Soil Quality and Evaluation of Spatial Variability in a Semi-Arid Ecosystem in a Region of the Southeastern Iberian Peninsula (Spain)
Abstract
:1. Introduction
2. Materials and Methods
2.1. Description of the Study Area
- The Central Iberian Zone, belonging to the Hercinian chain of the Iberian Massif (Sierra del Relumbrar): according to the division adopted in the Tectonic Map of the Iberian Peninsula and the Balearic Islands [24]. The Lower Ordovician is represented by a quartzite, with a thickness of a few hundred meters. The Middle Ordovician is made up, everywhere, of dark slates, a few hundred meters thick, with fauna from the Llanvirn and the Llandeilo. The highest parts of the Llandeilo and the Caradoc are formed by sandstones and shales. Regarding the structure, the most striking element is formed by the long, shapeless nuclei that run longitudinally in the area. They are nonconformal with an axial surface quite close to the vertical, although towards the S and SE the vergences tend towards the S.
- Mesozoic (and paleogen) covert of the Iberian Massif, little or no deformation (Campo de Montiel): the paleozoic materials of the Sierra del Relumbrar constitute the plinth on which mesozoic and tertiary materials have been deposited. The plinth, in numerous points, is hidden under these discordant materials that constitute an unfolded platform cover. It is a flat area, with a tabular relief, very extensive and with a dolomitic substrate. On both sides of the Sierra del Relumbrar are two broad valleys modeled on soft materials from the Triassic age (clays, sandstones, marls and plasters). The aforementioned Sierra del Relumbrar (with altitudes of approximately 1100 m) emerges in the center of two broad valleys (with altitudes of 800 to 850 m).
- The Prebética Zone (Sierra de Alcaraz): the Cordillera Bética constitutes the great structural unit of the South of the Iberian Peninsula. It is part of the set of alpine ridges of the Western Mediterranean. Three main bands or units are distinguished, lengthened in the WSW to ENE direction: (1) the Prebética Zone; (2) the Subbética Zone and (3) the Bética Zone.
2.2. Soil Sampling and Analysis
2.3. Statistical Analysis
2.4. Score of the Indicators
- 4.
- To CEC, GWC33 kPa, GWC1500 kPa, content of CaCO3, extractable bases (Na, K, Ca and Mg) and OC Stock parameters, due to their role in soil fertility and water availability [6,42,49], the “More is better” function was applied. In this case, each indicator value was divided by the highest value, so that the highest value received a score of 1; that is, the following linear scoring curve was used (Equation (3)):where SL is the linear score of the soil indicator, X is the measured value of the soil indicator and Xmax is the maximum value of the soil indicator.SL = X/Xmax
- 5.
- To the K factor “erosion”, EC and BD parameters, related with soil porosity and soil degradation [10,50], the “Less is better” function was used. The lowest value was divided by each indicator value so that the lowest value received a score of 1; that is, the following linear scoring curve was used (Equation (4)):where SL is the linear score of the soil indicator, X is the measured value of the soil indicator and Xmin is the minimum value of the soil indicator.SL = Xmin/X
- 6.
- To the clay and sand content, COLE and pH, the “Optimal range” function was applied. In this case, the threshold values or the optimal ranges were identified: 40 and 80%, respectively, for the clay and sand contents; 0.060 for COLE and 6.5–7.5 for pH [45,47,51]. Scores were assigned using the more is better or the less better function, depending on whether the indicator value was below or above the optimal range.
2.5. Selection of Minimun Data Set
2.6. Soil Quality Indices
3. Results and Discussions
3.1. Physical and Chemical Properties
3.2. Factorial Analysis
3.3. Soil Quality Grades and Their Spatial Distribution
3.4. Validation of Quality Indices
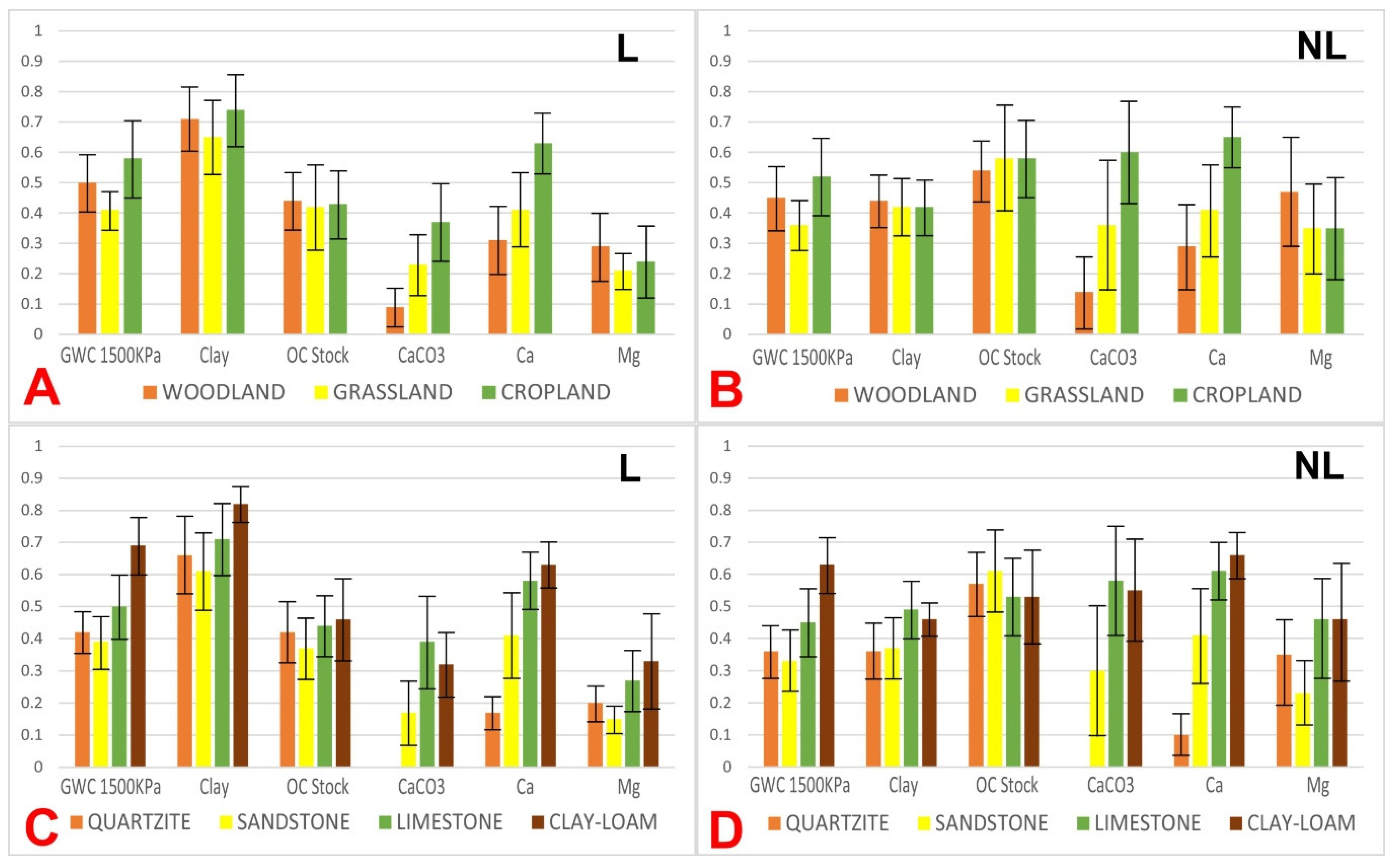
3.5. Soil Quality Assessment Based on Land Use and the Different Parent Materials
4. Conclusions
Author Contributions
Funding
Acknowledgments
Conflicts of Interest
References
- Barrow, C.J. Land Degradation; Cambridge University Press: Cambridge, UK, 1991; 295p. [Google Scholar]
- Nortcliff, S. Standardisation of soil quality attributes. Agric. Ecosyst. Environ. 2002, 88, 161–168. [Google Scholar] [CrossRef]
- Porta, C.J.; López-Acevedo, M.; Poch, R. Introducción a la Edafología: Uso y Protección de Suelos; Ediciones Mundi-Prensa: Madrid, Spain, 2011; 535p. [Google Scholar]
- Doran, J.W.; Sarrantonio, M.; Liebig, M.A. Soil Health and Sustainability. Adv. Agron. 1996, 56, 1–54. [Google Scholar]
- Karlen, D.; Parkin, T.; Eash, N. Use of soil quality indicators to evaluate conservation reserve program sites in Iowa. In Methods for Assessing Soil Quality; Doran, J.W., Jones, A.J., Eds.; SSSA Special Publication No. 49; Soil Science Society of America: Madison, WI, USA, 1996; pp. 345–355. [Google Scholar]
- Raiesi, F. A minimum data set and soil quality index to quantify the effect of land use conversion on soil quality and degradation in native rangelands of upland arid and semiarid regions. Ecol. Indic. 2017, 75, 307–320. [Google Scholar] [CrossRef]
- Askari, M.S.; Holden, N.M. Indices for quantitative evaluation of soil quality under grassland management. Geoderma 2014, 230–231, 131–142. [Google Scholar] [CrossRef]
- Obade, V.P.; Lal, R. A standardized soil quality index for diverse field conditions. Sci. Total Environ. 2016, 541, 424–434. [Google Scholar] [CrossRef]
- Sione, S.M.J.; Wilson, M.G.; Lado, M.; Gonzalez, G.P. Evaluation of soil degradation produced by rice crop systems in a Vertisols, using a soil quality index. Catena 2017, 150, 79–86. [Google Scholar] [CrossRef]
- Andrews, S.S.; Karlen, D.L.; Mitchell, J.P. A comparison of soil quality indexing methods for vegetable production systems in northern California. Agric. Ecosyst. Environ. 2002, 90, 25–45. [Google Scholar] [CrossRef]
- Armenise, E.; Redmile-Gordon, M.A.; Stellacci, A.M.; Ciccarese, A.; Rubino, P. Developing a soil quality index to compare soil fitness for agricultural use under different managements in the Mediterranean environment. Soil Tillage Res. 2013, 130, 91–98. [Google Scholar] [CrossRef]
- Criado, M.; Martínez-Graña, A.; Santos-Francés, F.; Merchán, L. Improving the Management of a Semi-Arid Agricultural Ecosystem through Digital Mapping of Soil Properties: The Case of Salamanca (Spain). Agronomy 2021, 11, 1189. [Google Scholar] [CrossRef]
- Ray, S.K.; Bhattacharyya, T.; Reddy, K.R.; Pal, D.K.; Chandran, P.; Tiwary, P. Soil and land quality indicators of the Indo-Gangetic Plains of India. Curr. Sci. 2014, 107, 1470–1486. [Google Scholar]
- Moncada, M.P.; Gabriels, D.; Cornelis, W.M. Data-driven analysis of soil quality indicators using limited data. Geoderma 2014, 235–236, 271–278. [Google Scholar] [CrossRef]
- Vasu, D.; Singh, S.K.; Ray, S.K.; Duraisami, V.P.; Tiwary, P.; Chandran, P.; Nimkar, A.M.; Anantwar, S.G. Soil quality index (SQI) as a tool to evaluate crop productivity in semi-arid Deccan plateau, India. Geoderma 2016, 282, 70–79. [Google Scholar] [CrossRef]
- Santos-Francés, F.; Martínez-Graña, A.; Ávila-Zarza, C.; Criado, M.; Sánchez, Y. Comparison of methods for evaluating soil quality of semiarid ecosystem and evaluation of the effects of physico-chemical properties and factor soil erodibility (Northern Plateau, Spain). Geoderma 2019, 354, 113872. [Google Scholar] [CrossRef]
- Wilcox, B.P.; Newman, B.D. Ecohydrology and semiarid landscapes. Ecology 2005, 86, 275–276. [Google Scholar] [CrossRef]
- Bastida, F.; Zsolnay, A.; Hernández, T.; García, C. Past, present and future of soil quality índices: A biological perspective. Geoderma 2008, 147, 159–171. [Google Scholar] [CrossRef]
- Tesfahunegn, G.B.; Tamene, L.; Vlek, P.L. Evaluation of soil quality identified by local farmers in Mai-Negus catchment, northern Ethiopia. Geoderma 2011, 163, 209–218. [Google Scholar] [CrossRef]
- Li, P.; Zhang, T.L.; Wang, X.X.; Yu, D.S. Development of biological soil quality indicator system for subtropical China. Soil Tillage Res. 2013, 126, 112–118. [Google Scholar] [CrossRef]
- Cardoso, E.J.B.N.; Vasconcellos, R.L.F.; Bini, D.; Miyauchi, M.Y.H.; dos Santos, C.A.; Alves, P.R.L.; de Paula, A.M.; Nakatani, A.S.; Pereira, J.D.; Nogueira, M.A. Soil health: Looking for suitable indicators. What should be considered to assess the effects of use and management on soil health? Sci. Agric. 2013, 70, 274–289. [Google Scholar] [CrossRef] [Green Version]
- Doi, R.; Ranamukhaarachchi, S.L. Correlations between soil microbial and physicochemical variations in a rice paddy: Implications for assessing soil health. J. Biosci. 2009, 34, 969–976. [Google Scholar] [CrossRef]
- Guo, L.; Sun, Z.H.; Ouyang, Z.H.; Han, D.; Li, F. A comparison of soil quality evaluation methods for Fluvisol along the lower Yellow River. Catena 2017, 152, 135–143. [Google Scholar] [CrossRef]
- Julivert, M.; Fontbote, J.M.; Riveiro, A.; Conde, L. Mapa Tectónico de la Península Ibérica y Baleares y Memoria Explicativa; Servicio. Publicaciones; Ministerio de Industria I.G.M.E.: Madrid, Spain, 1974. [Google Scholar]
- Lopez-Garrido, A.C. Geología de la zona Prebética al NE de la provincia de Jaén. Ph.D. Thesis, Universidad de Granada, Granada, Spain, 1971. [Google Scholar]
- Jerez, L. Geología de la Zona Prebética en la Transversal de Elche de la Sierra y Sectores Adyacentes (Provincias de Albacete y Murcia). Ph.D. Thesis, Universidad de Granada, Granada, Spain, 1973. [Google Scholar]
- Rodríguez-Estrella, T. Geología e Hidrogeología del Sector Alcaraz-Lietor-Yeste (Provincia de Albacete). Síntesis Geológica de la Zona Pebética. Ph.D. Thesis, Universidad de Granada, Granada, Spain, 1978. [Google Scholar]
- Soil Survey Staff. Keys to Soil Taxonomy; United States Department of Agriculture, Natural Resources Conservation Service: Washington, DC, USA, 2014; 372p. [Google Scholar]
- IUSS; Working Group WRB. World Reference Base for Soil Resources 2014. International Soil Classification System for Naming Soils and Creating Legends for Soil Maps; World Soil Resources Reports No. 106; FAO: Rome, Italy, 2015. [Google Scholar]
- United States Department of Agriculture (USDA). Soil Survey Laboratory Methods Manual; Report No. 42; U.S. Department of Agriculture, National Resources Conservation Services, National Soil Survey Centre, Soil Survey Investigations: Washington, DC, USA, 1996.
- Walkley, A.; Black, I.A. An examination of the Degtjareff method for the determining soil organic matter and proposed modification of the chromic titration method. Soil Sci. 1934, 37, 29–38. [Google Scholar] [CrossRef]
- Barahona, E.; Santos Francés, F. Un nuevo método para la determinación de densidades aparentes y del coeficiente de extensibilidad lineal (COLE), por medio de parafina. An. Edafol. Y Agrobiol. 1981, 5–6, 721–725. [Google Scholar]
- Richards, L.A. Pressure membrane apparatus: Construction and use. Agric. Eng. 1947, 28, 451–455. [Google Scholar]
- Richards, L. Saline and sodic soils. Diagnosis and rehabilitation. Regional Technical Assistance Center. Man. Agric. 1970, 60, 172. (In Spanish) [Google Scholar]
- Wischmeier, W.H.; Smith, D.D. Predicting Rainfall Erosion Losses. A Guide to Conservation Planning; Agriculture Handbook No. 537; United States Department of Agriculture: Washington, DC, USA, 1978; 58p.
- Gregorich, E.G.; Carter, M.R.; Angers, D.A.; Monreal, C.M.; Ellert, B.H. Towards a minimum dataset to assess soil organic matter quality in agricultural soils. Can. J. Soil Sci. 1994, 74, 367–385. [Google Scholar] [CrossRef] [Green Version]
- Lal, R. Soil carbon sequestration to mitigate climate change. Geoderma 2004, 123, 1–22. [Google Scholar] [CrossRef]
- Lee, S.B.; Lee, C.H.; Jung, K.Y.; Park, K.D.; Lee, D.; Kim, P.J. Changes of soil organic carbon and its fractions in relation to soil physical properties in a long-term fertilized paddy. Soil Tillage Res. 2009, 104, 227–232. [Google Scholar] [CrossRef]
- Jarecki, M.; Lal, R. Crop management for soil carbon sequestration. Crit. Rev. Plant. Sci. 2003, 22, 471–502. [Google Scholar] [CrossRef]
- Biswas, S.; Hazra, G.C.; Purakayastha, T.J.; Saha, N.; Mitran, T.; Roy, S.S.; Basak, N.; Mandal, B. Establishment of critical limits of indicators and indices of soil quality in rice-rice cropping systems under different soil orders. Geoderma 2017, 292, 34–48. [Google Scholar] [CrossRef]
- Das, B.; Chakraborty, D.; Singh, V.K.; Ahmed, M.; Singh, A.K.; Barman, A. Evaluating fertilization effects on soil physical properties using a soil quality index in an intensive Rice-wheat cropping system. Pedosphere 2016, 26, 887–894. [Google Scholar] [CrossRef]
- Sanchez-Navarro, A.; Gil-Vazquez, J.M.; Delgado-Iniesta, M.J.; Marin-Sanleandro, P.; Blanco-Bernardeau, A.; Ortiz-Silla, R. Establishing an index and identification of limiting parameters for characterizing soil quality in Mediterranean ecosystems. Catena 2015, 131, 35–45. [Google Scholar] [CrossRef]
- Nabiollahi, K.; Golmohamadi, F.; Taghizadeh-Mehrjardi, R.; Kerry, R.; Davari, M. Assessing the effects of slope gradient and land use change on soil quality degradation through digital mapping of soil quality indices and soil loss rate. Geoderma 2018, 318, 16–28. [Google Scholar] [CrossRef]
- Miralles, I.; Ortega, R.; Almendros, G.; Sánchez-Marañón, M.; Soriano, M. Soil quality and organic carbon ratios in mountain agroecosystems of South-east Spain. Geoderma 2009, 150, 120–128. [Google Scholar] [CrossRef]
- Rahmanipour, F.; Marzaioli, R.; Bahrami, H.A.; Fereidouni, Z.; Bandarabadi, S.R. Assessment of soil quality indices in agricultural lands of Qazvin Province, Iran. Ecol. Indic. 2014, 40, 19–26. [Google Scholar] [CrossRef]
- Askari, M.S.; Holden, N.M. Quantitative soil quality indexing of temperate arable management systems. Soil Tillage Res. 2015, 150, 57–67. [Google Scholar] [CrossRef]
- Liu, Z.; Zhou, W.; Shen, J.; Li, S.; He, P.; Liang, G. Soil quality assessment of Albic soils with different productivities for eastern China. Soil Tillage Res. 2014, 140, 74–81. [Google Scholar] [CrossRef]
- Andrews, S.S.; Karlen, D.L.; Cambardella, C.A. The soil management assessment framework: A quantitative soil quality evaluation method. Soil Sci. Soc. Am. J. 2004, 68, 1945–1962. [Google Scholar] [CrossRef]
- Andrews, S.S.; Mitchell, J.P.; Mancinelli, R.; Karlen, D.L.; Hartz, T.K.; Horwath, W.R.; Pettygrove, G.S.; Scow, K.M.; Munk, D.S. On-farm assessment of soil quality in California’s Central Valley. Agron. J. 2002, 94, 12–23. [Google Scholar]
- Liebig, M.A.; Varvel, G.E.; Doran, J.W. A simple performance-based index for assessing multiple agroecosystem functions. Agron. J. 2001, 93, 313–318. [Google Scholar] [CrossRef] [Green Version]
- Bi, C.J.; Chen, Z.L.; Wang, J.; Zhou, D. Quantitative assessment of soil health under different planting patterns and soil types. Pedosphere 2013, 23, 194–204. [Google Scholar] [CrossRef]
- Cambardella, C.A.; Moorman, T.B.; Andrews, S.S.; Karlen, D.L. Watershed-scale assessment of soil quality in the loess hills of southwest Iowa. Soil Tillage Res. 2004, 78, 237–247. [Google Scholar] [CrossRef]
- Qi, Y.; Darilek, J.L.; Huang, B.; Zhao, Y.; Sun, W.; Gu, Z. Evaluating soil quality indices in an agricultural region of Jiangsu Province, China. Geoderma 2009, 149, 325–334. [Google Scholar] [CrossRef]
- Govaerts, B.; Sayre, K.D.; Deckers, J. A minimum data set for soil quality assessment of wheat and maize cropping in the highlands of Mexico. Soil Tillage Res. 2006, 87, 163–174. [Google Scholar] [CrossRef]
- Imaz, M.J.; Virto, I.; Bescansa, P.; Enrique, A.; Fernandez-Ugalde, O.; Karlen, D.L. Soil quality indicator response to tillage and residue management on semiarid Mediterranean cropland. Soil Tillage Res. 2010, 107, 17–25. [Google Scholar] [CrossRef]
- Congreves, K.A.; Hayes, A.; Verhallen, E.A.; Van Eerd, L.L. Long-term impact of tillage and crop rotation on soil health at four temperate agroecosystems. Soil Tillage Res. 2015, 152, 17–28. [Google Scholar] [CrossRef]
- Johnson, R.A.; Wichern, D.W. Applied Multivariate Statistical Analysis; Prentice-Hall: Englewood Cliffs, NJ, USA, 1992. [Google Scholar]
- Shukla, M.K.; Lal, R.; Ebinger, M. Determining soil quality indicators by factor analysis. Soil Tillage Res. 2006, 87, 194–204. [Google Scholar] [CrossRef]
- Wang, C.L.; Zhu, D.C.; Jiang, W.H.; Zhao, X.Q.; Wang, H.J.; Yu, C.; Yi, F. Soil quality evaluation and technology research on improving land capability—A case study on Huanghuaihai Plain in Shandong Province. Agric. Sci. Technol. 2014, 15, 1960–1966. [Google Scholar]
- Xie, Y.; Chen, T.; Lei, M.; Yang, J.; Guo, Q.; Song, B.; Zhou, X. Spatial distribution of soil heavy metal pollution estimated by different interpolation methods: Accuracy and uncertainty analysis. Chemosphere 2011, 82, 468–476. [Google Scholar] [CrossRef] [PubMed]
- Monserud, R.; Leemans, R. Comparing global vegetation maps with the Kappa statistic. Ecol. Model. 1992, 62, 275–293. [Google Scholar] [CrossRef]
- Borja, A.; Dauer, D.M.; Diaz, R.; Llanso, R.J.; Muxika, I.; Rodriguez, J.G.; Schaffner, L. Assessing estuarine benthic quality conditions in Chesapeake Bay: A comparison of three indices. Ecol. Ind. 2008, 8, 395–403. [Google Scholar] [CrossRef]
- Raiesi, F.; Kabiri, V. Identification of soil quality indicators for assessing the effect of different tillage practices through a soil quality index in a semi-arid environment. Ecol. Ind. 2016, 71, 198–207. [Google Scholar] [CrossRef]
- Karlen, D.L.; Scott, D.E. A Framework for Evaluating Physical and Chemical Indicators of Soil Quality. In Defining Soil Quality for a Sustainable Environment; Doran, J.W., Coleman, D.C., Bezdicek, D.F., Stewart, B.A., Eds.; ASA and SSSA: Madison, WI, USA, 1994; pp. 53–72. [Google Scholar]
- Laudicina, V.A.; Badalucco, L.; Palazzolo, E. Effects of compost input andtillage intensity on soil microbial biomass and activity under Mediterraneanconditions. Biol. Fertil. Soils 2011, 47, 63–70. [Google Scholar] [CrossRef]











| Indicator | Method |
|---|---|
| Granulometric analysis (% of sand and clay) | Robinson’s pipette [30] |
| Soil organic carbon (OC) | Dichromate oxidation [31] |
| Bulk density (BD) | Paraffin [32] |
| Water retention at 33 and 1500 kPa (GWC) | Pressure membrane [33] |
| Cation Exchange capacity (CEC) | Ammonium acetate at pH 7 [30] |
| Removable exchange bases (Na, K, Ca and Mg) | Ammonium acetate at pH 7 [30] |
| Electrical conductivity (EC) | Saturated soil paste and conductivity meter [34] |
| pH | Potentiometric method (1:1-soil-water-) |
| CaCO3 equivalent (CCE) | Bernard calcimeter [30] |
| Coefficient of Linear Extensibility (COLE) | Richards membrane [30] |
| Soil erodibility (K) | Equation of Wischmeier and Smith [35] |
| Properties | Average | Minimum | Maximum | Standard Deviation | Kurtosis | Coef. of Variation (%) |
|---|---|---|---|---|---|---|
| Sand % | 31.91 | 2.00 | 96.00 | 18.72 | 0.42 | 58.68 |
| Clay % | 34.65 | 2.20 | 85.00 | 16.20 | −0.34 | 46.76 |
| OC % | 0.86 | 0.02 | 3.75 | 0.82 | 2.31 | 96.06 |
| Stock OC (mg C ha−1) | 40.60 | 10.75 | 94.50 | 20.39 | 0.12 | 50.22 |
| CaCO3 (%) | 18.39 | 0.00 | 88.00 | 23.24 | 0.07 | 126.41 |
| BD (g cm−3) | 1.49 | 0.83 | 1.96 | 0.16 | 2.31 | 10.62 |
| GWC33kPa (%) | 27.17 | 6.00 | 43.50 | 7.77 | −0.44 | 28.59 |
| GWC1500kPa (%) | 15.93 | 1.90 | 31.50 | 6.80 | −0.63 | 42.66 |
| COLE (cm/cm) | 0.032 | 0.000 | 0.116 | 0.027 | 0.27 | 83.13 |
| pH | 7.32 | 4.50 | 8.60 | 0.88 | 0.48 | 11.99 |
| Na (cmol kg−1) | 0.44 | 0.00 | 5.60 | 0.59 | 35.35 | 133.36 |
| K (cmol kg−1) | 0.63 | 0.00 | 2.50 | 0.48 | 1.60 | 77.46 |
| Ca (cmol kg−1) | 28.26 | 0.30 | 65.30 | 16.69 | −0.97 | 59.06 |
| Mg (cmol kg−1) | 3.21 | 0.00 | 15.20 | 2.96 | 2.09 | 92.10 |
| CEC (cmol kg−1) | 18.79 | 0.90 | 65.20 | 10.79 | 0.99 | 57.46 |
| CE (ds m−1) | 0.69 | 0.13 | 4.02 | 0.54 | 16.42 | 77.61 |
| Factor K (t m2 h/ha J cm) | 0.46 | 0.23 | 0.81 | 0.11 | 0.61 | 25.05 |
| F1 | F2 | F3 | F4 | |
|---|---|---|---|---|
| Eigenvalues | 6.047 | 2.484 | 1.642 | 1.189 |
| Variance (%) | 37.793 | 15.524 | 10.260 | 7.430 |
| Cumulative variance (%) | 37.793 | 53.317 | 63.577 | 71.007 |
| Soil properties | ||||
| GWC1500kPa (%) | 0.928 | |||
| Clay (%) | 0.916 | |||
| GWC33kPa (%) | 0.912 | |||
| Sand (%) | −0.890 | |||
| CEC (cmol kg−1) | 0.870 | |||
| COLE (cm/cm) | 0.821 | |||
| CaCO3 (%) | 0.837 | |||
| Ca (cmol kg−1) | 0.823 | |||
| pH | 0.799 | |||
| Na (cmol kg−1) | 0.592 | |||
| Stock OC (mg C ha−1) | 0.712 | |||
| Factor “K” (t m2 h/ha J cm) | −0.689 | |||
| BD (g cm−3) | −0.525 | |||
| Mg (cmol kg−1) | 0.843 | |||
| CE (ds m−1) | 0.819 |
| TDS | MDS | |||
|---|---|---|---|---|
| Communality | Weight | Communality | Weight | |
| Sand% | 0.803 | 0.071 | ||
| Clay% | 0.848 | 0.075 | 0.860 | 0.212 |
| Stock OC mg C ha−1 | 0.570 | 0.050 | 0.108 | 0.027 |
| Ca CO3% | 0.732 | 0.064 | 0.872 | 0.215 |
| BD g cm−3 | 0.354 | 0.031 | ||
| GWC33kPa% | 0.907 | 0.080 | ||
| GWC1500kPa% | 0.917 | 0.081 | 0.922 | 0.228 |
| COLE cm cm−1 | 0.774 | 0.068 | ||
| pH | 0.708 | 0.062 | ||
| Na cmol kg−1 | 0.581 | 0.051 | ||
| K cmol kg−1 | 0.321 | 0.028 | ||
| Ca cmol kg−1 | 0.899 | 0.079 | 0.891 | 0.220 |
| Mg cmol kg−1 | 0.831 | 0.073 | 0.395 | 0.098 |
| C.E.C. cmol kg−1 | 0.867 | 0.076 | ||
| CE ds m−1 | 0.710 | 0.062 | ||
| Factor “K” t m2 h/ha J cm | 0.539 | 0.047 | ||
| Index | Soil Quality Grade | ||||
|---|---|---|---|---|---|
| I (Very Low) | II (Low) | III (Moderate) | IV (High) | V (Very High) | |
| SQITDS-L-W | 0.31–0.37 | 0.37–0.43 | 0.43–0.50 | 0.50–0.56 | 0.56–0.63 |
| SQITDS-L-A | 0.33–0.38 | 0.38–0.44 | 0.44–0.49 | 0.49–0.55 | 0.55–0.61 |
| SQITDS-L-N | 0.22–0.26 | 0.26–0.30 | 0.30–0.33 | 0.33–0.37 | 0.37–0.42 |
| SQITDS-NL-W | 0.14–0.24 | 0.24–0.33 | 0.33–0.43 | 0.43–0.52 | 0.52–0.63 |
| SQITDS-NL-A | 0.17–0.26 | 0.26–0.35 | 0.35–0.43 | 0.43–0.52 | 0.52–0.62 |
| SQITDS-NL-N | 0.11–0.18 | 0.18–0.25 | 0.25–0.33 | 0.33–0.40 | 0.40–0.48 |
| SQIMDS-L-W | 0.08–0.21 | 0.21–0.33 | 0.33–0.46 | 0.46–0.58 | 0.58–0.72 |
| SQIMDS-L-A | 0.08–0.20 | 0.20–0.32 | 0.32–0.43 | 0.43–0.55 | 0.55–0.68 |
| SQIMDS-L-N | 0.05–0.13 | 0.13–0.21 | 0.21–0.29 | 0.29–0.37 | 0.37–0.46 |
| SQIMDS-NL-W | 0.04–0.18 | 0.18–0.31 | 0.31–0.45 | 0.45–0.58 | 0.58–0.73 |
| SQIMDS-NL-A | 0.11–0.23 | 0.23–0.35 | 0.35–0.46 | 0.46–0.58 | 0.58–0.71 |
| SQIMDS-NL-N | 0.07–0.16 | 0.16–0.25 | 0.25–0.33 | 0.33–0.42 | 0.42–0.52 |
| Data Set | Equation | Method | Soil Quality Grade | ||||
|---|---|---|---|---|---|---|---|
| I (Very Low) | II (Low) | III (Moderate) | IV (High) | V (Very High) | |||
| TDS | Linear | Weighted additive | 0.19 | 151.72 | 442.38 | 186.36 | 31.02 |
| Additive | 10.20 | 127.75 | 497.83 | 151.81 | 24.24 | ||
| Nemoro | 15.36 | 260.09 | 286.70 | 221.87 | 27.57 | ||
| Nonlinear | Weighted additive | 0.00 | 10.99 | 279.37 | 469.58 | 51.66 | |
| Additive | 0.00 | 12.50 | 239.42 | 497.28 | 62.40 | ||
| Nemoro | 0.00 | 39.73 | 503.23 | 252.50 | 16.13 | ||
| MDS | Linear | Weighted additive | 0.00 | 84.68 | 392.10 | 294.66 | 40.15 |
| Additive | 0.00 | 80.85 | 397.70 | 298.17 | 34.88 | ||
| Nemoro | 0.00 | 125.27 | 492.48 | 172.71 | 20.97 | ||
| Nonlinear | Weighted additive | 0.00 | 67.86 | 413.21 | 310.11 | 20.42 | |
| Additive | 0.00 | 59.11 | 383.52 | 360.02 | 8.94 | ||
| Nemoro | 0.01 | 158.98 | 553.05 | 99.35 | 0.20 | ||
Publisher’s Note: MDPI stays neutral with regard to jurisdictional claims in published maps and institutional affiliations. |
© 2021 by the authors. Licensee MDPI, Basel, Switzerland. This article is an open access article distributed under the terms and conditions of the Creative Commons Attribution (CC BY) license (https://creativecommons.org/licenses/by/4.0/).
Share and Cite
Santos-Francés, F.; Martínez-Graña, A.; Ávila-Zarza, C.; Criado, M.; Sánchez-Sánchez, Y. Soil Quality and Evaluation of Spatial Variability in a Semi-Arid Ecosystem in a Region of the Southeastern Iberian Peninsula (Spain). Land 2022, 11, 5. https://doi.org/10.3390/land11010005
Santos-Francés F, Martínez-Graña A, Ávila-Zarza C, Criado M, Sánchez-Sánchez Y. Soil Quality and Evaluation of Spatial Variability in a Semi-Arid Ecosystem in a Region of the Southeastern Iberian Peninsula (Spain). Land. 2022; 11(1):5. https://doi.org/10.3390/land11010005
Chicago/Turabian StyleSantos-Francés, Fernando, Antonio Martínez-Graña, Carmelo Ávila-Zarza, Marco Criado, and Yolanda Sánchez-Sánchez. 2022. "Soil Quality and Evaluation of Spatial Variability in a Semi-Arid Ecosystem in a Region of the Southeastern Iberian Peninsula (Spain)" Land 11, no. 1: 5. https://doi.org/10.3390/land11010005
APA StyleSantos-Francés, F., Martínez-Graña, A., Ávila-Zarza, C., Criado, M., & Sánchez-Sánchez, Y. (2022). Soil Quality and Evaluation of Spatial Variability in a Semi-Arid Ecosystem in a Region of the Southeastern Iberian Peninsula (Spain). Land, 11(1), 5. https://doi.org/10.3390/land11010005

