Spatial Change of the Farming–Pastoral Ecotone in Northern China from 1985 to 2021
Abstract
1. Introduction
2. Data and Methods
2.1. Data and Preprocessing
2.2. Methods
2.2.1. A Spatial Autocorrelation Method for Mapping FPEs
2.2.2. Comprehensive Land Use Dynamic Degree (CLUDD)
2.2.3. Gravity Center of FPE
3. Results
3.1. Spatial Distribution of the FPE in Northern China in 1985, 2000, and 2021
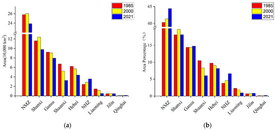
3.2. Change in the FPE in Northern China from 1985 to 2021
3.3. Land use Change in the FPE Buffer Zone
3.3.1. Land Use Change within the Whole Buffer Zone
3.3.2. Land use Change in Area 3 and Area 4 of the Buffer Zone
4. Discussion
4.1. Comparative Analysis of Methods on the FPE in Northern China
4.2. Changes in the Northern FPE
4.3. Fragmentation Trend in FPE
4.4. Limitations and Perspective
5. Conclusions
Author Contributions
Funding
Institutional Review Board Statement
Informed Consent Statement
Data Availability Statement
Acknowledgments
Conflicts of Interest
References
- Arnot, C.; Fisher, P. Mapping the Ecotone with Fuzzy Sets; Springer: Dordrecht, The Netherlands, 2009; pp. 19–32. ISBN 1874-6519. [Google Scholar]
- Hufkens, K.; Scheunders, P.; Ceulemans, R. Ecotones in vegetation ecology: Methodologies and definitions revisited. Ecol. Res. 2009, 24, 977–986. [Google Scholar] [CrossRef]
- Ariel, H.M.; Alejandro, R.J.F. Sex-related climate sensitivity of Araucaria araucana Patagonian forest-steppe ecotone. For. Ecol. Manag. 2016, 362, 130–141. [Google Scholar] [CrossRef]
- Kamel, M. Ecotone Classification According to its Origin. Pak. J. Biol. Sci. 2003, 6, 1553–1563. [Google Scholar] [CrossRef][Green Version]
- Zhao, Y.; Fu, X.; Tang, M.; Guo, M.; Zhang, S.; Zhu, Y.; Wu, L.Q. Impacts of regional land-use patterns on ecosystem services in the typical agro-pastoral ecotone of northern China. Ecosyst. Health Sustain. 2022, 8, 2110521. [Google Scholar]
- Li, S.; Sun, Z.; Tan, M.; Guo, L.; Zhang, X. Changing patterns in farming–pastoral ecotones in China between 1990 and 2010. Ecol. Indic. 2018, 89, 110–117. [Google Scholar] [CrossRef]
- Liu, J.-H.; Gao, J.-X.; Lv, S.-H.; Han, Y.-W.; Nie, Y.-H. Shifting farming–pastoral ecotone in China under climate and land use changes. J. Arid. Environ. 2011, 75, 298–308. [Google Scholar] [CrossRef]
- Shumilovskikh, L.S.; Novenko, E.; Giesecke, T. Long-term dynamics of the East European forest-steppe ecotone. J. Veg. Sci. 2018, 29, 416–426. [Google Scholar] [CrossRef]
- Chytrý, K.; Prokešová, H.; Duchoň, M.; Klinkovská, K.; Novák, P.; Chytrý, M.; Divíšek, J. Ecotones in Central European forest—steppe: Edge effect occurs on hard rocks but not on loess. J. Veg. Sci. 2022, 33, e13149. [Google Scholar] [CrossRef]
- Mackay, A.W.; Seddon, A.W.R.; Leng, M.J.; Heumann, G.; Morley, D.W.; Piotrowska, N.; Rioual, P.; Roberts, S.; Swann, G.E.A. Holocene carbon dynamics at the forest-steppe ecotone of southern Siberia. Glob. Chang. Biol. 2017, 23, 1942–1960. [Google Scholar] [CrossRef]
- Marfo, T.D.; Datta, R.; Vranová, V.; Ekielski, A. Ecotone Dynamics and Stability from Soil Perspective: Forest-Agriculture Land Transition. Agriculture 2019, 9, 228. [Google Scholar] [CrossRef]
- Leslie, T.W.; Biddinger, D.J.; Rohr, J.R.; Hulting, A.G.; Mortensen, D.A.; Fleischer, S.J. Examining Shifts in Carabidae Assemblages Across a Forest-Agriculture Ecotone. Environ. Entomol. 2014, 43, 18–28. [Google Scholar] [CrossRef] [PubMed]
- Duchardt, C.J.; Porensky, L.M.; Augustine, D.J.; Beck, J.L. Disturbance shapes avian communities on a grassland-sagebrush ecotone. Ecosphere 2018, 9, e2483. [Google Scholar] [CrossRef]
- Rutherford, M.C.; Powrie, L.W.; Husted, L.B. Plant diversity consequences of a herbivore-driven biome switch from Grassland to Nama-Karoo shrub steppe in South Africa. Appl. Veg. Sci. 2012, 15, 14–25. [Google Scholar] [CrossRef]
- Cao, H.; Yan, D.; Ju, Y. Drought and flood characteristics in the farming-pastoral ecotone of northern China based on the Standardized Precipitation Index. J. Arid Land 2021, 13, 1244–1259. [Google Scholar] [CrossRef]
- Li, H.; Hao, J. Research Progress on Ecological Safety Assessment of the Farming-pastoral Ecotone in China. Agric. Sci. Technol. 2011, 12, 920–925. [Google Scholar]
- Wuyun, D.; Sun, L.; Chen, Z.; Hou, A.; Crusiol, L.G.T.; Yu, L.; Chen, R.; Sun, Z. The spatiotemporal change of cropland and its impact on vegetation dynamics in the farming-pastoral ecotone of northern China. Sci. Total Environ. 2022, 805, 150286. [Google Scholar] [CrossRef]
- Zhao, H.; Zhao, X.; Zhang, T.; Zhou, R.L. Boundary line on agro-pasture zigzag zone in North China and its problems on eco-environment. Adv. Earth Sci. 2002, 17, 739–747. [Google Scholar]
- Zhao, S. Economic and Geographical Survey of an Agro-pastoral Transition Area in Chabei_Chameng and Ximeng. Acta Geogr. Sin. 1953, 19, 43–60. [Google Scholar]
- Zhang, J.; Wei, J.; Chen, Q. Mapping the farming-pastoral ecotones in China. J. Mt. Sci. 2009, 6, 78–87. [Google Scholar] [CrossRef]
- Shi, W.; Liu, Y.; Shi, X. Dataset of Farming-pastoral Ecotone Boundaries in Northern China during Four Decades (1970s, 1980s, 1990s and 2000s). J. Glob. Chang. Data Discov. 2018, 2, 419–425. [Google Scholar]
- Liu, M.; Wang, Y.; Pei, H. The changes of land use and carbon storage in the northern farming-pastoral ecotone under the background of returning farmland to forest (grass). J. Desert Res. 2021, 41, 174–182. [Google Scholar]
- Fang, X.; Jiang, H.; Lian, P. Range and rate of abrupt change of Precipitation about 3500 a BP in the North China farming-crazing transitionsal zone. Earth Sci. Front. 2002, 9, 163–167. [Google Scholar]
- Sun, P.; Qu, L.; Liu, Q.; Xu, Y.; Gong, Q. Spatiotemporal differentiation characteristics and driving factors of ecological restoration in the agropastoral ecotone of northern China. Resour. Sci. 2022, 44, 943–954. [Google Scholar]
- Liu, J.; Gao, J. Spatial changes of boundary based on land use and climate change in the farming-pastoral ecotone of northern China. China Environ. Sci. 2008, 28, 203–209. [Google Scholar]
- Liu, J.; Gao, J. Changes of land use and landscape pattern in the boundary change areas in farming-pastoral ecotone of Northern China. Trans. CSAE 2008, 24, 76–82. [Google Scholar]
- Gao, Q.; Li, H.H.; Jiang, Y.; Wang, J. Study on conbrsion between farmland and pastoral land in typical region of the farming-pastoral zone. Adv. Earth Sci. 2002, 17, 209–214. [Google Scholar]
- Shao, Q.; Liu, S.; Ning, J.; Liu, G.; Yand, F.; Zhang, X.; Niu, L.; Huang, H.; Fan, J.; Liu, J. Assessment of ecological benefits of key national ecological projects in China in 2000–2019 using remote sensing. Acta Geogr. Sin. 2022, 77, 2133–2153. [Google Scholar]
- Yang, J.; Huang, X. The 30 m annual land cover dataset and its dynamics in China from 1990 to 2019. Earth Syst. Sci. Data 2021, 13, 3907–3925. [Google Scholar] [CrossRef]
- Deng, X. Trace forest conversions in Northeast China with a 1-km area percentage data model. J. Appl. Remote Sens 2010, 4, 41893. [Google Scholar] [CrossRef]
- Wang, S.; Liu, J.; Ma, T. Dynamics and changes in spatial patterns of land use in Yellow River Basin, China. Land Use Policy 2010, 27, 313–323. [Google Scholar] [CrossRef]
- Li, Z. Analysis on the Spatial Relationship and Reasons of the Dry-Wet Zone and the Agro-Pastoral Zone. Ph.D. Thesis, University of Chinese Academy of Sciences, Beijing, China, 2013. [Google Scholar]
- Xiao, L. Determination and Dynamic of the Agro-Pastoral Zone in China. Ph.D. Thesis, Institute of Remote Sensing Applications, Chinese Academy of Sciences, Beijing, China, 2008. [Google Scholar]
- Legendre, P. Spatial autocorrelation: Trouble or new paradigm? Ecology 1993, 74, 1659–1673. [Google Scholar] [CrossRef]
- Lu, Y.; Long, C. A study of landscape pattern fragmentation in watershed based on spatial continuous datasets. Remote Sens. Land Resour. 2007, 72, 60–64. [Google Scholar]
- Anselin, L.; Syabri, I.; Kho, Y. GeoDa: An Introduction to Spatial Data Analysis. Geogr. Anal. 2006, 38, 5–22. [Google Scholar] [CrossRef]
- Zhang, F.; Zhang, X. Landscape spatial autocorrelation analysis of TM remote sensing data: A case study of Changping District, Beijing, China. Acta Ecol. Sin. 2004, 24, 2853–2858. [Google Scholar]
- Wang, X.; Bao, Y. Study on the methods of land use dynamic change research. Prog. Geogr. 1999, 18, 83–89. [Google Scholar]
- Zhong, H.R.M.G. Guiding Opinions of the Ministry of Agriculture on Agricultural Structure Adjustment in the Ecotone of Agriculture and Animal Husbandry in the North. Available online: http://www.moa.gov.cn/nybgb/2016/shierqi/201711/t20171125_5919525.htm (accessed on 20 October 2022).
- Shi, X.; Shi, W. Review on boundary shift of farming-pastoral ecotone in northern China and its driving forces. Trans. Chin. Soc. Agric. Eng. 2018, 34, 1–11. [Google Scholar]
- Wang, D. Analysis on the Spatio-Temporal Changes of the Cultivated Land-Grain-Population System in China in the Past 10 Years. Master’s Thesis, Chang’an University, Xi’an, China, 2020. [Google Scholar]
- Li, C.; Fu, B.; Wang, S.; Stringer, L.C.; Wang, Y.; Li, Z.; Liu, Y.; Zhou, W. Drivers and impacts of changes in China’s drylands. Nat. Rev. Earth Environ. 2021, 2, 858–873. [Google Scholar] [CrossRef]
- Li, Z.; Zhang, Z.; Zhao, X.; Wang, X. Changes of Distribution of Arid and Humid Areas in China. Earth Environ. 2017, 45, 420–433. [Google Scholar]
- Greve, P.; Orlowsky, B.; Mueller, B.; Sheffield, J.; Reichstein, M.; Seneviratne, S.I. Global assessment of trends in wetting and drying over land. Nat. Geosci. 2014, 7, 716–721. [Google Scholar] [CrossRef]
- Song, X.-P.; Hansen, M.C.; Stehman, S.V.; Potapov, P.V.; Tyukavina, A.; Vermote, E.F.; Townshend, J.R. Global land change from 1982 to 2016. Nature 2018, 560, 639–643. [Google Scholar] [CrossRef]
- Ye, Y.; Fang, X. Expansion of cropland area and formation of the eastern farming-pastoral ecotone in northern China during the twentieth century. Reg. Environ. Chang. 2012, 12, 923–934. [Google Scholar] [CrossRef]
- Jiang, T.; Wang, X.; Afzal, M.M.; Sun, L.; Luo, Y. Vegetation Productivity and Precipitation Use Efficiency across the Yellow River Basin: Spatial Patterns and Controls. Remote Sens. 2022, 14, 5074. [Google Scholar] [CrossRef]
- Jiao, C.; Xie, M.; Feng, J.; Li, T. Spatial and temporal shifts in land use structure and changes of ecosystem service values in Yan’an City from 1990 to 2020. Bull. Soil Water Conserv. 2021, 41, 274–281. [Google Scholar]
- Zou, L.L.; Wang, J.Y.; Bai, M.D. Assessing spatial-temporal heterogeneity of China’s landscape fragmentation in 1980–2020. Ecol. Indic. 2022, 136, 108654. [Google Scholar] [CrossRef]
- Qiu, L.; Tao, T.; Han, S.; Yang, W.; Luan, X.; Qiu, Y.; Liu, M.; Xu, C. Effects of local landscape fragmentation on species richness at a macroecological scale. Acta Ecol. Sin. 2017, 37, 7595–7603. [Google Scholar]
- Mitchell, M.G.E.; Bennett, E.M.; Gonzalez, A. Strong and nonlinear effects of fragmentation on ecosystem service provision at multiple scales. Environ. Res. Lett. 2015, 10, 94014. [Google Scholar] [CrossRef]
- Gao, Y.; Guo, Y.; Wang, W.; Li, F.; Huang, P. Accuracy evaluation of different land use or land cover data in grassland of northern China. Chin. J. Ecol. 2019, 38, 283–293. [Google Scholar]
- Liu, M.; Tang, X.; Liu, J.; Zhuang, D. Research on Scaling Effect Based on 1 km Grid Cell Data. J. Remote Sens. 2001, 5, 183–190. [Google Scholar]










| Results | Significance |
|---|---|
| NN | The cell value is not significantly correlated with the surrounding cell values. (default level of significance is p < 0.05) |
| HH | The cell and the surrounding cell values are both high, and they are significantly positively correlated. |
| LL | The cell and the surrounding cell values are both low, and they are significantly positively correlated. |
| HL | The cell value is high, while the value of the surrounding cells is low, and they are significantly negatively correlated. |
| LH | The cell value is low, while the value of the surrounding cells is high, and they are significantly negatively correlated. |
| Id | Cropland | Grassland | Whether It Is Classified as FPE | Position in FPE |
|---|---|---|---|---|
| 11 | NN | NN | Yes | North and south boundary (less) |
| 12 | NN | HH | Yes | North boundary |
| 13 | NN | LL | No, mainly other land use types | |
| 14 | NN | HL | Yes | North and south boundary (less) |
| 15 | NN | LH | No, less cropland and grassland | |
| 21 | HH | NN | Yes | south boundary |
| 22 | HH | HH | Yes | interior |
| 23 | HH | LL | No, mainly cropland | |
| 24 | HH | HL | Yes | interior |
| 25 | HH | LH | No, mainly cropland | |
| 31 | LL | NN | No, mainly other land use types | |
| 32 | LL | HH | No, mainly grassland | |
| 33 | LL | LL | No, less cropland and grassland | |
| 34 | LL | HL | No, mainly grassland | |
| 35 | LL | LH | No, mainly other land use types | |
| 41 | HL | NN | Yes | North and south boundary (less) |
| 42 | HL | HH | Yes | interior |
| 43 | HL | LL | No, mainly cropland | |
| 44 | HL | HL | Yes | Interior (less) |
| 45 | HL | LH | No, mainly cropland | |
| 51 | LH | NN | No, mainly other land use types | |
| 52 | LH | HH | No, mainly grassland | |
| 53 | LH | LL | No, mainly other land use types | |
| 54 | LH | HL | No, mainly grassland | |
| 55 | LH | LH | No, mainly other land use types |
| FPE | Criteria | Area (104 km2) |
|---|---|---|
| Wenjiao Shi, et al. [21], FPE boundary based on climatic factors in 2000 | Based on the defined area with annual precipitation variability of 15–30% and dryness index of 0.2–0.5, the 400-mm isoline of annual precipitation is taken as the center, the 300-mm isoline is taken as the northwest boundary, and the 500-mm isoline is taken as the southeast boundary. Unclosed parts of the northwest and southeast boundaries are smoothly transitioned from 300-mm to 500-mm through 350-mm, 400-mm, and 450-mm precipitation isolines. | 68.02 |
| Wenjiao Shi, et al. [21], FPE in 2000 based on land use data | Within the scope of the existing ecological division of the northern FPE, the contiguous area is extracted. This area must meet the conditions of the proportion of cultivated land >15%, the proportion of grassland >15%, and the proportion of cultivated land and grassland >50% in the land use percentage grid. | 66.58 |
| Key Region Scope of Northern FPE (2016) [39] | County agricultural structure | 45.90 |
| Our results in 2000 | Spatial autocorrelation analysis of cropland and grassland | 62.90 |
Publisher’s Note: MDPI stays neutral with regard to jurisdictional claims in published maps and institutional affiliations. |
© 2022 by the authors. Licensee MDPI, Basel, Switzerland. This article is an open access article distributed under the terms and conditions of the Creative Commons Attribution (CC BY) license (https://creativecommons.org/licenses/by/4.0/).
Share and Cite
Li, Z.; Li, L.; Wang, Y.; Man, W.; Liu, W.; Nie, Q. Spatial Change of the Farming–Pastoral Ecotone in Northern China from 1985 to 2021. Land 2022, 11, 2179. https://doi.org/10.3390/land11122179
Li Z, Li L, Wang Y, Man W, Liu W, Nie Q. Spatial Change of the Farming–Pastoral Ecotone in Northern China from 1985 to 2021. Land. 2022; 11(12):2179. https://doi.org/10.3390/land11122179
Chicago/Turabian StyleLi, Zongmei, Lanhui Li, Yang Wang, Wang Man, Wenfeng Liu, and Qin Nie. 2022. "Spatial Change of the Farming–Pastoral Ecotone in Northern China from 1985 to 2021" Land 11, no. 12: 2179. https://doi.org/10.3390/land11122179
APA StyleLi, Z., Li, L., Wang, Y., Man, W., Liu, W., & Nie, Q. (2022). Spatial Change of the Farming–Pastoral Ecotone in Northern China from 1985 to 2021. Land, 11(12), 2179. https://doi.org/10.3390/land11122179

