Next Article in Journal
Eco-Environmental Effects of Changes in Territorial Spatial Pattern and Their Driving Forces in Qinghai, China (1980–2020)
Previous Article in Journal
Modeling Herbaceous Biomass for Grazing and Fire Risk Management
 
 
Font Type:
Arial Georgia Verdana
Font Size:
Aa Aa Aa
Line Spacing:
Column Width:
Background:
Article

Modeling Heat Transfer through Permafrost Soil Subjected to Seasonal Freeze-Thaw

by
Alain Lubini Tshumuka
*,
Abdelkader Krimi
and
Musandji Fuamba
Department of Civil, Geological and Mining Engineering, Polytechnique Montréal, Montréal, QC H3T 1J4, Canada
*
Author to whom correspondence should be addressed.
Land 2022, 11(10), 1770; https://doi.org/10.3390/land11101770
Submission received: 16 August 2022 / Revised: 1 October 2022 / Accepted: 4 October 2022 / Published: 12 October 2022

Abstract

:
The present paper proposes an iterative implicit numerical method for simulating the thaw depth of permafrost soil. For this purpose, the enthalpy-porosity model was used for the phase change process, and the finite difference scheme FTCS (Forward Time Centered Space) was used for discretization. An artificial mushy zone was maintained with the same thickness by keeping the regularization parameter proportional to the temperature gradient. In doing so, we made the scheme more stable and convergence occurred faster. The model accuracy was validated by comparing the numerical results with the analytical Stefan solution and with the results of a derived numerical model, based on an explicit scheme. The model performance was also tested against observation data collected on four different landscapes with different soil profiles and located on a basin underlain by continuous permafrost. It was found that the proposed model matched noticeably well the analytical solution for a volumetric liquid fraction (phi) equal to 0.5 regardless of the grid resolution. Furthermore, compared with the observation data, the model reproduced the annual maximum thaw depth with an absolute error lying between 0.7 and 7.7%. In addition, the designed algorithm allowed the model to converge after a maximum of eight iterations, reducing the computational time by around 75% compared to the explicit model. The results were so encouraging that the model can be included in a hydrological modeling of permafrost watersheds or cold regions in general.

1. Introduction

Modeling the hydrological response of watersheds located in permafrost zones requires considering the freezing and thawing processes of the ground. These seasonal processes only affect the soil layer above the permafrost ceiling, called the active layer. Determining the active layer’s depth becomes one of the essential steps in hydrological modeling because it makes it possible to define the available reservoir volume for water infiltration and, therefore, the volume of runoff that follows. The active layer’s depth is calculated by solving the heat transfer problem in the soil with a phase change; this problem is called the Stefan problem. The phase change introduces nonlinearity into the boundary conditions of the equation and, as such, makes it difficult to find a complete exact solution. The well-known solutions to this problem are the Neumann solution [1] and the Stefan solution [2]. Given that the Stefan solution needs little site-specific data, it has been widely used for determining the thaw/freezing depth, as compared to the Neumann or Kudryavtsev models [3]. Note that some modifications have been made in the Stefan equation to account for variable thermal properties or multi-layered systems [4,5,6,7,8]. If different versions of Stefan solution have been integrated with relative ease in hydrological modeling, sophisticated numerical models bring complexities in their implementation. This might be justified by the fact that numerical models involve more physical processes, which require a large amount of data and are, therefore, computationally expensive [9]. It is worth recalling that exact solutions exist only in a handful of cases where the geometries and boundary conditions are particularly simple. Thus, despite the challenges, numerical methods are interesting alternatives for dealing with the moving boundary and multi-layered soil system. Reference [10] classifies the numerical methods of solving the Stefan problem into two large families, namely the front tracking and the fixed-grid methods. The first is an explicit method that allows obtaining both the precise location of the front and the temperature profile of the soil. Although tracking methods lead to accurate sheets of energy conservation, in the case of multidimensional problems these methods pose a challenge from an algorithmic implementation perspective, as programming is time consuming from a computational point of view. The implicit methods are the alternative to the explicit methods, and their major advantage is that they allow the adoption of a fixed-grid solution for the coupled momentum and energy equations, without resorting to any variable transformations [11]. One of the most popular fixed-domain methods for solving the Stefan problem is the enthalpy formulation. The method sets a unique equation for the two phases; front conditions are ineluctably reached, and, between the two phases, solid and liquid, a mushy zone is created. Numerical instabilities that may arise from the sharp discontinuities are prevented by the existence of the mushy zone. As a consequence, the thickness, and the quality of the discretization of this mushy zone are critical to the model’s performance [10].
Even though the fixed-grid method has been widely applied in the design of energy storage devices and systems through the use of phase-change materials, it has not, so far, received as much attention for dealing with the thawing and freezing of permafrost.
The present paper develops an iterative-implicit numerical method for simulating the freeze–thaw cycle of homogeneous and heterogeneous soils. The enthalpy-porosity model is used for the phase change process representation [12,13]. In our calculations an artificial mushy zone is maintained with the same thickness by keeping the regularization parameter proportional to the temperature gradient. In doing so, we make the scheme more stable and accelerate the convergence. The governing equation and boundary conditions have been discretized using the finite difference scheme FTCS (Forward Time Centered Space). Alongside the finite element method, the finite difference technique has been extensively used in previous studies [14,15,16,17,18,19]. The validation of the proposed model is accomplished by comparing the numerical results with the exact solution proposed by Neumann. In addition, to assess the effectiveness of the proposed model in determining the depth of the seasonal thaw, the model is tested on a multi-layer soil in a continuous permafrost region. Then, the results are compared with data recorded in situ for an entire year. The paper is organized as follows: Section 2 describes the problem formulation, which includes the numerical approximation and validation, Section 3 presents the results and discussions, and Section 4 provides the conclusions drawn based on the results.

2. Materials and Methods

As stated in the previous section, the freezing and thawing processes that occur seasonally in the active layer (permafrost) can be modeled by the heat transfer (conduction) equation with phase change. It is assumed that the soil is initially frozen. Then, suddenly, the temperature increases above the freezing point and initiates the melting. By neglecting the other modes of heat transfer, i.e., convection and radiation, it can be assumed that heat in porous media with phase change is essentially transferred with conduction. Therefore, it can be treated by a pair of Fourier equations for the solid and liquid phases. However, the numerical schemes established from these equations, and the boundary conditions, require that the displacement of the liquid/solid front be tracked accurately, thus, making the implementation of such techniques difficult. Reformulating the problem by expressing the governing equation in terms of the enthalpy allows overcoming this difficulty.
The governing equations following References [20,21] are presented in terms of the enthalpy as:
d H i d t = ( λ i T i ) + θ
where d ( · ) d t     represents the Lagrangian derivative (material derivative), ∇ is the nabla operator, and H i ,   λ i , and T i denote the total enthalpy, thermal conductivity, and temperature for every single phase i , respectively. Furthermore, θ   denotes possible body cooling or heating source term. For simplification purposes, the source term is not included in the current analysis. The total enthalpy H is a function of the temperature and, following Reference [22], it can be expressed in one equation that regroups all phases as a sum of sensible heat ( h s ) and latent heat ( h L ) as:
H ( T ) = h s + h l = T r T < C > d T + ρ l   ϕ L f
where < · > = ( 1 ϕ ) ( · ) s + ϕ ( · ) l   , T r is a reference temperature generally taken as a melting temperature for isothermal phase change, i.e., pure material ( T r + T m ) or the average value of solidus and liquidus temperatures for non-isothermal phase change, i.e., alloys material ( T r = T s + T l 2 ). C is the volumetric heat capacity, i.e., C i = ρ i c p i , in which c p is the specific heat capacity at constant pressure and   ρ is the phase density. Furthermore, ϕ represents the volumetric local liquid fraction. Note that, for an isothermal phase change, ϕ can be considered as the discontinuous Heaviside step function, i.e., ϕ ( T ) = H ( T T m ) , in which T m is the melting temperature. When the phase change process is non-isothermal, ϕ can be considered as a function of temperature that varies smoothly within the melting temperature region, which is the mushy region located between solidus T s and liquidus T l temperatures.
The numerical simulation of phase change problems using discontinuous Heaviside step function as local liquid fraction for naive discretization can lead to prediction of a non-physical feature, such as step-like movement and spurious temperature plateau [23]. In order to deal with this non-physical feature, the smooth approach of the fraction function can be used for both isothermal and non-isothermal phase change problems [24,25]. The smoothing parameter ( ξ ) is defined to regularize the discontinuous fraction function (Heaviside step function) within a region of 2 ξ in the case of the isothermal phase change (pure material and eutectic materials). Therefore, the regularized volumetric fraction is now expressed as a function of temperature, as presented in Equation (3).
ϕ ( T ) = { 0 T < T m ξ 1 2 { 1 + s i n ( π ( T T m 2 ξ ) ) } T m ξ T T m + ξ ( m u s h y   r e g i o n ) 1 T > T m + ξ
Other functions, such as exponential [21] or hyperbolic-tangent functions [22], can also be used for the regularization of total enthalpy formulation instead of the volumetric fraction presented in Equation (3). For the non-isothermal phase change, the regularization region becomes the mushy one when the solidus and liquidus temperatures are expressed as T m = T m   ξ   and   T l = T m   + ξ , respectively, in which T m   is the average of   T s   and T l , i.e., T m = T s + T l   2 . Since water/ice are considered as pure materials that change their phases isothermally (the phase change occurs at a constant temperature ( T m ), the regularization parameter ( ξ ) is preferred to choose as the temperature variable in order to keep the artificial mushy zone (regularization zone) with a relatively same thickness. Otherwise, constant ξ can make the artificial mushy zone thickness not stable in the space and time coordinates. Therefore, it is assumed that ξ = | Δ T | · δ , in which | Δ T | is the modulus of the temperature gradient, and δ   is the half of desired regularization thickness (artificial mushy zone thickness). Note that δ is set to 2 ΔX, in which ΔX is the mesh size. If the volumetric capacity ( C ) is assumed constant in each phase, then:
d H d t = < C > d T d t + ρ l L d ϕ d t
Since ϕ depends on the temperature, using the chain rule, we get:
d ϕ d t = d ϕ d T d T d t
d ϕ d t = { 0                                         T < T m ξ       ( s o l i d )           π 4 ξ cos [ π ( T T m 2 ξ ) ]   T m ξ T m + ξ       ( m u s h y   o r   r e g u l .   z o n e ) 0                                                     T > T m + ξ   ( l i q u i d )
Thus
d H d t = { < C > + ρ l L f d ϕ d T } d T d t = C ˜ d T d t
where C ˜ is an equivalent volumetric heat capacity. The enthalpy presented in Equation (1) can be written as a single equation for all phases as:
C ˜   d T d t = · ( < λ > T ) + < S T >
Following reference [26], the bulk thermal conductivity is approximated by using the volumetric average of the solid matrix, water, and ice as:
λ = ε ( ϕ λ w + ( 1 ϕ ) λ i ) + ( 1 ε ) λ s
In fact, the fully saturated conditions are assumed, whereby ϕ + ϕ i = 1 , in which ϕ is the saturation of liquid water, and ϕ i represents the ice saturation while ε represents the porosity. When there is no ice in the system, Equation (9) can be simplified as Equation (10).
λ = ε ϕ λ w + ( 1 ε ) λ s
The apparent heat capacity can be expressed as in Equation (11):
C = ε ( ϕ ρ w c w + ( 1 ϕ ) ρ i c i ) + ( 1 ε ) ρ s c s + ε ρ i L f d ϕ d T

2.1. Numerical Approximation

An explicit discretized form of Equation (8) can be obtained using a finite-difference scheme for the second derivative in space and the first derivative in time. The former is discretized by a central finite difference scheme and the latter is discretized by a forward finite difference scheme. Thus, the Forward Time Central Space (FTCS) scheme yields:
T i , j n + 1 = Δ t C ˜ i , j Δ X 2 { λ i + 1 , j T i + 1 , j n 2 λ i , j T i , j n + λ i 1 , j T i 1 , j n } + Δ t C ˜ i , j Δ Y 2 { λ i ,   j + 1 T 1 , j + 1 n 2 λ i , j T i , j n + λ i , j 1 T i , j 1 n }
As the soil thermal properties are temperature dependent, the stability criteria were determined with the numerical simulation by considering the required convergence and stability criteria for the pure conduction case [27]. Given the explicit method’s limitations, that are related to the time step size imposed by stability conditions, in the present work, Equation (8) and the moving boundary condition were solved numerically by using finite difference method, as previously described, but in an implicit fashion. The main equation takes the form:
X i , j T i , j n = α i + 1 , j T i + 1 , j n + 1 + α i 1 , j T i 1 , j n + 1 + β i , j + 1 T i , j + 1 n + 1 + β i , j 1 T i , j 1 n + 1 γ i , j T i , j n + 1
Which can be generalized as:
a T n = A T n + 1 + b
The 2-D approach developed here is relevant because the thermal–physical properties of the soil are not homogeneous in a natural environment. The need for 2-D or 3-D models is justified when dealing with lowland discontinuous permafrost [28,29,30,31] or high mountain topography (alpine permafrost) [32,33]. In fact, sporadic permafrost environments often contain substantial portions of unfrozen ground with active groundwater flow paths. Modeling heat transfer in such environment requires more than one dimension.
Another interesting example is provided by [34], who used a 2-D model to investigate the thawing around an oil well entrenched in permafrost.
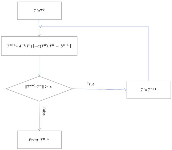
However, for seasonal freeze/thaw analysis, it should be noted that, quite often, models are built on the assumption that heat transfer is only restrained on the vertical dimension. Further details on the formulation of Equation (14) are provided in Appendix A. Meanwhile, the system of equations defined by Equation (14) is nonlinear and implicit since the coefficients depend on the unknown temperature at the next time step. Therefore, Equation (14) is solved iteratively by applying the fixed-point iteration method at each node and, as such, the temperatures, soil properties, interface location, and velocity are calculated with residuals below a tolerance of 0.001. It is worth mentioning that this scheme is unconditionally stable.
The implementation of the solution in MATLAB is provided through the algorithm presented in Figure 1:

2.2. Validation and Application

To validate the model proposed in the present study, a classical one-dimensional freezing problem, first described by Stefan [2], was solved. This problem has also been considered in several works exemplified by References [17,23,35]. Initially, a material that can exist in liquid and solid phases occupies a semi-infinite region ( x ≥ 0). It is assumed that the material is in a liquid state at a constant temperature T ( x , 0) = T 2   > T m   , where T m is the phase change temperature.
At t = 0 the temperature of the surface x = 0 is suddenly dropped to a constant value, i.e., T ( 0 , t ) = T 1 < T m . The drop in temperature causes ice to form adjacent to the surface x = 0 and, as time goes by, the freezing front propagates within the material and separates the liquid and solid phases.
The analytical solution of this freezing problem, also known as the Stefan problem, is given by [25] and reads as:
x i n t ( t ) = 2 β α s t
e β 2 e r f ( β ) λ l λ s α s α l [ T ( x , 0 ) T m ] e α s β 2 α l [ T m T ( 0 , t ) ] e r f c ( β   α s α l       ) = β L f π C s [ T m T ( 0 , t ) ]
T ( x , t ) = { T m T ( 0 , t ) e r f λ e r f ( x 2 ( α s t ) 1 / 2 ) + T ( 0 , t )                       x < X ( t ) T m                                                                                                                                 x = X ( t ) T ( x , 0 ) [ T ( x , 0 ) T m ] e r f c ( β   α s α l       ) e r f c ( x 2 ( α l t ) 1 / 2 )   x > X ( t )
Note that this example is applied to a specific continuous permafrost region in Russia. The numerical results are presented in the next section.

3. Results

3.1. Comparison between the Analytical and Numerical Solutions

To validate the proposed method, a comparison was made with the analytical solution as presented in Reference [2]. The numerical results were compared to the results calculated by an explicit finite difference scheme, as described in Equation (12). Table 1 shows the values of the main parameters used for the comparison between the present method and the analytical solution. The steady upper boundary condition was used. To make the comparison with the exact solution we used constant temperatures for both upper (5 °C) and lower boundary conditions (−5 °C). Symmetric adiabatic conditions were assumed, as illustrated in Figure A1 (Appendix A).
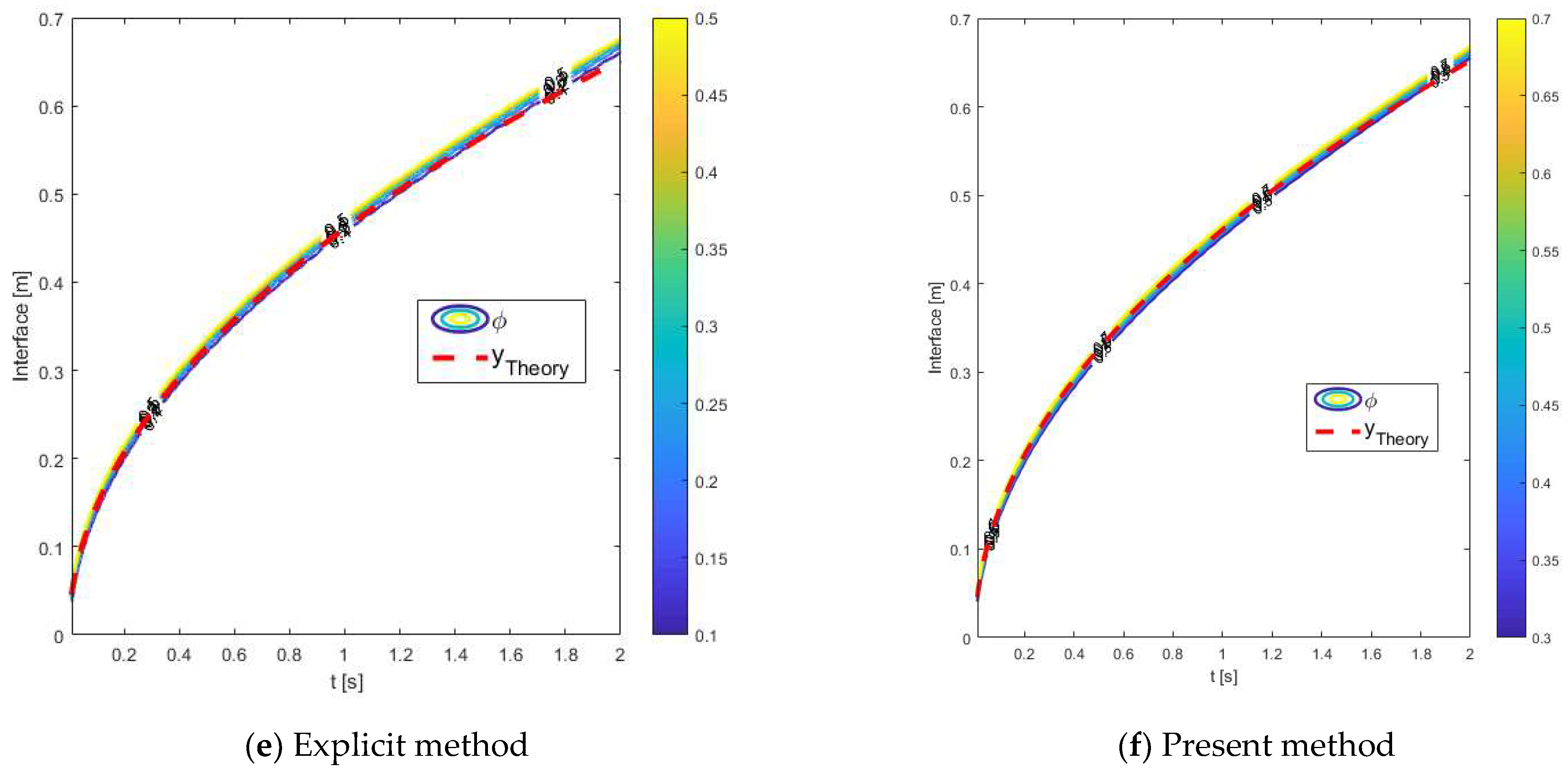
Figure 2 shows the maximum thaw depth obtained with the present method (implicit method), the explicit method, and the analytical solution. These results are presented for three different resolutions (20 × 20; 40 × 40 and 80 × 80) and for different values of liquid volumetric fraction contained within the mushy zone. It should be noted that, in the calculations, a freezing function, which considers that freezing does not take place at a precise temperature (melting temperature), was used. In contrast, the freezing occurs in a range of temperatures very close to melting temperature (0 °C).
When the liquid volumetric fraction (ϕ) was equal to 0.5, the present method matched the analytical solution regardless of the resolution used. On the other hand, the comparison with the explicit method showed that the curve of the analytical solution was close to the curve ϕ = 0.2. However, if 80 × 80 resolution was considered, the curve was rather between ϕ = 0.1 and 0.2. Furthermore, the advancement of the thaw front remained the same using different mesh resolutions, which was not the case for the explicit method. To highlight the comparison between the results, a zoom in was made and is presented in the Appendix B (Figure A2) for each graph shown in Figure 2.
Table 2 compares the present method and the explicit method in terms of the time that elapsed before the simulation converged. As shown, the computation time of the explicit method was around four times longer than the implicit method. Note that the calculation time of the explicit method varied between 2.9 and 5.3, depending on the mesh resolution, with the 20 × 20 resolution showing the greatest calculation time. The calculation converged faster as the time steps became small (on average 0.000004 h). The time step used for the calculations are presented in Table 2 for each mesh resolution. These time steps were by far smaller for the explicit method than for the implicit method. The main reason was the stability condition, which was more restricted for the explicit method.
It is worth mentioning that a Dell processor with an 11th Gen Intel(R) Core (TM) i7-11700 of 2.50 GHz was used for the calculation. For each grid resolution, the number of iterations required by the present method at each time step to reach the converged solutions is illustrated in Figure 3. It can be seen that, at most, eight iterations at each time step were required to reach the convergence. Thus, the results provided in Table 2 and Figure 3 proved that the present method was more efficient in the calculations.
The difference between the present and explicit methods used to discretize the heat transfer equation and the boundary conditions was also evident when comparing the heat distribution profile. Figure 4 shows that, for the present method, the temperature was even higher at the top of the profile than for the explicit method.
All the elements analyzed above show that the present method gave more accurate results than the explicit method. It also converged faster and was more stable. In addition, the results were not impacted by the mesh resolution. Since the results best matched the analytical solutions of the classical one-dimensional freezing problem, the present method was applied to a real problem in order to further assess the method’s robustness.

3.2. Field Validation

The validity of the proposed method to simulate the active layer freeze and depth was tested using data collected from the Kolyma Water Balance Station (KWBS) in the upper Kolyma River basin in Russia. One of the major challenges facing researchers is the availability of data. In this work, we chose to do our analyses on the KWBS because the data have been available for several decades. The site is a watershed, located in an area of continuous permafrost and has been described in References [36,37,38].
The corresponding permafrost data, such as freeze-thaw depth measurements, soil temperature at different depths, and standard hydrometeorological data were collected from 1948 to 1997. The climate is continental, characterized by long winters, warm summers, and precipitations falling mostly as snow. The mean temperature at the Nizhnaya meteorological plot is −11.4 °C, with an average of 130 days recording above freezing temperature. The mean annual precipitation is 314 mm [39]. The site is mountainous and located in the transitional zone between the forest–tundra and coniferous taiga on a very diversified soil, which mainly varies from rock debris to clayey podzol, with partially decayed organic material underlain by frozen soil and bedrock [40]. A summary of the site’s physical characteristics is given in Table 3.
The regional characteristics of the four sites, wherefrom thaw data were collected and used for numerical validation are provided in Table 1. Further description of the landscape can be found in References [37,38].
The physical–thermal properties are essential in the calculation of the maximum depth of freezing and thawing of the active layer. The values used in the present study were obtained from different publications that have dealt with the aspects of hydrological modeling of permafrost or the dynamics of transfer of heat in the KWBS [27,28]. It should be noted that in the aforementioned publications the parameters were adjusted in order to minimize the error between the observed and calculated data. In fact, the physio--thermal properties of the soil vary within a range of well-defined values and depend on several factors. Table 4 provides the values used in the thaw/freeze simulations for each soil’s layers.
The soil profile over 60 cm is presented with a subdivision into homogeneous layers of 10 cm, whose main constituents are provided in Table 5. Site #11 has a homogeneous profile over its entire height, while Site #2 has two different constituents, and both Sites # 15 and 19 have three constituents. Two types of boundary conditions were applied. The first, the Dirichlet boundary condition on the ground was applied, since the ground surface temperatures were observed for the entire simulation period (Figure 5). We restricted ourselves to snow-free conditions, therefore ground soil temperature was used as the driving force for the heat transfer process, instead of air temperature, that would have required incorporating the snowpack and applying the n-factor approach. We assumed as well that the heat transfer occurred only through conduction and transfer by convection was neglected. The second boundary condition applied was on the lateral sides and the bottom; the adiabatic symmetric condition was assumed (∂T/∂ n = 0), as shown in Figure A1 in Appendix A. The ground temperature data used to simulate the advancement of the freeze/thaw front in the ground was obtained from the Nizhnyaya meteorological station located within the KWBS at the coordinates of 61.850000 N and 147.670000 E.
The maximum air temperature recorded for the year of 1962 was 17.5 °C, while the minimum was 46.1 ° C .

4. Discussion

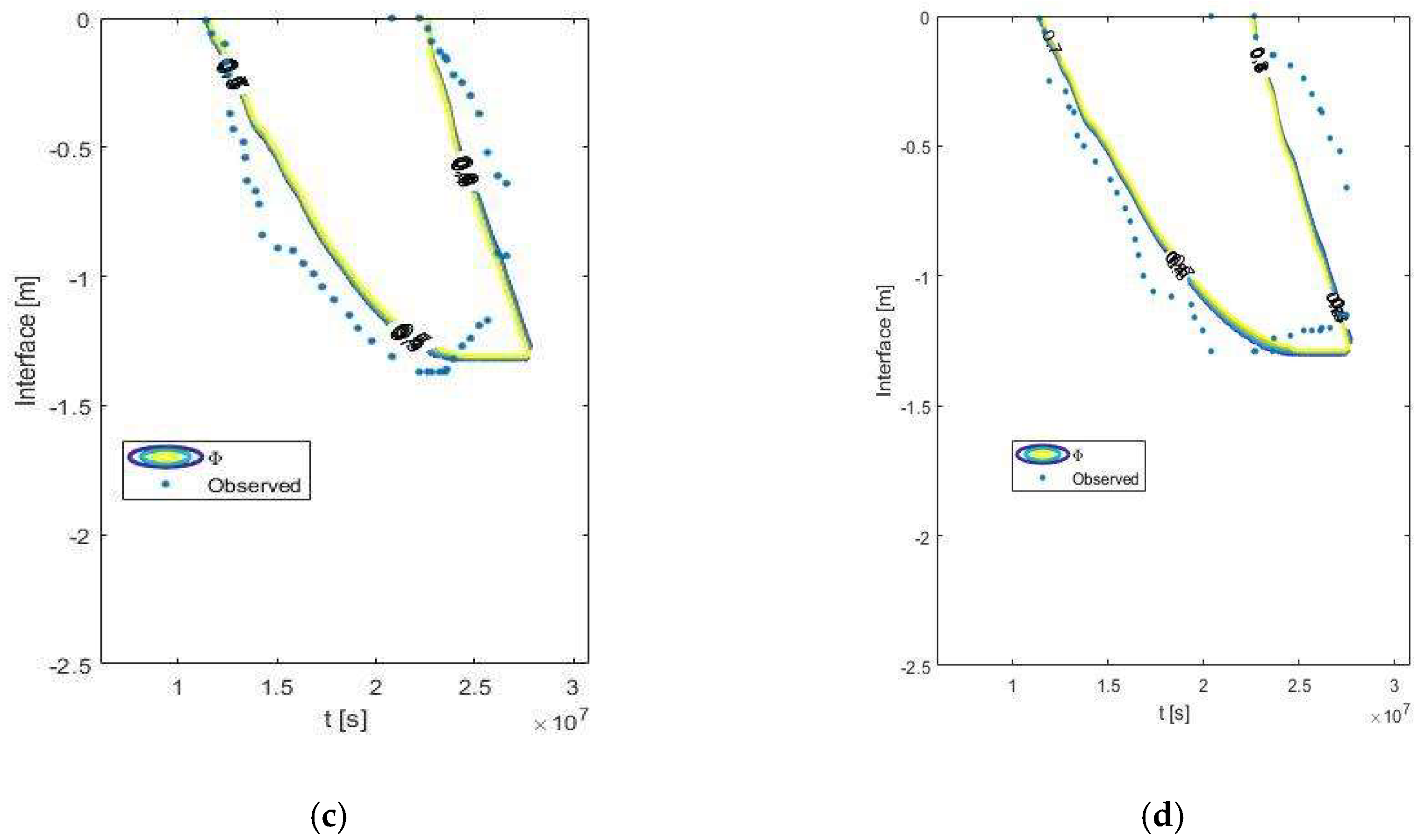
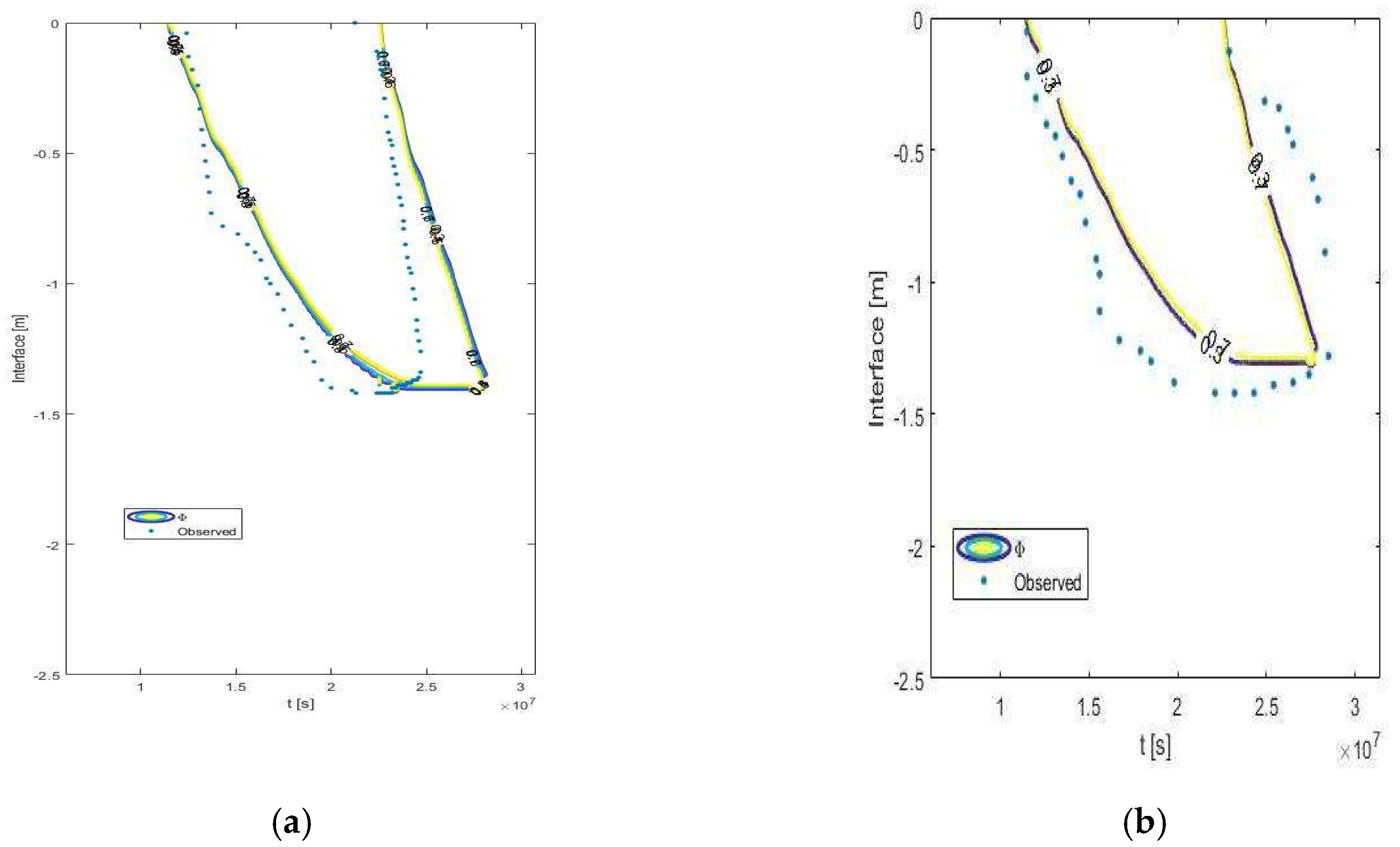
Figure 6 shows the results of the various simulations carried out for each of the analyzed landscapes. The curves comparing the results of the proposed method are provided for the values of ϕ = 0.3 and 0.7. These results facilitate analyzing the impact of the composition of the mushy zone on the heat transfer. Thus, the depth of thaw can be determined accurately. It can be noticed that the highest thawing depth of ALT was obtained with the lowest value of ϕ = 0.3.
In general, the beginning of the thaw period was the same for all sites analyzed and simulated using the proposed method. However, filed data of the thaw did not systematically start on the same date, due to obvious reasons of geographical location and edaphic conditions.
The numerical results of thaw depths were similar to those of the observations with an error in absolute value varying between 0.7 and 7.7%, as listed in Table 6. The largest relative error was the one obtained for the mountainous site dominated by the tundra, while the smallest error, in absolute value, was the one calculated for the site located on the rocky talus (Site #11) and the site dominated by a larch forest (Site #17). The relative errors obtained for each of the sites compared well with the values published by [36] The latter simulated the thaw depth over several years (from 1954 to 1968) and for several sites in the KWBS. They obtained an error of +10% for site #2 (from 1954 to 1966) and respective errors of −2.7% and +0.7% for sites #11 (from 1956 to 1966) and #15 (from 1960 to 1968).
In fact, in the model presented by Lebedeva, Reference [36], snow cover was treated as the upper layer in the calculation scheme with air temperature being used as the driving force of the simulations. The model accounted for the moisture or ice content and snow cover when snow heat transfer and conductivity were estimated. Their approach requires the use of several input data, which were not always available. In order to compensate for the required input data, conceptual parameters were introduced in the algorithm, some of them calibrated and others predefined. Applying this model in another basin which lacked data was obviously challenging as far as parameter calibration was concerned. In contrast, the model presented here did not account for the snow cover and its related thermal physical properties, and used the ground surface temperature as the driving force for simulations. For simplification purposes, the model assumed constant water content which allowed maintaining a constant and uniform heat conductivity in the soil. The model dealt with the volumetric composition of the mushy zone during the phase change which played, in the end, an important role when it came to the intensity of the thaw and freeze processes. Overall, the main input of our model corresponded to the thermal–physical properties of the soil’s profile used in Reference [36]. No calibration was necessary which makes the model attractive for basins or sites without extensive data. The relative errors obtained for each of the sites compared well with the values published by [26] The latter simulated the thaw depth over several years (from 1954 to 1968) and for several sites. They obtained an error of +10% for site #2 and respective errors of −2.7% and +0.7% for sites #11 and #15.
In terms of the intensity of the thaw/freeze advancement, the obtained results were satisfactory insofar as they demonstrated the impact of soil layer composition on the conduction heat transfer. Indeed, comparing Sites #11 and #17 with different numbers and nature of soil constituents showed that the thaw took place deeper and faster on Site #11, which was homogeneously made up of rocks with higher thermal conductivity. For the same amount of energy, the simulated thaw depth of Site #17 was 8% lower than that of Site #11. It should be noted that the results presented in References [36,38] showed the same pattern.
The results of the period when the maximum thaw depth occurred during the season, calculated by the proposed model under the above-described scenarios (see Table 5), and the field data were compared. Both numerical results and field data showed that the maximum thaw depth was reached relatively around the same date and independently of the site. It implied that the present method adapted well to the impact of seasonal temperature variation on the dynamics of heat transfer with phase change in the active layer.
Moreover, the curves resulting from the proposed method show that once the maximum depth was reached, a plateau was established for some days before freezing started from the permafrost ceiling. This trend contrasted somewhat with what was displayed by the measured data. The start of the frost period from the ground surface coincided for both simulated and observed data. However, the length of time that elapsed between the moment when the frost was initiated and the moment when the complete profile was frozen was different. Frost began to settle on the profile as soon as the temperature remained below the freezing point for at least three consecutive days, which was translated in an accumulation of the cold index. For example, the observed complete freezing of the profile was reached after 28 days for Site #11, 62 days for Site #2, and 51 and 60 days for Site #15 and Site #17, respectively. On the other hand, the duration of this period for the simulated data was approximately 60 days for all sites. Except for Site #11, the calculated freezing duration seemed, overall, to approach the observed values.
The discrepancies observed between the field data and numerical results could be explained by the fact that the numerical solution presented here considered a certain number of assumptions. For example, the soil’s physical–thermal properties were assumed to remain constant, whilst on the field, these properties varied in space and time and depended on the meteorological conditions, the soil nature, and the hydrogeological conditions as well.
The analysis of these results based only on the thaw depth allowed indications that the proposed method performed well on all sites with a relatively low-level error. This performance led to the possibility of incorporating the proposed method into hydrological modeling of cold regions, like the algorithm proposed in Reference [8], in which the error, compared with the measured data, was below 10%.
It is worth mentioning, as indicated earlier, that the model presented did not include the snow cover which could be very important and could reach up to 100 cm in the KWBS. This was a desired simplification but revealed a weakness of the model because it could not be used in the winter period, in an environment of discontinuous permafrost, where hydrological activity might still be present. In this regard, this model opens up a development perspective that would lead to the integration of phenomena related to the presence of snow cover and infiltration.
As developed, the proposed method is well suited for calculating seasonal thaw–freeze penetration in permafrost and can be incorporated into physically-based hydrological models for surface flow analysis and further for studies related to the hydrological response of a watershed to different global warming scenarios. The presented approach stands as an alternative to the empirical formula, or the Stefan equation applied to determining the frost penetration below highways and airfield runways.

5. Conclusions

Heat transfer in permafrost multi-layer soil was modeled, especially in the active layer, using an implicit finite difference scheme. The validation of the proposed algorithm was accomplished through comparison with both Stefan’s solution and an explicit method. It was found that the proposed method matched the exact solution for the ratio of the water–ice in the mushy zone (ϕ), equaling 0.5 regardless of the grid resolution. However, the results of the explicit method matched the exact solution for different ϕ values and different resolutions. It was shown that the proposed method was faster than the explicit method, and it required a maximum of eight (8) iterations at each time step before it converged.
The performance of the proposed method was also tested on the Kolyma Water Balance Station (KWBS) in the upper Kolyma River basin, located in a continuous permafrost region in Russia. Freeze thaw depths were measured using Cryopedometer placed in the ground at four different sites. The comparison of the numerical results and measured data of the maximum thaw depth showed that the proposed method reflected the physical–thermal characteristics of all layers that constituted the analyzed profiles. The numerical results resembled observation data with a relative error in absolute value, varying between 0.7 and 7.7%. The largest error was for the site located on a mountainous terrain dominated by tundra, while the lowest error was for the site characterized by a rocky talus. In addition, the proposed method simulated a complete soil profile freezing period that lasted about 60 days for all sites.
Although the present model does not include parameters related to the snow cover, and, therefore, cannot be applied for modeling during the winter period, the results obtained were satisfactory in terms of the ability of the proposed method to reproduce the exact solution, and also in terms of the speed of calculation and the precision of the simulated thaw depths.
Given that the objective of this work was to develop a model that could be integrated into a surface flow model, these results are promising. Therefore, the present method is proposed to simulate the seasonal thaw in cold regions in general, and, further, to help analyze the impact of global warming.

Author Contributions

Conceptualization, A.L.T.; methodology, A.L.T. and A.K.; software, A.K. and A.L.T.; validation, A.L.T. and A.K.; formal analysis, A.L.T.; investigation, A.L.T.; resources, A.L.T.; data curation, A.L.T.; writing—original draft preparation, A.L.T.; writing—review and editing, A.L.T., A.K. and M.F.; visualization, A.L.T., A.K. and M.F.; supervision, M.F.; project administration, M.F.; funding acquisition, M.F. All authors have read and agreed to the published version of the manuscript.

Funding

This research received no external funding.

Data Availability Statement

The data supporting reported results can be found at https://essd.copernicus.org/articles/10/689/2018/ (accessed on 30 June 2022).

Acknowledgments

We would like to thank Arman Rokhzadi for reviewing this manuscript. We are also thankful to the anonymous reviewers who took their time reading this manuscript and formulating comments that helped improve the paper.

Conflicts of Interest

The authors declare no conflict of interest.

Appendix A. Implicit Form of the Main Equation

Illustration of the (4 × 5) grid used for implementing the finite difference technique. The grid was generalized in the resolution of Equation (12) (see main text).
Figure A1. The grid used for the finite difference.
Figure A1. The grid used for the finite difference.
Land 11 01770 g0a1
For the interior nodes
{ 1 i 3 1 j 4
C ˜ i , j (   T i , j n + 1 T i , j n ) Δ t = λ i + 1 , j T i + 1 , j n + 1 2 λ i , j T i , j n + 1 + λ i 1 , j T i 1 , j n + 1 Δ X 2 + λ i ,   j + 1 T i , j + 1 n + 1 2 λ i , j T i , j n + 1 + λ i , j 1 T i , j 1 n + 1 Δ Y 2
Equation (A2) can be written more compactly in the form:
X i , j T i , j n = α i + 1 , j T i + 1 , j n + 1 + α i 1 , j T i 1 , j n + 1 + β i , j + 1 T i , j + 1 n + 1 + β i , j 1 T i , j 1 n + 1 γ i , j T i , j n + 1
where,
C ˜ i , j Δ t = x i , j ;   λ ˜ i , j Δ x ² = α i , j ;   λ ˜ i , j Δ y ² = β i , j ;   γ i , j = 2 λ i , j ( 1 Δ x 2 + 1 Δ y 2 ) + C ˜ i , j Δ t
For i = 1 , j = 1 , Equation (A3) becomes:
X 11 T 11 n = α 21 T 21 n + 1 + α 01 T 01 n + 1 + β 12 T 12 n + 1 + β 10 T 10 n + 1 γ 11 T 11 n + 1
Applying the boundaries conditions (Figure 2), we obtain:
X 11 T 11 n = 2 α 21 T 21 n + 1 + β 12 T 12 n + 1 + β 10 T 10 n + 1 γ 11 T 11 n + 1
Equation (A5) is a set of non-linear equations that can be generalized in matrix form:
a T ^ n = A T ^ ( n + 1 ) + b
where,
T = { T 11 , T 12 , T 13 , T 14 , T 21 , T 22 , T 23 , T 24 , T 31 , T 32 , T 33 , T 34 } a = d i a g   { x 11 , x 12 , x 13 , x 14 , x 21 , x 22 , x 23 , x 24 , x 31 , x 32 , x 33 , x 34 } b = β 10 T 10 n + 1 , 0 , 0 , 0 ; β 20 T 10 n + 1 , 0 , 0 , 0 ; β 30 T 10 n + 1
A is a matrix of block matrices
A = [ A 11 A 12 A 13 A 21 A 22 A 23 A 31 A 32 A 33 ]
A 11 = [ γ 11 β 12 0 0 β 11 γ 12 β 13 0 0 β 12 γ 13 β 14 0 0 2 β 13 γ 14 ]     A 12 = [ 2 α 21 0 0 0 0 2 α 22 0 0 0 0 2 α 23 0 0 0 0 2 α 24 ]
  A 13 = [ 0 0 0 0 0 0 0 0 0 0 0 0 0 0 0 0 ]   A 21 = [ α 11 0 0 0 0 α 12 0 0 0 0 α 13 0 0 0 0 α 14 ]
A 22 = [ γ 21 β 22 0 0 β 21 γ 22 β 23 0 0 β 22 γ 23 β 24 0 0 2 β 23 γ 24 ]   A 23 = [ α 31 0 0 0 0 α 32 0 0 0 0 α 33 0 0 0 0 α 34 ]
A 31 = [ 0 0 0 0 0 0 0 0 0 0 0 0 0 0 0 0 ] A 32 = [ 2 α 21 0 0 0 0 2 α 22 0 0 0 0 2 α 23 0 0 0 0 2 α 24 ]
A 33 = [ γ 31 β 32 0 0 β 31 γ 32 β 33 0 0 β 32 γ 33 β 34 0 0 2 β 33 γ 34 ]

Appendix B. Simulation Results for Different Grid Resolutions

Figure A2. Present model Vs explicit model for different grid resolution: grid 20 × 20: (a,b); grid resolution 40 × 40: (c,d); grid resolution 80 × 80: (e,f).
Figure A2. Present model Vs explicit model for different grid resolution: grid 20 × 20: (a,b); grid resolution 40 × 40: (c,d); grid resolution 80 × 80: (e,f).
Land 11 01770 g0a2aLand 11 01770 g0a2b

References

  1. Carlsaw, H.S.; Jaeger, J.C. Conduction of Heat in Solids, 2nd ed.; Oxford Clarendon Press: Oxford, UK, 1959. [Google Scholar]
  2. Stefan, J. Uber die Theorie der Eisbildung, insbesondere uber die Eisbildung im Polarmee. Ann. Der Phys. 1891, 278, 269–286. [Google Scholar]
  3. Riseborough, D.; Shiklomanov, N.; Etzelmüller, B.; Gruber, S.; Marchenko, S. Recent advances in permafrost modelling. Permafr. Periglac. Process 2008, 19, 137–156. [Google Scholar] [CrossRef]
  4. Cho, H.S.; Sunderland, J.E. Phase change problems with temperature-dependent thermal conductivity. ASME 1974, 96, 214–217. [Google Scholar] [CrossRef]
  5. Woo, M.K.; Arain, M.A.; Mollinga, M.; Yi, S. A two-directional freeze and thaw algorithm for hydrologic and land surface modelling. Geophys. Res. Lett. 2004, 31, L12501. [Google Scholar] [CrossRef]
  6. Jumikis, A.R. Thermal Geotechnics; Rutgers University Press: New Brunswick, NJ, USA, 1977. [Google Scholar]
  7. Lunardini, V.J. Heat Transfer in Cold Climates; Litton Educational Publishing, Inc.: New York, NY, USA, 1981. [Google Scholar]
  8. Changwei, X.; Gough, W.A. A simple thaw-freeze algorithm for a multi-layered soil using the stefan equation. Permafr. Periglac. Process 2013, 24, 252–260. [Google Scholar] [CrossRef]
  9. Tubini, N.; Gruber, S.; Rigon, R. A method for solving heat transfer with phase change in ice or soil that allows for large time steps while guaranteeing energy conservation. Cryosphere 2021, 15, 2541–2568. [Google Scholar] [CrossRef]
  10. Dutil, Y.; Rousse, D.R.; Salah, N.B.; Lassue, S.; Zalewski, L. A review on phase-change materials: Mathematical modeling and simulations. Renew. Sustain. Energy Rev. 2011, 15, 112–130. [Google Scholar] [CrossRef]
  11. Voller, V.R. An implicit enthalpy solution for phase change problems: With application to a binary alloy solidification. Appl. Math. Model. 1987, 11, 110–116. [Google Scholar] [CrossRef]
  12. Brent, A.D.; Voller, V.R.; Reid, K.J. Enthalpy-porosity technique for modeling convection-diffusion phase change: Application to the melting of a pure metal. Numer. Heat Transf. 1988, 13, 297–318. [Google Scholar] [CrossRef]
  13. Voller, V.; Cross, M. Accurate solutions of moving boundary problems using the enthalpy method. Int. J. Heat Mass Transf 1981, 24, 545–556. [Google Scholar] [CrossRef]
  14. Westermann, S.; Schuler, T.V.; Gisnas, K.; Etzelmüller, B. Transient thermal modeling of permafrost conditions in Southern Norway. Cryosphere 2013, 7, 719–739. [Google Scholar] [CrossRef]
  15. Hayashi, M.; Goeller, N.; Quinton, W.L.; Wright, N. A simple heat-conduction method for simulating the frost-table depth in hydrological models. Hydrol. Process 2007, 21, 2610–2622. [Google Scholar] [CrossRef]
  16. Xie, Z.; Song, L.; Feng, X. A moving boundary problem derived from heat and water transfer processes in frozen and thawed soils and its numerical simulation. Sci. China Ser. A Math. 2008, 51, 1510–1521. [Google Scholar] [CrossRef]
  17. Bonacina, C.; Comini, G.; Fasano, A.; Primicerio, M. Numerical solution of phase-change problems. Int. J. Heat Mass Transf 1973, 16, 1825–1832. [Google Scholar] [CrossRef]
  18. Nixon, J.F.; McRoberts, E.C. A Study of Some Factors Affecting the Thawing of Frozen Soils. Can. Geotech. J. 1973, 10, 439–452. [Google Scholar] [CrossRef]
  19. Dauzhenka, T.A.; Gishkeluk, I.A. Quasilinear Heat Equation in Three Dimensions and Stefan Problem in Permafrost Soils in the Frame of Alternating Directions Finite Difference Scheme. In Proceedings of the World Congress on Engineering: WCE 2013, London, UK, 3–5 July 2013; p. 2249. [Google Scholar]
  20. Meyer, G.H. Multidimensional stefan problems. SIAM J. Numer. Anal. 1973, 10, 522–538. [Google Scholar] [CrossRef]
  21. Crank, J. Free and Moving Boundary Problems; Oxford University Press: New York, NY, USA, 1984. [Google Scholar]
  22. Fachinotti, V.D.; Cardona, A.; Huespe, A.E. A fast convergent and accurate temperature model for phase-change heat conduction. Int. J. Numer. Methods Eng. 1999, 44, 1863–1884. [Google Scholar] [CrossRef]
  23. Mackenzie, J.A.; Robertson, M.L. The Numerical Solution of One-Dimensional Phase Change Problems Using an Adaptive Moving Mesh Method. J. Comput. Phys. 2000, 161, 537–557. [Google Scholar] [CrossRef] [Green Version]
  24. Egolf, P.W.; Manz, H. Theory and modeling of phase change materials with and without mushy regions. Int. J. Heat Mass Transf 1994, 37, 2917–2924. [Google Scholar] [CrossRef]
  25. Danaila, I.; Moglan, R.; Hecht, F.; Le Masson, S. A newton method with adaptive finite elements for solving phase-change problems with natural convection. J. Comput. Phys. 2014, 274, 826–840. [Google Scholar] [CrossRef]
  26. McKenzie, J.M.; Voss, C.I.; Siegel, D.I. Groundwater flow with energy transport and water-ice phase change: Numerical simulations, benchmarks, and application to freezing in peat bogs. Adv. Water Resour. 2007, 30, 966–983. [Google Scholar] [CrossRef]
  27. Alexiades, V.; Solomon, A.D. Mathematical Modeling of Melting and Freezing Processes. Routledge: London, UK, 1993. [Google Scholar] [CrossRef]
  28. McClymont, A.F.; Hayashi, M.; Bentley, L.R.; Christensen, B.S. Geophysical imaging and thermal modeling of subsurface morphology and thaw evolution of discontinuous permafrost. J. Geophys. Res. Earth Surf. 2013, 118, 1826–1837. [Google Scholar] [CrossRef]
  29. Kurylyk, B.L.; McKenzie, J.M.; MacQuarrie, K.T.B.; Voss, C.I. Analytical solutions for benchmarking cold regions subsurface water flow and energy transport models: One-dimensional soil thaw with conduction and advection. Adv. Water Resour. 2014, 70, 172–184. [Google Scholar] [CrossRef]
  30. Sjöberg, Y.; Coon, E.K.; Sannel, A.B.; Pannetier, R.; Harp, D.; Frampton, A.; Painter, S.L.; Lyon, S.W. Thermal effects of groundwater flow through subarctic fens: A case study based on field observations and numerical modeling. Water Resour. Res. 2016, 52, 1591–1606. [Google Scholar] [CrossRef] [Green Version]
  31. Smith, S.L.; Romanovsky, V.E.; Lewkowicz, A.G.; Burn, C.R.; Allard, M.; Clow, G.D.; Yoshikawa, K.; Throop, J. Thermal state of permafrost in North America: A contribution to the international polar year. Permafr. Periglac. Processes 2010, 21, 117–135. [Google Scholar] [CrossRef] [Green Version]
  32. Noetzli, J.; Gruber, S. Transient thermal effects in Alpine permafrost. Cryosphere 2009, 3, 85–99. [Google Scholar] [CrossRef] [Green Version]
  33. Noetzle, J.; Gruber, S.; Kohl, T.; Salzmann, N.; Haeberli, W. Three-dimensional distribution and evolution of permafrost temperatures in idealized high-mountain topography. J. Geophys. Res. Earth Surf. 2007, 112, F02S13. [Google Scholar] [CrossRef] [Green Version]
  34. Couch, E.J.; Keller, H.H. Permafrost thawing around producing oil wells. J. Can. Pet. Technol. 1970, 9, 107–111. [Google Scholar] [CrossRef]
  35. Furzeland, R.M. A comparative study of numerical methods for moving boundary problems. IMA J. Appl. Math. 1980, 26, 411–429. [Google Scholar] [CrossRef]
  36. Lebedeva, L.; Semenova, O.; Vinogradova, T. Simulation of active layer dynamics, upper kolyma, russia, using the hydrograph hydrological model. Permafr. Periglac. Process 2014, 25, 270–280. [Google Scholar] [CrossRef]
  37. Semenova, O.; Vinogradov, Y.; Vinogradova, T.; Lebedeva, L. Simulation of soil profile heat dynamics and their integration into hydrologic modelling in a permafrost zone. Permafr. Periglac. Process 2014, 25, 257–269. [Google Scholar] [CrossRef]
  38. Lebedeva, L.; Semenova, O. Use of soil thaw/freeze depth data to verify hydrological modelling at poor gauged basins in permafrost regions. Die Bodenkult. 2013, 64, 53–59. [Google Scholar]
  39. Sushansky, S.I. History of creation, methods, objects and some results of studies in the Kolyma water balance station. In Factors Affecting the Formation of a General Drainage System of Minor Mountain Rivers in Sub-Arctic Areas; Glotov, V., Ukhov, N., Eds.; SVKNII DVO RAN: Magadan, Russia, 2002; pp. 18–35. (In Russian) [Google Scholar]
  40. Makarieva, O.; Nesterova, N.; Lebedeva, L.; Sushansky, S. Water-Balance and Hydrology Database for a Mountainous Permafrost Watershed in the Up-Streams of the Kolyma River, Russia—The Kolyma Water-Balance Station, 1948–1997; PANGAEA: Hong Kong, China, 2017. [Google Scholar] [CrossRef]
Figure 1. Algorithm for solving the problem at each time step.
Figure 1. Algorithm for solving the problem at each time step.
Land 11 01770 g001
Figure 2. Depth from surface to thawing interface calculated by the explicit method, the present method, and the analytical solution for different ϕ values and grid resolutions: (a,b) 20 × 20 grid resolution; (c,d) 40 × 40 grid resolution; (e,f) 80 × 80 grid resolution.
Figure 2. Depth from surface to thawing interface calculated by the explicit method, the present method, and the analytical solution for different ϕ values and grid resolutions: (a,b) 20 × 20 grid resolution; (c,d) 40 × 40 grid resolution; (e,f) 80 × 80 grid resolution.
Land 11 01770 g002aLand 11 01770 g002b
Figure 3. Number of iterations needed for the present method to reach the convergence criterion: (a) 20 × 20, (b) 40 × 40, (c) 80 × 80.
Figure 3. Number of iterations needed for the present method to reach the convergence criterion: (a) 20 × 20, (b) 40 × 40, (c) 80 × 80.
Land 11 01770 g003
Figure 4. Temperature field distribution within a soil profile at a specific time of the simulations. On the left, distribution obtained with the present method and on the right, distribution obtained with the explicit method.
Figure 4. Temperature field distribution within a soil profile at a specific time of the simulations. On the left, distribution obtained with the present method and on the right, distribution obtained with the explicit method.
Land 11 01770 g004
Figure 5. Air and ground surface temperatures recorded in 1962 at Nizhnyaya meteorological station.
Figure 5. Air and ground surface temperatures recorded in 1962 at Nizhnyaya meteorological station.
Land 11 01770 g005
Figure 6. Comparison between the observed and numerical results of the thaw depth in 1962, (a) Site 2 (Rocky talus), (b) Site 11 (mountain tundra), (c) Site# 15 Sparse growth of forest, (d) Site #17 (Larsh forest).
Figure 6. Comparison between the observed and numerical results of the thaw depth in 1962, (a) Site 2 (Rocky talus), (b) Site 11 (mountain tundra), (c) Site# 15 Sparse growth of forest, (d) Site #17 (Larsh forest).
Land 11 01770 g006aLand 11 01770 g006b
Table 1. Parameters used for comparison with the analytical solution.
Table 1. Parameters used for comparison with the analytical solution.
ParametersSymbolValuesUnits
Thermal conductivity of the thawed soilλ1.839W/m·°C
Latent heat of fusion for water L f 334,000J/kg
Porosityε0.5-
Density of water ρ w 1000kg/m³
Density of Ice ρ i 920kg/m³
Density of solidus ρ s 2600kg/m³
Thermal diffusivity of thawed zoneα 5.743 × 10 7 m²/s
Water saturation (total) S w 1-
Specific heat capacity
Ice c i 2108J/kg·°C
Water c w 4182J/kg·°C
Solidus c s 854J/kg·°C
Thermal conductivity
Ice λ i 2.14W/m·°C
Water λ w 0.58W/m·°C
Solidus λ s 0.0376–0.1890W/m·°C
Heat capacity
Ice C i 1.94 × 10 6 J/m³·°C
Water C w 4.18 × 10 6 J/m³·°C
solidus C s 2.22 × 10 6 J/m³·°C
Table 2. Computational time [s].
Table 2. Computational time [s].
Grid ResolutionPresent MethodExplicit Method
Computational Time [s]Time StepComputational Time [s]Time Step
20 × 200.71350.02983.7430 9.9212 × 10 5
40 × 408.35070.007424.5647 2.4803 × 10 5
80 × 8084.25910.0019360.6887 6.2007 × 10 6
Table 3. Regional characteristics of the sites.
Table 3. Regional characteristics of the sites.
SitesLocationElevation (m)Type of Landscape
2Latitude: 61.8574000 N
Longitude: 147.611000 E
1261Mountain tundra and brushes of dwarf cedar tree
11Latitude: 61.854900 N
Longitude: 147.614000 E
1850Rocky talus
15Latitude: 61.861600 N
Longitude: 147.634000 E
952Moss-lichen sparse growth of forest
17Latitude: 61.850600 N
Longitude: 147.652000 E
914Larch forest
Table 4. Soil layer physical properties.
Table 4. Soil layer physical properties.
Soil LayerPorosity (m³/m³)Density (kg/m³)Heat Capacity (J/kg °C)Heat Conductivity, (W/m °C)
Moss0.8050019300.5
Peat0.80172019300.8
Bedrock0.526107502.3
Clay with high content of stones0.5526108401.2
Table 5. Soil profiles at different Cryopedometer.
Table 5. Soil profiles at different Cryopedometer.
Depth (cm)Soil Profile Composition
Site #11SiteSite #15Site
0–9.99BedrockMossMossMoss
10–19.99BedrockBedrockPeatPeat
20–29.99BedrockBedrockBedrockPeat
30–39.99BedrockBedrockBedrockPeat
40–49.99BedrockBedrockBedrockClay with stone
50–60BedrockBedrockBedrockClay with stone
Table 6. Numerical errors of the simulated thaw depths.
Table 6. Numerical errors of the simulated thaw depths.
Cryopedometer (#)Observed Depth (m)Simulated Depth (m)The True Percent Relative Error (%)
21.421.31 7.7
111.421.41 0.7
151.371.33 2.9
171.291.3 + 0.7
Publisher’s Note: MDPI stays neutral with regard to jurisdictional claims in published maps and institutional affiliations.

Share and Cite

MDPI and ACS Style

Lubini Tshumuka, A.; Krimi, A.; Fuamba, M. Modeling Heat Transfer through Permafrost Soil Subjected to Seasonal Freeze-Thaw. Land 2022, 11, 1770. https://doi.org/10.3390/land11101770

AMA Style

Lubini Tshumuka A, Krimi A, Fuamba M. Modeling Heat Transfer through Permafrost Soil Subjected to Seasonal Freeze-Thaw. Land. 2022; 11(10):1770. https://doi.org/10.3390/land11101770

Chicago/Turabian Style

Lubini Tshumuka, Alain, Abdelkader Krimi, and Musandji Fuamba. 2022. "Modeling Heat Transfer through Permafrost Soil Subjected to Seasonal Freeze-Thaw" Land 11, no. 10: 1770. https://doi.org/10.3390/land11101770

APA Style

Lubini Tshumuka, A., Krimi, A., & Fuamba, M. (2022). Modeling Heat Transfer through Permafrost Soil Subjected to Seasonal Freeze-Thaw. Land, 11(10), 1770. https://doi.org/10.3390/land11101770

Note that from the first issue of 2016, this journal uses article numbers instead of page numbers. See further details here.

Article Metrics

Back to TopTop