Relationship Analysis of Local Community Participation in Sustainable Ecotourism Development in Protected Areas, Iran
Abstract
1. Introduction
2. Literature Reviews
3. Materials and Methods
3.1. PAs of Tehran Province
3.2. Data and Methods
4. Results
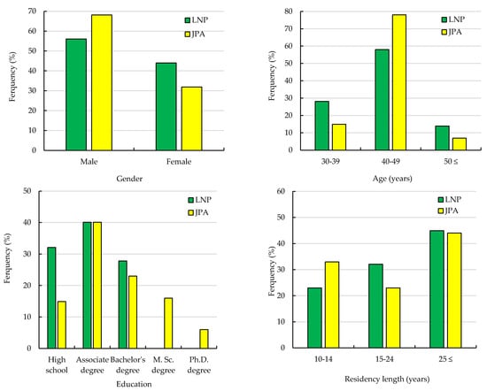
4.1. Respondents’ Socio-Demographic Characteristics
4.2. Evaluation of the Ecotourism Sustainability Level
4.3. Evaluation of Local Community Participation Levels
4.4. Relationship between Participation and Sustainable Ecotourism Development
4.5. Evaluating Factors Affecting Local Community Participation
5. Discussion
6. Conclusions
Supplementary Materials
Author Contributions
Funding
Data Availability Statement
Conflicts of Interest
References
- Fletcher, R. Ecotourism After Nature: Anthropocene Tourism as a New Capitalist “Fix”. J. Sustain. Tour. 2019, 27, 522–535. [Google Scholar] [CrossRef]
- Bernhard, K.P.; Sabuhoro, E.; Dattilo, J. Colonial Influence on Local Relationships with Leisure and Environment in East Africa: Intersecting Two Literatures to Reflect on Domestic Ecotourism. Int. J. Sociol. Leis. 2022, 6, 1–20. [Google Scholar] [CrossRef]
- Mazengiya, M.N. Review on the Impacts of Community-Based Ecotourism on Household Financial Asset Improvement and Its Determinants in Ethiopia. Adv. Agric. 2022, 2020, 9238244. [Google Scholar] [CrossRef]
- Wondirad, A.; Tolkach, D.; King, B. Stakeholder Collaboration as a Major Factor for Sustainable Ecotourism Development in Developing Countries. Tour. Manag. 2020, 78, 104024. [Google Scholar] [CrossRef]
- Agardy, M.T. Accommodating ecotourism in multiple use planning of coastal and marine protected areas. Ocean Coastal Manag. 1993, 20, 219–239. [Google Scholar] [CrossRef]
- Xu, L.; Ao, C.; Liu, B.; Cai, Z. Ecotourism and sustainable development: A scientometric review of global research trends. Environ. Dev. Sustain. 2022, 25, 1–27. [Google Scholar] [CrossRef]
- Blau, M.L.; Panagopoulos, T. Designing Healing Destinations: A Practical Guide for Eco-Conscious Tourism Development. Land 2022, 11, 1595. [Google Scholar] [CrossRef]
- Ziyeviddinovich, M.A. Prospects for Ecotourism Development in Uzbekistan. Am. J. Soc. Humanit. Res. 2022, 3, 65–69. [Google Scholar]
- Phelan, A.; Ruhanen, L.; Mair, J. Ecosystem services approach for community-based ecotourism: Towards an equitable and sustainable blue economy. J. Sustain. Tour. 2020, 28, 1665–1685. [Google Scholar] [CrossRef]
- Buckley, R.; Brough, P.; Hague, L.; Chauvenet, A.; Fleming, C.; Roche, E.; Sofija, E.; Harris, N. Economic value of protected areas via visitor mental health. Nat. Commun. 2019, 10, 5005. [Google Scholar] [CrossRef]
- Kim, D.; Jin, J. Does happiness data say urban parks are worth it? Landsc. Urban Plan. 2018, 178, 1–11. [Google Scholar] [CrossRef]
- Azaryan, M.; Vajari, K.A.; Amanzadeh, B. Herb-layer diversity and morphological traits of beech trees (Fagus orientalis L.) in development stages of natural temperate forests. Biologia 2022, 78, 1–8. [Google Scholar] [CrossRef]
- Lobry de Bruyn, L.; Duong, T.M.P.; Kristiansen, P.; Marshall, G.R.; Wilkes, J. The Role of Livelihood Initiatives in Reducing Non-wood Forest Product Reliance in Protected Areas of Southern Vietnam: Opportunities and Challenges. Non-Wood For. Prod. Asia 2022, 25, 221–251. [Google Scholar]
- Thapa, K.; King, D.; Banhalmi-Zakar, Z.; Diedrich, A. Nature-based tourism in protected areas: A systematic review of socio-economic benefits and costs to local people. Int. J. Sustain. Dev. World Ecol. 2022, 29, 1–16. [Google Scholar] [CrossRef]
- Kia, Z. Ecotourism in Indonesia: Local community involvement and the affecting factors. J. Gov. Public Policy 2021, 8, 93–105. [Google Scholar] [CrossRef]
- Benitez, L.; Kilian, J.W.; Wittemyer, G.; Hughey, L.F.; Fleming, C.H.; Leimgruber, P.; du Preez, P.; Stabach, J.A. Precipitation, vegetation productivity, and human impacts control home range size of elephants in dryland systems in northern Namibia. Ecol. Evol. 2022, 12, e9288. [Google Scholar] [CrossRef]
- Das, M.; Chatterjee, B. Ecotourism a solution or deception for conservation: A case of Bhitarkanika Wildlife Sanctuary, Odisha, India. J. Hosp. Tour. Insights 2022. ahead-of-print. [Google Scholar] [CrossRef]
- Kaefer, F. Mihee Kang on Ecotourism Opportunities and Challenges in South Korea. Sustain. Leadersh. Tour. 2022, 1, 481–483. [Google Scholar] [CrossRef]
- Wishitemi, B.E.; Momanyi, S.O.; Ombati, B.G.; Okello, M.M. The link between poverty, environment and ecotourism development in areas adjacent to Maasai Mara and Amboseli protected areas, Kenya. Tour. Manag. Perspect. 2015, 16, 306–317. [Google Scholar] [CrossRef]
- Gao, J.; Faheem, M.; Yu, X. Global Research on Contaminated Soil Remediation: A Bibliometric Network Analysis. Land 2022, 11, 1581. [Google Scholar] [CrossRef]
- Nouri, M.; Bannayan, M. Spatiotemporal Changes in Aridity Index and Reference Evapotranspiration Over Semi-Arid and Humid Regions of Iran: Trend, Cause, and Sensitivity Analyses. Theor. Appl. Climatol. 2019, 136, 1073–1084. [Google Scholar] [CrossRef]
- Sweeney, C.P.; Jarzyna, M.A. Assessing the Synergistic Effects of Land Use and Climate Change on Terrestrial Biodiversity: Are Generalists Always the Winners? Curr. Landsc. Ecol. Rep. 2022, 7, 1–8. [Google Scholar] [CrossRef]
- Alkemade, R.; van Bussel, L.G.; Rodríguez, S.L.; Schipper, A.M. Global biodiversity assessments need to consider mixed multifunctional land-use systems. Curr. Opin. Environ. Sustain. 2022, 56, 101174. [Google Scholar] [CrossRef]
- Zoysa, M.D. Forest-based ecotourism in Sri Lanka: A review on state of governance, livelihoods, and forest conservation outcomes. J. Sustain. For. 2021, 41, 413–439. [Google Scholar] [CrossRef]
- Pornprasit, P.; Rurkkhum, S. Performance evaluation of community-based ecotourism: A case study in Satun province, Thailand. J. Ecotourism 2019, 18, 42–59. [Google Scholar] [CrossRef]
- Day, J.; Sydnor, S.; Marshall, M.; Noakes, S. Ecotourism, regenerative tourism, and the circular economy: Emerging trends and ecotourism. In Routledge Handbook of Ecotourism; Routledge: Oxfordshire, UK, 2021; Volume 1, pp. 23–36. [Google Scholar]
- Graci, S. Collaboration and partnership development for sustainable tourism. Tour. Geogr. 2013, 15, 25–42. [Google Scholar] [CrossRef]
- Jamal, T.B.; Getz, D. Collaboration theory and community tourism planning. Ann. Tour. Res. 1995, 22, 186–204. [Google Scholar] [CrossRef]
- Osman, T.; Shaw, D.; Kenawy, E. Examining the extent to which stakeholder collaboration during ecotourism planning processes could be applied within an Egyptian context. Land Use Policy 2018, 78, 126–137. [Google Scholar] [CrossRef]
- Forje, G.W.; Awazi, N.P.; Kimengsi, J.N. Ecotourism governance in sub-Saharan Africa: A systematic review. Environ. Res. Commun. 2022, 4, 1–17. [Google Scholar] [CrossRef]
- Choi, Y.E.; Oh, C.-O.; Chon, J. Applying the resilience principles for sustainable ecotourism development: A case study of the Nakdong Estuary, South Korea. Tour. Manag. 2021, 83, 104237. [Google Scholar] [CrossRef]
- Ghosh-Harihar, M.; An, R.; Athreya, R.; Borthakur, U.; Chanchani, P.; Chetry, D.; Datta, A.; Harihar, A.; Karanth, K.K.; Mariyam, D. Protected areas and biodiversity conservation in India. Biol. Conserv. 2019, 237, 114–124. [Google Scholar] [CrossRef]
- Rowlands, J. Empowerment examined. Dev. Pract. 1995, 5, 101–107. [Google Scholar] [CrossRef]
- Timur, S.; Getz, D. Sustainable tourism development: How do destination stakeholders perceive sustainable urban tourism? Sustain. Dev. 2009, 17, 220–232. [Google Scholar] [CrossRef]
- Yodsuwan, C.; Butcher, K. Determinants of tourism collaboration member satisfaction in Thailand. Asia Pac. J. Tour. Res. 2012, 17, 63–80. [Google Scholar] [CrossRef]
- Demkova, M.; Sharma, S.; Mishra, P.K.; Dahal, D.R.; Pachura, A.; Herman, G.V.; Kostilnikova, K.; Kolesárová, J.; Matlovicova, K. Potential for Sustainable Development of Rural Communities by Community-Based Ecotourism. A Case Study of Rural Village Pastanga, Sikkim Himalaya, INDIA. GeoJ. Tour. Geosites 2022, 43, 964975. [Google Scholar] [CrossRef]
- Ramaano, A.I. Nature and Impacts of Tourism Development Facilities and Activities on the Livelihoods of Communities in Musina Municipality. Tour. Plan. Dev. 2022, 19, 1–25. [Google Scholar] [CrossRef]
- Hughes, E.; Scheyvens, R. Tourism partnerships: Harnessing tourist compassion to ‘do good’through community development in Fiji. World Dev. 2021, 145, 105529. [Google Scholar] [CrossRef]
- Nejad, N.M.; Aghakhani, M. Evaluation of threats and opportunities of ecotourism industry strategic factors (Case study: Protected area of Jajroud). J. Environ. Sci. Technol. 2013, 11, 237–247. [Google Scholar]
- Krovopuskov, P.; Kantaryuk, E.; Chernyshova, M. Modern trends of development of industrial tourism for Russian Universities. Int. J. Eng. Technol. UAE 2018, 7, 65–66. [Google Scholar]
- Butler, R. Le tourisme durable: Un état de la question. Tour. Geogr. 1999, 1, 7–25. [Google Scholar] [CrossRef]
- Serna-Lagunes, R.; Rosas-Torres, F.; Aguilar-Rivera, N.; Torres-Cantú, G.B.; Llarena-Hernández, R.C.; Mora-Collado, N.; Salazar-Ortiz, J. Impact of Tourism Activities on Human Health and the Environment of a Riparian Ecosystem in Mexico. In Handbook of Human and Planetary Health; Springer: Cham, Switzerland, 2022; pp. 203–219. [Google Scholar]
- Bhatia, A.; Roy, B.; Kumar, A. A review of tourism sustainability in the era of COVID-19. J. Stat. Manag. Syst. 2022, 25, 1–18. [Google Scholar] [CrossRef]
- Nopiyani, N.M.S.; Wirawan, I.M.A. The impact of tourism on the quality of life of communities in tourist destination areas: A systematic review. Open Access Maced. J. Med. Sci. 2021, 9, 129–136. [Google Scholar] [CrossRef]
- Mooney, S.; Robinson, R.; Solnet, D.; Baum, T. Rethinking tourism’s definition, scope and future of sustainable work and employment: Editorial for the Journal of Sustainable Tourism special issue on “locating workforce at the heart of sustainable tourism discourse”. J. Sustain. Tour. 2022, 30, 1–19. [Google Scholar] [CrossRef]
- Saarinen, J.; Rogerson, J.M. Tourism and change: Issues and challenges in the Global South. Tour. Chang. Glob. South 2021, 1, 3–14. [Google Scholar]
- Badoc-Gonzales, B.P.; Mandigma, M.; Belinda, S.; Tan, J.J. SME resilience as a catalyst for tourism destinations: A literature review. J. Glob. Entrep. Res. 2022, 10, 1–22. [Google Scholar] [CrossRef]
- Zhu, S.; Jiang, W. A Comprehensive Evaluation of Environmental Quality for Health Ecotourism in Huangshan National Forest Park. Mob. Inf. Syst. 2022, 2022, 8666276. [Google Scholar] [CrossRef]
- Li, M.; Wu, X. Informal Tourism Employment for Poverty Alleviation Under the COVID-19 Pandemic: Research Advances and Novel Challenges. Tour. Aviat. Hosp. Dev. Dur. COVID-19 Pandemic 2022, 1, 191–204. [Google Scholar]
- Singh, K.; Puri, G.; Vohra, S.K. Rural Tourism: Emerging Trends & Possibilities In Indian Context Amid COVID 19. J. Posit. Sch. Psychol. 2022, 6, 2217–2224. [Google Scholar]
- Tosun, C. Expected nature of community participation in tourism development. Tour. Manag. 2006, 27, 493–504. [Google Scholar] [CrossRef]
- Laurila-Pant, M.; Lehikoinen, A.; Uusitalo, L.; Venesjärvi, R. How to value biodiversity in environmental management? Ecol. Indic. 2015, 55, 1–11. [Google Scholar] [CrossRef]
- Padma, P.; Ramakrishna, S.; Rasoolimanesh, S.M. Nature-based solutions in tourism: A review of the literature and conceptualization. J. Hosp. Tour. Res. 2022, 46, 442–466. [Google Scholar] [CrossRef]
- Lozano-Oyola, M.; Blancas, F.J.; González, M.; Caballero, R. Sustainable tourism indicators as planning tools in cultural destinations. Ecol. Indic. 2012, 18, 659–675. [Google Scholar] [CrossRef]
- Santos, M.C.; Veiga, C.; Santos, J.A.C.; Águas, P. Sustainability as a success factor for tourism destinations: A systematic literature review. Worldw. Hosp. Tour. Themes 2022, 14, 20–37. [Google Scholar] [CrossRef]
- Dewi, R.; Ginting, N. Analysis of Community Participation in Sustainable Tourism Development in Simanindo Sub-District. Int. J. Archit. Urban 2022, 6, 131–144. [Google Scholar]
- Lin, Z.; Rasoolimanesh, S.M. Sharing tourism experiences in social media: A systematic review. Anatolia 2022, 33, 1–15. [Google Scholar] [CrossRef]
- Richards, G.; Fernandes, C. Cultural tourism during the COVID-19 pandemic in Portugal. Tour. Cult. Commun. 2022, 12, 19–36. [Google Scholar] [CrossRef]
- Shang, G.; Chen, X.; Liu, L. Impact of perceived discrimination on travel intention. Soc. Behav. Personal. 2022, 50, 1–11. [Google Scholar] [CrossRef]
- Callaghan, M.; Hubbard, P. The Asian infrastructure investment bank: Multilateralism on the silk road. China Econ. J. 2016, 9, 116–139. [Google Scholar] [CrossRef]
- Afanasiev, O.E.; Afanasieva, A.V. The Effect of COVID-19 Pandemic on Russian Tourists’ Demand and Preferences. In Tourism through Troubled Times; Emerald Publishing Limited: Bradford, UK, 2022; pp. 203–230. [Google Scholar]
- Herscovici, A.; Dahan, G.; Cohen, G. Smart Cities and Tourism: The Case of Tel Aviv-Yafo. Sustainability 2022, 14, 10968. [Google Scholar] [CrossRef]
- Zhou, B.; Xiong, Q.; Liu, S.; Wang, L.E.; Li, P.; Ryan, C. Tourist satisfaction with online car-hailing: Evidence from Hangzhou City, China. Curr. Issues Tour. 2022, 15, 1–19. [Google Scholar] [CrossRef]
- Zhang, Y. Information Construction of Sports Tourism in Haikou City under the Background of Internet. Wirel. Commun. Mob. Comput. 2022, 2022, 5931315. [Google Scholar] [CrossRef]
- Rebelo, S.; Patuleia, M.; Dias, Á. Inclusive Tourism: Assessing the Accessibility of Lisbon as a Tourist Destination. Tour. Hosp. 2022, 3, 466–495. [Google Scholar] [CrossRef]
- Hasson, F.; Keeney, S. Enhancing rigour in the Delphi technique research. Technol. Forecast. Soc. Chang. 2011, 78, 1695–1704. [Google Scholar] [CrossRef]
- Likert, R.A. technique for the measurement of attitudes. Arch. Psychol. 1932, 22, 44–53. [Google Scholar]
- Phyoe, S.S.S. Factors influencing local communities’ attitudes toward protected areas: A Comparative Study of Five Different PAs in Myanmar. Master’s Thesis, NTNU, Trondheim, Norway, 2022. [Google Scholar]
- Sahani, A.K. Ecotourism-an-option-for-sustainable-livelihood-in-uttarakhand-to-reduce-out-migration. J. Tour. Res. Hosp. 2021, 10, 1–6. [Google Scholar]
- Et, A.; Ganjali, S. Environmental and strategic assessment of ecotourism potential in Anzali Wetland using SWOT analysis. Casp. J. Environ. Sci. 2014, 12, 155–165. [Google Scholar]
- Kumar, V.; Punam, S. Socio-Cultural Impacts of Ecotourism Developments on the Stakeholders in the Great Himalayan National Park: An UNESCO World Heritage Site. Issue 1 Int’l JL Mgmt. Hum. 2022, 5, 296. [Google Scholar]
- Furze, B.; Lacy, T.D.; Birckhead, J. Culture, Conservation and Biodiversity: The Social Dimension of Linking Local Level Development and Conservation through Protected Areas; John Wiley & Sons: Hoboken, NJ, USA, 1996. [Google Scholar]
- Kaltenborn, B.P.; Riese, H.; Hundeide, M. National park planning and local participation: Some reflections from a mountain region in southern Norway. Mt. Res. Develop. 1999, 19, 51–61. [Google Scholar] [CrossRef]
- Gidebo, H.B. Linking livelihood and biodiversity conservation in protected areas: Community based tourism development perspective from developing country. Tour. Hosp. Res. 2022, 22, 1–15. [Google Scholar] [CrossRef]
- Scherl, L.M.; Wilson, A.; Wild, R. Can protected areas contribute to poverty reduction? In Opportunities and Limitations; IUCN: Fontainebleau, France, 2004. [Google Scholar]
- Cronon, W. Uncommon Ground: Rethinking the Human Place in Nature; WW Norton & Company: New York, NY, USA, 1996. [Google Scholar]
- Hill, D.; Vidon, E. Missing the forest for the fracking: Wilderness as ideology and simulacrum in Pennsylvania parks. Tour. Manag. Perspect. 2022, 41, 100918. [Google Scholar] [CrossRef]
- Tsegaye, T.G.; Lars, K.; Mona, B.; Aletta, B.; Lukas, B.; Andreas, F.; Marco, H.; Wesche, K.; Winter, M.; Ordaz-Németh, I. Sustainable protected areas: Synergies between biodiversity conservation and socioeconomic development. People Nat. 2022, 4, 893–903. [Google Scholar] [CrossRef]
- Masud, M.M.; Shahabudin, S.M.; Baskaran, A.; Akhtar, R. Co-management approach to sustainable management of marine protected areas: The case of Malaysia. Mar. Policy 2022, 138, 105010. [Google Scholar] [CrossRef]
- Yonariza, Y.; Webb, E. Rural household participation in illegal timber felling in a protected area of West Sumatra, Indonesia. Environ. Conserv. 2007, 34, 73–82. [Google Scholar] [CrossRef]
- Fidler, R.Y.; Ahmadia, G.N.; Cox, C.A.A.; Glew, L.E.; Handayani, C.; Mahajan, S.L.; Mascia, M.B.; Pakiding, F. Participation, not penalties: Community involvement and equitable governance contribute to more effective multiuse protected areas. Sci. Adv. 2022, 8, eabl8929. [Google Scholar] [CrossRef]
- Khan, M.S.; Bhagwat, S.A. Protected areas: A resource or constraint for local people? Mt. Res. Develop. 2010, 30, 14–24. [Google Scholar] [CrossRef]
- Ali, M.B.; Quaddus, M.; Rabbanee, F.K.; Shanka, T. Community participation and quality of life in nature-based tourism: Exploring the antecedents and moderators. J. Hosp. Tour. Res. 2022, 46, 630–661. [Google Scholar] [CrossRef]
- Eshun, G. Towards the dual mandate of ecotourism in Africa-comparative evidence from Ghana. Afr. Insight 2014, 44, 164–184. [Google Scholar]
- Eshun, G.; Tichaawa, T.M. Reconsidering participation for local community well-being in ecotourism in Ghana. Geo J. Tour. Geosites 2019, 27, 1184–1200. [Google Scholar] [CrossRef]
- Darda, M.A.; Bhuiyan, M.A.H. A Structural Equation Model (SEM) for the socio-economic impacts of ecotourism development in Malaysia. PLoS ONE 2022, 17, e0273294. [Google Scholar] [CrossRef]
- Mudimba, T.; Tichaawa, T.M. Voices of local communities regarding their involvement and roles in the tourism development process in Victoria Falls, Zimbabwe. Afr. J. Hosp. Tour. Leis. 2017, 6, 1–15. [Google Scholar]
- Romero-Brito, T.P.; Buckley, R.C.; Byrne, J. NGO partnerships in using ecotourism for conservation: Systematic review and meta-analysis. PLoS ONE 2016, 11, e0166919. [Google Scholar]
- Harilal, V.; Tichaawa, T.M.; Saarinen, J. The impacts of ecotourism and conservation measures in protected areas on local communities in Cameroon. Tour. Rev. Int. 2021, 25, 89–103. [Google Scholar] [CrossRef]
- Musavengane, R. Environmental Operational Research for sustainable tourism and conflict management in community-based natural resources management. Conserv. Land Confl. Sustain. Tour. S. Afr. 2022, 1, 119–136. [Google Scholar]
- Prado, D.S.; Seixas, C.S.; Trimble, M. Catalytic and structural factors behind advancements of co-management in protected areas: Contributions for its evaluation. J. Environ. Manag. 2022, 311, 114825. [Google Scholar] [CrossRef]

| Dimension | Variables | Indicators | LNP | JPA |
|---|---|---|---|---|
| Environmental-physical | Environmental pollution | Pollution of water | 4.95 | 2.11 |
| Pollution of soil | 4.11 | 3.87 | ||
| Pollution of air | 3.70 | 3.80 | ||
| Noise pollution | 3.60 | 3.70 | ||
| Ecosystems | Changes in habitat integration | 3.42 | 3.63 | |
| Land-use and land-cover changes | 3.40 | 3.60 | ||
| Area’s ecological potential for intensive ecotourism development | - | 2.26 | ||
| Area’s ecological potential for extensive ecotourism development | 4.97 | 3.17 | ||
| Biodiversity | Flora and fauna biodiversity | 4.85 | 3.80 | |
| Endangered species percentage | 4.76 | 3.82 | ||
| Tourism environmental carrying capacity | Physical carrying capacity | 4.70 | 3.68 | |
| Real carrying capacity | 3.27 | 3.55 | ||
| Effective carrying capacity | 3.11 | 3.25 | ||
| Safety | Emergency services accessibility | 3.61 | 4.09 | |
| Fire services accessibility | 3.42 | 3.60 | ||
| Feeling of driving safety level on the road | 3.92 | 4.00 | ||
| Infrastructure and facilities for ecotourism | Healthcare accessibility | - | 1.35 | |
| Garbage container accessibility | - | 1.85 | ||
| Wastewater disposal system accessibility | - | 1.74 | ||
| Drinking water accessibility | - | 1.42 | ||
| Transport networks accessibility | - | 1.38 | ||
| Public transportation network quality | - | 1.54 | ||
| Public parking lots accessibility | - | 1.36 | ||
| Accessibility of platforms used for tent and canopy installation | - | 1.22 | ||
| Affordability of cultural and religious locations | - | 1.42 | ||
| Restaurant and grocery store accessibility | - | 1.86 | ||
| Restaurant and grocery store quality | - | 1.43 | ||
| Access to accommodation | - | 1.58 | ||
| Accommodation quality | - | 1.34 | ||
| Theaters and cinemas accessibility | - | 1.25 | ||
| Health facilities accessibility | 3.20 | 3.38 | ||
| Road access options | 3.89 | 3.92 | ||
| Different road quality levels | 3.73 | 3.84 | ||
| Tour agencies accessibility | 3.07 | 3.48 | ||
| Information signs accessibility | 3.18 | 3.45 | ||
| Natural ecotourism attractions accessibility | 4.23 | 4.18 | ||
| Cultural and historical ecotourism attractions accessibility | 3.95 | 3.72 | ||
| Access to man-made tourism attractions | 3.80 | 3.90 | ||
| Total mean | 3.86 | 2.80 | ||
| Dimension | Variables | Indicators | LNP | JPA |
| Demographic-social | Satisfaction | Satisfaction of ecotourism from local communities | 4.80 | 3.22 |
| Satisfaction from local communities’ behavior and acceptability | 4.50 | 3.12 | ||
| Satisfaction with retaining public facilities and ecotourism infrastructure | 4.58 | 2.96 | ||
| Satisfaction of protecting various monuments (e.g., archaeological and cultural) | 4.47 | 2.87 | ||
| Satisfaction of protecting herb and woody species | 4.26 | 2.63 | ||
| Satisfaction of conserving wildlife | 4.38 | 3.18 | ||
| Satisfaction of preventing pollution in the environment | 4.80 | 2.76 | ||
| Satisfaction with the state of the environment’s health | 4.82 | 2.55 | ||
| Satisfaction of the road traffic condition | 4.58 | 3.22 | ||
| Participation | Seedlings plantations: participation level | 4.42 | 1.36 | |
| Feeding domestic animals: participation level | 4.09 | 1.32 | ||
| Protection of valuable monuments: participation level | 3.67 | 1.20 | ||
| Preventing pollutions of water bodies: participation level | 4.28 | 1.12 | ||
| Maintaining environment’s cleanliness: participation level | 4.38 | 1.45 | ||
| Maintaining of ecotourism infrastructure: participation level | 2.11 | 2.78 | ||
| Respecting residents: participation level | 3.45 | 1.42 | ||
| Protection of local services and facilities: participation level | 4.12 | 2.00 | ||
| Feeling of security | Level of ecotourists’ sense for security | 4.08 | 1.84 | |
| Security level of residents | 4.23 | 2.45 | ||
| Security level of environmental guardians | 3.96 | 2.23 | ||
| Police accessibility levels | 3.20 | 2.32 | ||
| Population density | Resident density | 3.42 | 4.15 | |
| Resident migration | 2.18 | 2.08 | ||
| Culture | Residents’ perception of education | 4.24 | 1.82 | |
| Residents’ cultural and moral development | 3.20 | 2.00 | ||
| Respect for local traditions | 2.85 | 2.58 | ||
| Justice | Variation in local services accessibility | 2.02 | 4.60 | |
| Ecotourism infrastructure accessibility | - | 3.30 | ||
| Women’s participation and presence in ecotourism development | 3.11 | 3.00 | ||
| Residents’ employment opportunities | 3.40 | 3.84 | ||
| Employees rate of local households | 2.84 | 4.35 | ||
| Amount of wages for residents | 3.00 | 3.57 | ||
| Local households’ buying power | 2.42 | 3.37 | ||
| Income levels of local households | 3.22 | 3.96 | ||
| Cost levels of local households | 3.17 | 3.48 | ||
| Total mean | 3.71 | 2.79 | ||
| Dimension | Variables | Indicators | LNP | JPA |
| Economic- institutional | Information and communication infrastructure | Telecommunication networks accessibility | - | 4.61 |
| Internet accessibility | 3.82 | 4.24 | ||
| Banking services and automated teller machines accessibility | - | 4.22 | ||
| Information centers accessibility | 2.96 | 4.61 | ||
| Newspaper accessibility | - | 4.28 | ||
| Antenna status of mobile | 2.43 | 4.53 | ||
| Antenna status of television and radio | 2.85 | 4.20 | ||
| Local prices | Food and commodity prices | 3.36 | 4.42 | |
| Property and land prices | 3.82 | 4.30 | ||
| Employments | Employment level in the industrial sectors | - | 4.33 | |
| Employment level in service sectors | - | 4.02 | ||
| Employment level in agricultural sectors | - | 3.65 | ||
| Employment level in technology and information sectors | - | 4.23 | ||
| Employment level in ecotourism sectors | - | 4.38 | ||
| Governmental and non-governmental institutions | Government institutions accessibility | 2.68 | 4.28 | |
| NGOs accessibility | 2.84 | 4.35 | ||
| Monitoring and control | Area’s level of controlling and monitoring | 3.14 | 3.80 | |
| Institutional cooperation | Organizational cooperation level | 3.75 | 3.65 | |
| Managerial function quality | Managers’ effectiveness in training and informing | 3.26 | 3.80 | |
| Guides’ performance in local tours | 2.00 | 3.65 | ||
| Efficacy of environmental guardians | 4.90 | 3.80 | ||
| Ecotourism costs | Cost of food | 4.23 | 2.55 | |
| Cost of transportation | 3.35 | 2.35 | ||
| Local facility costs | 3.96 | - | ||
| Input costs | 4.36 | 2.57 | ||
| Health services costs | 3.64 | 2.26 | ||
| Laws and regulations | Respect for the law and regulations | 3.95 | 3.26 | |
| Local regulations and laws accessibility | 2.72 | 2.23 | ||
| Total mean | 3.40 | 3.80 | ||
| LNP | JPA | |||
| Total mean of sustainable ecotourism in studied areas | 3.68 | 3.03 | ||
| Dimension | Variables | Indicators | LNP | JPA |
|---|---|---|---|---|
| Demographic-social | Participation | Participation level in conservation and sustainable ecotourism development | 4.63 | 3.62 |
| Participation level in conservation of ecological resources | 4.77 | 3.75 | ||
| Participation level in development of PAs | 3.92 | 3.52 | ||
| Participation level in promoting and encouraging protection of these areas | 4.52 | 3.58 | ||
| Participation level in natural monument protections | 4.00 | 3.32 | ||
| Participation level in protection of flora | 3.23 | 3.08 | ||
| Participation level in wildlife species protections | 2.88 | 2.23 | ||
| Participation level in maintaining environment from pollution | 3.76 | 2.45 | ||
| Participation level in maintaining monuments related to culture and art | 2.73 | 2.11 | ||
| Participation level in adherence to laws and regulations | 4.87 | 3.17 | ||
| Participation level in reporting illegal hunting | 2.68 | 1.74 | ||
| Participation level in reporting deforestation and destruction of vegetation | 2.47 | 1.63 | ||
| Participation level in public training | 3.67 | 3.05 | ||
| Participation level in management and planning | 3.85 | 2.60 | ||
| Participation level in advertising and awareness | 2.54 | 1.52 | ||
| Total mean | 3.64 | 2.76 | ||
| Studied Area | Statistical Parameters | Dimensions of Ecotourism Sustainability | ||
|---|---|---|---|---|
| Environmental–Physical | Socio-Demographical | Economic–Institutional | ||
| LNP | Mean | 3.86 | 3.71 | 3.40 |
| Std. Deviation | 0.40 | 0.45 | 0.24 | |
| Z Parameter | 0.31 | 0.10 | 0.263 | |
| Sig. level | 0.002 | 0.008 | 0.009 | |
| JPA | Mean | 2.80 | 2.79 | 3.80 |
| Std. Deviation | 0.75 | 0.42 | 0.19 | |
| Z Parameter | 0.15 | 0.24 | 0.11 | |
| Sig. level | 0.009 | 0.004 | 0.003 | |
| Studied Area | Relationship Analysis | Statistical Parameters | Local Communities | |
|---|---|---|---|---|
| SL | PL | |||
| LNP | Sustainability | Correlation Coefficient | 1 | 0.842 |
| Sig. | - | 0.023 | ||
| N | 352 | 352 | ||
| Participation | Correlation Coefficient | 0.842 | 1 | |
| Sig. | 0.000 | - | ||
| N | 352 | 352 | ||
| JPA | Sustainability | Correlation Coefficient | 1 | 0.628 |
| Sig. | - | 0.046 | ||
| N | 382 | 382 | ||
| Participation | Correlation Coefficient | 0.628 | 1 | |
| Sig. | 0.000 | - | ||
| N | 382 | 382 | ||
| Studied Area | Model | R | R Square | Adjusted R Square | Std. Error of the Estimate | Sum of Squares | F | Df. | Sig. Level |
|---|---|---|---|---|---|---|---|---|---|
| LNP | 1 | 0.724 | 0.711 | 0.684 | 0.0547 | 0.711 | 15.23 | 14 | 0.008 |
| JPA | 1 | 0.673 | 0.646 | 0.608 | 0.0436 | 0.646 | 12.36 | 14 | 0.049 |
| Studied Area | Model | Non-Standardized Coefficient | Standardized Coefficient | t | Sig. Level | |
|---|---|---|---|---|---|---|
| B | Standard Error | |||||
| LNP | Environmental–physical | 0.614 | 0.478 | 4.52 | 0.003 | 0.042 |
| Socio-demographical | −0.218 | −0.348 | −5.32 | 0.51 | 0.075 | |
| Economic–institutional | 0.380 | 0.518 | 4 | 0.04 | 0.053 | |
| JPA | Environmental–physical | 0.416 | 0.315 | 3.26 | 0.018 | 0.022 |
| Socio-demographical | −0.346 | −0.225 | −1.46 | 0.37 | 0.047 | |
| Economic–institutional | 0.547 | 0.388 | 3.72 | 0.056 | 0.047 | |
| Studied Area | Factors | n | Mean | SD | V | Rank | Total Mean |
|---|---|---|---|---|---|---|---|
| LNP | (1) Existence of pristine habitats and high species richness (rare species such as Salmo trutta fario) | 36 | 3.52 | 1.000 | 1.000 | 5 | 3.16 |
| (2) High distance from metropolis of Tehran | 36 | 3.41 | 1.000 | 2.030 | 6 | ||
| (3) Low access of tourists and visitors to the area | 36 | 2.54 | 1.029 | 1.000 | 10 | ||
| (4) High ecological sensitiveness | 36 | 3.36 | 1.000 | 1.000 | 7 | ||
| (5) High restrictions in develop physical and economic activities | 36 | 1.87 | 1.000 | 2.000 | 12 | ||
| (6) High level of attachment and interest to pristine nature among local communities | 36 | 4.54 | 1.000 | 2.055 | 1 | ||
| (7) Low number of tourists | 36 | 2.37 | 1.030 | 1.000 | 11 | ||
| (8) Adherence to laws and regulations | 36 | 4.23 | 1.000 | 1.000 | 2 | ||
| (9) Existence of traditional knowledge | 36 | 1.75 | 1.000 | 1.000 | 13 | ||
| (10) High level of local communities’ awareness | 36 | 3.88 | 1.024 | 1.000 | 3 | ||
| (11) Protection importance of the area among local communities | 36 | 3.22 | 1.000 | 1.000 | 8 | ||
| (12) Encourage development of participation to funder protection | 36 | 3.7 | 1.000 | 2.036 | 4 | ||
| (13) High importance of traditions and cultural values among local communities | 36 | 2.63 | 1.030 | 1.000 | 9 | ||
| JPA | (1) Located in the metropolis of Tehran | 36 | 3.76 | 1.000 | 1.000 | 3 | 2.94 |
| (2) High access for tourists and visitors | 36 | 2.35 | 1.000 | 2.000 | 10 | ||
| (3) High number of tourists | 36 | 1.36 | 1.030 | 1.060 | 13 | ||
| (4) High capacity to develop physical and economic activities | 36 | 3.22 | 1.000 | 1.000 | 7 | ||
| (5) Low level of place attachment and ownership among local communities | 36 | 3.42 | 1.000 | 1.043 | 5 | ||
| (6) Low level of ecological sensitivities | 36 | 2.47 | 1.000 | 1.000 | 9 | ||
| (7) Low level of protection importance among local communities | 36 | 4.05 | 1.000 | 1.000 | 1 | ||
| (8) Destroyed nature | 36 | 1.45 | 1.000 | 1.000 | 12 | ||
| (9) Low level of awareness and education among local communities | 36 | 3.88 | 1.029 | 1.000 | 2 | ||
| (10) Lack of traditional knowledge and affected by urban development | 36 | 3.53 | 1.000 | 1.000 | 4 | ||
| (11) Lack of attention to laws and regulations | 36 | 2.25 | 1.000 | 2.030 | 11 | ||
| (12) High number of various organizations and lack of attention to development of participation | 36 | 3.34 | 1.000 | 1.000 | 6 | ||
| (13) Low importance of traditions and cultural values among local communities | 36 | 3.14 | 1.000 | 1.000 | 8 |
Publisher’s Note: MDPI stays neutral with regard to jurisdictional claims in published maps and institutional affiliations. |
© 2022 by the authors. Licensee MDPI, Basel, Switzerland. This article is an open access article distributed under the terms and conditions of the Creative Commons Attribution (CC BY) license (https://creativecommons.org/licenses/by/4.0/).
Share and Cite
Sobhani, P.; Esmaeilzadeh, H.; Sadeghi, S.M.M.; Wolf, I.D.; Deljouei, A. Relationship Analysis of Local Community Participation in Sustainable Ecotourism Development in Protected Areas, Iran. Land 2022, 11, 1871. https://doi.org/10.3390/land11101871
Sobhani P, Esmaeilzadeh H, Sadeghi SMM, Wolf ID, Deljouei A. Relationship Analysis of Local Community Participation in Sustainable Ecotourism Development in Protected Areas, Iran. Land. 2022; 11(10):1871. https://doi.org/10.3390/land11101871
Chicago/Turabian StyleSobhani, Parvaneh, Hassan Esmaeilzadeh, Seyed Mohammad Moein Sadeghi, Isabelle D. Wolf, and Azade Deljouei. 2022. "Relationship Analysis of Local Community Participation in Sustainable Ecotourism Development in Protected Areas, Iran" Land 11, no. 10: 1871. https://doi.org/10.3390/land11101871
APA StyleSobhani, P., Esmaeilzadeh, H., Sadeghi, S. M. M., Wolf, I. D., & Deljouei, A. (2022). Relationship Analysis of Local Community Participation in Sustainable Ecotourism Development in Protected Areas, Iran. Land, 11(10), 1871. https://doi.org/10.3390/land11101871

