Optimal Operation Research of Flood Retarding in Plain River Network Region
Abstract
:1. Introduction
2. Materials and Methods
2.1. Study Area
2.2. Data and Model
2.2.1. One-Dimensional Model
2.2.2. Two-Dimensional Model
2.2.3. Model Coupling
2.2.4. Flood Loss Analysis Method
2.3. Special Treatments
2.3.1. Treatment of Flood Retarding Areas of Upstream and “Three Beaches”
2.3.2. Treatment of the River Bottom Elevation
2.3.3. Polder Generalization and Joint Operation of Sluices and Pumps
2.3.4. Treatment of the Two-Dimensional Grid
2.3.5. Method of Drying/Wetting Depth Boundary
2.4. Flood Retarding Schemes
3. Results
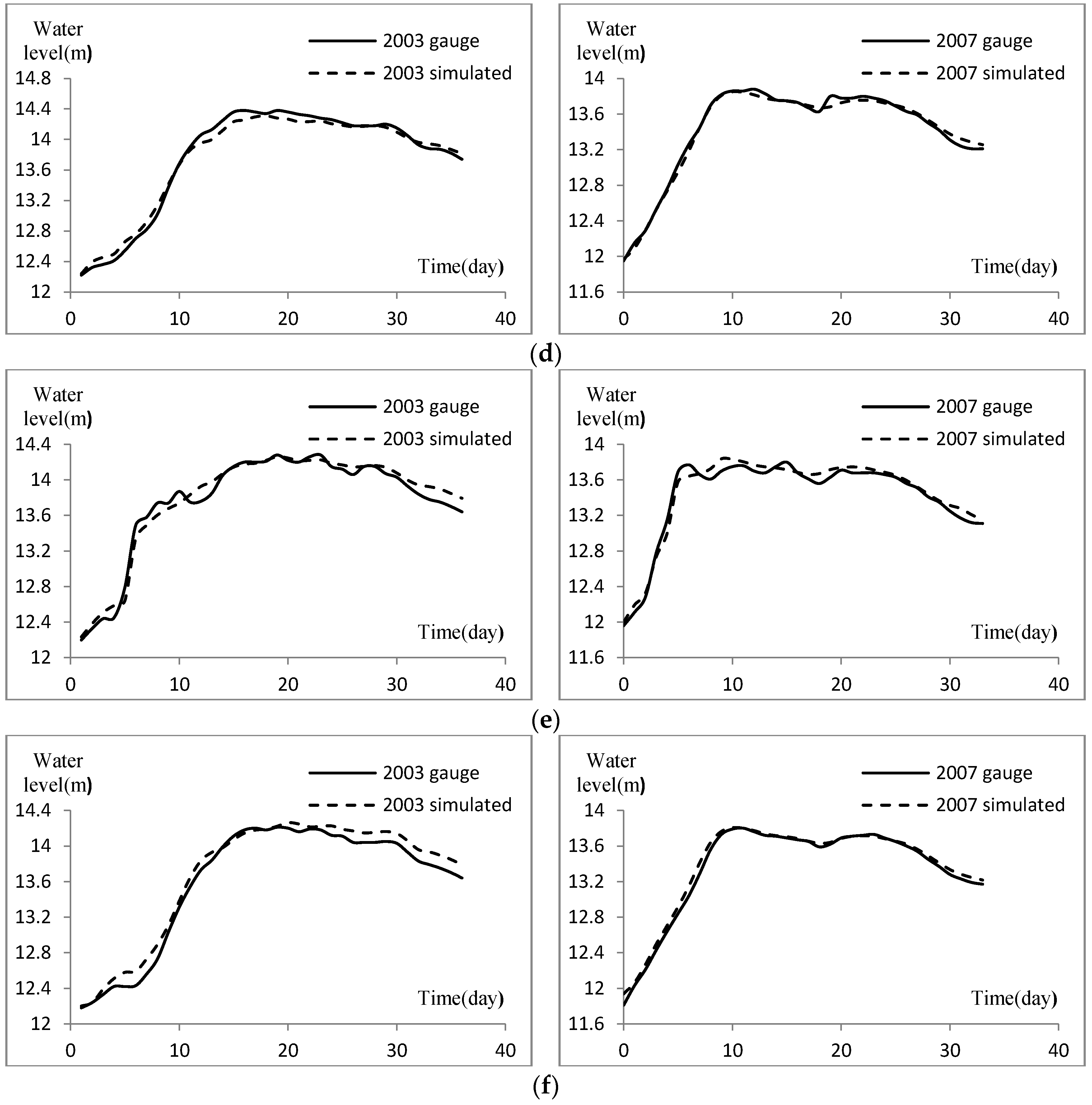
3.1. Model Verification
3.2. Results of Schemes
- (1)
- Highest water level of Hongze Lake (HWLOH), which is the most important parameter used to describe the status of Hongze Lake.
- (2)
- The largest discharge, which directly indicates the flood risk to downstream areas.
- (3)
- Flooded area, which is the basic inundation element used to represent the magnitude of the flood effect on the spatial scale.
- (4)
- Flood loss, which is related to water depth and the regional economy.
4. Discussion
4.1. Necessity for Flood Retarding
4.2. Necessity for Graded Flood Retarding
4.3. The Optimal Graded Flood Retarding Scheme
5. Conclusions
- (1)
- It is essential to use the flood retarding area to retard flood. This is because the effect of reducing the peak flood is effective and the flood loss is much smaller compared to that of the downstream areas if the flood retarding area is not used.
- (2)
- For the second largest flood retarding area in China, exceeding 2000 km2 and with more than 300 polders, the existing operation scheme (“no grading flood retarding” scheme) is not scientific, whereas the “graded flood retarding” scheme 1 is superior to the “no grading flood retarding” scheme in terms of flooded area, flood loss, and preparation for transfer of people and property. Due to the uncertainty during flooding, the effect of reducing the flood peak through the “graded flood retarding” scheme may also be superior to that of the “no grading flood retarding” scheme.
- (3)
- A “two-grade flood retarding” scheme is recommended. When the water level of Hongze Lake reaches 14.33 m, the polder at elevations <13.33 m should be used as the first grade, and when the water level of Hongze Lake reaches 15.03 m, the remaining polders should be used as the second grade.
Acknowledgments
Author Contributions
Conflicts of Interest
References
- Seneviratne, S.I.; Nicholls, N.; Easterling, D.; Goodess, C.M.; Kanae, S.; Kossin, J.; Luo, Y.; Marengo, J.; Mcinnes, K.; Rahimi, M. Changes in Climate Extremes and Their Impacts on the Natural Physical Environment: An Overview of the Ipcc Srex Report; European Geosciences Union (EGU) General Assembly: Vienna, Austria, 2012; p. 12566. [Google Scholar]
- Palmer, T.N.; Raisanen, J. Quantifying the risk of extreme seasonal precipitation events in a changing climate. Nature 2002, 415, 512–514. [Google Scholar] [CrossRef]
- Piao, S.; Ciais, P.; Huang, Y.; Shen, Z.; Peng, S.; Li, J.; Zhou, L.; Liu, H.; Ma, Y.; Ding, Y. The impacts of climate change on water resources and agriculture in China. Nature 2010, 467, 43–51. [Google Scholar] [CrossRef]
- Sterling, S.M.; Ducharne, A.; Polcher, J. The impact of global land-cover change on the terrestrial water cycle. Nat. Clim. Chang. 2013, 3, 385–390. [Google Scholar] [CrossRef]
- Milly, P.C.; Wetherald, R.T.; Dunne, K.A.; Delworth, T.L. Increasing risk of great floods in a changing climate. Nature 2002, 415, 514–517. [Google Scholar] [CrossRef] [PubMed]
- Semenza, J.C.; Menne, B. Climate change and infectious diseases in Europe. Lancet Infect. Dis. 2009, 9, 365–375. [Google Scholar] [CrossRef]
- Gregory, P.J.; Johnson, S.N.; Newton, A.C.; Ingram, J.S. Integrating pests and pathogens into the climate change/food security debate. J. Exp. Bot. 2009, 60, 2827–2838. [Google Scholar] [CrossRef]
- Immerzeel, W.W.; van Beek, L.P.; Bierkens, M.F. Climate change will affect the Asian water towers. Science 2010, 328, 1382–1385. [Google Scholar] [CrossRef]
- Feng, S.; Tan, H.; Benjamin, A.; Wen, S.; Liu, A.; Zhou, J.; Li, S.; Yang, T.; Zhang, Y.; Li, X. Social support and posttraumatic stress disorder among flood victims in Hunan, China. Ann. Epidemiol. 2007, 17, 827–833. [Google Scholar] [CrossRef]
- Babcicky, P.; Seebauer, S. The two faces of social capital in private flood mitigation: Opposing effects on risk perception, self-efficacy and coping capacity. J. Risk Res. 2016, 1–21. [Google Scholar] [CrossRef]
- Birkholz, S.; Muro, M.; Jeffrey, P.; Smith, H.M. Rethinking the relationship between flood risk perception and flood management. Sci. Total Environ. 2014, 478, 12–20. [Google Scholar] [CrossRef]
- Botzen, W.J.W.; Aerts, J.C.J.H.; van den Bergh, J.C.J.M. Dependence of flood risk perceptions on socioeconomic and objective risk factors. Water Resour. Res. 2009, 45, 455–464. [Google Scholar] [CrossRef]
- Alderman, K.; Turner, L.R.; Tong, S. Floods and human health: A systematic review. Environ. Int. 2012, 47, 37–47. [Google Scholar] [CrossRef]
- Bubeck, P.; Botzen, W.J.W.; Kreibich, H.; Aerts, J.C.J.H. Detailed insights into the influence of flood-coping appraisals on mitigation behaviour. Glob. Environ. Chang. 2013, 23, 1327–1338. [Google Scholar] [CrossRef]
- Brennan, M.; O’Neill, E.; Brereton, F.; Dreoni, I.; Shahumyan, H. Exploring the spatial dimension of community-level flood risk perception: A cognitive mapping approach. Environ. Hazards 2016, 15, 279–310. [Google Scholar] [CrossRef]
- Wang, D.; Hagen, S.C.; Alizad, K. Climate change impact and uncertainty analysis of extreme rainfall events in the Apalachicola River basin, Florida. J. Hydrol. 2013, 480, 125–135. [Google Scholar] [CrossRef]
- Ying, X.U.; Zhang, B.; Zhou, B.T.; Dong, S.Y.; Li, Y.U.; Rou-Ke, L.I. Projected flood risks in China based on CMIP5. Adv. Clim. Chang. Res. 2014, 31, 57–65. [Google Scholar] [CrossRef]
- Agtini, M.D.; Soeharno, R.; Lesmana, M.; Punjabi, N.H.; Simanjuntak, C.; Wangsasaputra, F.; Nurdin, D.; Pulungsih, S.P.; Rofiq, A.; Santoso, H. Erratum to: The burden of diarrhoea, shigellosis, and cholera in north Jakarta, Indonesia: Findings from 24 months surveillance. BMC Infect. Dis. 2007, 7, 1–2. [Google Scholar] [CrossRef]
- Li, W.; Maren, D.S.V.; Wang, Z.B.; Vriend, H.J.D.; Wu, B. Peak discharge increase in hyperconcentrated floods. Adv. Water Resour. 2014, 67, 65–77. [Google Scholar] [CrossRef]
- Apel, H.; Thieken, A.H.; Merz, B.; Bl?schl, G. Flood risk assessment and associated uncertainty. Nat. Hazards Earth Syst. Sci. 2004, 4, 295–308. [Google Scholar] [CrossRef]
- Arnell, N.W. Expected annual damages and uncertainties in flood frequency estimation. J. Water Resour. Plan. Manag. 1989, 115, 94–107. [Google Scholar] [CrossRef]
- Bellu, A.; Sanches Fernandes, L.F.; Cortes, R.M.V.; Pacheco, F.A.L. A framework model for the dimensioning and allocation of a detention basin system: The case of a flood-prone mountainous watershed. J. Hydrol. 2016, 533, 567–580. [Google Scholar] [CrossRef]
- Vorogushyn, S.; Lindenschmidt, K.E.; Kreibich, H.; Apel, H.; Merz, B. Analysis of a detention basin impact on dike failure probabilities and flood risk for a channel-dike-floodplain system along the River Elbe, Germany. J. Hydrol. 2012, 436–437, 120–131. [Google Scholar] [CrossRef]
- Liu, Y.; Li, Y. Optimization of flood control of storage and detention basin. In Proceedings of the Seventh International Conference on Fuzzy Systems and Knowledge Discovery, Yantai, China, 10–12 August 2010; pp. 908–911. [Google Scholar]
- Wang, Y.Y.; Liu, S.K.; Xiang, L.Y. Study on the multi-object and scenario analysis model for the integrative utilization of flood detention basin. J. Nat. Resour. 2009, 24, 209–217. [Google Scholar]
- Woodward, M.; Gouldby, B.; Kapelan, Z.; Khu, S.T.; Townend, I. Real options in flood risk management decision making. J. Flood Risk Manag. 2011, 4, 339–349. [Google Scholar] [CrossRef]
- Lamb, R.; Keef, C.; Tawn, J.; Laeger, S.; Meadowcroft, I.; Surendran, S.; Dunning, P.; Batstone, C. A new method to assess the risk of local and widespread flooding on rivers and coasts. J. Flood Risk Manag. 2010, 3, 323–336. [Google Scholar] [CrossRef]
- Kumar, R. Flood hazard assessment of 2014 floods in sonawari sub-district of Bandipore District (Jammu & Kashmir): An application of geoinformatics. Remote Sens. Appl. Soc. Environ. 2016, 4, 188–203. [Google Scholar]
- Scholz, M.; Yang, Q. Guidance on variables characterising water bodies including sustainable flood retention basins. Landsc. Urban Plan. 2010, 98, 190–199. [Google Scholar] [CrossRef]
- Yin, Y.; Chen, Y.; Yu, S.; Xu, W.; Wang, W.; Xu, Y. Maximum water level of hongze lake and its relationship with natural changes and human activities from 1736 to 2005. Quat. Int. 2013, 304, 85–94. [Google Scholar] [CrossRef]
- Wang, Q.; Li, Z.; Lian, Y.; Du, X.; Zhang, S.; Yuan, J.; Liu, J.; Silva, S.S.D. Farming system transformation yields significant reduction in nutrient loading: Case study of Hongze Lake, Yangtze River basin, China. Aquaculture 2016, 457, 109–117. [Google Scholar] [CrossRef]
- Abbott, M.B.; Ionescu, F. On the numerical computation of nearly horizontal flows. J. Hydraul. Res. 1967, 5, 97–117. [Google Scholar] [CrossRef]
- Wenqiang, L.I. A chasing method for solving cyclic tridiagonal equations. Sci. Technol. Rev. 2009, 27, 69–72. [Google Scholar]
- Versteeg, H.K.; Malalasekera, W. An Introduction to Computational Fluid Dynamics—The Finite Volume Method; World Book, Inc.: Chicago, IL, USA, 1995; p. 400. [Google Scholar]
- Hinch, E.J.; Bhatt, B.S. Stability of an acid front moving through porous rock. J. Fluid Mech. 1990, 212, 279–288. [Google Scholar] [CrossRef]
- Zhao, D.H. Finite-volume two-dimensional unsteady-flow model for river basins. J. Hydraul. Eng. 1994, 120, 863–883. [Google Scholar] [CrossRef]
- Sleigh, P.A.; Gaskell, P.H.; Berzins, M.; Wright, N.G. An unstructured finite-volume algorithm for predicting flow in rivers and estuaries. Comput. Fluids 1998, 27, 479–508. [Google Scholar] [CrossRef]















| Underlying Surface | Roughness Coefficient n |
|---|---|
| Residential | 0.03 |
| Dry land | 0.03 |
| Woodland | 0.13 |
| Water surface | 0.025–0.033 |
| Paddy | 0.075 |
| Greenbelt | 0.04 |
| High grass | 0.05 |
| Inundated | Household | Housing | Agriculture | Industry | Commerce | Road |
|---|---|---|---|---|---|---|
| Water Depth | ||||||
| (m) | (%) | (%) | (%) | (%) | (%) | (%) |
| 0.05–0.3 | 1 | 0 | 5 | 1 | 3 | 1 |
| 0.3–0.5 | 5 | 3 | 15 | 4 | 9 | 4 |
| 0.5–1.0 | 12 | 7 | 24 | 10 | 16 | 10 |
| 1.0–2.0 | 30 | 20 | 55 | 26 | 25 | 27 |
| Above 2.0 | 40 | 26 | 73 | 34 | 31 | 38 |
| Design | p = 1% | p = 0.33% | p = 0.05% |
|---|---|---|---|
| Peak inflow (m3/s) | 21,949 | 25,703 | 34,403 |
| Total volume (billion m3) | 67.06 | 83.15 | 107.12 |
| Water Level | CIYR | CFRHRXR | CIS | NJIMC | Total Discharge |
|---|---|---|---|---|---|
| (m) | (m3/s) | (m3/s) | (m3/s) | (m3/s) | (m3/s) |
| 12.33 | 4800 | 0 | 1500 | 800 | 7100 |
| 12.83 | 5900 | 0 | 2900 | 800 | 9600 |
| 13.33 | 7150 | 220 | 4020 | 1000 | 12,390 |
| 13.83 | 8600 | 920 | 4660 | 1000 | 15,180 |
| 14.33 | 10,050 | 1440 | 5300 | 1000 | 17,790 |
| 14.83 | 11,600 | 1950 | 5950 | 1000 | 20,500 |
| 15.13 | 12,000 | 2350 | 6370 | 1000 | 21,720 |
| 15.33 | 12,000 | 2500 | 6540 | 1000 | 22,040 |
| 15.83 | 12,000 | 3000 | 7100 | 1000 | 26,100 |
| 16.33 | 12,000 | 3000 | 7100 | 1000 | 26,100 |
| 16.83 | 12,000 | 4000 | 8400 | 1000 | 28,400 |
| Year | Maximum Water Level (m) | |||||
|---|---|---|---|---|---|---|
| Jiangba | Laozishan | Linhuaitou | Xiangchengzhuang | Shangzui | ||
| 2003 | gauge | 14.15 | 14.49 | 14.38 | 14.28 | 14.21 |
| simulated | 14.04 | 14.38 | 14.28 | 14.26 | 14.26 | |
| error | 0.11 | 0.11 | 0.10 | 0.02 | −0.05 | |
| 2007 | gauge | 13.68 | 14.12 | 13.88 | 13.76 | 13.80 |
| simulated | 13.59 | 14.03 | 13.82 | 13.84 | 13.80 | |
| error | 0.09 | 0.09 | 0.06 | −0.08 | 0.00 | |
| Flood Event | Scheme | HWLOH | Largest Discharge | Flooded Area | Flood Loss |
|---|---|---|---|---|---|
| (m) | (m3/s) | (km2) | (Billion CNY) | ||
| p = 1% | No grading | 14.51 | 18,761 | 698.00 | 7.34 |
| Graded 1 | 14.60 | 19,280 | 452.03 | 4.87 | |
| Graded 2 | 14.56 | 19,050 | 643.17 | 6.67 | |
| Graded 3 | 14.60 | 19,280 | 452.03 | 4.87 | |
| p = 0.33% | No grading | 15.26 | 22,028 | 1003.4 | 17.02 |
| Graded 1 | 15.19 | 21,822 | 972.31 | 15.85 | |
| Graded 2 | 15.24 | 21,900 | 980.72 | 16.28 | |
| Graded 3 | 15.26 | 21,922 | 966.63 | 15.81 | |
| p = 0.05% | No grading | 16.62 | 27,423 | 1473.9 | 28.94 |
| Graded 1 | 16.60 | 27,340 | 1466.87 | 28.46 | |
| Graded 2 | 16.61 | 27,396 | 1472.01 | 28.79 | |
| Graded 3 | 16.61 | 27,371 | 1469.11 | 28.50 |
© 2017 by the authors. Licensee MDPI, Basel, Switzerland. This article is an open access article distributed under the terms and conditions of the Creative Commons Attribution (CC BY) license (http://creativecommons.org/licenses/by/4.0/).
Share and Cite
Zhu, Z.; Dong, Z.; Yang, W.; Zhou, J.; Li, D.; Fu, X.; Xu, W. Optimal Operation Research of Flood Retarding in Plain River Network Region. Water 2017, 9, 280. https://doi.org/10.3390/w9040280
Zhu Z, Dong Z, Yang W, Zhou J, Li D, Fu X, Xu W. Optimal Operation Research of Flood Retarding in Plain River Network Region. Water. 2017; 9(4):280. https://doi.org/10.3390/w9040280
Chicago/Turabian StyleZhu, Zhenye, Zengchuan Dong, Wanhong Yang, Jie Zhou, Dayong Li, Xiaohua Fu, and Wei Xu. 2017. "Optimal Operation Research of Flood Retarding in Plain River Network Region" Water 9, no. 4: 280. https://doi.org/10.3390/w9040280
APA StyleZhu, Z., Dong, Z., Yang, W., Zhou, J., Li, D., Fu, X., & Xu, W. (2017). Optimal Operation Research of Flood Retarding in Plain River Network Region. Water, 9(4), 280. https://doi.org/10.3390/w9040280
