Regional Farmers’ Perception and Societal Issues in Vineyards Affected by High Erosion Rates
Abstract
1. Introduction
2. Materials and Methods
2.1. Study Area
2.2. Farmer’s Perception Survey
2.3. Plant and Soil Analysis
2.4. Ring Infiltration Measurements and Rainfall Simulation Experiments
2.5. Statistical Analysis
3. Results
3.1. Farmers’ Perception
3.2. Weeds and Catch Crop Cover and Biomass Production
3.3. Soil Characteristics
3.4. Infiltration Rates
3.5. Runoff Initiation and Runoff Discharge
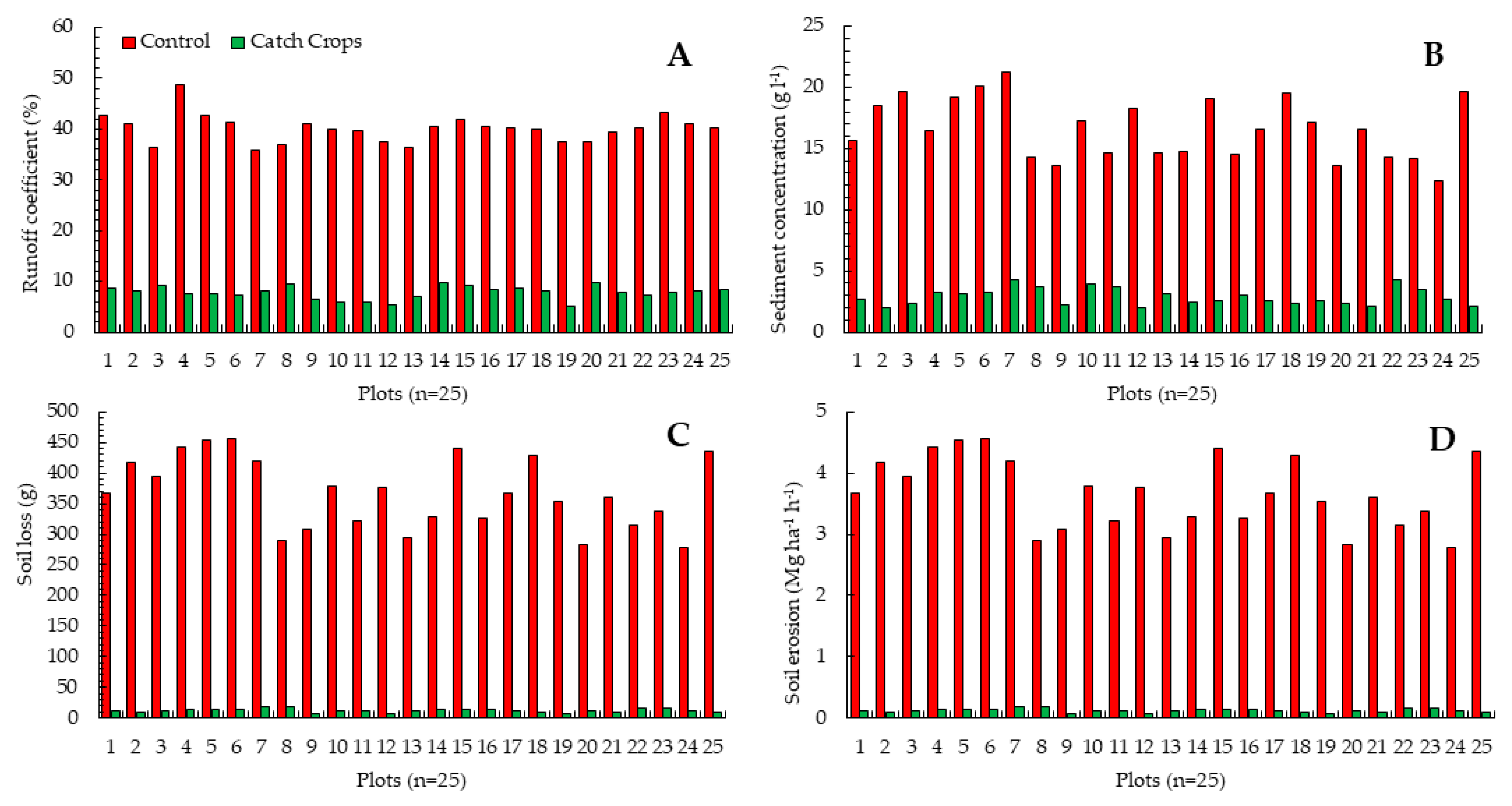
3.6. Runoff, Sediment Concentration, and Soil Erosion
4. Discussion
5. Conclusions
Author Contributions
Funding
Institutional Review Board Statement
Informed Consent Statement
Data Availability Statement
Acknowledgments
Conflicts of Interest
References
- Pappalardo, S.E.; Gislimberti, L.; Ferrarese, F.; Marchi, M.D.; Mozzi, P. Estimation of Potential Soil Erosion in the Prosecco DOCG Area (NE Italy), toward a Soil Footprint of Bottled Sparkling Wine Production in Different Land-Management Scenarios. PLoS ONE 2019, 14, e0210922. [Google Scholar] [CrossRef]
- Quiquerez, A.; Brenot, J.; Garcia, J.-P.; Petit, C. Soil Degradation Caused by a High-Intensity Rainfall Event: Implications for Medium-Term Soil Sustainability in Burgundian Vineyards. Catena 2008, 73, 89–97. [Google Scholar] [CrossRef]
- Berry, E. The Importance of Soil in Fine Wine Production. J. Wine Res. 1990, 1, 179–194. [Google Scholar] [CrossRef]
- Vaudour, E.; Costantini, E.; Jones, G.V.; Mocali, S. An Overview of the Recent Approaches to Terroir Functional Modelling, Footprinting and Zoning. SOIL 2015, 1, 287–312. [Google Scholar] [CrossRef]
- Jones, G.; Snead, N.M.; Nelson, P. Geology and Wine 8. Modeling Viticultural Landscapes: A GIS Analysis of the Terroir Potential in the Umpqua Valley of Oregon. Geosci. Can. 2004, 31, 167–174. [Google Scholar]
- Lugeri, F.R.; Amadio, V.; Bagnaia, R.; Cardillo, A.; Lugeri, N. Landscapes and Wine Production Areas: A Geomorphological Heritage. Geoheritage 2011, 3, 221–232. [Google Scholar] [CrossRef]
- Assandri, G.; Bogliani, G.; Pedrini, P.; Brambilla, M. Assessing Common Birds’ Ecological Requirements to Address Nature Conservation in Permanent Crops: Lessons from Italian Vineyards. J. Environ. Manag. 2017, 191, 145–154. [Google Scholar] [CrossRef]
- Olarieta, J.R.; Rodríguez-Valle, F.L.; Tello, E. Preserving and Destroying Soils, Transforming Landscapes: Soils and Land-Use Changes in the Vallès County (Catalunya, Spain) 1853–2004. Land Use Policy 2008, 25, 474–484. [Google Scholar] [CrossRef]
- Tempesta, T. The Perception of Agrarian Historical Landscapes: A Study of the Veneto Plain in Italy. Landsc. Urban Plan. 2010, 97, 258–272. [Google Scholar] [CrossRef]
- Ramos, M.C.; Martínez-Casasnovas, J.A. Impacts of Annual Precipitation Extremes on Soil and Nutrient Losses in Vineyards of NE Spain. Hydrol. Process. 2009, 23, 224–235. [Google Scholar] [CrossRef]
- Coelho, G.F.; GonÇalves, A.C.; Nóvoa-Muñoz, J.C.; Fernández-Calviño, D.; Arias-Estévez, M.; Fernández-Sanjurjo, M.J.; Álvarez-Rodríguez, E.; Núñez-Delgado, A. Competitive and Non-Competitive Cadmium, Copper and Lead Sorption/Desorption on Wheat Straw Affecting Sustainability in Vineyards. J. Clean. Prod. 2016, 139, 1496–1503. [Google Scholar] [CrossRef]
- Marques, M.J.; Bienes, R.; Cuadrado, J.; Ruiz-Colmenero, M.; Barbero-Sierra, C.; Velasco, A. Analysing Perceptions Attitudes and Responses of Winegrowers about Sustainable Land Management in Central Spain. Land Degrad. Dev. 2015, 26, 458–467. [Google Scholar] [CrossRef]
- Sastre, B.; Barbero-Sierra, C.; Bienes, R.; Marques, M.J.; García-Díaz, A. Soil Loss in an Olive Grove in Central Spain under Cover Crops and Tillage Treatments, and Farmer Perceptions. J. Soils Sediments 2016, 17, 873–888. [Google Scholar] [CrossRef]
- Assefa, E.; Hans-Rudolf, B. Farmers’ Perception of Land Degradation and Traditional Knowledge in Southern Ethiopia—Resilience and Stability. Land Degrad. Dev. 2016, 27, 1552–1561. [Google Scholar] [CrossRef]
- Biratu, A.A.; Asmamaw, D.K. Farmers’ Perception of Soil Erosion and Participation in Soil and Water Conservation Activities in the Gusha Temela Watershed, Arsi, Ethiopia. Int. J. River Basin Manag. 2016, 14, 329–336. [Google Scholar] [CrossRef]
- Rodrigo-Comino, J. Five Decades of Soil Erosion Research in “Terroir”. The State-of-the-Art. Earth-Sci. Rev. 2018, 179, 436–447. [Google Scholar] [CrossRef]
- Salome, C.; Coll, P.; Lardo, E.; Villenave, C.; Blanchart, E.; Hinsinger, P.; Marsden, C.; Le Cadre, E. Relevance of Use-Invariant Soil Properties to Assess Soil Quality of Vulnerable Ecosystems: The Case of Mediterranean Vineyards. Ecol. Indic. 2014, 43, 83–93. [Google Scholar] [CrossRef]
- Salomé, C.; Coll, P.; Lardo, E.; Metay, A.; Villenave, C.; Marsden, C.; Blanchart, E.; Hinsinger, P.; Le Cadre, E. The Soil Quality Concept as a Framework to Assess Management Practices in Vulnerable Agroecosystems: A Case Study in Mediterranean Vineyards. Ecol. Indic. 2016, 61 Pt 2, 456–465. [Google Scholar] [CrossRef]
- Mirás-Avalos, J.M.; Ramírez-Cuesta, J.M.; Fandiño, M.; Cancela, J.J.; Intrigliolo, D.S. Agronomic Practices for Reducing Soil Erosion in Hillside Vineyards under Atlantic Climatic Conditions (Galicia, Spain). Soil Syst. 2020, 4, 19. [Google Scholar] [CrossRef]
- Komárek, M.; Čadková, E.; Chrastný, V.; Bordas, F.; Bollinger, J.-C. Contamination of Vineyard Soils with Fungicides: A Review of Environmental and Toxicological Aspects. Environ. Int. 2010, 36, 138–151. [Google Scholar] [CrossRef]
- Besnard, E.; Chenu, C.; Robert, M. Influence of Organic Amendments on Copper Distribution among Particle-Size and Density Fractions in Champagne Vineyard Soils. Environ. Pollut. 2001, 112, 329–337. [Google Scholar] [CrossRef]
- Ben-Salem, N.; Álvarez, S.; López-Vicente, M. Soil and Water Conservation in Rainfed Vineyards with Common Sainfoin and Spontaneous Vegetation under Different Ground Conditions. Water 2018, 10, 1058. [Google Scholar] [CrossRef]
- Telak, L.J.; Dugan, I.; Bogunovic, I. Soil Management and Slope Impacts on Soil Properties, Hydrological Response, and Erosion in Hazelnut Orchard. Soil Syst. 2021, 5, 5. [Google Scholar] [CrossRef]
- Herrero-Hernández, E.; Rodríguez-Cruz, M.S.; Pose-Juan, E.; Sánchez-González, S.; Andrades, M.S.; Sánchez-Martín, M.J. Seasonal Distribution of Herbicide and Insecticide Residues in the Water Resources of the Vineyard Region of La Rioja (Spain). Sci. Total Environ. 2017, 609, 161–171. [Google Scholar] [CrossRef]
- Calleja-Cervantes, M.E.; Fernández-González, A.J.; Irigoyen, I.; Fernández-López, M.; Aparicio-Tejo, P.M.; Menéndez, S. Thirteen Years of Continued Application of Composted Organic Wastes in a Vineyard Modify Soil Quality Characteristics. Soil Biol. Biochem. 2015, 90, 241–254. [Google Scholar] [CrossRef]
- Battany, M.C.; Grismer, M.E. Development of a Portable Field Rainfall Simulator for Use in Hillside Vineyard Runoff and Erosion Studies. Hydrol. Process. 2000, 14, 1119–1129. [Google Scholar] [CrossRef]
- Martínez-Casasnovas, J.A.; Concepcion Ramos, M. Soil Alteration Due to Erosion, Ploughing and Levelling of Vineyards in North East Spain. Soil Use Manag. 2009, 25, 183–192. [Google Scholar]
- Fried, G.; Cordeau, S.; Metay, A.; Kazakou, E. Relative Importance of Environmental Factors and Farming Practices in Shaping Weed Communities Structure and Composition in French Vineyards. Agric. Ecosyst. Environ. 2019, 275, 1–13. [Google Scholar] [CrossRef]
- López-Vicente, M.; Álvarez, S. Stability and Patterns of Topsoil Water Content in Rainfed Vineyards, Olive Groves, and Cereal Fields under Different Soil and Tillage Conditions. Agric. Water Manag. 2018, 201, 167–176. [Google Scholar] [CrossRef]
- Novara, A.; Cerda, A.; Barone, E.; Gristina, L. Cover Crop Management and Water Conservation in Vineyard and Olive Orchards. Soil Tillage Res. 2021, 208, 104896. [Google Scholar] [CrossRef]
- Chen, D.; Wei, W.; Chen, L. Effects of Terracing Practices on Water Erosion Control in China: A Meta-Analysis. Earth-Sci. Rev. 2017, 173, 109–121. [Google Scholar] [CrossRef]
- Petit, C.; Konold, W.; Höchtl, F. Historic Terraced Vineyards: Impressive Witnesses of Vernacular Architecture. Landsc. Hist. 2012, 33, 5–28. [Google Scholar] [CrossRef]
- Košulič, O.; Hula, V. Rare and Remarkable Spiders (Araneae) from Vineyard Terraces in Pálava Region (South Moravia, Czech Republic). Acta Univ. Agric. Silvic. Mendel. Brun. 2013, 61, 663–676. [Google Scholar] [CrossRef]
- Ramos, M.C.; Porta, J. Analysis of Design Criteria for Vineyard Terraces in the Mediterranean Area of North East Spain. Soil Technol. 1997, 10, 155–166. [Google Scholar] [CrossRef]
- García-Díaz, A.; Bienes, R.; Sastre, B.; Novara, A.; Gristina, L.; Cerdà, A. Nitrogen Losses in Vineyards under Different Types of Soil Groundcover. A Field Runoff Simulator Approach in Central Spain. Agric. Ecosyst. Environ. 2017, 236, 256–267. [Google Scholar] [CrossRef]
- Schmidt, H.-P.; Kammann, C.; Niggli, C.; Evangelou, M.W.H.; Mackie, K.A.; Abiven, S. Biochar and Biochar-Compost as Soil Amendments to a Vineyard Soil: Influences on Plant Growth, Nutrient Uptake, Plant Health and Grape Quality. Agric. Ecosyst. Environ. 2014, 191, 117–123. [Google Scholar] [CrossRef]
- Pardini, A.; Faiello, C.; Longhi, F.; Mancuso, S.; Snowball, R. Cover Crop Species and Their Management in Vineyards and Olive Groves. Adv. Hortic. Sci. 2002, 16, 225–234. [Google Scholar]
- Vrsic, S.; Ivancic, A.; Pulko, B.; Valdhuber, J. Effect of Soil Management Systems on Erosion and Nutrition Loss in Vineyards on Steep Slopes. J. Environ. Biol. 2011, 32, 289–294. [Google Scholar]
- Ramos, M.C.; Martínez-Casasnovas, J.A. Erosion Rates and Nutrient Losses Affected by Composted Cattle Manure Application in Vineyard Soils of NE Spain. CATENA 2006, 68, 177–185. [Google Scholar] [CrossRef]
- Constantin, J.; Mary, B.; Laurent, F.; Aubrion, G.; Fontaine, A.; Kerveillant, P.; Beaudoin, N. Effects of Catch Crops, No till and Reduced Nitrogen Fertilization on Nitrogen Leaching and Balance in Three Long-Term Experiments. Agric. Ecosyst. Environ. 2010, 135, 268–278. [Google Scholar] [CrossRef]
- Komainda, M.; Taube, F.; Kluß, C.; Herrmann, A. Above- and Belowground Nitrogen Uptake of Winter Catch Crops Sown after Silage Maize as Affected by Sowing Date. Eur. J. Agron. 2016, 79, 31–42. [Google Scholar] [CrossRef]
- Kabelka, D.; Kincl, D.; Janeček, M.; Vopravil, J.; Vráblík, P. Reduction in Soil Organic Matter Loss Caused by Water Erosion in Inter-Rows of Hop Gardens. Soil Water Res. 2019, 14(2019), 172–182. [Google Scholar] [CrossRef]
- Beniaich, A.; Silva, M.L.N.; Guimarães, D.V.; Bispo, D.F.A.; Avanzi, J.C.; Curi, N.; Pio, R.; Dondeyne, S.; Beniaich, A.; Silva, M.L.N.; et al. Assessment of Soil Erosion in Olive Orchards (Olea Europaea L.) under Cover Crops Management Systems in the Tropical Region of Brazil. Revista Brasileira de Ciência do Solo 2020, 44, 25–37. [Google Scholar] [CrossRef]
- Malcolm, B.J.; de Ruiter, J.M.; Dalley, D.E.; Carrick, S.; Waugh, D.; Arnold, N.P.; Dellow, S.J.; Beare, M.H.; Johnstone, P.R.; Wohlers, M.; et al. Catch Crops and Feeding Strategy Can Reduce the Risk of Nitrogen Leaching in Late Lactation Fodder Beet Systems. N. Z. J. Agric. Res. 2020, 63, 44–64. [Google Scholar] [CrossRef]
- Ferreira, C.S.; Veiga, A.; Caetano, A.; Gonzalez-Pelayo, O.; Karine-Boulet, A.; Abrantes, N.; Keizer, J.; Ferreira, A.J. Assessment of the Impact of Distinct Vineyard Management Practices on Soil Physico-Chemical Properties. Air Soil Water Res. 2020, 13, 1178622120944847. [Google Scholar] [CrossRef]
- Martínez-Casasnovas, J.A. A Spatial Information Technology Approach for the Mapping and Quantification of Gully Erosion. Catena 2003, 50, 293–308. [Google Scholar] [CrossRef]
- Rodrigo-Comino, J.; Terol, E.; Mora, G.; Giménez-Morera, A.; Cerdà, A. Vicia Sativa Roth. Can Reduce Soil and Water Losses in Recently Planted Vineyards (Vitis Vinifera L.). Earth Syst. Environ. 2020, 4, 827–842. [Google Scholar] [CrossRef]
- Novara, A.; Favara, V.; Novara, A.; Francesca, N.; Santangelo, T.; Columba, P.; Chironi, S.; Ingrassia, M.; Gristina, L. Soil Carbon Budget Account for the Sustainability Improvement of a Mediterranean Vineyard Area. Agronomy 2020, 10, 336. [Google Scholar] [CrossRef]
- Quiquerez, A.; Chevigny, E.; Allemand, P.; Curmi, P.; Petit, C.; Grandjean, P. Assessing the Impact of Soil Surface Characteristics on Vineyard Erosion from Very High Spatial Resolution Aerial Images (Côte de Beaune, Burgundy, France). Catena 2014, 116, 163–172. [Google Scholar] [CrossRef]
- Follain, S.; Ciampalini, R.; Crabit, A.; Coulouma, G.; Garnier, F. Effects of Redistribution Processes on Rock Fragment Variability within a Vineyard Topsoil in Mediterranean France. Geomorphology 2012, 175–176, 45–53. [Google Scholar] [CrossRef]
- Hacisalihoglu, S. Determination of Soil Erosion in a Steep Hill Slope with Different Land-Use Types: A Case Study in Mertesdorf (Ruwertal/Germany). J. Environ. Biol. 2007, 28, 433–438. [Google Scholar] [PubMed]
- Arnáez, J.; Larrea, V.; Ortigosa, L. Surface Runoff and Soil Erosion on Unpaved Forest Roads from Rainfall Simulation Tests in Northeastern Spain. Catena 2004, 57, 1–14. [Google Scholar] [CrossRef]
- Soil Survey Staff Keys to Soil Taxonomy, 12th ed.; USDA-Natural Resources Conservation Service: Washington, DC, USA; New York, NY, USA, 2014.
- Deshpande, V.V.; Telang, M.S. Pipet Method of Sedimentation Analysis. Rapid Determination of Distribution of Particle Size. Anal. Chem. 1950, 22, 840–841. [Google Scholar] [CrossRef]
- Walkley, A.; Black, I.A. An Examination of the Degtjareff Method for Determining Soil Organic Matter, and a Proposed Modification of the Chromic Acid Titration Method. Soil Sci. 1934, 37, 29–38. [Google Scholar] [CrossRef]
- Cerdà, A.; Novara, A.; Dlapa, P.; López-Vicente, M.; Úbeda, X.; Popovic, Z.; Mekonnen, M.; Terol, E.; Janizadeh, S.; Mbarki, S.; et al. Rainfall and Water Yield in Macizo Del Caroig, Eastern Iberian Peninsula. Event Runoff at Plot Scale during a Rare Flash Flood at the Barranco de Benacancil. Cuadernos de Investigación Geográfica 2021, 1–17. [Google Scholar] [CrossRef]
- Keesstra, S.; Nunes, J.P.; Saco, P.; Parsons, T.; Poeppl, R.; Masselink, R.; Cerdà, A. The Way Forward: Can Connectivity Be Useful to Design Better Measuring and Modelling Schemes for Water and Sediment Dynamics? Sci. Total Environ. 2018, 644, 1557–1572. [Google Scholar] [CrossRef]
- Novara, A.; Pulido, M.; Rodrigo-Comino, J.; Prima, S.D.; Smith, P.; Gristina, L.; Gimenez-Morera, A.; Terol, E.; Salesa, D.; Keesstra, S. Long-Term Organic Farming on a Citrus Plantation Results in Soil Organic Carbon Recovery. Cuadernos de Investigación Geográfica 2019, 45, 271–286. [Google Scholar] [CrossRef]
- Novara, A.; Catania, V.; Tolone, M.; Gristina, L.; Laudicina, V.A.; Quatrini, P. Cover Crop Impact on Soil Organic Carbon, Nitrogen Dynamics and Microbial Diversity in a Mediterranean Semiarid Vineyard. Sustainability 2020, 12, 3256. [Google Scholar] [CrossRef]
- Böldt, M.; Taube, F.; Vogeler, I.; Reinsch, T.; Kluß, C.; Loges, R. Evaluating Different Catch Crop Strategies for Closing the Nitrogen Cycle in Cropping Systems—Field Experiments and Modelling. Sustainability 2021, 13, 394. [Google Scholar] [CrossRef]
- Malcolm, B.; Maley, S.; Teixeira, E.; Johnstone, P.; de Ruiter, J.; Brown, H.; Armstrong, S.; Dellow, S.; George, M. Performance of Winter-Sown Cereal Catch Crops after Simulated Forage Crop Grazing in Southland, New Zealand. Plants 2021, 10, 108. [Google Scholar] [CrossRef]
- Kühling, I.; Beiküfner, M.; Vergara, M.; Trautz, D. Effects of Adapted N-Fertilisation Strategies on Nitrate Leaching and Yield Performance of Arable Crops in North-Western Germany. Agronomy 2021, 11, 64. [Google Scholar] [CrossRef]
- Harasim, E.; Antonkiewicz, J.; Kwiatkowski, C.A. The Effects of Catch Crops and Tillage Systems on Selected Physical Properties and Enzymatic Activity of Loess Soil in a Spring Wheat Monoculture. Agronomy 2020, 10, 334. [Google Scholar] [CrossRef]
- Sałata, A.; Pandino, G.; Buczkowska, H.; Lombardo, S. Influence of Catch Crops on Yield and Chemical Composition of Winter Garlic Grown for Bunch Harvesting. Agriculture 2020, 10, 134. [Google Scholar] [CrossRef]
- Keesstra, S.D.; Kondrlova, E.; Czajka, A.; Seeger, M.; Maroulis, J. Assessing riparian zone impacts on water and sediment movement: A new approach. Neth. J. Geosci. 2012, 91, 245–255. [Google Scholar] [CrossRef]
- Keesstra, S.; Mol, G.; De Leeuw, J.; Okx, J.; Molenaar, C.; De Cleen, M.; Visser, S. Soil-Related Sustainable Development Goals: Four Concepts to Make Land Degradation Neutrality and Restoration Work. Land 2018, 7, 133. [Google Scholar] [CrossRef]
- Cerdà, A.; Borja, M.E.L.; Úbeda, X.; Martínez-Murillo, J.F.; Keesstra, S. Pinus halepensis M. versus Quercus ilex subsp. Rotundifolia L. runoff and soil erosion at pedon scale under natural rainfall in Eastern Spain three decades after a forest fire. For. Ecol. Manag. 2017, 400, 447–456. [Google Scholar] [CrossRef]
- Antoneli, V.; Mosele, A.C.; Bednarz, J.A.; Pulido-Fernández, M.; Lozano-Parra, J.; Keesstra, S.D.; Rodrigo-Comino, J. Effects of applying liquid swine manure on soil quality and yield production in tropical soybean crops (Parana, Brazil). Sustainability 2019, 11, 3898. [Google Scholar] [CrossRef]
- Keesstra, S.D.; Bouma, J.; Wallinga, J.; Tittonell, P.; Smith, P.; Cerdà, A.; Montanarella, L.; Quinton, J.N.; Pachepsky, Y.; van der Putten, W.H.; et al. The Significance of Soils and Soil Science towards Realization of the United Nations Sustainable Development Goals. SOIL 2016, 2, 111–128. [Google Scholar] [CrossRef]
- Visser, S.; Keesstra, S.; Maas, G.; de Cleen, M.; Molenaar, C. Soil as a Basis to Create Enabling Conditions for Transitions Towards Sustainable Land Management as a Key to Achieve the SDGs by 2030. Sustainability 2019, 11, 6792. [Google Scholar] [CrossRef]
- Zambon, I.; Cerdà, A.; Cividino, S.; Salvati, L. The (Evolving) Vineyard’s Age Structure in the Valencian Community, Spain: A New Demographic Approach for Rural Development and Landscape Analysis. Agriculture 2019, 9, 59. [Google Scholar] [CrossRef]
- O’Meara, P. The Ageing Farming Workforce and the Health and Sustainability of Agricultural Communities: A Narrative Review. Aust. J. Rural Health 2019, 27, 281–289. [Google Scholar] [CrossRef]
- Xu, D.; Ma, Z.; Deng, X.; Liu, Y.; Huang, K.; Zhou, W.; Yong, Z. Relationships between Land Management Scale and Livelihood Strategy Selection of Rural Households in China from the Perspective of Family Life Cycle. Land 2020, 9, 11. [Google Scholar] [CrossRef]
- Perpiña Castillo, C.; Coll Aliaga, E.; Lavalle, C.; Martínez Llario, J.C. An Assessment and Spatial Modelling of Agricultural Land Abandonment in Spain (2015–2030). Sustainability 2020, 12, 560. [Google Scholar] [CrossRef]
- Onofri, L.; Trestini, S.; Boatto, V. Who Is Afraid of Biotic Threats? An Econometric Analysis of Veneto Wine Grape Farmers’ Propensity to Insure. Agriculture 2020, 10, 336. [Google Scholar] [CrossRef]
- Ravankar, A.; Ravankar, A.A.; Watanabe, M.; Hoshino, Y.; Rawankar, A. Development of a Low-Cost Semantic Monitoring System for Vineyards Using Autonomous Robots. Agriculture 2020, 10, 182. [Google Scholar] [CrossRef]
- Trilles, S.; Torres-Sospedra, J.; Belmonte, Ó.; Zarazaga-Soria, F.J.; González-Pérez, A.; Huerta, J. Development of an Open Sensorized Platform in a Smart Agriculture Context: A Vineyard Support System for Monitoring Mildew Disease. Sustain. Comput. Inform. Syst. 2020, 28, 100309. [Google Scholar] [CrossRef]
- Fantappiè, M.; Lorenzetti, R.; De Meo, I.; Costantini, E.A.C. How to Improve the Adoption of Soil Conservation Practices? Suggestions from Farmers’ Perception in Western Sicily. J. Rural Stud. 2020, 73, 186–202. [Google Scholar] [CrossRef]
- Novara, A.; Gristina, L.; Guaitoli, F.; Santoro, A.; Cerdà, A. Managing Soil Nitrate with Cover Crops and Buffer Strips in Sicilian Vineyards. Solid Earth 2013, 4, 255–262. [Google Scholar] [CrossRef]
- Steenwerth, K.; Belina, K.M. Cover Crops and Cultivation: Impacts on Soil N Dynamics and Microbiological Function in a Mediterranean Vineyard Agroecosystem. Appl. Soil Ecol. 2008, 40, 370–380. [Google Scholar] [CrossRef]
- Wandel, M.; Bugge, A. Environmental Concern in Consumer Evaluation of Food Quality. Food Qual. Prefer. 1997, 8, 19–26. [Google Scholar] [CrossRef]
- Francis, C.; Lieblein, G.; Gliessman, S.; Breland, T.A.; Creamer, N.; Harwood, R.; Salomonsson, L.; Helenius, J.; Rickerl, D.; Salvador, R.; et al. Agroecology: The Ecology of Food Systems. J. Sustain. Agric. 2003, 22, 99–118. [Google Scholar] [CrossRef]
- An, H.; Tang, Z.; Keesstra, S.; Shangguan, Z. Impact of desertification on soil and plant nutrient stoichiometry in a desert grassland. Sci. Reports 2019, 9, 1–8. [Google Scholar] [CrossRef]
- Antoneli, V.; Mosele, A.C.; Bednarz, J.A.; Pulido-Fernández, M.; Lozano-Parra, J.; Keesstra, S.D.; Rodrigo-Comino, J. Effects of applying liquid swine manure on soil quality and yield production in tropical soybean crops (Parana, Bra-zil). Sustainability 2019, 11, 3898. [Google Scholar] [CrossRef]
- Pisciotta, A.; Di Lorenzo, R.; Novara, A.; Laudicina, V.A.; Barone, E.; Santoro, A.; Barbagallo, M.G. Cover Crop and Pruning Residue Management to Reduce Nitrogen Mineral Fertilization in Mediterranean Vineyards. Agronomy 2021, 11, 164. [Google Scholar] [CrossRef]
- Novara, A.; Sarno, M.; Pereira, P.; Cerdà, A.; Brevik, E.C.; Gristina, L. Straw uses trade-off only after soil organic carbon steady-state. Italian J. Agronomy 2018, 13, 216–220. [Google Scholar] [CrossRef]
- Novara, A.; Pisciotta, A.; Minacapilli, M.; Maltese, A.; Capodici, F.; Cerdà, A.; Gristina, L. The impact of soil erosion on soil fertility and vine vigor. A multidisciplinary approach based on field, laboratory and remote sensing approaches. Sci. Total Environ. 2018, 622, 474–480. [Google Scholar] [CrossRef]








| Questions (n = 64) | Yes (nº) | Yes (%) | |
|---|---|---|---|
| Gender | Female | 8 | 12.5 |
| Knowledge | Do you know what Vetch is? | 42 | 65.6 |
| Do you know what Alfalfa is? | 50 | 78.1 | |
| Do you know what a catch crop is? | 7 | 10.9 | |
| Do you know what soil erosion is? | 57 | 89.1 | |
| Opinion | Is soil erosion a problem for soil fertility? | 16 | 25.0 |
| Is soil erosion a problem for vehicles and transport? | 56 | 87.5 | |
| Do you like to have catch crops in your vineyard? | 18 | 28.1 | |
| Do you use catch crops in your vineyard | 3 | 4.7 | |
| Do you think catch crops reduce soil losses? | 17 | 26.6 | |
| Do you know catch crops can enhance infiltration? | 20 | 31.3 | |
| Do catch crops compete with the water for the vineyards and damage the production? | 49 | 76.6 | |
| Do you think catch crops improve soil quality? | 3 | 4.7 | |
| Is catch-crop dirt management? | 60 | 93.8 | |
| Do you avoid catch crops because is more expensive | 22 | 34.4 | |
| Do you avoid catch crops because of enhancing pests?? | 43 | 67.2 | |
| Reputation and incomes and subsidies | Would you use catch crops if they will be subsidized? | 30 | 46.9 |
| Is the use of catch crops improving your reputation as a farmer? | 1 | 1.6 | |
| Do the catch crops increase your income? | 0 | 0.0 | |
| Organic versus chemical farming | Is organic farming a solution for the farmer? | 13 | 20.3 |
| Is organic farming a solution for the farmer because of economic issues? | 27 | 42.2 | |
| Is organic farming a solution for the farmer because of health issues? | 34 | 53.1 | |
| Is chemical farming a problem for the farmer because of health issues? | 41 | 64.1 | |
| Do you have a successor for your farm? | 21 | 32.8 | |
| Does the use of chemicals will affect future generations? | 54 | 84.4 | |
| Have you been in contact with chemicals that are now recognized as no healthy? | 60 | 93.8 | |
| Did the EU policies (subsidies) improved the environmental conditions of your region?? | 41 | 64.1 | |
| Did you see an improvement in the economy after the EU applied the CAP in your region? | 29 | 45.3 | |
| Did you see an improvement in the economy in the last 10 years for the farmers? | 11 | 17.2 | |
| Does it depend on the subsidies for the success of organic farming? | 49 | 76.6 | |
| Age | How old are you? | 52.91 |
| Unit | Plant Cover % | Fresh Biomass g | Fresh Biomass g m−2 | Dry Biomass g m−2 | Moisture g m−2 | Dry Biomass % | Moisture % | |||||||
|---|---|---|---|---|---|---|---|---|---|---|---|---|---|---|
| C | CC | C | CC | C | CC | C | CC | C | CC | C | CC | C | CC | |
| Av | 2.0 | 40.9 | 0.9 | 35.9 | 3.7 | 143.8 | 0.4 | 17.1 | 3.3 | 126.6 | 11.4 | 12.0 | 88.6 | 88.0 |
| Sd | 1 | 9 | 0 | 11 | 2 | 43 | 0 | 5 | 2 | 39 | 1 | 1 | 1 | 1 |
| Max | 6 | 57 | 2 | 55 | 8 | 221 | 1 | 27 | 7 | 196 | 14 | 16 | 90 | 89 |
| Min | 0 | 18 | 0 | 20 | 1 | 79 | 0 | 10 | 0 | 69 | 10 | 11 | 86 | 84 |
| Plots | Tp (s) | Tr (s) | Tp-Tr (s) | Tro (s) | Tr-Tro (s) | |||||
|---|---|---|---|---|---|---|---|---|---|---|
| n = 20 | C | CC | C | CC | C | CC | C | CC | C | CC |
| Av | 80.4 | 135.8 | 120.7 | 448.2 | 40.9 | 314.1 | 339.2 | 867.5 | 219.2 | 429.4 |
| Sd | 20 | 34 | 30 | 118 | 13 | 94 | 83 | 210 | 56 | 116 |
| Max | 98 | 173 | 142 | 598 | 60 | 460 | 401 | 996 | 282 | 610 |
| Min | 7.4 | 9.9 | 7.9 | 57.2 | 10.4 | 58.7 | 29.5 | 48.7 | 28.8 | 83.0 |
| Diff. | P = <0.001 | P = <0.001 | P = <0.001 | P = <0.001 | P = <0.001 | |||||
Publisher’s Note: MDPI stays neutral with regard to jurisdictional claims in published maps and institutional affiliations. |
© 2021 by the authors. Licensee MDPI, Basel, Switzerland. This article is an open access article distributed under the terms and conditions of the Creative Commons Attribution (CC BY) license (http://creativecommons.org/licenses/by/4.0/).
Share and Cite
Cerdà, A.; Rodrigo-Comino, J. Regional Farmers’ Perception and Societal Issues in Vineyards Affected by High Erosion Rates. Land 2021, 10, 205. https://doi.org/10.3390/land10020205
Cerdà A, Rodrigo-Comino J. Regional Farmers’ Perception and Societal Issues in Vineyards Affected by High Erosion Rates. Land. 2021; 10(2):205. https://doi.org/10.3390/land10020205
Chicago/Turabian StyleCerdà, Artemi, and Jesús Rodrigo-Comino. 2021. "Regional Farmers’ Perception and Societal Issues in Vineyards Affected by High Erosion Rates" Land 10, no. 2: 205. https://doi.org/10.3390/land10020205
APA StyleCerdà, A., & Rodrigo-Comino, J. (2021). Regional Farmers’ Perception and Societal Issues in Vineyards Affected by High Erosion Rates. Land, 10(2), 205. https://doi.org/10.3390/land10020205
