depending on immigrants’ qualities and characteristics, results in sophisticated links between residents, residence types, and land use. The need for cheap, affordable housing for parts of immigrants gives rise to unofficial residences. Consequently, the higher consumption rate manifests as added pressure on existing consumers.
Population density: The most frequently appearing factor in the literature is population density. This can be explained by the assumption that the bulk of water consumption happens in the residential sector for everyday use. Population density can also affect water consumption indirectly through a greater need for green space, industries, etc. In the next step, spatial modeling of each factor was carried out using the gathered data. The aim is to study the city’s distribution patterns of water consumption indicators and identify similar patterns as the first step in policy-making for optimal water consumption in Tehran’s neighborhoods.
The 12 common types of land use are shown in Figure 3. As evident in spatial distribution maps, the main types of land use are residential, commercial–industrial, and urban services, respectively. Barren lands, urban agriculture, and lakes and pools are the least common types of land use in Tehran.
Figure 3.
Spatial analysis of 12 dominant types of land use in Tehran: (a) residential; (b) residential–commercial; (c) commercial–urban services; (d) commercial–ministerial; (e) residential–urban services; (f) urban services; (g) urban infrastructure equipment; (h) martial; (i) green spaces; (j) urban agriculture; (k) barren; (l) lakes and pools.
The spatial distribution of other contributing factors (Figure 4) also reflects specific patterns. The central and southern parts of the city have the largest deteriorated areas and the lowest average residential area. The spatial distribution of building over 30 years old and the built-up ratio follow the same pattern. The spatial distribution of population density shows meaningful similarities with the built-up ratio and average residential unit area.
Figure 4.
Spatial analysis of factors affecting water consumption in Tehran: (a) deteriorated area (%); (b) buildings over 30 years old (%); (c) migrants; (d) built-up area ratio (%); (e) average residential floor area; (f) population density.
Spearman correlation was then calculated (since the independent factors were not normal) for water consumption in the warm season, cold season, and the entirety of the year in all 353 neighborhoods of Tehran. First, it was calculated based on six factors: the percentage of deteriorated area in the neighborhood, percentage of buildings over 30 years old, average residential floor area, built-up area ratio, percentage of immigrants in the neighborhood, and population density. In the second stage, the Spearman correlation was calculated based on Tehran’s 12 common types of land use. Ranks are used instead of values for this correlation coefficient. This is why it is called Spearman’s rank correlation coefficient. Therefore, rx1, rx2, …, rxnrx1, rx2, …, rxn are the ranks corresponding to the values x1, x2, …, and ry1, ry2, …, ryn are the ranks corresponding to the values. Let y1, y2, …, yny1, y2, …, yn be Spearman’s rank correlation coefficient, which is expressed as rs(x,y) and can be calculated using Equation (1).
rs(x,y) = cov(rx,ry)/srx.sry
Then, in order to investigate the impact of some independent variables on the dependent variable (water consumption), the stepwise regression method was used. In stepwise regression, all independent variables enter the model, and those independent variables with little impact are removed from the model. The results of these two steps have led to better policies for optimizing water consumption in Tehran.
As shown in Figure 5, this study can be divided into three main phases in terms of methodology, data collection, and analysis process.
Figure 5.
Diagram of the methodology.
4. Results
4.1. Correlation of the Contributing Factors with Water Consumption
Analysis of the correlation of various urban land uses with water consumption depends on the inherent qualities of the land use, such as the infrastructural need for water consumption in green spaces or population density in residential or residential–commercial land uses. The calculated Spearman correlations (Table 5) show that urban infrastructure equipment, commercial–ministerial, urban–services green space, residential and residential–commercial land use, and factors such as population density and average residential floor area are positively and meaningfully related to water consumption in the warm season, cold season, and entirety of the year with 95% reliability. On the other hand, commercial and residential urban services, together with factors such as the percentage of buildings over 30 years old and the percentage of deteriorated areas, are negatively and meaningfully related to water consumption with 95% reliability.
Table 5.
Correlation and significance of factors with water consumption (the warm season, the cold season and total).
Residential land use has the highest positive correlation with the warm season water consumption at 0.785, and the percentage of buildings over 30 years old has the highest negative correlation with the warm season water consumption at −0.309. As for water consumption in the cold season of the year, residential land use has the highest positive correlation at 0.762, while the percentage of buildings over 30 years old has the highest negative correlation at −0.336. Finally, for the entirety of the year, res idential land use has the highest positive correlation with water consumption at 0.777, while the percentage of buildings over 30 years old has the highest negative correlation at −0.322.
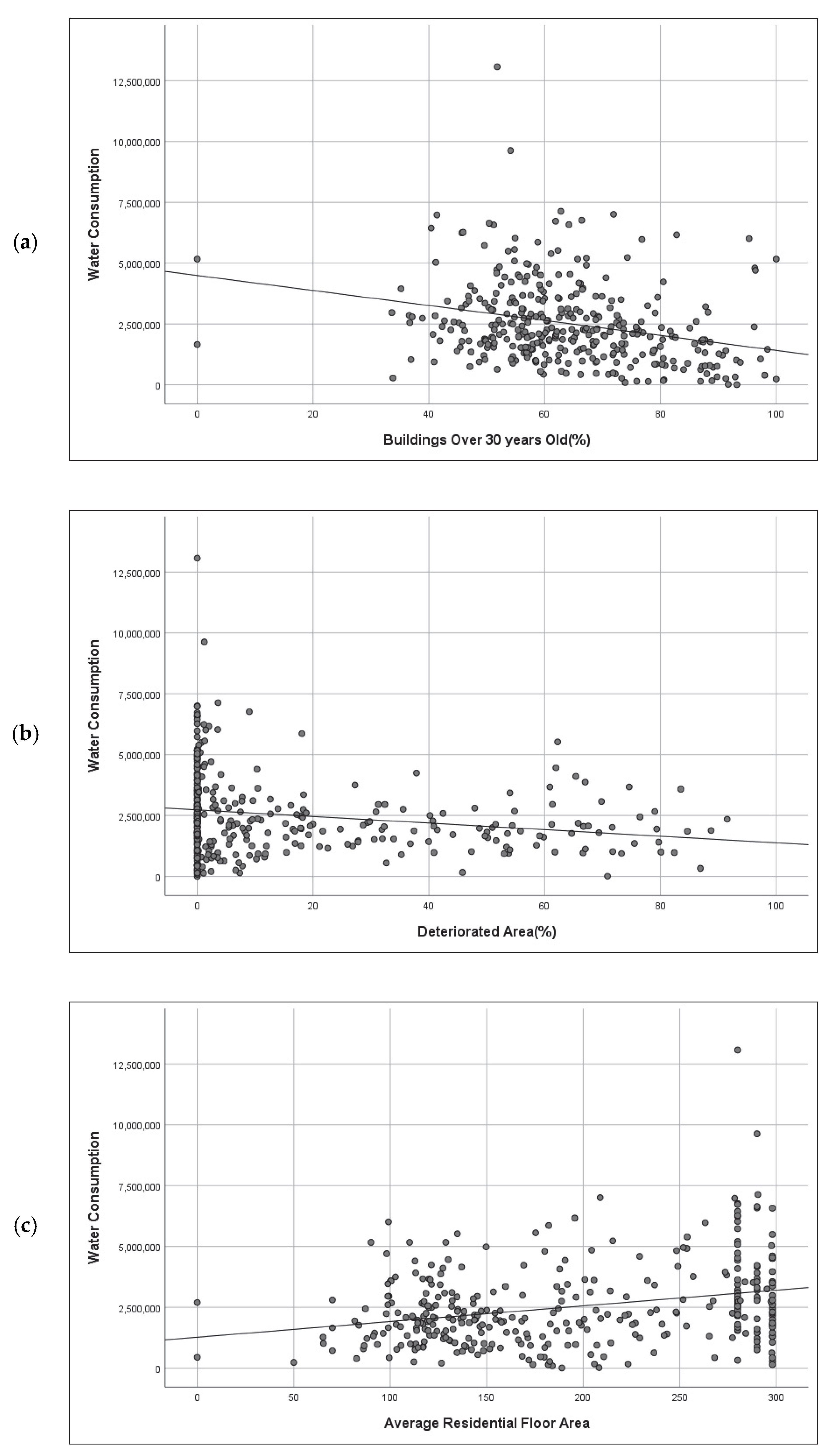
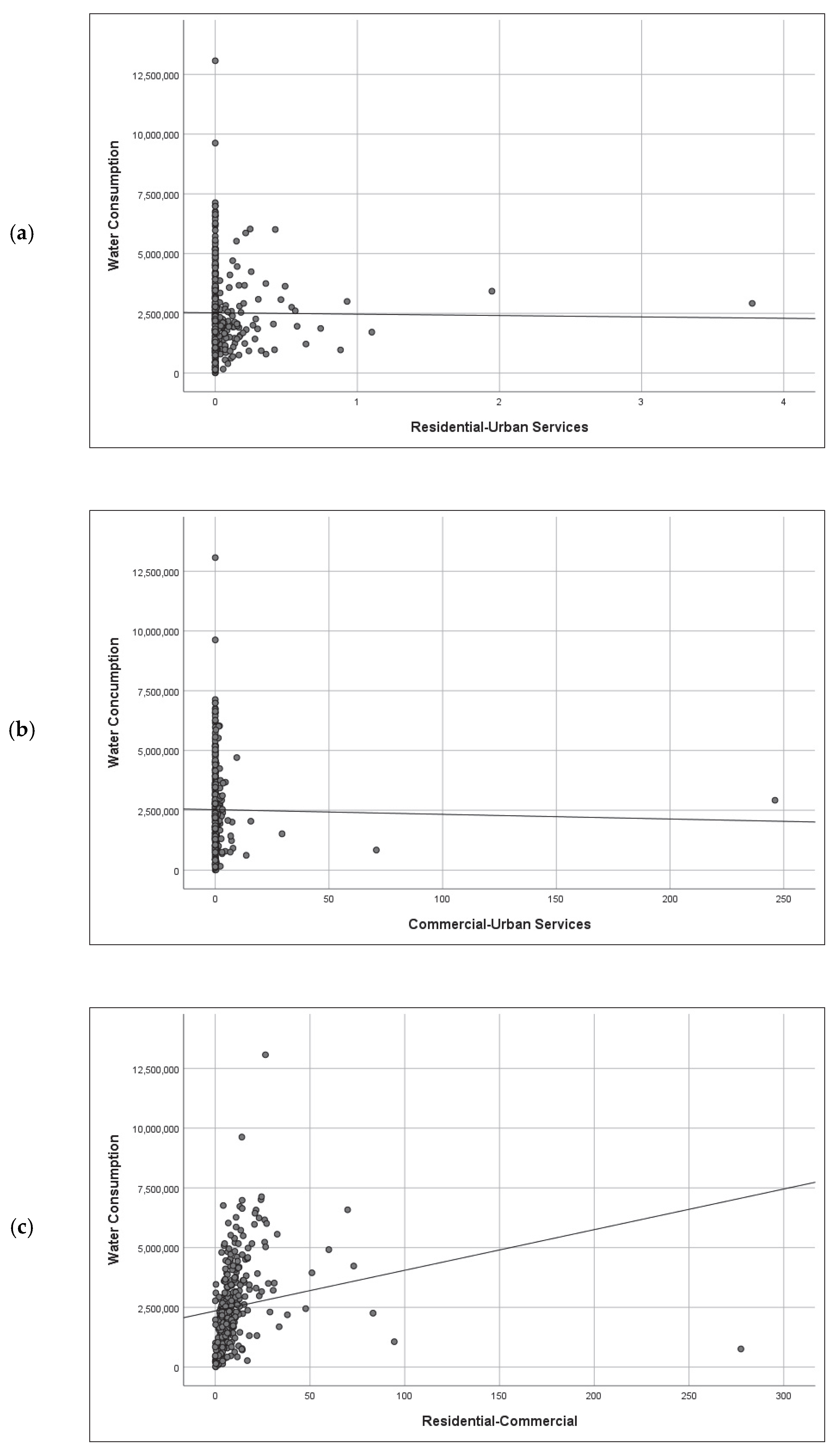
Figure 6 subjected the distribution of water consumption in effective factord, reveals that commercial, urban services–residential, and urban services land uses types, along with buildings over 30 years old (%) and deteriorated area (%), have a meaningful negative correlation, which indicates the impact of economic conditions of the households on water consumption in Tehran since the people of the low income mostly inhabit these areas. On the other hand, the assumption of high water loss due to deteriorated waterworks in those areas seems invalid. The land uses green space, residential, and residential–commercial, and the population density and average residential floor area are positively related. The high correlation between residential land use and demographic factors with water consumption indicates the need for sensible attention to population policies and the efficiency of land use planning. Apparently, water consumption and pressure on water resources increase with the urban population (Figure 7).

Figure 6.
Correlation diagram of water consumption with significant land use factors: (a) residential–urban service; (b) commercial–urban service; (c) residential–commercial; (d) residential; (e) green space.

Figure 7.
Correlation diagram of water consumption with other significant factors: (a) building over 30 years old; (b) deteriorated area; (c) average of the residential units; (d) population density.
According to the statistics in Table 6, it can be concluded that Multiple R for water consumption in the warm season, cold season, and the entirety of the year are 0.947, 0.949, and 0.949, and R squares are 0.897, 0.900, and 0.901, respectively. Therefore, the independent variables of the models alone explain around 90 percent of the changes in water consumption in the formula, and the rest of the variance accounts for unknown factors that were not addressed in this paper. The value of the Durbin–Watson statistic for the three models is 1.509, 1.54, and 1.54, respectively. Therefore, the assumption of independence of errors is also established. The results of variance analysis in Table 7 show that explanatory variables can meaningfully predict and explain changes in the dependent variable (water consumption); in other words, the corrected explanatory model is meaningful.
Table 6.
Analytical statistics of linear regression of water consumption.
Table 7.
Variance analysis of linear regression of water consumption.
4.2. Water Consumption in Tehran
In the study year (March 2021–March 2022), 89,050,715 m3 of water was consumed by Tehran’s population. Water consumption was naturally higher in the hot season (warm season) due to higher temperatures, greater usage of water-cooled air conditioners, higher usage of pools, etc. (Table 8). If we classify Tehran’s districts based on their share of the total water consumption into districts with more and less than 5% shares, districts 1, 2, 3, 4, 5, and 15, mostly located in the northern part of the city, have shared more than 5% of the total, while southern districts mostly have shares smaller than 5% of the total. It is worth mentioning that there is a huge gap between the northern and southern parts of Tehran in terms of socioeconomic conditions, giving the city a dual character [17]; hence, water distribution patterns in the city can be a reflection of the North/South divide.
Table 8.
Amount and percentage of water consumption in the districts of Tehran.
According to consumption data and produced maps, the western Tehranpars neighborhood located in district 4 has the highest consumption, while the Fath neighborhood in district 9 has the lowest consumption. Of the total 890,050,715 m3 of water consumption in Tehran in 1400, 472,132,177 m3 was consumed in the year’s warm seasons, and 417,918,537 was consumed in the cold seasons. As shown in Figure 8, district 19 had the lowest consumption (1.02 percent of the total), and district 4 had the highest consumption (10.74 percent) of all municipality districts. Per capita consumption in districts 4 and 19 were 104 and 53 m3, respectively.

Figure 8.
Scatter diagram of significant variables in the regression model regarding water consumption: (a) cold season; (b) warm season; (c) total.
With a population density of 153 people per acre, district 19 ranks 15 among the 22 districts of Tehran. This district has a deteriorated and dysfunctioned area, which indicates the region’s residential and industrial background (Table 9). Neighborhoods such as Khani Abad, Dolat Khah, and Nemat Khah are old, with characteristic deteriorated areas and brownfields such as abandoned brickyards. Due to vast industrial and land use, the area is mostly inhabited by manual workers.
Table 9.
Amount and percentage of water consumption in the districts of Tehran.
District 4 has the largest area, the greatest number of immigrants, the highest rate of construction, and one of the highest populations of all districts. District 4 ranks 10th in terms of population density in Tehran. The district is characterized by its high green space land use, thanks to the Lavizan Forest Park. Western Tehranpars neighborhood has the highest population in the district and the highest water consumption in Tehran (Table 9).
Comparison of the two districts in terms of water consumption (104 m3 for district 4 and 53 m3 for district 19) not only exhibits the impact of the contributing factors studied in this paper but also indicates the role of social, cultural, and economic properties of the population on water consumption. Overall, analysis of water consumption maps (Figure 9) shows that water consumption is lower in the southern half of the city, where there are higher rates of deteriorated areas and buildings over 30 years old, lower average residential floor area, and the population is less well off. Economic differences between the north and the south of Tehran have been the subject of several studies. The high correlation between demographic and physical characteristics with water consumption reveals this difference again. Therefore, smart pricing can be utilized as a powerful tool to manage water consumption throughout the city. Given that urban water management can be divided into supply management and demand management, the results of this paper focus on the latter and encourage sustainable urban planning based on consumption patterns, land use, proper pricing policies, awareness-raising programs, and multi-level education (domestic consumption, public consumption, and industrial consumption).

Figure 9.
(a) Water consumption of city neighborhoods in the warm season; (b) neighborhoods water consumption from the total consumption(percentage) in the warm season; (c) water consumption of city neighborhoods in the cold season of the year; (d) neighborhoods water consumption from the total consumption (percentage) in the cold season.
Consumption patterns and land use: Tehran, as Iran’s capital for the last 200 years, has undergone great changes in its land use. Great parts of the city that used to be covered by agricultural lands, orchards, and natural plane trees in the last century have turned into constructed areas due to population growth. Additionally, population growth has increased the need for infrastructure and urban services. The results of the study and the analysis of the impact of residential and green space land use on water consumption highlight the importance of water management, population policies, and land use planning. Of all the contributing factors to water environment carrying capacity, land use is perhaps the most effective.
Proper pricing policies: Water needs to be priced according to market indicators as a commercial good with agricultural, domestic, and industrial consumption. Unless the price of water is determined in the market, it would be naïve to expect moderate, economical consumption. Reasonable pricing based on supply/demand balance and other market mechanisms is essential for the economic consumption of water. Currently, however, the price of water for all different uses is set solely by the government, leading to low efficiency in most usages. The price of water is now based on the now. However, the price of water is not high enough to compensate the cost price for the provider (regional water companies). In short, water is underpriced. Leaving the price of water to the market can intensify spatial inequity and threaten many jobs. Therefore, for a large, complicated city such as Tehran, the issue demands integrated economic planning.
Raising awareness and education (domestic, public, and industrial consumption): As an important setting, the right price, if not more important, is to raise awareness and educate the public about the value, significance, and critical scarcity of water in the country. Given that creating the optimal water consumption culture is an aspect of integrated management of urban water, raising awareness among all levels of society, from the public to the highest managers, should be at the heart of urban water planning. In this sense, educational and cultural institutes, the media, NGOs, and other potential contributors should be involved.
5. Discussion
Urbanization has turned out to be a progressive trend worldwide. Rapid urbanization and economic, developmental, and natural factors influencing urban areas result in ever more complicated systems. Urban activities, especially in megacities, have brought about economic development and technological and educational growth. On the one hand, it has caused extensive changes in the usage of land use, and consumption of other natural resources. Such widespread changes have led to various environmental problems around the world. One of the most acute environmental problems is the deterioration of water quality, which can disturb the balance of urban ecosystems and threaten water resources. In fact, economic growth, population growth, and urban development inherently conflict with the preservation of natural resources, especially water supplies. Therefore, policymakers, planners, and urban managers need to have proper knowledge of the contributing factors and their impacts to analyze the effects of urban activities on sustainability and devise effective plans to prevent or restrict their adverse effects. Forming such a scientific method to measure the sustainability of urban development is an urgent need. Therefore, various concepts have been introduced to measure the environmental sustainability of urban developments. Water environment carrying capacity (WECC) is one such concept, often used for social-ecological sustainability assessment. In this study, WECC has been considered the red line in the sustainability of water resources with regard to urban land use and the demographic and physical properties of Tehran.
Based on the results, the integrated management of water resources can have an impact on the five-year plans of Tehran, detailed plans revisions, neighborhood development plans, housing planning, and general policies of international land use planning and popularity. This leads to a move towards sustainability. The factors contributing to the water crisis include population growth, climate change, lifestyles, production and consumption patterns, people’s beliefs, urban water management strategies, supply/demand planning, etc. These factors might vary from city to city and region to region; thus, urban planners have to study each city and region separately to come up with more effective water management plans. Identification of consumer behavior and distribution of land use can provide invaluable insight for future population planning and urban development programs. This study paves the way for the detection of neighborhoods’ vulnerability to urgent and non-urgent environmental risks, and since pressure on urban water systems is influenced by climate change as well as local people’s behavior in terms of water consumption, human activity and behaviors can intensify the harmful effects of climate change, increasing cities’ vulnerability to extreme weather [41]. Moreover, the results of this study can be used to raise awareness and empower local communities in long-term plans to reduce the negative impacts of climate change to achieve UNO’s sustainable development goals (SDGs).
6. Conclusions
The current research aimed to identify the factors affecting urban water consumption in Tehran at the neighborhood scale by examining the effect size and correlation of 12 types of land use and six variables derived from the theoretical literature.
Based on the results and analyzing the percentage of deteriorated area, number of buildings over 30 years old, percentage of immigrants, built environment, average residential floor area, and population density) on water consumption in both the warm season cold seasons, we developed a spatial pattern that supports authorities, decision-makers, and local stakeholders to minimize water consumption and develop strategic plans.
It is worth mentioning that all factors have been studied at the neighborhood level. This scale of urban organization is the smallest scale of planning and the most participatory level. Such a scale can encourage social participation and create a foundation for neighborhood institution building—something that is experienced in Tehran and many other densely populated cities of the world. By using the data gathered from Tehran municipality, the statistical center of Iran, and Tehran Province Water and Wastewater, the spatial patterns of the 12 land use and the six physical and demographic factors in water consumption were analyzed. The results show that residential land use, population density, percentage of deteriorated area, percentage of building over 30 years old, residential–commercial land use, and green space land use have the greatest impact on water consumption, with the percentage of the deteriorated area and building over 30 years old having a negative, and the rest having a positive impact. Since Tehran’s third five-year plan is based on neighborhood development, as the smallest assessable and operational unit of the city, and since the water consumption pattern is a useful tool in decision-making, policy-making, and strategy setting for water utilization, thus we conclude that the results of the current study can help decision makers of this city and other cities worldwide who employ neighborhood management and local institutionalization to identify troubled neighborhoods and design water-saving strategies at the neighborhood level. We conclude that the findings of this study are applicable in designing future sustainable development plans of Tehran based on water environment carrying capacity. On the methodological front, the spatial analysis, correlation, and regression methods utilized in this study have proven effective and reliable tools and can be applied to studies in other cities, especially in cities with similar geographical and climatic properties. Urban planning based on the carrying capacity of the water environment, especially in Tehran, which is facing the problem of water shortage, should prioritize reducing the pressure on water resources. The primary pillar of such planning is preventing the increase in water demand through population control policies and preventing the development of water-intensive industries. Considering Tehran’s political and economic centrality, coupled with housing production policies as an important factor in preventing economic recession, this issue should receive special attention.
Author Contributions
Conceptualization, S.T., B.F. and S.E.; methodology, S.T., B.F. and S.E; software, S.T., B.F. and S.E.; validation, S.T., B.F., S.E, B.A., S.A.A. and A.S.; formal analysis, S.T., B.F. and S.E; investigation, S.T., B.F., S.E., B.A., S.A.A. and A.S.; resources, S.T., B.F., S.E, B.A., S.A.A. and A.S.; data curation, S.T., B.F. And S.E.; writing—original draft preparation, S.T.; writing—review and editing, S.T., B.F. and S.E.; visualization, S.T., B.F., S.E., B.A., S.A.A. and A.S.; supervision, S.T., B.F., S.E. and A.S.; project administration, S.T., B.F. and S.E. All authors have read and agreed to the published version of the manuscript.
Funding
This research received no external funding.
Institutional Review Board Statement
Not applicable.
Informed Consent Statement
Not applicable.
Data Availability Statement
Not applicable.
Conflicts of Interest
The authors declare no conflict of interest. The funders had no role in the design of the study; in the collection, analyses, or interpretation of data; in the writing of the manuscript; or in the decision to publish the results.
References
- Silva, R.A.; West, J.J.; Lamarque, J.-F.; Shindell, D.T.; Collins, W.J.; Faluvegi, G.; Folberth, G.A.; Horowitz, L.W.; Nagashima, T.; Naik, V.; et al. Future Global Mortality from Changes in Air Pollution Attributable to Climate Change. Nat. Clim. Chang. 2017, 7, 647–651. [Google Scholar] [CrossRef] [PubMed]
- da Silva, L.B.L.; Alencar, M.H.; de Almeida, A.T. A Novel Spatiotemporal Multi-Attribute Method for Assessing Flood Risks in Urban Spaces under Climate Change and Demographic Scenarios. Sustain. Cities Soc. 2022, 76, 103501. [Google Scholar] [CrossRef]
- Tayebi, S.; Mohammadi, H.; Shamsipoor, A.; Tayebi, S.; Alavi, S.A.; Hoseinioun, S. Analysis of Land Surface Temperature Trend and Climate Resilience Challenges in Tehran. Int. J. Environ. Sci. Technol. 2019, 16, 8585–8594. [Google Scholar] [CrossRef]
- Pörtner, H.-O.; Roberts, D.C.; Adams, H.; Adler, C.; Aldunce, P.; Ali, E.; Begum, R.A.; Betts, R.; Kerr, R.B.; Biesbroek, R. Climate Change 2022: Impacts, Adaptation and Vulnerability. In IPCC Sixth Assessment Report; IPCC: Geneva, Switzerland, 2022. [Google Scholar]
- Feizizadeh, B.; Lakes, T.; Omarzadeh, D.; Sharifi, A.; Blaschke, T.; Karimzadeh, S. Scenario-Based Analysis of the Impacts of Lake Drying on Food Production in the Lake Urmia Basin of Northern Iran. Sci. Rep. 2022, 12, 6237. [Google Scholar] [CrossRef]
- Gaigbe-Togbe, V.; Bassarsky, L.; Gu, D.; Spoorenberg, T.; Zeifman, L. World Population Prospects 2022. 2022. Available online: https://www.un.org/development/desa/pd/sites/www.un.org.development.desa.pd/files/wpp2022_summary_of_results.pdf. (accessed on 4 June 2022).
- Cohen, M. A Systematic Review of Urban Sustainability Assessment Literature. Sustainability 2017, 9, 2048. [Google Scholar] [CrossRef]
- UNO. World Urbanization Prospects; UN: New York, NY, USA, 2018; Volume 12. [Google Scholar]
- Feizizadeh, B.; Omarzadeh, D.; Ronagh, Z.; Sharifi, A.; Blaschke, T.; Lakes, T. A Scenario-Based Approach for Urban Water Management in the Context of the COVID-19 Pandemic and a Case Study for the Tabriz Metropolitan Area, Iran. Sci. Total Environ. 2021, 790, 148272. [Google Scholar] [CrossRef]
- He, C.; Liu, Z.; Wu, J.; Pan, X.; Fang, Z.; Li, J.; Bryan, B.A. Future Global Urban Water Scarcity and Potential Solutions. Nat. Commun. 2021, 12, 1–11. [Google Scholar] [CrossRef]
- Akhoundi, A.; Nazif, S. Sustainability Assessment of Wastewater Reuse Alternatives Using the Evidential Reasoning Approach. J. Clean. Prod. 2018, 195, 1350–1376. [Google Scholar] [CrossRef]
- Esfandi, S.; Nourian, F. Urban Carrying Capacity Assessment Framework for Mega Mall Development. A Case Study of Tehran’s 22 Municipal Districts. Land Use Policy 2021, 109, 105628. [Google Scholar] [CrossRef]
- Merino-Saum, A.; Halla, P.; Superti, V.; Boesch, A.; Binder, C.R. Indicators for Urban Sustainability: Key Lessons from a Systematic Analysis of 67 Measurement Initiatives. Ecol. Indic. 2020, 119, 106879. [Google Scholar] [CrossRef]
- Li, W.; Zuo, Q.; Jiang, L.; Zhang, Z.; Ma, J.; Wang, J. Evaluation of Regional Water Resources Management Performance and Analysis of the Influencing Factors: A Case Study in China. Water 2022, 14, 574. [Google Scholar] [CrossRef]
- Tjandraatmadja, G.; Kirono, D.; Neumann, L.; Larson, S.; Stone-Jovicich, S.; Barkey, R.; Amran, A.; Selintung, M. Assessing Urban Water Security and Climate Change Adaptation in Makassar, Indonesia. In Proceedings of the International Congress on Modelling and Simulation (MODSIM13), Adelaide, Australia, 1–6 December 2013; pp. 2235–2241. [Google Scholar]
- Loftus, A.-C.; Anton, B.; Philip, R. Adapting Urban Water Systems to Climate Change: A Handbook for Decision Makers at the Local Level; UNESCO: Paris, France, 2011. [Google Scholar]
- Hajialiakbari, K.; Karimi, M.; Tayebi, S. Toward a Paradigm Shift in Urban Planning in Tehran: Neighborhood Development Plans. Civ. Eng. Archit. 2021, 9, 2492–2504. [Google Scholar] [CrossRef]
- Maftuhah, D.I.; Anityasari, M.; Sholihah, M. Model of Urban Water Management towards Water Sensitive City: A Literature Review. IOP Conf. Ser. Mater. Sci. Eng. 2018, 337, 12047. [Google Scholar] [CrossRef]
- Voskamp, I.M.; Sutton, N.B.; Stremke, S.; Rijnaarts, H.H.M. A Systematic Review of Factors Influencing Spatiotemporal Variability in Urban Water and Energy Consumption. J. Clean. Prod. 2020, 256, 120310. [Google Scholar] [CrossRef]
- Baktiyari, N.; Zanganeh, Y.; Taghvai, M.; Zanganeh, M. Study of Spatial Pattern of Domestic Water Consumption in Isfahan and Analysis of Socio-Cultural Factors Affecting on It. Hum. Geogr. Res. 2020, 52, 515–531. [Google Scholar]
- Fiorillo, D.; Kapelan, Z.; Xenochristou, M.; De Paola, F.; Giugni, M. Assessing the Impact of Climate Change on Future Water Demand Using Weather Data. Water Resour. Manag. 2021, 35, 1449–1462. [Google Scholar] [CrossRef]
- Polonenko, L.M.; Hamouda, M.A.; Mohamed, M.M. Essential Components of Institutional and Social Indicators in Assessing the Sustainability and Resilience of Urban Water Systems: Challenges and Opportunities. Sci. Total Environ. 2020, 708, 135159. [Google Scholar] [CrossRef]
- Bich-Ngoc, N.; Prevedello, C.; Cools, M.; Teller, J. Factors Influencing Residential Water Consumption in Wallonia, Belgium. Util. Policy 2022, 74, 101281. [Google Scholar] [CrossRef]
- Mousi, P.; Bhuvaneswari, V. Urban Water Consumption and Its Influencing Factor Identification Using Water Decision Support System. In IOP Conf. Ser. Earth Environ. Sci. 2021, 822, 12050. [Google Scholar] [CrossRef]
- Larson, K.L.; Ibes, D.C.; Wentz, E.A. Identifying the Water Conservation Potential of Neighborhoods in Phoenix, Arizona: An Integrated Socio-Spatial Approach. In Geospatial Tools for Urban Water Resources; Springer: Berlin/Heidelberg, Germany, 2013; pp. 11–35. [Google Scholar]
- da Veiga, F.; Kalbusch, A.; Henning, E. Drivers of Urban Water Consumption in Brazil: A Countrywide, Cross-Sectional Study. Urban Water J. 2022, 1–9. [Google Scholar] [CrossRef]
- Mukherjee, S.; Sundberg, T.; Sikdar, P.; Schütt, B. An Integrated Quantitative Assessment of Urban Water Security of a Megacity in the Global South. Front. Water 2022. [Google Scholar] [CrossRef]
- Maldonado-Devis, M.; Bellver-Domingo, Á.; Hernández-Sancho, F.; Coduras, A. Assessment of Domestic Water Consumption in Valencia City through Fuzzy-Set Qualitative Comparative Analysis. Urban Water J. 2021, 18, 640–647. [Google Scholar] [CrossRef]
- Shen, R.; Yao, L. Exploring the Regional Coordination Relationship between Water Utilization and Urbanization Based on Decoupling Analysis: A Case Study of the Beijing–Tianjin–Hebei Region. Int. J. Environ. Res. Public Health 2022, 19, 6793. [Google Scholar] [CrossRef] [PubMed]
- Feizizadeh, B.; Ronagh, Z.; Pourmoradian, S.; Gheshlaghi, H.A.; Lakes, T.; Blaschke, T. An Efficient GIS-Based Approach for Sustainability Assessment of Urban Drinking Water Consumption Patterns: A Study in Tabriz City, Iran. Sustain. Cities Soc. 2021, 64, 102584. [Google Scholar] [CrossRef]
- Guan, Q.; Cheng, S.; Pan, Y.; Yao, Y.; Zeng, W. Sensing Mixed Urban Land-Use Patterns Using Municipal Water Consumption Time Series. Ann. Am. Assoc. Geogr. 2021, 111, 68–86. [Google Scholar] [CrossRef]
- Quesnel, K.J.; Agrawal, S.; Ajami, N.K. Diverse Paradigms of Residential Development Inform Water Use and Drought-Related Conservation Behavior. Environ. Res. Lett. 2020, 15, 124009. [Google Scholar] [CrossRef]
- March, H.; Saurí, D. The Suburbanization of Water Scarcity in the Barcelona Metropolitan Region: Sociodemographic and Urban Changes Influencing Domestic Water Consumption. Prof. Geogr. 2010, 62, 32–45. [Google Scholar] [CrossRef]
- Timotewos, M.T.; Barjenbruch, M.; Behailu, B.M. The Assessment of Climate Variables and Geographical Distribution on Residential Drinking Water Demand in Ethiopia. Water 2022, 14, 1722. [Google Scholar] [CrossRef]
- Mitchell, V.G. Applying Integrated Urban Water Management Concepts: A Review of Australian Experience. Environ. Manage. 2006, 37, 589–605. [Google Scholar] [CrossRef]
- Ashraf, B.; AghaKouchak, A.; Alizadeh, A.; Mousavi Baygi, M.; R Moftakhari, H.; Mirchi, A.; Anjileli, H.; Madani, K. Quantifying Anthropogenic Stress on Groundwater Resources. Sci. Rep. 2017, 7, 1–9. [Google Scholar] [CrossRef]
- Broto, V.C.; Allen, A.; Rapoport, E. Interdisciplinary Perspectives on Urban Metabolism. J. Ind. Ecol. 2012, 16, 851–861. [Google Scholar] [CrossRef]
- Wilson, T.S.; Van Schmidt, N.D.; Langridge, R. Land-Use Change and Future Water Demand in California’s Central Coast. Land 2020, 9, 322. [Google Scholar] [CrossRef]
- Rasifaghihi, N.; Li, S.S.; Haghighat, F. Forecast of Urban Water Consumption under the Impact of Climate Change. Sustain. Cities Soc. 2020, 52, 101848. [Google Scholar] [CrossRef]
- Zhongming, Z.; Linong, L.; Xiaona, Y.; Wangqiang, Z.; Wei, L. Guidebook-Increasing Climate Change Resilience of Urban Water Infrastructure: Based on a Case Study from Wuhan City, People’s Republic of China; Asian Development Bank: Mandaluyong, Philippines, 2013. [Google Scholar]
- Bates, B.; Kundzewicz, Z.; Wu, S. Climate Change and Water; Intergovernmental Panel on Climate Change Secretariat: Geneva, Switzerland, 2008. [Google Scholar]
- Gabbatiss, J. Carbon Brief Profile. Available online: https://www.carbonbrief.org/the-carbon-brief-profile-iran (accessed on 4 June 2022).
- Tehran Municipality. Tehran Statistics Book; Tehran Municipality: Tehran, Iran, 2020. [Google Scholar]
- Sarmadi, H.; Salehi, E.; Kusari, N. The Mega City of Tehran Water Quantity Assessment Based on DPSIR Model. J. Phys. Conf. Ser. 2021, 1834, 12007. [Google Scholar] [CrossRef]
- Fan, L.; Gai, L.; Tong, Y.; Li, R. Urban Water Consumption and Its Influencing Factors in China: Evidence from 286 Cities. J. Clean. Prod. 2017, 166, 124–133. [Google Scholar] [CrossRef]
- Tayebi, S.; Esfandi, S.; Bahraini Moqadam, S.; Sharifi, A. Investigating the Role of Neighborhood Development Offices (NDOs) in the Resilience of Deteriorated Urban Neighborhoods against the COVID-19 Pandemic: An Empirical Study of Tehran, Using a Hybrid Balanced-Based Assessment Framework. Urban Sci. 2022, 6, 77. [Google Scholar] [CrossRef]
- Nguyen, B.N.; Teller, J. Temporal and Spatial Variation in Domestic Water Consumption: The Case of Wallonia, Belgium. In Proceedings of the IWA Digital World Water Congress, London, UK, 24 May–4 June 2021. [Google Scholar]
Publisher’s Note: MDPI stays neutral with regard to jurisdictional claims in published maps and institutional affiliations. |
© 2022 by the authors. Licensee MDPI, Basel, Switzerland. This article is an open access article distributed under the terms and conditions of the Creative Commons Attribution (CC BY) license (https://creativecommons.org/licenses/by/4.0/).