Short-Term Impacts of Remeandering Restoration Efforts on Fish Community Structure in a Fourth-Order Stream
Abstract
:1. Introduction
2. Materials and Methods
2.1. Field and Survey Site Descriptions
2.2. Restoration Process and Goals
2.3. Measurement of Habitat Variables
2.4. Fish Surveys
2.5. Data Analysis
3. Results
3.1. Canopy Cover, Depth, and Substrate Type
3.2. Effects on Fish Diversity and Community Composition
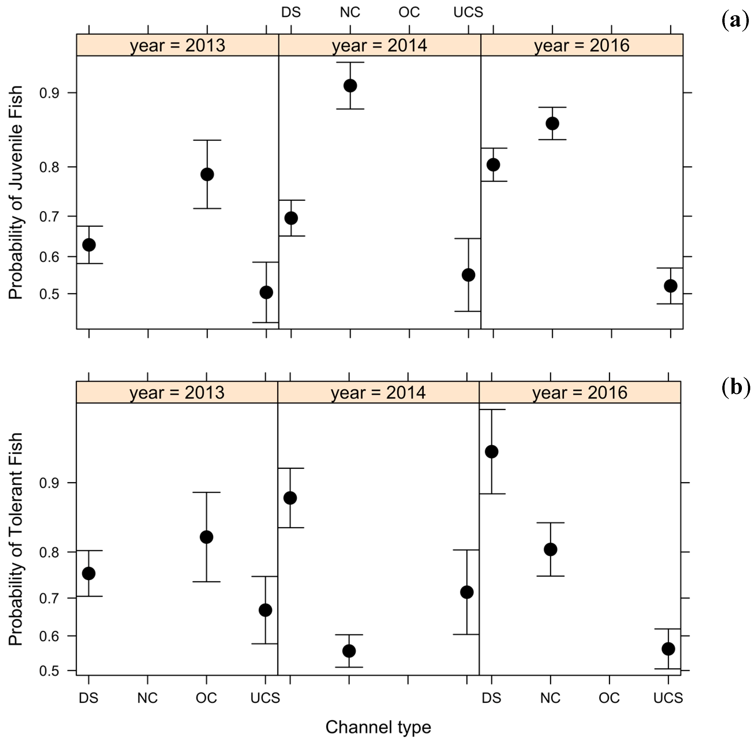
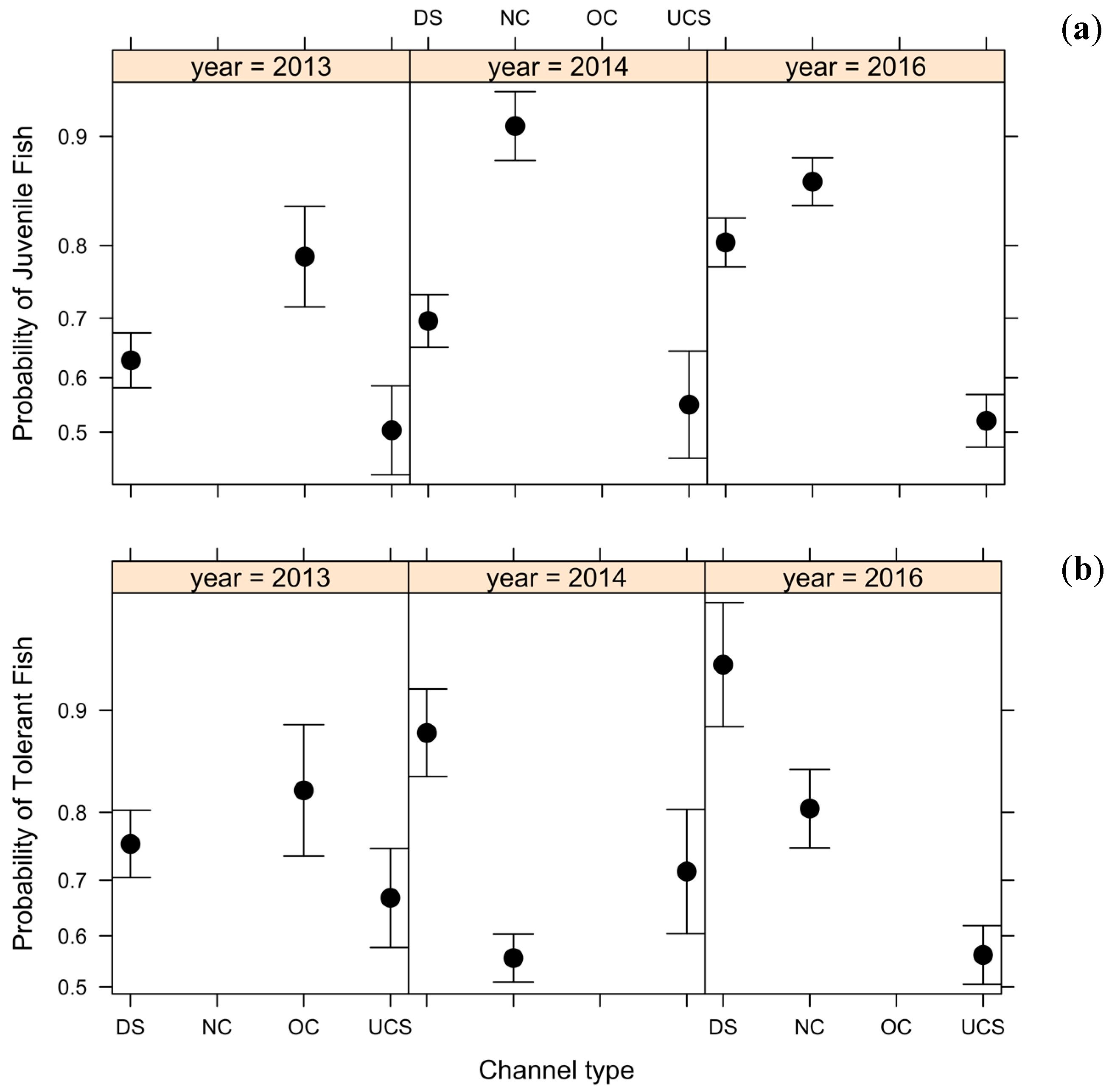
3.3. Effects on Juvenile and Tolerant Fish
4. Discussion
Supplementary Materials
Acknowledgments
Author Contributions
Conflicts of Interest
References
- Bernhardt, E.S.; Palmer, M.A.; Allan, J.D.; Alexander, G.; Barnas, K.; Brooks, S.; Carr, J.; Clayton, S.; Dahm, C.; Follstad-Shah, J.; et al. Synthesizing U.S. river restoration efforts. Science 2005, 308, 636–637. [Google Scholar] [CrossRef] [PubMed]
- Jähnig, S.C.; Lorenz, A.W.; Hering, D.; Antons, C.; Sundermann, A.; Jedicke, E.; Haase, P. River restoration success: A question of perception. Ecol. Appl. 2011, 21, 2007–2015. [Google Scholar] [CrossRef] [PubMed]
- Palmer, M.A.; Hondula, K.L.; Koch, B.J. Ecological restoration of streams and rivers: Shifting strategies and shifting goals. Annu. Rev. Ecol. Evol. Syst. 2014, 45, 247–269. [Google Scholar] [CrossRef]
- Brooks, S.S.; Lake, P.S. River restoration in Victoria, Australia: Change is in the wind, and none too soon. Restor. Ecol. 2007, 15, 584–591. [Google Scholar] [CrossRef]
- Tullos, D.D.; Penrose, D.L.; Jennings, G.D. Analysis of functional traits in reconfigured channels: Implications for the bioassessment and disturbance of river restoration. J. N. Am. Benthol. Soc. 2009, 28, 80–92. [Google Scholar] [CrossRef]
- Doyle, M.W.; Shields, F.D. Compensatory mitigation for streams under the Clean Water Act: Reassessing science and redirecting policy. JAWRA 2012, 48, 494–509. [Google Scholar] [CrossRef]
- Department of Defense; Environmental Protection Agency. Compensatory mitigation for losses of aquatic resources (40 CFR Part 230). Fed. Regist. 2008, 73, 19594–19705. [Google Scholar]
- Poff, N.L.; Richter, B.D.; Arthington, A.H.; Bunn, S.E.; Naiman, R.J.; Kendy, E.; Acreman, M.; Apse, C.; Bledsoe, B.P.; Freeman, M.C.; et al. The ecological limits of hydrologic alteration (ELOHA): A new framework for developing regional environmental flow standards. Freshw. Biol. 2010, 55, 147–170. [Google Scholar] [CrossRef]
- Louhi, P.; Mykrä, H.; Paavola, R.; Huusko, A.; Vehanen, T.; Mäki-Petäys, A.; Muotka, T. Twenty years of stream restoration in Finland: Little response by benthic macroinvertebrate communities. Ecol. Appl. 2011, 21, 1950–1961. [Google Scholar] [CrossRef] [PubMed]
- Moerke, A.H.; Lamberti, G.A. Responses in fish community structure to restoration of two Indiana streams. N. Am. J. Fish. Manag. 2003, 23, 748–759. [Google Scholar] [CrossRef]
- Sudduth, E.B.; Hassett, B.A.; Cada, P.; Bernhardt, E.S. Testing the field of dreams hypothesis: Functional responses to urbanization and restoration in stream ecosystems. Ecol. Appl. 2011, 21, 1972–1988. [Google Scholar] [CrossRef] [PubMed]
- Karr, J.R. Assessment of biotic integrity using fish communities. Fisheries 1981, 6, 21–27. [Google Scholar] [CrossRef]
- Haase, P.; Hering, D.; Jähnig, S.C.; Lorenz, A.W.; Sundermann, A. The impact of hydromorphological restoration on river ecological status: A comparison of fish, benthic invertebrates, and macrophytes. Hydrobiologia 2013, 704, 475–488. [Google Scholar] [CrossRef]
- Shields, F.D., Jr.; Knight, S.S.; Cooper, C.M. Can warmwater streams be rehabilitated using watershed-scale standard erosion control measures alone? Environ. Manag. 2007, 40, 62–79. [Google Scholar] [CrossRef] [PubMed]
- Kail, J.; Brabec, K.; Poppe, M.; Januschke, K. The effect of river restoration on fish, macroinvertebrates and aquatic macrophytes: A meta-analysis. Ecol. Indic. 2015, 58, 311–321. [Google Scholar] [CrossRef]
- Pretty, J.L.; Harrison, S.S.C.; Shepherd, D.J.; Smith, C.; Hildrew, A.G.; Hey, R.D. River rehabilitation and fish populations: Assessing the benefit of instream structures. J. Appl. Ecol. 2003, 40, 251–265. [Google Scholar] [CrossRef]
- Lepori, F.; Palm, D.; Brännäs, E.; Malmqvist, B. Does restoration of structural heterogeneity instreams enhance fish and macroinvertebrate diversity? Ecol. Appl. 2005, 15, 2060–2071. [Google Scholar] [CrossRef]
- Stranko, S.A.; Hilderbrand, R.H.; Palmer, M.A. Comparing the fish and benthic macroinvertebrate diversity of restored urban streams to reference streams. Restor. Ecol. 2012, 20, 747–755. [Google Scholar] [CrossRef]
- Schwartz, J.S.; Herricks, E.E. Evaluation of pool-riffle naturalization structures on habitat complexity and the fish community in an urban Illinois stream. River Res. Appl. 2007, 23, 451–466. [Google Scholar] [CrossRef]
- Cederholm, C.J.; Bilby, R.E.; Bisson, P.A.; Bumstead, T.W.; Fransen, B.R.; Scarlett, W.J.; Ward, J.W. Response of juvenile coho salmon and steelhead to placement of large woody debris in a coastal Washington stream. N. Am. J. Fish. Manag. 1997, 17, 947–963. [Google Scholar] [CrossRef]
- Hrodey, P.J.; Sutton, T.M. Fish community responses to half-log additions in warmwater streams. N. Am. J. Fish. Manag. 2008, 28, 70–80. [Google Scholar] [CrossRef]
- Whiteway, S.L.; Biron, P.M.; Zimmermann, A.; Venter, O.; Grant, J.W.A. Do in-stream restoration structures enhance salmonid abundance? A meta-analysis. Can. J. Fish. Aquat. Sci. 2010, 67, 831–841. [Google Scholar] [CrossRef]
- Stewart, G.B.; Bayliss, H.R.; Showler, D.A.; Sutherland, W.J.; Pullin, A.S. Effectiveness of engineered in-stream structure mitigation measures to increase salmonid abundance: A systematic review. Ecol. Appl. 2009, 19, 931–941. [Google Scholar] [CrossRef] [PubMed]
- Martin, S.C. Mahoning River Watershed Action Plan; Youngstown State University: Youngstown, OH, USA, 2004; Available online: http://www.mahoningriver.com/Mahoning%20River%20WAP.pdf (accessed on 31 May 2017).
- Wolman, M.G. A method of sampling coarse river-bed material. Trans. Am. Geophys. Union 1954, 15, 951–956. [Google Scholar] [CrossRef]
- Clark, J.M.; Kershner, M.W.; Holomuzki, J.R. Grain size and sorting effects on size-dependent responses by lotic crayfish to high flows. Hydrobiologia 2008, 610, 55–66. [Google Scholar] [CrossRef]
- R Development Core Team. R: A Language and Environment for Statistical Computing; R Foundation for Statistical Computing: Vienna, Austria, 2016; Available online: https://www.R-project.org/ (accessed on 19 July 2017).
- Bocard, D.; Legendre, P.; Drapeau, P. Partialling out the spatial component of ecological variation. Ecology 1992, 73, 1045–1055. [Google Scholar] [CrossRef]
- Legendre, P.; Legendre, L. Numerical Ecology; Elsevier Science: Amsterdam, The Netherlands, 1998; p. 853. ISBN 9780080537870. [Google Scholar]
- Anderson, M.J.; Ellingsen, K.E.; McArdle, B.H. Multivariate dispersion as a measure of beta diversity. Ecol. Lett. 2006, 9, 683–693. [Google Scholar] [CrossRef] [PubMed]
- Legendre, P.; Gallagher, E.D. Ecologically meaningful transformations for ordination of species data. Oecologia 2001, 129, 271–280. [Google Scholar] [CrossRef] [PubMed]
- Crawley, M.J. The R Book; John Wiley & Sons, Ltd.: West Sussex, UK, 2007; p. 942. [Google Scholar]
- Oksanen, J.; Blanchet, F.G.; Friendly, M.; Kindt, R.; Legendre, P.; McGlinn, D.; Minchin, P.R.; O’Hara, R.B.; Simpson, G.L.; Solymos, P.; et al. Vegan: Community Ecology Package. R Package Version 2.4-2. 2017. Available online: https://CRAN.R-project.org/package=vegan/ (accessed on 19 July 2017).
- Trautman, M.B. Fishes of Ohio; Ohio State University Press: Columbus, OH, USA, 1981; ISBN 0-8142-0213-6. [Google Scholar]
- Grabarkiewicz, J.D.; Davis, W.S. An Introduction to Freshwater Fishes as Biological Indicators; United States United States Environmental Protection Agency: Washington, DC, USA, 2008; pp. 1–79.
- Ernst, A.G.; Warren, D.R.; Baldigo, B.P. Natural-channel-design restorations that changed geomorphology have little effect on macroinvertebrate communities in headwater streams. Restor. Ecol. 2012, 20, 532–540. [Google Scholar] [CrossRef]
- Violin, C.R.; Cada, P.; Sudduth, E.B.; Hassett, B.A.; Penrose, D.L.; Bernhardt, E.S. Effects of urbanization and urban stream restoration on the physical and biological structure of stream ecosystems. Ecol. Appl. 2011, 21, 1932–1949. [Google Scholar] [CrossRef] [PubMed]
- Kiffney, P.M.; Richardson, J.S.; Bull, J.P. Responses of periphyton and insects to experimental manipulation of riparian buffer width along forest streams. J. Appl. Ecol. 2003, 40, 1060–1076. [Google Scholar] [CrossRef]
- Clark, J.M.; Drinkard, M.K. Short-term impacts of remeandering restoration practices on macroinvertebrate assemblages in a fourth-order stream. Unpublished work, manuscript in preparation. 2017. [Google Scholar]
- Ernst, A.G.; Baldigo, B.P.; Mulvihill, C.I. Effects of natural-channel-design restoration on habitat quality in catskill mountain streams, New York. Trans. Am. Fish. Soc. 2010, 139, 468–482. [Google Scholar] [CrossRef]
- Fausch, K.D.; Torgersen, C.E.; Baxter, C.V.; Li, H.W. Landscapes to riverscapes: Bridging the gap between research and conservation of stream fishes. BioScience 2002, 52, 483–498. [Google Scholar] [CrossRef]
- Stoll, S.; Kail, J.; Lorenz, A.W.; Sundermann, A.; Haase, P. The importance of the regional species pool, ecological species traits and local habitat conditions for the colonization of restored river reaches by fish. PLoS ONE 2014, 9, e84741. [Google Scholar] [CrossRef] [PubMed]
- Stoll, S.; Sundermann, A.; Lorenz, A.W.; Kail, J.; Haase, P. Small and impoverished regional species pools constrain colonisation of restored river reaches by fishes. Freshw. Biol. 2013, 58, 664–674. [Google Scholar] [CrossRef]
- Baldigo, B.P.; Warren, D.R.; Ernst, A.G.; Mulvihill, C.I. Response of fish populations to natural channel design restoration in streams of the Catskill Mountains, New York. N. Am. J. Fish. Manag. 2008, 28, 954–969. [Google Scholar] [CrossRef]
- Baldigo, B.P.; Ernst, A.G.; Warren, D.R.; Miller, S.J. Variable responses of fish assemblages, habitat, and stability to natural-channel-design restoration in Catskill Mountain Streams. Trans. Am. Fish. Soc. 2010, 139, 449–467. [Google Scholar] [CrossRef]
- Klein, L.R.; Clayton, S.R.; Alldredge, J.R.; Goodwin, P. Long-term monitoring and evaluation of the Lower Red River Meadow Restoration Project, Idaho, USA. Restor. Ecol. 2007, 15, 223–239. [Google Scholar] [CrossRef]
- Moerke, A.H.; Gerard, K.J.; Latimore, J.A.; Hellenthal, R.A.; Lamberti, G.A. Restoration of an Indiana, USA, stream: Bridging the gap between basic and applied lotic ecology. J. N. Am. Benthol. Soc. 2004, 23, 647–660. [Google Scholar] [CrossRef]
- Jungwirth, M.; Muhar, S.; Schmutz, S. The effects of recreated instream and ecotone structures on the fish fauna of an epipotamal river. Hydrobiologia 1995, 303, 195–206. [Google Scholar] [CrossRef]
- Langler, G.J.; Smith, C. Effects of habitat enhancement on 0-group fishes in a lowland river. Regul. Rivers Res. Mgmt. 2001, 17, 677–686. [Google Scholar] [CrossRef]
- Lorenz, A.W.; Stoll, S.; Sundermann, A.; Haase, P. Do adult and YOY fish benefit from river restoration measures? Ecol. Eng. 2013, 61, 174–181. [Google Scholar] [CrossRef]
- Wolter, C.; Arlinghaus, R. Navigation impacts on freshwater fish assemblages: The ecological relevance of swimming performance. Rev. Fish. Biol. Fish. 2003, 13, 63–89. [Google Scholar] [CrossRef]
- Shirey, P.D.; Brueseke, M.A.; Kenny, J.B.; Lamberti, G.A. Long-term fish community response to a reach-scale stream restoration. Ecol. Soc. 2016, 21, 11. [Google Scholar] [CrossRef]
- Palmer, M.A.; Ambrose, R.F.; Poff, N.L. Ecological theory and community restoration ecology. Restor. Ecol. 1997, 5, 291–300. [Google Scholar] [CrossRef]
- Doll, B.A.; Grabow, G.L.; Hall, K.R.; Halley, J.; Harman, W.A.; Jennings, G.D.; Wise, D.E. Stream Restoration: A Natural Channel Design Handbook; North Carolina Stream Restoration Institute: Raleigh, NC, USA, 2003. [Google Scholar]
- Kondolf, G.M. River restoration and meanders. Ecol. Soc. 2006, 11, 42. [Google Scholar] [CrossRef]
- Kondolf, G.M. Five elements for effective evaluation of stream restoration. Restor. Ecol. 1995, 3, 133–136. [Google Scholar] [CrossRef]
- Schmutz, S.; Jurajda, P.; Kaufmann, S.; Lorenz, A.W.; Muhar, S.; Paillex, A.; Poppe, M.; Wolter, C. Response of fish assemblages to hydromorphological restoration in central and northern European rivers. Hydrobiologia 2016, 769, 67–78. [Google Scholar] [CrossRef]
- Schmutz, S.; Kremser, H.; Melcher, A.; Jungwirth, M.; Muhar, S.; Waidbacher, H. Ecological effects of rehabilitation measures at the Austrian Danube: A meta-analysis of fish assemblages. Hydrobiologia 2014, 729, 49–60. [Google Scholar] [CrossRef]
- Schiff, R.; Benoit, G.; Macbroom, J. Evaluating stream restoration: A case study from two partially developed 4th order Connecticut, USA streams and evaluation monitoring strategies. River Res. Appl. 2011, 27, 431–460. [Google Scholar] [CrossRef]
- Lorenz, A.W.; Feld, C.K. Upstream river morphology and riparian land use overrule local restoration effects on ecological status assessment. Hydrobiologia 2013, 704, 489–501. [Google Scholar] [CrossRef]





| Variable | Upstream | Downstream | New Channel | |||
|---|---|---|---|---|---|---|
| Mean ± 1 SE | Range | Mean ± 1 SE | Range | Mean ± 1 SE | Range | |
| Canopy cover (%) | 41 ± 7 | 0–100 | 26 ± 3 | 0–100 | 0 ± 0 | 0 |
| Depth (cm) | 29 ± 2 | 2–103 | 33 ± 1 | 2–105 | 18 ± 1 | 2–61 |
| Substrate (mm) | 24 ± 2 | 0.15–361 | 16 ± 1 | 0.001–266 | 11 ± 1 | 0.001–231 |
| Variable | RDA Axis 1 | RDA Axis 2 | RDA Axis 3 | p-Value |
|---|---|---|---|---|
| Eigenvalue | 0.07035 | 0.3917 | 0.1692 | |
| % cumulative variance | 49.6 | 27.6 | 11.9 | |
| p-value | 0.001 | 0.001 | 0.022 | |
| Variable bi-plot/centroid scores | ||||
| Year | 0.8197 | 0.0864 | 0.3108 | 0.001 |
| Canopy cover | −0.7342 | −0.1443 | 0.2515 | 0.151 |
| DO | 0.5553 | 0.3297 | 0.0008 | 0.228 |
| Channel type | 0.002 | |||
| DS | −0.0194 | 0.0874 | 0.138 | |
| NC | 0.328 | 0.0280 | −0.272 | |
| OC | −0.350 | −0.858 | −0.0656 | |
| UCS | −0.364 | 0.254 | 0.171 | |
| Term | DF | Deviance | Residual DF | Residual Deviance | p-Value |
|---|---|---|---|---|---|
| Response: Juvenile fish | |||||
| Year | 2 | 66.6 | 4165 | 4489 | <0.001 |
| Channel Type | 3 | 299 | 4162 | 4190 | <0.001 |
| Year X Channel Type | 3 | 30.4 | 4159 | 4160 | <0.001 |
| Response: Tolerant fish | |||||
| Year | 2 | 24.2 | 2085 | 2287 | <0.001 |
| Channel Type | 3 | 128.8 | 2087 | 2311 | <0.001 |
| Year X Channel Type | 3 | 62.5 | 2082 | 2225 | <0.001 |
© 2017 by the authors. Licensee MDPI, Basel, Switzerland. This article is an open access article distributed under the terms and conditions of the Creative Commons Attribution (CC BY) license (http://creativecommons.org/licenses/by/4.0/).
Share and Cite
Clark, J.M.; Montemarano, J.J. Short-Term Impacts of Remeandering Restoration Efforts on Fish Community Structure in a Fourth-Order Stream. Water 2017, 9, 546. https://doi.org/10.3390/w9070546
Clark JM, Montemarano JJ. Short-Term Impacts of Remeandering Restoration Efforts on Fish Community Structure in a Fourth-Order Stream. Water. 2017; 9(7):546. https://doi.org/10.3390/w9070546
Chicago/Turabian StyleClark, Jennifer M., and Justin J. Montemarano. 2017. "Short-Term Impacts of Remeandering Restoration Efforts on Fish Community Structure in a Fourth-Order Stream" Water 9, no. 7: 546. https://doi.org/10.3390/w9070546
APA StyleClark, J. M., & Montemarano, J. J. (2017). Short-Term Impacts of Remeandering Restoration Efforts on Fish Community Structure in a Fourth-Order Stream. Water, 9(7), 546. https://doi.org/10.3390/w9070546

