Impact of Roads on Environmental Protected Areas: Analysis and Comparison of Metrics for Assessing Habitat Fragmentation
Abstract
1. Introduction
2. Materials and Methods
2.1. Landscape Metrics
2.2. Territory, Demography and Landscape Units
2.3. Data Collection and Calculation Parameters Used
3. Results and Discussion
3.1. Comparison of Metrics
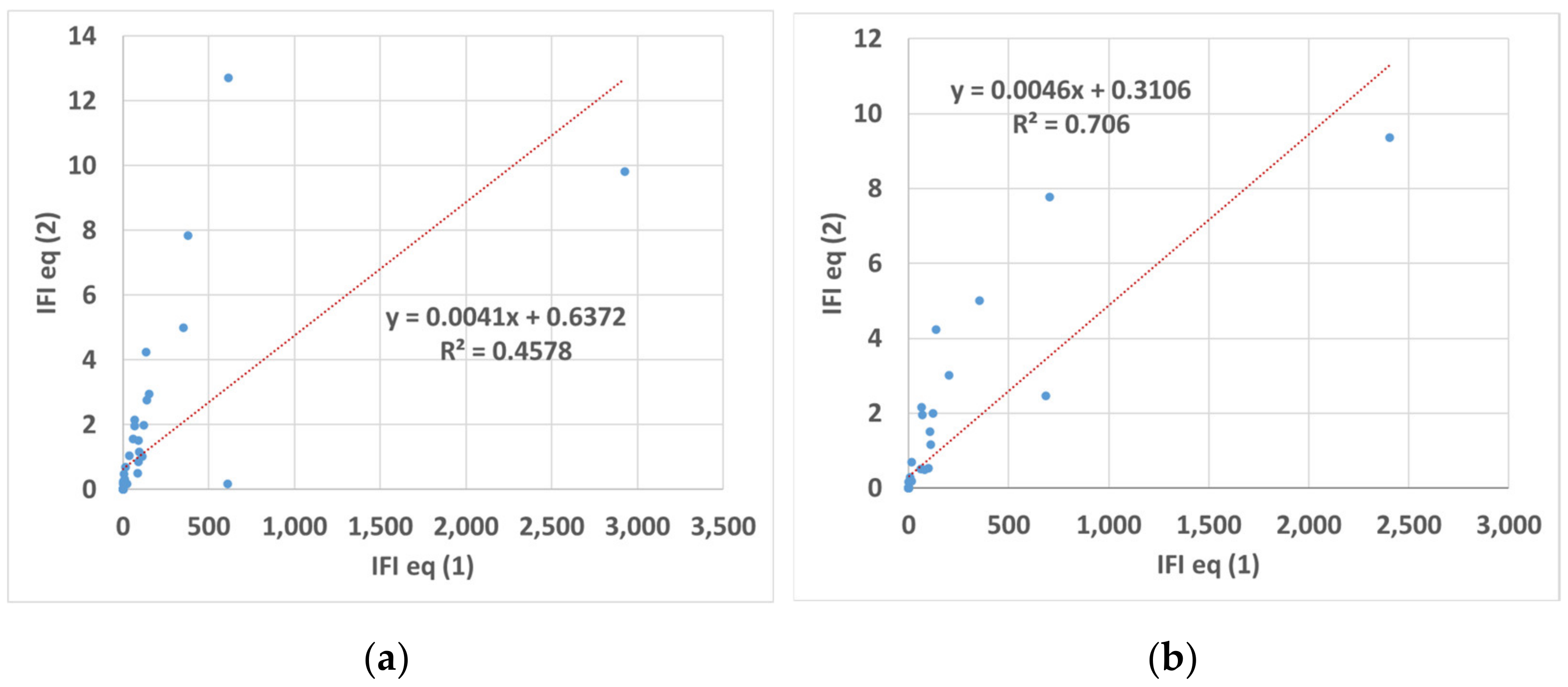
3.1.1. Comparison of Equations for a Same Indicator
3.1.2. Comparison of Different Indicators
3.2. Analysis of the State of Fragmentation Based on Indicators
4. Conclusions
Author Contributions
Funding
Data Availability Statement
Acknowledgments
Conflicts of Interest
References
- Laforge, A.; Barbaro, L.; Bas, Y.; Calatayud, F.; Ladet, S.; Sirami, C.; Archaux, F. Road Density and Forest Fragmentation Shape Bat Communities in Temperate Mosaic Landscapes. Landsc. Urban Plan. 2022, 221, 104353. [Google Scholar] [CrossRef]
- Jacobson, S.L.; Tonjes, S. Construction and Maintenance. In Roads and Ecological Infrastructurel: Concepts and Applications for Small Animals; Hopkins, J., Ed.; University Press: Baltimore, MA, USA, 2015; pp. 229–239. [Google Scholar]
- Tonjes, S.; Jacobson, S.L.; Sauvajot, R.M.; Gunson, K.E.; Moody, K.; Smith, D.J. The Current Planning and Design Process. In Roads and Ecological Infrastructurel: Concepts and Applications for Small Animals; Hopkins, J., Ed.; University Press: Baltimore, MA, USA, 2015; pp. 110–130. [Google Scholar]
- Jen, S. The Convention on the Conservation of European Wildlife and Natural Habitats (Bern, 1979): Procedures of Application in Practice. J. Int. Wildl. Law Policy 1999, 2, 224–238. [Google Scholar] [CrossRef]
- European Union. European Landscape Convention. Available online: https://rm.coe.int/CoERMPublicCommonSearchServices/DisplayDCTMContent?documentId=09000016802f80c6 (accessed on 1 December 2021).
- Lawrenceid, A.; Friedrich, F.; Beierkuhnlein, C. Landscape Fragmentation of the Natura 2000 Network and Its Surrounding Areas. PLoS ONE 2021, 16, e0258615. [Google Scholar] [CrossRef]
- Battisti, C.; Gallitelli, L.; Scalici, M.; Angelici, F.M. Habitat Fragmentation, Connectivity Conservation and Related Key-Concepts: Temporal Trends in Their Recurrences on Web of Science (1960–2020). Land 2022, 11, 230. [Google Scholar] [CrossRef]
- Zorio Blanco, V. Breve Historia de Las Carreteras. Rev. Obras Públicas 1987, 27–38. [Google Scholar]
- Fichera, C.R.; Laudari, L.; Modica, G. Application, Validation and Comparison in Different Geographical Contexts of an Integrated Model for the Design of Ecological Networks. J. Agric. Eng. 2015, 46, 52–61. [Google Scholar] [CrossRef]
- Haddad, N.M.; Brudvig, L.A.; Clobert, J.; Davies, K.F.; Gonzalez, A.; Holt, R.D.; Lovejoy, T.E.; Sexton, J.O.; Austin, M.P.; Collins, C.D.; et al. Habitat Fragmentation and Its Lasting Impact on Earth’s Ecosystems. Sci. Adv. 2015, 1, e1500052. [Google Scholar] [CrossRef]
- D’Amico, M.; Périquet, S.; Román, J.; Revilla, E. Road Avoidance Responses Determine the Impact of Heterogeneous Road Networks at a Regional Scale. J. Appl. Ecol. 2016, 53, 181–190. [Google Scholar] [CrossRef]
- Kociolek, A.; Grilo, C.; Jacobson, S. Flight Doesn’t Solve Everything: Mitigation of Road Impacts on Birds. In Handbook of Road Ecology; John Wiley & Sons, Ltd.: Chichester, UK, 2015; pp. 281–289. [Google Scholar]
- European Union. Commission Directive 97/49/EC of 29 July 1997 Amending Council Directive 79/409/EEC on the Conservation of Wild Birds. (Document 31997L0049); European Union: Maastricht, The Netherlands, 1997.
- European Union. Council Directive 92/43/EEC of 21 May 1992 on the Conservation of Natural Habitats and of Wild Fauna and Flora (Official Journal L 206, 22/07/1992 P. 0007–0050; European Union: Maastricht, The Netherlands, 1992.
- European Commission (EU). Natura 2000. Available online: https://ec.europa.eu/environment/nature/natura2000/index_en.htm. (accessed on 1 December 2021).
- European Environment Agency (EEA). Landscape Fragmentation Pressure from Urban and Transport Infrastructure Expansion; European Environment Agency: Copenhagen, Denmark, 2018. [Google Scholar]
- Saphores, J.-D. Environment, Land Use and Urban Policy. Transp. Res. Part A Policy Pract. 2003, 37, 183–186. [Google Scholar] [CrossRef]
- Nogués, S.; González-González, E. Multi-Criteria Impacts Assessment for Ranking Highway Projects in Northwest Spain. Transp. Res. Part A Policy Pract. 2014, 65, 80–91. [Google Scholar] [CrossRef]
- Zeller, K.A.; Lewsion, R.; Fletcher, R.J.; Tulbure, M.G.; Jennings, M.K. Understanding the Importance of Dynamic Landscape Connectivity. Land 2020, 9, 303. [Google Scholar] [CrossRef]
- Shi, F.; Liu, S.; An, Y.; Sun, Y.; Zhao, S.; Liu, Y.; Li, M. Spatio-Temporal Dynamics of Landscape Connectivity and Ecological Network Construction in Long Yangxia Basin at the Upper Yellow River. Land 2020, 9, 265. [Google Scholar] [CrossRef]
- Hrelja, R. Integrating Transport and Land-Use Planning? How Steering Cultures in Local Authorities Affect Implementation of Integrated Public Transport and Land-Use Planning. Transp. Res. Part A Policy Pract. 2015, 74, 1–13. [Google Scholar] [CrossRef]
- Soria-Lara, J.A.; Aguilera-Benavente, F.; Arranz-López, A. Integrating Land Use and Transport Practice through Spatial Metrics. Transp. Res. Part A Policy Pract. 2016, 91, 330–345. [Google Scholar] [CrossRef]
- Strale, M. Sustainable Urban Logistics: What Are We Talking About? Transp. Res. Part A Policy Pract. 2019, 130, 745–751. [Google Scholar] [CrossRef]
- De Montis, A.; Martín, B.; Ortega, E.; Ledda, A.; Serra, V. Landscape Fragmentation in Mediterranean Europe: A Comparative Approach. Land Use Policy 2017, 64, 83–94. [Google Scholar] [CrossRef]
- Ledda, A.; De Montis, A. Infrastructural Landscape Fragmentation versus Occlusion: A Sensitivity Analysis. Land Use Policy 2019, 83, 523–531. [Google Scholar] [CrossRef]
- De Montis, A.; Serra, V.; Ganciu, A.; Ledda, A. Assessing Landscape Fragmentation: A Composite Indicator. Sustainability 2020, 12, 9632. [Google Scholar] [CrossRef]
- Ledda, A.; Serra, V.; De Montis, A. The Effect of Rural Buildings on Landscape Fragmentation in Natura 2000 Sites: A Case Study in Sardinia. Sustainability 2019, 11, 4695. [Google Scholar] [CrossRef]
- Bruschi, D.; Astiaso Garcia, D.; Gugliermetti, F.; Cumo, F. Characterizing the Fragmentation Level of Italian’s National Parks Due to Transportation Infrastructures. Transp. Res. Part D Transp. Environ. 2015, 36, 18–28. [Google Scholar] [CrossRef]
- Jaeger, J.A.G. Landscape Division, Splitting Index, and Effective Mesh Size: New Measures of Landscape Fragmentation. Landsc. Ecol. 2000, 15, 115–130. [Google Scholar] [CrossRef]
- Jaeger, J.A.G.; Soukup, T.; Schwick, C.; Madriñán, L.F.; Kienast, F. Landscape Fragmentation in Europe; EEA: Copenhagen, Denmark, 2011; ISBN 9781315372860. [Google Scholar]
- Schmiedel, I.; Culmsee, H. The Influence of Landscape Fragmentation, Expressed by the ‘Effective Mesh Size Index’, on Regional Patterns of Vascular Plant Species Richness in Lower Saxony, Germany. Landsc. Urban Plan. 2016, 153, 209–220. [Google Scholar] [CrossRef]
- Buzzi, M.; Rueter, B.; Ghermandi, L.; Lasaponara, R. The Extent of Infrastructure Causing Fragmentation in the Hydrocarbon Basin in the Arid and Semi-Arid Zones of Patagonia (Argentina). Sustainability 2019, 11, 5956. [Google Scholar] [CrossRef]
- Cuervo, J.J.; Møller, A.P. Demographic, Ecological, and Life-History Traits Associated with Bird Population Response to Landscape Fragmentation in Europe. Landsc. Ecol. 2020, 35, 469–481. [Google Scholar] [CrossRef]
- Gounaridis, D.; Newell, J.P.; Goodspeed, R. The Impact of Urban Sprawl on Forest Landscapes in Southeast Michigan, 1985–2015. Landsc. Ecol. 2020, 35, 1975–1993. [Google Scholar] [CrossRef]
- Li, X.; Lin, Y. Do High-Voltage Power Transmission Lines Affect Forest Landscape and Vegetation Growth: Evidence from a Case for Southeastern of China. Forests 2019, 10, 162. [Google Scholar] [CrossRef]
- Scholtz, R.; Polo, J.A.; Tanner, E.P.; Fuhlendorf, S.D. Grassland Fragmentation and Its Influence on Woody Plant Cover in the Southern Great Plains, USA. Landsc. Ecol. 2018, 33, 1785–1797. [Google Scholar] [CrossRef]
- Zomeni, M.; Vogiatzakis, I.N. Roads and Roadless Areas in Cyprus: Implications for the Natura 2000 Network. J. Landsc. Ecol. Repub. 2014, 7, 75–90. [Google Scholar] [CrossRef][Green Version]
- Canedoli, C.; Crocco, F.; Comolli, R.; Padoa-Schioppa, E. Landscape Fragmentation and Urban Sprawl in the Urban Region of Milan. Landsc. Res. 2018, 43, 632–651. [Google Scholar] [CrossRef]
- Freitas, S.R.; Alexandrino, M.M.; Pardini, R.; Metzger, J.P. A Model of Road Effect Using Line Integrals and a Test of the Performance of Two New Road Indices Using the Distribution of Small Mammals in an Atlantic Forest Landscape. Ecol. Model. 2012, 247, 64–70. [Google Scholar] [CrossRef]
- Hernández-Valencia, J.C.; Rincón, D.S.; Marín, A.; Naranjo-Díaz, N.; Correa, M.M. Effect of Land Cover and Landscape Fragmentation on Anopheline Mosquito Abundance and Diversity in an Important Colombian Malaria Endemic Region. PLoS ONE 2020, 15, 1–17. [Google Scholar] [CrossRef] [PubMed]
- Battisti, C.; Romano, B. Frammentazione e Connettività: Dall’analisi Ecologica Alla Pianificazione Ambientale; Città Studi Edizioni: Turin, Italy, 2007; ISBN 8825173148. [Google Scholar]
- Battisti, C. Frammentazione Ambientale, Connettività, Reti Ecologiche; Provincia di Roma: Rome, Italy, 2004; p. 278. [Google Scholar]
- Chen, H.L.; Koprowski, J.L. Barrier Effects of Roads on an Endangered Forest Obligate: Influences of Traffic, Road Edges, and Gaps. Biol. Conserv. 2016, 199, 33–40. [Google Scholar] [CrossRef]
- Wilcove, D.S.; McLellan, C.H.; Dobson, A.P. Habitat Fragmentation in the Temperate Zone. In Conservation Biology: The Science of Scarcity and Diversity; Sinauer Associates Inc.: Sunderland, UK, 1986. [Google Scholar]
- Di Ludovico, D.; Romano, B. The Evaluation of Environmental Fragmentation Using GIS Techniques. PLANECO Newsl. 2000, 5, 7–8. [Google Scholar]
- La Rovere, M.; Battisti, C.; Romano, B. Integrazione Dei Parametri Eco-Biogeografici Negli Strumenti Di Pianificazione Territoriale. In Proceedings of the Atti XXVII Conferenza Italiana di Scienze Regionali, Pisa, Italy, 12–14 October 2006; pp. 12–14. [Google Scholar]
- Romano, B.; Tamburini, G. Gli Indicatori Di Frammentazione e Di Interferenza Ambientale Nella Pianificazione Urbanistica. In Proceedings of the XXII Conf. Italiana di Scienze Regionali, Venezia, Italy, 10–12 October 2001; pp. 10–12. [Google Scholar]
- Biondi, M.; Corridore, G.; Romano, B.; Tambuini, G.; Tetè, P. Evaluation and Planning of the Ecosystem Fragmentation Due to Urban Development. In Proceedings of the 43rd Congress of the European Regional Science Association: “Peripheries, Centres, and Spatial Development in the New Europe”, Jyväskylä, Finland, 27–30 August 2003. [Google Scholar]
- Eurostast. Population Statistics at Regional Level. Available online: https://ec.europa.eu/eurostat/statistics-explained/index.php?title=Population_statistics_at_regional_level/es&oldid=152572 (accessed on 1 December 2021).
- Instituo Nacional de Estadística. Cifras Oficiales de Población de Los Municipios Españoles: Revisión Del Padrón Municipal (Fecha 01/01/2020); Instituo Nacional de Estadística: Madrid, Spain, 2020. [Google Scholar]
- CLC Mapa de Ocupación Del Suelo En España Correspondiente Al Proyecto Europeo CORINE Land Cover (CLC) Con Una Nomenclatura de 44 Clases, Versión Del Año de Referencia 2018. Copernicus Land Monitoring Service. Available online: https://www.ign.es/resources/licencia/Condiciones_licenciaUso_IGN.pdf (accessed on 1 December 2021).
- European Union. Directive 2009/147/EC of the European Parliament and of the Council of 30 November 2009 on the Conservation of Wild Birds. Available online: http://data.europa.eu/eli/dir/2009/147/oj (accessed on 1 December 2021).
- UNESCO. Convention on Wetlands of International Importance Especially as Waterfowl Habitat. Available online: https://www.ramsar.org/sites/default/files/documents/library/current_convention_text_e.pdf (accessed on 1 December 2021).
- Ministerio de Medio Ambiente. Ley 42/2007, de 13 de Diciembre, Del Patrimonio Natural y de La Biodiversidad. Available online: https://www.boe.es/eli/es/l/2007/12/13/42/con (accessed on 1 December 2021).
- MITECO Government of Spain; Ministry for Ecological Transition and the Demographic Challenge. Natura 2000 Network (RN2000). Available online: https://www.miteco.gob.es/es/cartografia-y-sig/ide/descargas/biodiversidad/rn2000.aspx (accessed on 1 December 2021).
- QGIS. GIS Application That Is Built on Top of and Proud to Be Itself Free and Open Source Software (FOSS). 2021. Available online: https://qgis.org/en/site/about/index.html (accessed on 1 December 2021).











| Land Use | CLC 2018 |
|---|---|
| Artificial surfaces | 0.99% |
| Agricultural areas | 61.92% |
| Forest and seminatural areas | 35.37% |
| Wetlands | 0.00% |
| Water bodies | 1.72 % |
| Element | Vector Data Type | Origin | Origin Scale Factor (m) | Error Associated with Scale (m) |
|---|---|---|---|---|
| Urban Area | Polygon | BCN200 IGN | 200,000 | 40 |
| Road Infrastructure | Line | Junta de Extremadura | 200,000 | 40 |
| Environmental Figures | Polygon | Junta de Extremadura | Not defined | - |
| Municipality Population (Inhabitants) | |
|---|---|
| <5000 | 0.3 |
| 5000–7500 | 0.4 |
| 7500–10,000 | 0.7 |
| 10,000–25,000 | 0.8 |
| >25,000 | 1 |
| IFI/UFI | IFI/DIVI | DIVI/UFI | ||||
|---|---|---|---|---|---|---|
| SPAs | n.s. | <0.05 | n.s. | n.s. | n.s. | n.s. |
| SACs | n.s. | <0.05 | n.s. | n.s. | n.s. | n.s. |
| R2 | m | n | |
|---|---|---|---|
| SPAs | 0.15 | −0.0001 | 0.36 |
| SACs | 0.21 | −0.0002 | 0.43 |
| LU Not Fragmented | % Relative to Total LU | Area Covered LU Not Fragmented (km2) | % Relative to Total Area | |
|---|---|---|---|---|
| SPAs | ||||
| , DIVI | 45 | 63.38% | 845 | 7.67% |
| UFI | 58 | 81.69% | 3995 | 36.26% |
| SACs | ||||
| , DIVI | 71 | 79.78% | 1027 | 11.00% |
| UFI | 78 | 87.64% | 3084 | 33.05% |
Publisher’s Note: MDPI stays neutral with regard to jurisdictional claims in published maps and institutional affiliations. |
© 2022 by the authors. Licensee MDPI, Basel, Switzerland. This article is an open access article distributed under the terms and conditions of the Creative Commons Attribution (CC BY) license (https://creativecommons.org/licenses/by/4.0/).
Share and Cite
Sánchez-Fernández, M.; Barrigón Morillas, J.M.; Montes González, D.; de Sanjosé Blasco, J.J. Impact of Roads on Environmental Protected Areas: Analysis and Comparison of Metrics for Assessing Habitat Fragmentation. Land 2022, 11, 1843. https://doi.org/10.3390/land11101843
Sánchez-Fernández M, Barrigón Morillas JM, Montes González D, de Sanjosé Blasco JJ. Impact of Roads on Environmental Protected Areas: Analysis and Comparison of Metrics for Assessing Habitat Fragmentation. Land. 2022; 11(10):1843. https://doi.org/10.3390/land11101843
Chicago/Turabian StyleSánchez-Fernández, Manuel, Juan Miguel Barrigón Morillas, David Montes González, and José Juan de Sanjosé Blasco. 2022. "Impact of Roads on Environmental Protected Areas: Analysis and Comparison of Metrics for Assessing Habitat Fragmentation" Land 11, no. 10: 1843. https://doi.org/10.3390/land11101843
APA StyleSánchez-Fernández, M., Barrigón Morillas, J. M., Montes González, D., & de Sanjosé Blasco, J. J. (2022). Impact of Roads on Environmental Protected Areas: Analysis and Comparison of Metrics for Assessing Habitat Fragmentation. Land, 11(10), 1843. https://doi.org/10.3390/land11101843

