Landscape Changes in the Southern Coalfields of West Virginia: Multi-Level Intensity Analysis and Surface Mining Transitions in the Headwaters of the Coal River from 1976 to 2016
Abstract
:1. Introduction
2. Background
2.1. Surface Coal Mining in Central Appalachians
2.2. Monitoring Surface Mining in the Region
2.3. Post Classification Comparison Using Intensity Analysis and Difference Components
3. Materials and Methods
3.1. Study Area
3.2. Data Collection and Processing
3.2.1. The LCC of 1976
3.2.2. The LCC of 1996
3.2.3. The LCC of 2016
3.3. Study Area Land Cover Classifications Post-Processing Phase
3.3.1. Optimizing Land Cover Classes and Resolution
3.3.2. Analyzing and Correcting the Misclassified Portions of the Maps
3.3.3. Overlaying Geospatial Data
3.4. LCCs Sizes Comparison
3.5. Multi-Level Intensity Analysis and Difference Components
4. Results
4.1. Land-Change and Multi-Level Intensity Analysis Results
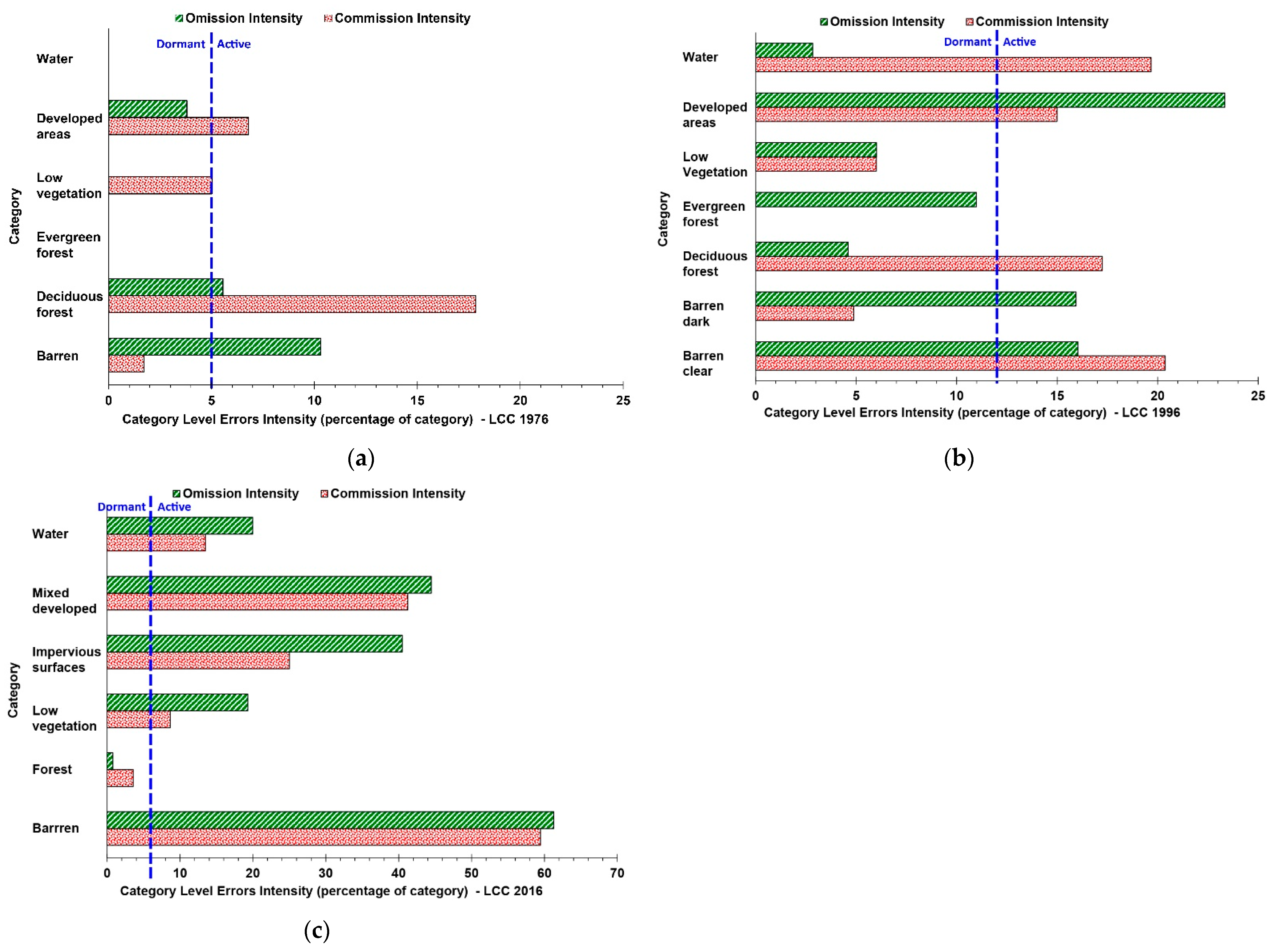
4.2. Land Change Errors Estimation
5. Discussion
5.1. Methods
5.2. Landscape Transitions in the Coal River Headwaters
6. Conclusions
Supplementary Materials
Author Contributions
Funding
Institutional Review Board Statement
Informed Consent Statement
Acknowledgments
Conflicts of Interest
References
- Griffith, M.B.; Norton, S.B.; Alexander, L.C.; Pollard, A.I.; Le Duc, S.D. The effects of mountaintop mines and valley fills on the physicochemical quality of stream ecosystems in the central Appalachians: A review. Sci. Total Environ. 2012, 417, 1–12. [Google Scholar] [CrossRef]
- U.S. EPA. Draft Programmatic Environmental Impact Statement on Mountaintop Mining/Valley Fills in Appalachia; Region 3; U.S. Environmental Protection Agency: Philadelphia, PA, USA, 2003.
- Maxwell, A.E.; Strager, M.P.; Yuill, C.B.; Petty, J.T. Modeling critical forest habitat in the southern coal fields of West Virginia. Int. J. Ecol. 2012, 2012, 182683. [Google Scholar] [CrossRef] [Green Version]
- Rindfuss, R.; Entwisle, B.; Walsh, S.; Li, A.; Badenoch, N.; Brown, D.; Deadman, P.; Evans, T.; Fox, J.; Geoghegan, J.; et al. Land use change: Complexity and comparisons. J. Land Use Sci. 2008, 3, 1–10. [Google Scholar] [CrossRef] [Green Version]
- Aldwaik, S.Z.; Pontius, R.G. Intensity analysis to unify measurements of size and stationarity of land changes by interval, category, and transition. Landsc. Urban. Plan. 2012, 106, 103–114. [Google Scholar] [CrossRef]
- Xie, Z.; Pontius, R.G.; Huang, J.; Nitivattananon, V. Enhanced intensity analysis to quantify categorical change and to identify suspicious land transitions: A case study of Nanchang, China. Remote Sens. 2020, 12, 3323. [Google Scholar] [CrossRef]
- Townsend, P.A.; Helmers, D.P.; Kingdon, C.C.; McNeil, B.E.; de Beurs, K.M.; Eshleman, K.N. Changes in the extent of surface mining and reclamation in the Central Appalachians detected using a 1976–2006 Landsat time series. Remote Sens. Environ. 2009, 113, 62–72. [Google Scholar] [CrossRef]
- Turner, M.G.; Gardner, R.H. Landscape Ecology in Theory and Practice; Springer: New York, NY, USA, 2015; ISBN 9781493927937. [Google Scholar]
- Farina, A. Landscape Dynamics. Available online: https://www.oxfordbibliographies.com/view/document/obo-9780199830060/obo-9780199830060-0182.xml (accessed on 24 May 2021).
- Clarkson, R.B. Tumult on the Mountains: Lumbering in West Virginia 1770–1920; McClain Printing Company: Parson, WV, USA, 1964. [Google Scholar]
- Eller, R.D. Miners, Millhands, and Mountaineers: Industrialization of the Appalachian South, 1880–1930; Twentieth-century America series; University of Tennessee Press: Knoxville, TN, USA, 1982. [Google Scholar]
- Eller, R.D. Land as Commodity: Industrialization of the Appalachian Forests, 1880–1940. In The Great Forest: An Appalachian Story; Appalachian State University: Boone, UC, USA, 1985. [Google Scholar]
- Davis, D.E. Where There Are Mountains An. Environmental History of the Southern Appalachians; The University of Georgia Press: Athens, GA, USA, 2000; ISBN 9788578110796. [Google Scholar]
- Delcourt, P.A.; Delcourt, H.R. Prehistoric Native Americans and Ecological Change: Human Ecosystems in Eastern North America Since the Pleistocene; Cambridge University Press: Cambridge, UK, 2004; ISBN 9780521662703. [Google Scholar]
- Marley, B.J. The Coal Crisis in Appalachia: Agrarian Transformation, Commodity Frontiers and the Geographies of Capital. J. Agrar. Chang. 2016, 16, 225–254. [Google Scholar] [CrossRef]
- Staniscia, S.; Yuill, C.; Cribari, V. Four plus one dimensions of transferability: Defining a framework for the application of a landscape characterization in the USA. City Territ. Archit. 2020, 7, 8. [Google Scholar] [CrossRef]
- Pericak, A.A.; Thomas, C.J.; Kroodsma, D.A.; Wasson, M.F.; Ross, M.R.V.; Clinton, N.E.; Campagna, D.J.; Franklin, Y.; Bernhardt, E.S.; Amos, J.F. Mapping the yearly extent of surface coal mining in Central Appalachia using Landsat and Google Earth Engine. PLoS ONE 2018, 13, e0197758. [Google Scholar] [CrossRef] [Green Version]
- Drummond, M.A.; Loveland, T.R. Land-use Pressure and a Transition to Forest-cover Loss in the Eastern United States. Biosci. TA 2010, 60, 286–298. [Google Scholar] [CrossRef]
- Brown, D.G.; Johnson, K.M.; Loveland, T.R.; Theobald, D.M. Rural Land-Use Trends in the Conterminous United States, 1950–2000. Ecol. Appl. 2005, 15, 1851–1863. [Google Scholar] [CrossRef] [Green Version]
- Hendryx, M. Mortality from heart, respiratory, and kidney disease in coal mining areas of Appalachia. Int. Arch. Occup. Environ. Health 2009, 82, 243–249. [Google Scholar] [CrossRef] [PubMed]
- Palmer, M.A.; Bernhardt, E.S.; Schlesinger, W.H.; Eshleman, K.N.; Foufoula-Georgiou, E.; Hendryx, M.S.; Lemly, A.D.; Likens, G.E.; Loucks, O.L.; Power, M.E.; et al. Mountaintop Mining Consequences: Damage to ecosystems and threats to human health and the lack of effective mitigation require new approaches to mining regulation. Science 2010, 327, 148–149. [Google Scholar] [CrossRef] [Green Version]
- Wickham, J.; Wood, P.B.; Nicholson, M.C.; Jenkins, W.; Druckenbrod, D.; Suter, G.W.; Strager, M.P.; Mazzarella, C.; Galloway, W.; Amos, J. The Overlooked Terrestrial Impacts of Mountaintop Mining. Bioscience 2013, 63, 335–348. [Google Scholar] [CrossRef]
- Ross, M.R.V.; McGlynn, B.L.; Bernhardt, E.S. Deep Impact: Effects of Mountaintop Mining on Surface Topography, Bedrock Structure, and Downstream Waters. Environ. Sci. Technol. 2016, 50, 2064–2074. [Google Scholar] [CrossRef] [PubMed] [Green Version]
- KGS Coal Mining. Available online: http://www.uky.edu/KGS/coal/coal-mining.php# (accessed on 21 November 2018).
- Montrie, C. Expedient Environmentalism: Opposition to Coal Surface Mining in Appalachia and the United Mine Workers of America, 1945–1975. Environ. Hist. 2000, 5, 75–98. [Google Scholar] [CrossRef]
- Eggleston, J.R. Newsletter of West Virginia Geological and Economic Survey; West Virginia Geological and Economic Survey: Morgantown, WV, USA, 1975; pp. 23–33.
- Murphy, R.E. Wartime changes in the patterns of united states coal production. Ann. Assoc. Am. Geogr. 1947, 37, 185–196. [Google Scholar] [CrossRef]
- Fishman, L.; Fishman, B.G. Bituminous Coal Production during World War II. South. Econ. J. 1952, 18, 391–396. [Google Scholar] [CrossRef]
- USDA. Refeorestation of Strip-Mined Lands in West Virginia; USDA: Washington, DC, USA, 1951.
- Austin, R.C.; Borrelli, P. The Strip Mining of America: An Analysis of Surface Coal Mining and the Environment; Sierra Club: New York, NY, USA, 1971. [Google Scholar]
- McGinley, P. From Pick and Shovel to Mountaintop Removal: Environmental Injustice in The Applachian Coalfields. Environ. Law 2004, 34, 21–106. [Google Scholar]
- Zipper, C.E.; Lee Daniels, W.; Bell, J.C. The Practice of ”Approximate Original Contour” in the Central Appalachians. II. Economic and Environmental Consequences of an Alternative. Landsc. Urban. Plan. 1989, 18, 139–152. [Google Scholar] [CrossRef]
- West Virginia Division of Culture and History Buffalo Creek Disaster. Available online: http://www.wvculture.org/history/buffcreek/bctitle.html (accessed on 24 May 2021).
- Wes Virginia Dump Sites Survey. Identification and Photographs: Coal Refuse Dumps of West Virginia; West Virginia Department of Natural Resources: South Charleston, WV, USA, 1972.
- Holl, K. Primer of Ecological Restoration; Island Press: Washington, DC, USA, 2020; ISBN 1559633123. [Google Scholar]
- Dicks, N.; Simpson, M.; Bingaman, J. Surface Coal Mining: Characteristics of Mining in Mountainous Areas of Kentucky and West Virginia; DIANE Publishing: Collingdale, PA, USA, 2009. [Google Scholar]
- Skousen, J.; Zipper, C.E. Post-mining policies and practices in the Eastern USA coal region. Int. J. Coal Sci. Technol. 2014, 1, 135–151. [Google Scholar] [CrossRef] [Green Version]
- Zipper, C.E.; Skousen, J. (Eds.) Appalachia’ s Coal-Mined Landscapes. Resources and Communities in a New Energy Era; Springer: New York, NY, USA, 2021; ISBN 9783030577797. [Google Scholar]
- Evans, B.M.; Kern, J.R.; Stingelin, R.W. Low Altitude Photointerpretation Manual for Surface Coal Mining Operations; Office of Surface Mining Reclamation and Enforcement: Washington, DC, USA, 1983.
- Slonecker, E.T.; Benger, M.J. Remote sensing and mountaintop mining. Remote Sens. Rev. 2001, 20, 293–322. [Google Scholar] [CrossRef]
- Simmons, J.A.; Currie, W.S.; Eshleman, K.N.; Kuers, K.; Monteleone, S.; Negley, T.L.; Pohlad, B.R.; Thomas, C.L. Forest to reclaimed mine land use change leads to altered ecosystem structure and function. Ecol. Appl. 2008, 18, 104–118. [Google Scholar] [CrossRef]
- Maxwell, A.E.; Warner, T.A. Differentiating mine-reclaimed grasslands from spectrally similar land cover using terrain variables and object-based machine learning classification. Int. J. Remote Sens. 2015, 36, 4384–4410. [Google Scholar] [CrossRef] [Green Version]
- Maxwell, A.E.; Warner, T.A.; Vanderbilt, B.C.; Ramezan, C.A. Land cover classification and feature extraction from National Agriculture Imagery Program (NAIP) Orthoimagery: A review. Photogramm. Eng. Remote Sens. 2017, 83, 737–747. [Google Scholar] [CrossRef]
- Maxwell, A.E.; Strager, M.P.; Warner, T.A.; Ramezan, C.A.; Morgan, A.N.; Pauley, C.E. Large-area, high spatial resolution land cover mapping using random forests, GEOBIA, and NAIP orthophotography: Findings and recommendations. Remote Sens. 2019, 11, 1409. [Google Scholar] [CrossRef] [Green Version]
- Warner, T.; Almutairi, A.; Lee, J. Remote sensing of land cover change. In The SAGE Handbook of Remote Sensing; Warner, T.A., Nellis, M.D., Foody, G.M., Eds.; SAGE Publications Ltd.: London, UK, 2009; pp. 459–472. [Google Scholar]
- Jensen, J.R. Introductory Digital Image Processing: A Remote Sensing Perspective; Prentice Hall Press: Hoboken, NJ, USA, 2015. [Google Scholar]
- Lu, D.; Mausel, P.; Brondízio, E.; Moran, E. Change detection techniques. Int. J. Remote Sens. 2004, 25, 2365–2407. [Google Scholar] [CrossRef]
- Pontius, R.G.; Lippitt, C.D. Can error explain map differences over time? Cartogr. Geogr. Inf. Sci. 2006, 33, 159–171. [Google Scholar] [CrossRef]
- Fuller, R.M.; Smith, G.M.; Devereux, B.J. The characterisation and measurement of land cover change through remote sensing: Problems in operational applications? Int. J. Appl. Earth Obs. Geoinf. 2003, 243–253. [Google Scholar] [CrossRef]
- Olofsson, P.; Foody, G.M.; Herold, M.; Stehman, S.V.; Woodcock, C.E.; Wulder, M.A. Good practices for estimating area and assessing accuracy of land change. Remote Sens. Environ. 2014, 148, 42–57. [Google Scholar] [CrossRef]
- Van Oort, P.A.J. Interpreting the change detection error matrix. Remote Sens. Environ. 2007, 108, 1–8. [Google Scholar] [CrossRef]
- Olofsson, P.; Foody, G.M.; Stehman, S.V.; Woodcock, C.E. Making better use of accuracy data in land change studies: Estimating accuracy and area and quantifying uncertainty using stratified estimation. Remote Sens. Environ. 2013, 129, 122–131. [Google Scholar] [CrossRef]
- Aldwaik, S.Z.; Pontius, R.G. Map errors that could account for deviations from a uniform intensity of land change. Int. J. Geogr. Inf. Sci. 2013, 27, 1717–1739. [Google Scholar] [CrossRef]
- Braimoh, A.K. Random and systematic land-cover transitions in northern Ghana. Agric. Ecosyst. Environ. 2006, 113, 254–263. [Google Scholar] [CrossRef]
- Shoyama, K.; Braimoh, A.K. Analyzing about sixty years of land-cover change and associated landscape fragmentation in Shiretoko Peninsula, Northern Japan. Landsc. Urban. Plan. 2011, 101, 22–29. [Google Scholar] [CrossRef]
- Alo, C.A.; Pontius, R.G. Identifying systematic land-cover transitions using remote sensing and GIS: The fate of forests inside and outside protected areas of Southwestern Ghana. Environ. Plan. B Plan. Des. 2008, 35, 280–295. [Google Scholar] [CrossRef]
- Meyfroidt, P. Approaches and terminology for causal analysis in land systems science. J. Land Use Sci. 2016, 11, 501–522. [Google Scholar] [CrossRef]
- Pontius, R.G. Component intensities to relate difference by category with difference overall. Int. J. Appl. Earth Obs. Geoinf. 2019, 46, 1. [Google Scholar] [CrossRef]
- Pontius, R.G.; Santacruz, A. Quantity, exchange, and shift components of difference in a square contingency table. Int. J. Remote Sens. 2014, 35, 7543–7554. [Google Scholar] [CrossRef]
- Pontius, R.G.; Shusas, E.; McEachern, M. Detecting important categorical land changes while accounting for persistence. Agric. Ecosyst. Environ. 2004, 101, 251–268. [Google Scholar] [CrossRef]
- Pickard, B.; Gray, J.; Meentemeyer, R. Comparing quantity, allocation and configuration accuracy of multiple land change models. Land 2017, 6, 52. [Google Scholar] [CrossRef] [Green Version]
- Pontius, R.G.; Millones, M. Death to Kappa: Birth of quantity disagreement and allocation disagreement for accuracy assessment. Int. J. Remote Sens. 2011, 32, 4407–4429. [Google Scholar] [CrossRef]
- Ehlke, T.A.; Runner, G.S.; Downs, S.C. Hydrology of Area 9, Eastern Coal Province; US Department of the Interior: Washington, DC, USA, 1982.
- Hay, G.J.; Castilla, G. Geographic object-based image analysis (GEOBIA). In Object-Based Image Analysis—Spatial Concepts for Knowledge-Driven Remote Sensing Applications; Blaschke, T., Lang, S., Hay, G.J., Eds.; Springer: Berlin, Germany, 2008; pp. 77–92. [Google Scholar]
- Blaschke, T. Object based image analysis for remote sensing. ISPRS J. Photogramm. Remote Sens. 2010, 65, 2–16. [Google Scholar] [CrossRef] [Green Version]
- R Core Team. R: A Language and Environment for Statistical Computing; R Core Team: Vienna, Austria, 2020. [Google Scholar]
- USGS EROS Archive. Available online: https://www.usgs.gov/centers/eros/science/usgs-eros-archive-aerial-photography-aerial-photo-single-frames?qt-science_center_objects=0#qt-science_center_objects (accessed on 25 May 2021).
- USGS EarthExplorer. Available online: https://earthexplorer.usgs.gov/ (accessed on 25 May 2021).
- Hexagon Geospatial Erdas Imagine; v16.5; Erdas Inc.: Madison, AL, USA, 2018.
- Trimble eCognition Developer; v9.3; Trimble Geospatial: Sunnyvale, CA, USA, 2019.
- Kuhn, M. Building Predictive Models in R Using the caret Package. J. Stat. Softw. 2008, 28, 647–673. [Google Scholar] [CrossRef] [Green Version]
- Wright, M.N.; Ziegler, A. ranger: A Fast Implementation of Random Forests for High Dimensional Data in C++ and R. J. Stat. Softw. 2017, 77, 1–17. [Google Scholar] [CrossRef] [Green Version]
- Stehman, S.V. Sampling designs for accuracy assessment of land cover. Int. J. Remote Sens. 2009, 30, 5243–5272. [Google Scholar] [CrossRef]
- Pontius, R.G., Jr. PontiusMatrix, V.42. 2020. Available online: www.clarku.edu/~rpontius (accessed on 25 May 2021).
- USGS and SAMB West Virginia Statewide Digital Elevation Models. Available online: https://wvgis.wvu.edu/data/dataset.php?ID=261 (accessed on 25 May 2021).
- TerrSet: Geospatial Monitoring and Modeling Software; v18.31; Clark Labs, Clark University: Worcester, MA, USA, 2017.
- Pontius, R.G., Jr.; Khallaghi, S. Package ‘Intensity Analysis’, v0.1.6. 2019. Available online: https://cran.r-project.org/web/packages/intensity.analysis/index.html (accessed on 25 May 2021).
- Pontius, R.G., Jr. PontiusMatrix, V.41. 2018. Available online: www.clarku.edu/~rpontius (accessed on 25 May 2021).
- Radoux, J.; Bogaert, P. Good practices for object-based accuracy assessment. Remote Sens. 2017, 9, 646. [Google Scholar] [CrossRef] [Green Version]
- Shafizadeh-Moghadam, H.; Minaei, M.; Feng, Y.; Pontius, R.G. GlobeLand30 maps show four times larger gross than net land change from 2000 to 2010 in Asia. Int. J. Appl. Earth Obs. Geoinf. 2019, 78, 240–248. [Google Scholar] [CrossRef]
- Mallinis, G.; Koutsias, N.; Arianoutsou, M. Monitoring land use/land cover transformations from 1945 to 2007 in two peri-urban mountainous areas of Athens metropolitan area, Greece. Sci. Total Environ. 2014, 490, 262–278. [Google Scholar] [CrossRef]
- Enaruvbe, G.O.; Pontius, R.G. Influence of classification errors on Intensity Analysis of land changes in southern Nigeria. Int. J. Remote Sens. 2015, 36, 244–261. [Google Scholar] [CrossRef]
- Pontius, R.G.; Li, X. Land transition estimates from erroneous maps. J. Land Use Sci. 2010, 5, 31–44. [Google Scholar] [CrossRef]
- Quan, B.; Pontius, R.G.; Song, H. Intensity Analysis to communicate land change during three time intervals in two regions of Quanzhou City, China. GISci. Remote Sens. 2019, 57, 21–36. [Google Scholar] [CrossRef]
- Huang, B.; Huang, J.; Gilmore Pontius, R.; Tu, Z. Comparison of Intensity Analysis and the land use dynamic degrees to measure land changes outside versus inside the coastal zone of Longhai, China. Ecol. Indic. 2018, 89, 336–347. [Google Scholar] [CrossRef]
- Shoyama, K.; Braimoh, A.K.; Avtar, R.; Saito, O. Land Transition and Intensity Analysis of Cropland Expansion in Northern Ghana. Environ. Manag. 2018, 62, 892–905. [Google Scholar] [CrossRef] [PubMed]
- Akinyemi, F.O.; Pontius, R.G.; Braimoh, A.K. Land change dynamics: Insights from Intensity Analysis applied to an African emerging city. J. Spat. Sci. 2017, 62, 69–83. [Google Scholar] [CrossRef]
- Huang, J.; Pontius, R.G.; Li, Q.; Zhang, Y. Use of intensity analysis to link patterns with processes of land change from 1986 to 2007 in a coastal watershed of southeast China. Appl. Geogr. 2012, 34, 371–384. [Google Scholar] [CrossRef]
- Horton, J.D.; San Juan, C.A. Prospect- and Mine-Related Features from U.S. Geological Survey 7.5- and 15-Minute Topographic Quadrangle Maps of the United States; Ver. 6.0, April 2021; U.S. Geological Survey: Reston, VA, USA, 2021.
- (DMR) Permit Boundary. Available online: https://tagis.dep.wv.gov/site/GISData (accessed on 21 April 2021).
- Hobbs, R.J.; Higgs, E.; Hall, C.M.; Bridgewater, P.; Chapin, F.S.; Ellis, E.C.; Ewel, J.J.; Hallett, L.M.; Harris, J.; Hulvey, K.B.; et al. Managing the whole landscape: Historical, hybrid, and novel ecosystems TT. Front. Ecol. Environ. 2014, 12, 557–564. [Google Scholar] [CrossRef] [Green Version]
- Higgs, E. Novel and designed ecosystems. Restor. Ecol. 2017, 25, 8–13. [Google Scholar] [CrossRef]
- Bauman, J.M.; Cochran, C.; Chapman, J.; Gilland, K. Plant community development following restoration treatments on a legacy reclaimed mine site. Ecol. Eng. 2015, 83, 521–528. [Google Scholar] [CrossRef]
- Hart, J.F. Loss and Abandonment of Cleared Farm Land in the Eastern United States. Ann. Assoc. Am. Geogr. 1968, 417–440. [Google Scholar] [CrossRef]
- Otto, J.S. The Decline of Forest Farming in Southern Appalachia. J. For. Hist. 1983, 27, 18–27. [Google Scholar] [CrossRef]
- Hufford, M. Landscape and History at the Headwaters of the Big Coal River Valley: An Overview. In Tending the Commons: Folklife and Landscape in Southern West Virginia; The Library of Congress: Washington, DC, USA, 2007. [Google Scholar]
- Shifflett, C.A. Coal Towns. Life, Work, and Culture in Company Towns of Southern Appalachia, 1880–1960; The University of Tennessee Press: Knoxville, TN, USA, 1991. [Google Scholar]
- Pollard, K.M. Population Growth and Distribution in Appalachia: New Realities; Appalachian Regional Commission: Washington, DC, USA, 2005.
- Jackson, K.T. Crabgrass Frontier: The Suburbanization of the United States; Oxford University Press: New York, NY, USA, 1985. [Google Scholar]
- Beauregard, R. When America Became Suburban; University of Minnesota Press: Minneapolis, MN, USA, 2006. [Google Scholar]
- Geels, F.W. Technological transitions as evolutionary reconfiguration processes: A multi-level perspective and a case-study. Res. Policy 2002, 31, 1257–1274. [Google Scholar] [CrossRef] [Green Version]
- Ahlborg, H.; Ruiz-Mercado, I.; Molander, S.; Masera, O. Bringing technology into social-ecological systems research-Motivations for a socio-technical-ecological systems approach. Sustainability 2019, 11, 2009. [Google Scholar] [CrossRef] [Green Version]
- Ostrom, E. Governing the Commons: The Evolution of Institutions for Collective Action; Cambridge University Press: Cambridge, UK, 1990. [Google Scholar]
- Daily, G.C. Nature’s Services: Societal Dependence on Natural Ecosystems; Island Press: Washington, DC, USA, 1997; ISBN 1597267759. [Google Scholar]
- Qiu, J.; Queiroz, C.; Bennett, E.M.; Cord, A.F.; Crouzat, E.; Lavorel, S.; Maes, J.; Meacham, M.; Norström, A.V.; Peterson, G.D.; et al. Land-use intensity mediates ecosystem service tradeoffs across regional social-ecological systems. Ecosyst. People 2021, 17, 264–278. [Google Scholar] [CrossRef]


















| Class Name | Description |
|---|---|
| Barren | Non-vegetated areas generally associated with surface mine features, strip-mining roads, spoil banks, coal deposits, dump sites. |
| Deciduous forest | Areas dominated by broad-leaved trees and woodlands. |
| Evergreen forest | Areas dominated by evergreen trees. It can include evergreen shrubs. |
| Low vegetation | Low vegetation areas such as grasslands, including pastureland, agricultural fields, pastures, and croplands. |
| Developed areas | Areas dominated by mixed development, residential areas and yards; areas characterized by impervious surface such as roads and parking lots. It can also include industrial complex and facilities used for coal processing. |
| Water | All waterbodies, including rivers, lakes, water ponds and coal sludge impoundments. |
| Reference | |||||||||
|---|---|---|---|---|---|---|---|---|---|
| Barren | Deciduous Forest | Evergreen Forest | Low Vegetation | Developed Areas | Water | Row Tot. | User’s Accuracy % (Commission Errors) | ||
| Classification | Barren | 131 | 1 | 0 | 0 | 1 | 0 | 133 | 98.5 |
| Deciduous forest | 11 | 52 | 0 | 0 | 0 | 0 | 63 | 82.5 | |
| Evergreen forest | 0 | 0 | 66 | 0 | 0 | 0 | 66 | 100.0 | |
| Low vegetation | 0 | 2 | 0 | 54 | 1 | 0 | 57 | 94.7 | |
| Developed areas | 4 | 0 | 0 | 0 | 53 | 0 | 57 | 93.9 | |
| Water | 0 | 0 | 0 | 0 | 0 | 26 | 26 | 100.0 | |
| Column tot. | 146 | 55 | 66 | 54 | 55 | 26 | Overall accuracy 95.0% | ||
| Producer’s accuracy (%) (omission errors) | 89.7 | 94.6 | 100.0 | 100.0 | 96.4 | 100.0 | |||
| Class Name | Description |
|---|---|
| Barren clear | Non-vegetated areas generally not associated with impervious surface. This class includes surface mine features and non-impervious roads. |
| Barren dark | Surface mining areas characterized by coal presence and large coal deposits. |
| Deciduous forest | Areas dominated by broad-leaved trees and woodlands. |
| Evergreen forest | Areas dominated by evergreen trees. It can include evergreen shrubs. |
| Low vegetation | Low vegetation areas such as grasslands, including pastureland, agricultural fields, pastures, and croplands. |
| Developed areas | It includes areas dominated by mixed development, residential areas and yards; areas characterized by impervious surface such as roads and parking lots. It can also include industrial complex generally used to process coal. |
| Water | All waterbodies, including rivers, lakes, water impoundments and coal sludge impoundments. |
| Reference | ||||||||||
|---|---|---|---|---|---|---|---|---|---|---|
| Barren Clear | Barren Dark | Deciduous Forest | Evergreen Forest | Low Vegetation | Developed Areas | Water | Row Tot. | User’s Accuracy % (Commission Errors) | ||
| Classification | Barren clear | 40 | 0 | 0 | 0 | 1 | 9 | 0 | 50 | 80.0 |
| Barren dark | 0 | 48 | 0 | 0 | 1 | 1 | 0 | 50 | 96.0 | |
| Deciduous forest | 2 | 0 | 41 | 5 | 1 | 1 | 0 | 50 | 82.0 | |
| Evergreen forest | 0 | 0 | 0 | 50 | 0 | 0 | 0 | 50 | 100.0 | |
| Low vegetation | 0 | 0 | 2 | 1 | 47 | 0 | 0 | 50 | 94.0 | |
| Developed areas | 6 | 0 | 0 | 0 | 0 | 40 | 1 | 47 | 85.1 | |
| Water | 0 | 9 | 0 | 0 | 0 | 1 | 40 | 50 | 80.0 | |
| Column tot. | 48 | 57 | 43 | 56 | 50 | 52 | 41 | Overall accuracy 88.2% | ||
| Producer’s accuracy (%) (omission errors) | 83.3 | 84.2 | 95.4 | 89.3 | 94.0 | 76.9 | 97.6 | |||
| Class Name | Description |
|---|---|
| Forest | Areas dominated by tall, woody vegetation and mature forests. This class includes forest and woodlands. |
| Low vegetation | Low vegetation such as grasslands, pastureland, agricultural fields, and croplands. |
| Barren | Non-vegetated areas not associated with impervious surface. This class includes bare soil, quarries, and surface mine features. |
| Water | All standing water, including rivers, streams, ponds, lakes, and impoundments. |
| Impervious surfaces | All areas dominated by impervious surface, such as road surfaces, parking lots, airport runways, and buildings. |
| Mixed developed | Areas dominated by mixed development and mixed land cover, such as residential areas, yards, and development. |
| Reference | |||||||||
|---|---|---|---|---|---|---|---|---|---|
| Barren | Forest | Low Vegetation | Impervious | Mixed Developed | Water | Row Total | User’s Accuracy (Commission Errors) | ||
| Classification | Barren | 66 | 4 | 36 | 52 | 1 | 4 | 163 | 40.5% |
| Forest | 11 | 19,826 | 532 | 49 | 131 | 13 | 20,562 | 96.4% | |
| Low vegetation | 74 | 84 | 2873 | 35 | 80 | 0 | 3146 | 91.3% | |
| Impervious | 18 | 5 | 31 | 318 | 31 | 22 | 425 | 74.8% | |
| Mixed developed | 0 | 47 | 84 | 80 | 304 | 2 | 517 | 58.8% | |
| Water | 1 | 18 | 4 | 1 | 1 | 163 | 188 | 86.7% | |
| Column total | 170 | 19,984 | 3560 | 535 | 548 | 204 | Overall Accuracy: 96.2% | ||
| Producer’s accuracy (%) (omission errors) | 38.8% | 99.2% | 80.7% | 59.4% | 55.5% | 79.9% | |||
| Class Name | Description |
|---|---|
| Forest | Areas dominated by trees and woodlands. |
| Low vegetation | Low vegetation areas such as grasslands, including pastureland, agricultural fields, pastures, and croplands. |
| Barren | Non-vegetated areas generally associated with surface mine features, strip-mining roads, spoil banks, coal deposits, dump sites. |
| Water | All waterbodies, including rivers, lakes, water impoundments and coal sludge impoundments. |
| Developed areas | Areas dominated by mixed development, residential areas, and yards; areas characterized by impervious surface such as roads and parking lots. Industrial facilities generally used for coal processing. |
| 1996 | ||||||||
|---|---|---|---|---|---|---|---|---|
| Forest | Low Vegetation | Barren | Water | Developed Areas | Total Cover (1976) | Gross Loss | ||
| 1976 | Forest | 45,586.4 | 1255.4 | 1449.0 | 30.6 | 187.1 | 48,508.4 | 2922.0 |
| Low vegetation | 3191.7 | 1945.1 | 305.2 | 15.8 | 704.0 | 6161.8 | 4216.7 | |
| Barren | 1910.8 | 180.4 | 350.5 | 11.1 | 79.6 | 2532.5 | 2182.0 | |
| Water | 5.6 | 2.6 | 3.9 | 259.7 | 2.3 | 274.1 | 14.4 | |
| Developed areas | 451.2 | 171.8 | 101.4 | 4.5 | 455.4 | 1184.3 | 728.9 | |
| Total cover (1996) | 51,145.8 | 3555.2 | 2209.9 | 321.8 | 1428.4 | Total change | ||
| Gross gain | 5559.4 | 1610.1 | 1859.4 | 62.0 | 973.0 | 10063.9 | ||
| 2016 | ||||||||
|---|---|---|---|---|---|---|---|---|
| Forest | Low Vegetation | Barren | Water | Developed Areas | Total Cover (1996) | Gross Loss | ||
| 1996 | Forest | 47,452.0 | 2057.0 | 1259.6 | 31.8 | 346.2 | 51,145.8 | 3694.6 |
| Low vegetation | 1578.4 | 1634.2 | 94.7 | 4.3 | 243.5 | 3555.2 | 1921.0 | |
| Barren | 1642.0 | 287.4 | 192.5 | 10.5 | 77.5 | 2209.9 | 2017.4 | |
| Water | 22.7 | 8.8 | 13.1 | 273.6 | 3.6 | 321.8 | 48.2 | |
| Developed areas | 476.4 | 287.5 | 40.8 | 5.3 | 618.4 | 1428.4 | 810.1 | |
| Total cover (2016) | 51,170.7 | 4275.0 | 1600.8 | 325.6 | 1289.2 | Total change | ||
| Gross gain | 3719.5 | 2640.7 | 1408.3 | 52.0 | 670.8 | 8491.3 | ||
| 1976–1996 | 1996–2016 | |||||||
|---|---|---|---|---|---|---|---|---|
| Gross Loss | Absolute Value of Net Change (Quantity Difference) | Total Change (Quantity Difference + Allocation Difference) | Swap (or Allocation Difference) | Gross Loss | Absolute Value of Net Change (Quantity Difference) | Total Change (Quantity Difference + Allocation Difference) | Swap (Allocation Difference) | |
| Forest | 2922.0 | 2637.4 | 8481.4 | 5844.0 | 3694.6 | 24.8 | 7414.1 | 7389.3 |
| Low vegetation | 4216.7 | 2606.6 | 5826.8 | 3220.1 | 1921.0 | 719.8 | 4561.7 | 3842.0 |
| Barren | 2182.0 | 322.6 | 4041.3 | 3718.8 | 2017.4 | 609.2 | 3425. 7 | 2816.5 |
| Water | 14.4 | 47.7 | 76.4 | 28.7 | 48.2 | 3.8 | 100.2 | 96.4 |
| Developed areas | 728.9 | 244.2 | 1701.9 | 1457.7 | 810.1 | 139.2 | 1480.9 | 1341.6 |
| Total | 10,063.9 | 5858.4 | 20,127.7 | 14,269.4 | 8491.3 | 1496.8 | 16,982.5 | 15,485.7 |
| As percentage of the study area | 17.2% | 14.5% | ||||||
Publisher’s Note: MDPI stays neutral with regard to jurisdictional claims in published maps and institutional affiliations. |
© 2021 by the authors. Licensee MDPI, Basel, Switzerland. This article is an open access article distributed under the terms and conditions of the Creative Commons Attribution (CC BY) license (https://creativecommons.org/licenses/by/4.0/).
Share and Cite
Cribari, V.; Strager, M.P.; Maxwell, A.E.; Yuill, C. Landscape Changes in the Southern Coalfields of West Virginia: Multi-Level Intensity Analysis and Surface Mining Transitions in the Headwaters of the Coal River from 1976 to 2016. Land 2021, 10, 748. https://doi.org/10.3390/land10070748
Cribari V, Strager MP, Maxwell AE, Yuill C. Landscape Changes in the Southern Coalfields of West Virginia: Multi-Level Intensity Analysis and Surface Mining Transitions in the Headwaters of the Coal River from 1976 to 2016. Land. 2021; 10(7):748. https://doi.org/10.3390/land10070748
Chicago/Turabian StyleCribari, Vincenzo, Michael P. Strager, Aaron E. Maxwell, and Charles Yuill. 2021. "Landscape Changes in the Southern Coalfields of West Virginia: Multi-Level Intensity Analysis and Surface Mining Transitions in the Headwaters of the Coal River from 1976 to 2016" Land 10, no. 7: 748. https://doi.org/10.3390/land10070748
APA StyleCribari, V., Strager, M. P., Maxwell, A. E., & Yuill, C. (2021). Landscape Changes in the Southern Coalfields of West Virginia: Multi-Level Intensity Analysis and Surface Mining Transitions in the Headwaters of the Coal River from 1976 to 2016. Land, 10(7), 748. https://doi.org/10.3390/land10070748

