Flood Loss Models and Risk Analysis for Private Households in Can Tho City, Vietnam
Abstract
:1. Introduction
- -
- Among the available methods, which one provides the best result for developing flood loss models for residential buildings and contents in Can Tho city?
- -
- How can flood risk in data scarce conditions such as in Can Tho City be analyzed?
2. Case Study
2.1. Case Study
2.2. Data to Develop Loss Models
2.3. Data to Analyze Flood Risk
2.3.1. Flood Hazard Scenarios
2.3.2. Flood Duration Map
2.3.3. Building Map (Exposure)
3. Methods
3.1. Development of Flood Loss Models
- Depth–damage functions are developed by using linear and square root regression methods.Linear function (LR):Square root function (SRR):
- Four regression tree models are developed:Regression tree with one variable—water depth RT1Regression tree with two variables—water depth, duration RT2Regression tree with three variables—water depth, duration, floor space of building RT3:
3.2. Flood Risk Analysis
Expected Annual Damage (EADs)
4. Results and Discussion
4.1. Flood Loss Models
4.1.1. Depth-Damage Functions
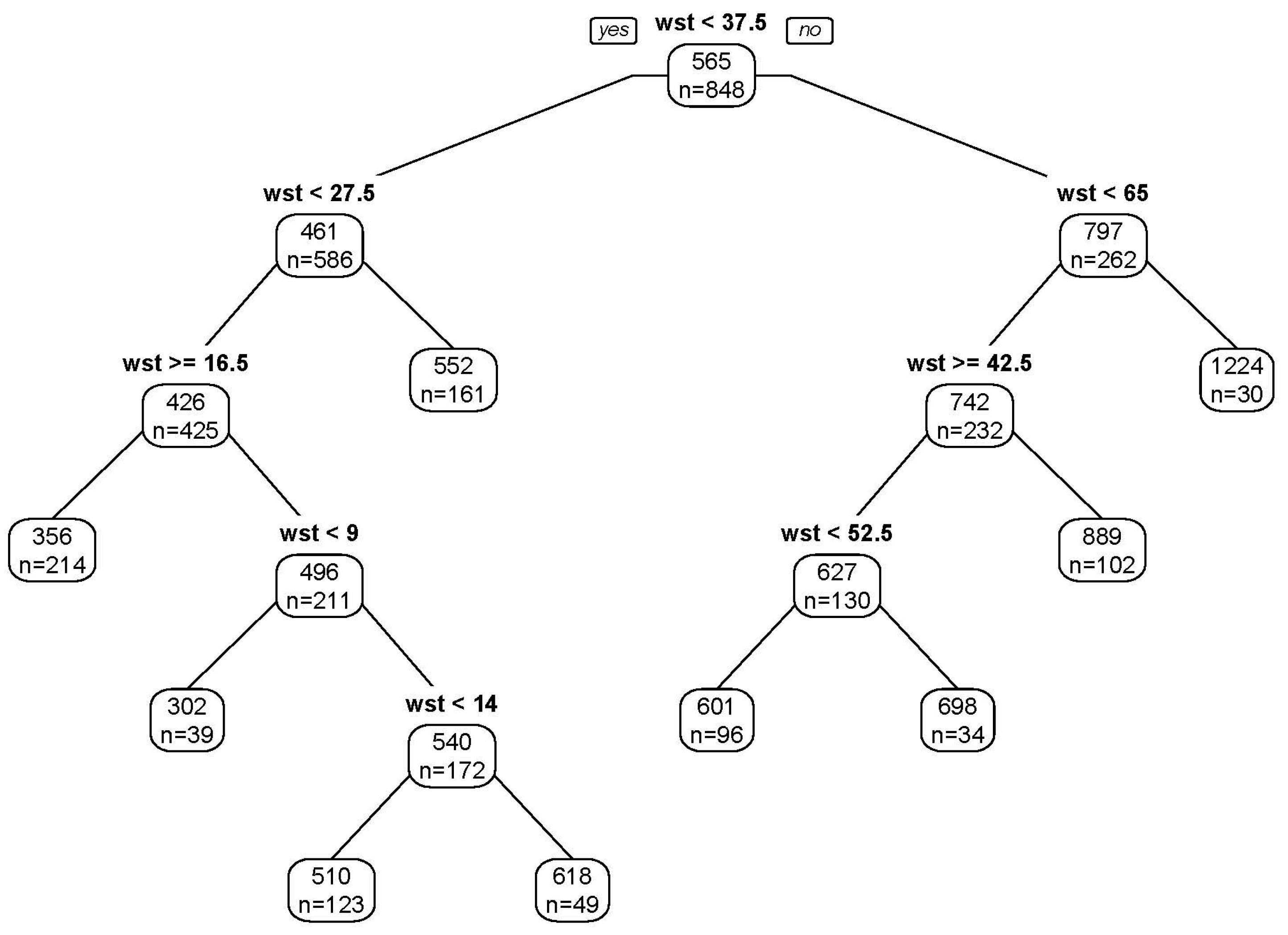
4.1.2. Regression Trees with Only Water Depth as Predictor—RT1
4.1.3. Regression Trees with Water Depth and Duration as Predictors—RT2
4.1.4. Regression Trees with Water Depth, Duration and Floor Space of Building as Predictors—RT3
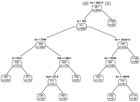
4.1.5. Regression Trees with Water Depth, Duration, Floor Space of Building and Building/Contents Value as Predictors—RT4
4.1.6. Comparison of Model Performance
4.2. Flood Risk Analysis
4.2.1. Risk Curves
4.2.2. Expected Annual Damage (EADs)
5. Conclusions
Acknowledgments
Author Contributions
Conflicts of Interest
References
- Gain, A.K.; Mojtahed, V.; Biscaro, C.; Balbi, S.; Giupponi, C. An integrated approach of flood risk assessment in the eastern part of Dhaka city. Nat. Hazards 2015, 79, 1499–1530. [Google Scholar] [CrossRef]
- Oanh, L.N.; Thuy, N.T.T.; Widerspin, I.; Coulier, M. A Preliminary Analysis of Flood and Storm Disaster Data in Vietnam; UNDP: New York, NY, USA; ISDR: Los Angeles, CA, USA, 2011. [Google Scholar]
- The World Bank (WB). Weathering the Storm: Options for Disaster Risk Financing in Vietnam; The World Bank: Washington, WA, USA, 2010. [Google Scholar]
- Hung, N.N.; Degado, J.M.; Tri, V.K.; Apel, H. Floodplain hydrology of the Mekong delta, Vietnam. Hydrol. Processes 2012, 26, 674–686. [Google Scholar] [CrossRef]
- Apel, H.; Martínez Trepat, O.; Hung, N.N.; Chinh, D.T.; Merz, B.; Dung, N.V. Combined fluvial and pluvial urban flood hazard analysis: Concept development and application to can tho city, Mekong delta, Vietnam. Nat. Hazards Earth Syst. Sci. 2016, 16, 941–961. [Google Scholar] [CrossRef]
- Southern Institute of Water Resources Research (SIWRR). Development of Cantho City and Resilient Project—Hydraulic Report; Southern Institute of Water Resources Research: Ho Chi Minh City, Vietnam, 2016. [Google Scholar]
- Can Tho Committee for Flood and Storm Control (CCFSC). Annual Disaster Report; Can Tho Committee for Flood and Storm Control: Can Tho City, Vietnam, 2011. [Google Scholar]
- De Moel, H.; Jongman, B.; Kreibich, H.; Merz, B.; Penning-Rowsell, E.; Ward, P.J. Flood risk assessments at different spatial scales. Mitig. Adapt. Strateg. Glob. Chang. 2015, 20, 865–890. [Google Scholar] [CrossRef]
- Gerl, T.; Kreibich, H.; Franco, G.; Marechal, D.; Schroter, K. A review of flood loss models as basis for harmonization and benchmarking. PLoS ONE 2016, 11, e0159791. [Google Scholar] [CrossRef] [PubMed]
- Merz, B.; Kreibich, H.; Schwarze, R.; Thieken, A. Review article ‘assessment of economic flood damage’. Nat. Hazards Earth Syst. Sci. 2010, 10, 1697–1724. [Google Scholar] [CrossRef]
- Thieken, A.H.; Muller, M.; Kreibich, H.; Merz, B. Flood damage and influencing factors: New insights from the August 2002 flood in Germany. Water Resour. Res. 2005, 41. [Google Scholar] [CrossRef]
- Smith, D. Flood damage estimation—A review of urban stage-damage curve and loss functions. Water SA 1994, 20, 231–238. [Google Scholar]
- US Army Corps of Engineers (USACE). Risk-based analysis for flood damage reduction studies. In Proceedings of the 1997 Hydrology & Hydraulics Workshop, Pacific Grove, CA, USA, 20–22 October 1997; US Army Corps of Engineers: Washington, WA, USA, 1997. [Google Scholar]
- Pistrika, A. Flood damage estimation based on flood simulation scenarios and a GIS platform. Eur. Water 2010, 30, 3–11. [Google Scholar]
- Merz, B.; Kreibich, H.; Thieken, A.; Schmidtke, R. Estimation uncertainty of direct monetary flood damage to buildings. Nat. Hazards Earth Syst. Sci. 2004, 4, 153–163. [Google Scholar] [CrossRef]
- Penning-Rowsell, E.C. The Benifits of Flood and Coastal Risk Management: A Handbook of Assessment Techniques; Middlesex Unversity Press: London, UK, 2005. [Google Scholar]
- Dutta, D. Direct Flood Damage Modeling towards Urban Flood Risk Management; International Center for Urban Safety Engineering (ICUS/INCEDE), IIS, The University of Tokyo: Tokyo, Japan, 2001. [Google Scholar]
- Merz, B.; Kreibich, H.; Lall, U. Multi-variate flood damage assessment: A tree-based data-mining approach. Nat. Hazards Earth Syst. Sci. 2013, 13, 53–64. [Google Scholar] [CrossRef]
- Kreibich, H.; Botto, A.; Merz, B.; Schröter, K. Probabilistic, multivariable flood loss modeling on the mesoscale with BT-FLEMO. Risk Anal. 2016. [CrossRef] [PubMed]
- Mekong River Commission (MRC). Flood Damages, Benefits and Flood Risk in Focal Areas; Mekong River Commission: Vientiane, Laos, 2009. [Google Scholar]
- Vo, T.D. Household Economic Losses of Urban Flooding—Case Study of Can Tho City; Vietnam; International Institute for Environment and Development: London, UK, 2014. [Google Scholar]
- Vu, T.T.; Ranzi, R. Flood risk assessment and coping capacity of floods in Central Vietnam. J. Hydro-Environ. Res. 2017, 14, 44–60. [Google Scholar] [CrossRef]
- Chinh, D.T.; Bubeck, P.; Dung, N.V.; Kreibich, H. The 2011 flood event in the Mekong delta: Preparedness, response, damage, and recovery of private households and small businesses. Disaster 2016, 40, 753–778. [Google Scholar] [CrossRef] [PubMed]
- Chinh, D.T.; Gain, A.; Dung, N.V.; Haase, D.; Kreibich, H. Multi-variate analyses of flood loss in Can Tho city, Mekong delta. Water 2015, 8, 6. [Google Scholar] [CrossRef]
- Can Tho City People Committee. Can Tho City Statistic; Can Tho City People Committee: Can Tho City, Vietnam, 2011.
- Huu, P.C. Planning and Implementation of the Dyke Systems in the Mekong Delta, Vietnam. Ph.D. Thesis, Rheinischen Friedrich-Wilhelms University of Bonn, Bonn, Germany, 2011. [Google Scholar]
- Can Tho City People’s Committee. Can Tho City Climate Change Resilience Plan, 2010; Can Tho City People’s Committee: Can Tho City, Vietnam, 2010.
- Southern Institute for Water Resources Planning (SIWRP). Flood Prevention Planning for Can Tho City; Southern Institute for Water Resources Planning: Ho Chi Minh City, Vietnam, 2010. [Google Scholar]
- Water-Related Information System for the Sustainable Development of the Mekong Delta (WISDOM). Vietnam—Can Tho City—Land Use/Land Cover 2006; German Aerospace Center (DLR): Köln, Germany, 2010. [Google Scholar]
- Breiman, L.; Friedman, J.; Olshen, R.A.; Stone, C.J. Classification and Regression Trees; Wadsworth: Belmont, CA, USA, 1984. [Google Scholar]
- Seifert, I.; Kreibich, H.; Merz, B.; Thieken, A.H. Application and validation of FLEMOcs—A flood-loss estimation model for the commercial sector. Hydrol. Sci. J. 2010, 55, 1315–1324. [Google Scholar] [CrossRef]
- The Federal Emergency Management Agency (FEMA). Guidance for Flood Risk Analysis and Mapping First Order Approximation; The Federal Emergency Management Agency (FEMA): Washington, WA, USA, 2015.
- Floodsite. Language of Risk: Project Definitions; HR Wallingford: Wallingford, UK, 2009. [Google Scholar]
- Dasgupta, S.; Laplante, B.; Meisner, C.; Wheeler, D.; Yan, J. The Impact of Sea Level Rise on Developing Countries: A Comparative Analysis; World Bank: Washington, WA, USA, 2007. [Google Scholar]
- Zhai, G.; Fukuzono, T.; Ikeda, S. Modelling flood damage: Case of Tokai flood 2000. J. Am. Water Resour. Assoc. 2005, 41, 77–92. [Google Scholar] [CrossRef]
















| Groups | Order | Abbreviation | Predictors | Range in Data Set |
|---|---|---|---|---|
| Hydrologic, hydraulic aspects | 1 | wst | Water depth | 2 cm to 120 cm above ground |
| 2 | d | Inundation duration | 4 to 1040 h | |
| Building/content characteristic | 3 | fsb | Floor space of building | 6 to 650 m2 |
| 4_1 | bv | Building value 1 | US$342 to 142,613 | |
| 4_2 | cv | Content value 1 | US$95 to 42,290 | |
| Abbreviation | Response Variables | Range in Data Set | ||
| Losses | A | Lossb | Building loss 1 | US$0 to 13,311 |
| B | Lossc | Contents loss 1 | US$0 to 4754 | |
| Flood Hazard Maps | Annual Probability of Non-Exceedance | Mean Absolute Difference of Risk Estimation (%) | |||||
|---|---|---|---|---|---|---|---|
| Building | Content | ||||||
| UHM 1 | ULM 2 | UHM-LM 3 | UHM | ULM | UHM-LM | ||
| Fluvial hazard maps | 0.5 | 59 | 12 | 85 | 65 | 11 | 90 |
| 0.8 | 33 | 15 | 51 | 45 | 12 | 61 | |
| 0.9 | 39 | 12 | 59 | 39 | 11 | 59 | |
| 0.95 | 34 | 12 | 48 | 36 | 9 | 54 | |
| 0.98 | 28 | 11 | 45 | 30 | 11 | 48 | |
| 0.99 | 28 | 10 | 51 | 28 | 9 | 41 | |
| Average | 44 | 14 | 68 | 49 | 12 | 71 | |
| Pluvial hazard maps | 0.5 | 110 | 11 | 150 | 111 | 8 | 141 |
| 0.8 | 82 | 16 | 112 | 77 | 16 | 97 | |
| 0.9 | 56 | 18 | 84 | 58 | 13 | 74 | |
| 0.95 | 40 | 19 | 67 | 41 | 13 | 60 | |
| 0.98 | 25 | 19 | 53 | 23 | 13 | 40 | |
| 0.99 | 17 | 17 | 39 | 19 | 14 | 35 | |
| Average | 66 | 20 | 101 | 66 | 15 | 89 | |
| Combined fluvial–pluvial hazard maps | 0.5 | 70 | 13 | 97 | 66 | 13 | 86 |
| 0.8 | 40 | 15 | 62 | 38 | 10 | 60 | |
| 0.9 | 28 | 14 | 49 | 29 | 12 | 50 | |
| 0.95 | 23 | 14 | 39 | 26 | 8 | 40 | |
| 0.98 | 17 | 12 | 35 | 22 | 11 | 37 | |
| 0.99 | 20 | 11 | 33 | 21 | 11 | 35 | |
| Average | 40 | 16 | 63 | 41 | 13 | 62 | |
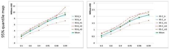
| Models/Quantile Map | Building Loss (US$1000) | Content Loss (US$1000) | Total Loss (US$1000) | |||||||||
|---|---|---|---|---|---|---|---|---|---|---|---|---|
| 5% | 50% | 95% | MAD (%) | 5% | 50% | 95% | MAD (%) | 5% | 50% | 95% | MAD (%) | |
| LR | 774 | 1522 | 2006 | 40 | 172 | 338 | 449 | 41 | 946 | 1860 | 2455 | 41 |
| SRR | 749 | 1497 | 1985 | 41 | 162 | 326 | 438 | 42 | 911 | 1823 | 2423 | 41 |
| RT1 | 556 | 1167 | 1564 | 43 | 134 | 264 | 370 | 45 | 689 | 1431 | 1935 | 44 |
| RT2 | 916 | 1736 | 2228 | 38 | 215 | 404 | 532 | 39 | 1131 | 2140 | 2760 | 38 |
| RT3 | 959 | 1859 | 2341 | 37 | 209 | 403 | 547 | 42 | 1168 | 2262 | 2889 | 38 |
| Average | 791 | 1556 | 2025 | 40 | 178 | 347 | 467 | 42 | 969 | 1903 | 2492 | 40 |
| MAD (%) | 26 | 23 | 19 | 59 * | 24 | 21 | 20 | 61 * | 25 | 22 | 19 | 59 * |
| Models/Quantile Map | Building Loss (US$1000) | Content Loss (US$1000) | Total Loss (US$1000) | |||||||||
|---|---|---|---|---|---|---|---|---|---|---|---|---|
| 5% | 50% | 95% | MAD (%) | 5% | 50% | 95% | MAD (%) | 5% | 50% | 95% | MAD (%) | |
| LR | 287 | 1112 | 1923 | 74 | 60 | 233 | 409 | 75 | 347 | 1345 | 2332 | 74 |
| SRR | 265 | 1041 | 1862 | 77 | 51 | 203 | 379 | 81 | 316 | 1244 | 2241 | 77 |
| RT1 | 200 | 809 | 1487 | 80 | 54 | 200 | 332 | 69 | 254 | 1010 | 1819 | 78 |
| RT2 | 409 | 1481 | 2447 | 69 | 83 | 320 | 83 | 62 | 492 | 1801 | 2930 | 68 |
| RT3 | 447 | 1706 | 2707 | 66 | 93 | 347 | 513 | 61 | 540 | 2053 | 3220 | 65 |
| Average | 322 | 1230 | 2085 | 72 | 68 | 261 | 423 | 68 | 390 | 1490 | 2508 | 71 |
| MAD (%) | 43 | 40 | 32 | 113 * | 35 | 32 | 57 | 114 * | 41 | 39 | 30 | 110 * |
| Models/Quantile Map | Building Loss (US$1000) | Content Loss (US$1000) | Total Loss (US$1000) | |||||||||
|---|---|---|---|---|---|---|---|---|---|---|---|---|
| 5% | 50% | 95% | MAD (%) | 5% | 50% | 95% | MAD (%) | 5% | 50% | 95% | MAD (%) | |
| LR | 1078 | 2596 | 3823 | 53 | 235 | 563 | 835 | 53 | 1314 | 3159 | 4659 | 53 |
| SRR | 1031 | 2504 | 3747 | 54 | 217 | 523 | 796 | 55 | 1248 | 3027 | 4543 | 54 |
| RT1 | 768 | 1949 | 2977 | 57 | 189 | 460 | 683 | 54 | 957 | 2409 | 3660 | 56 |
| RT2 | 1339 | 3169 | 4550 | 51 | 304 | 707 | 982 | 48 | 1643 | 3876 | 5532 | 50 |
| RT3 | 1429 | 3497 | 4898 | 50 | 306 | 733 | 1028 | 49 | 1735 | 4230 | 5926 | 50 |
| Average | 1129 | 2743 | 3999 | 52 | 250 | 597 | 865 | 51 | 1379 | 3340 | 4864 | 52 |
| MAD (%) | 31 | 30 | 25 | 80 * | 25 | 24 | 21 | 75 * | 30 | 29 | 24 | 79 * |
© 2017 by the authors. Licensee MDPI, Basel, Switzerland. This article is an open access article distributed under the terms and conditions of the Creative Commons Attribution (CC BY) license (http://creativecommons.org/licenses/by/4.0/).
Share and Cite
Chinh, D.T.; Dung, N.V.; Gain, A.K.; Kreibich, H. Flood Loss Models and Risk Analysis for Private Households in Can Tho City, Vietnam. Water 2017, 9, 313. https://doi.org/10.3390/w9050313
Chinh DT, Dung NV, Gain AK, Kreibich H. Flood Loss Models and Risk Analysis for Private Households in Can Tho City, Vietnam. Water. 2017; 9(5):313. https://doi.org/10.3390/w9050313
Chicago/Turabian StyleChinh, Do Thi, Nguyen Viet Dung, Animesh K. Gain, and Heidi Kreibich. 2017. "Flood Loss Models and Risk Analysis for Private Households in Can Tho City, Vietnam" Water 9, no. 5: 313. https://doi.org/10.3390/w9050313
APA StyleChinh, D. T., Dung, N. V., Gain, A. K., & Kreibich, H. (2017). Flood Loss Models and Risk Analysis for Private Households in Can Tho City, Vietnam. Water, 9(5), 313. https://doi.org/10.3390/w9050313
