Modeling Crop Water Productivity Using a Coupled SWAT–MODSIM Model
Abstract
:1. Introduction
2. Methodology
2.1. Study Area
2.2. Description of SWAT Model
2.3. SWAT Model Calibration, Validation, and Uncertainty Analysis
2.4. Description of the MODSIM Model
2.5. Model Setup and Data Collection
2.6. Coupling Hydrologic and Water Allocation Models
- 1
- Build the SWAT and MODSIM models for the specific watershed, ensuring that each HRU that receives water should have a related demand node in MODSIM.
- 2
- Calibrate and validate the SWAT model using SWAT-CUP
- 3
- Extract the M95PPU of inflow to the reservoirs (from 95ppu.txt SWAT-CUP or 95ppu_No_Obs.txt files) and net irrigation requirements (water deficit in each time step) by subtracting potential evapotranspiration (PET) from actual evapotranspiration (AET) in the SWAT-CUP output file 95ppu_No_Obs.txt.
- 4
- Import the net irrigation requirement and inflow to the reservoir to MODSIM from SWAT-CUP outputs.
- 5
- Execute the MODSIM model.
- 6
- Extract the allocated water to each demand node for each time step from MODSIM outputs.
- 7
- Import the monthly irrigation from MODSIM into SWAT management files for related HRUs.
- 8
- Re-execute the SWAT-CUP with new management files.
2.7. Estimation of Crop Water Productivity (CWP)
3. Results and Discussion
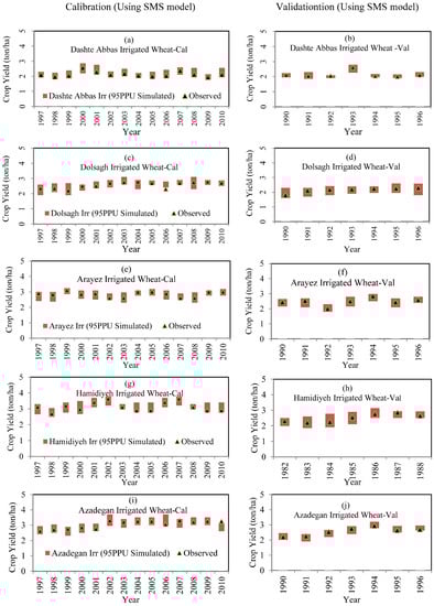
3.1. Calibration and Validation of the Coupled Model for Wheat and Maize
3.2. Water Productivity of Wheat and Maize
3.3. Yield-Irrigation Water Relations
4. Summary and Conclusions
Supplementary Materials
Acknowledgments
Author Contributions
Conflicts of Interest
References
- Food and Agriculture Organization of the United Nations (FAO). Crop Yield Response to Water; Steduto, P., Hsiao, T.C., Fereres, E., Raes, D., Eds.; Food and Agriculture Organization of the United Nations: Rome, Italy, 2012. [Google Scholar]
- World Water Assessment Programme (WWAP). The United Nations World Water Development Report 4: Managing Water under Uncertainty and Risk; World Water Assessment Programme: Paris, France, 2012. [Google Scholar]
- Keller, A.; Sakthivadivel, R.; Seckler, D. Water Scarcity and the Role of Storage in Development; International Water Management Institute (IWMI): Colombo, Sri Lanka, 2010. [Google Scholar]
- Zwart, S.J.; Bastiaanssen, W.G.M. Review of measured crop water productivity values for irrigated wheat, rice, cotton and maize. Agric. Water Manag. 2004, 69, 115–133. [Google Scholar] [CrossRef]
- Molden, D.; Oweis, T.; Steduto, P.; Bindraban, P.; Hanjra, M.A.; Kijne, J. Improving agricultural water productivity: Between optimism and caution. Agric. Water Manag. 2010, 97, 528–535. [Google Scholar] [CrossRef]
- Sarwar, A.; Bastiaanssen, W.G.M. Long-term effects of irrigation water conservation on crop production and environment in semiarid areas. J. Irrig. Drain. Eng. ASCE 2001, 127, 331–338. [Google Scholar] [CrossRef]
- Nhamo, L.; Mabhaudhi, T.; Magombeyi, M. Improving water sustainability and food security through increased crop water productivity in malawi. Water 2016, 8, 411. [Google Scholar] [CrossRef]
- Giménez, L.; Petillo, M.; Paredes, P.; Pereira, L. Predicting maize transpiration, water use and productivity for developing improved supplemental irrigation schedules in western Uruguay to cope with climate variability. Water 2016, 8, 309. [Google Scholar] [CrossRef]
- Borrego-Marín, M.; Gutiérrez-Martín, C.; Berbel, J. Water productivity under drought conditions estimated using SEEA-water. Water 2016, 8, 138. [Google Scholar] [CrossRef]
- Kima, A.; Chung, W.; Wang, Y.-M. Improving irrigated lowland rice water use efficiency under saturated soil culture for adoption in tropical climate conditions. Water 2014, 6, 2830. [Google Scholar] [CrossRef]
- Roudier, P.; Sultan, B.; Quirion, P.; Berg, A. The impact of future climate change on West African crop yields: What does the recent literature say? Glob. Environ. Chang. 2011, 21, 1073–1083. [Google Scholar] [CrossRef]
- Mo, X.; Liu, S.; Lin, Z.; Xu, Y.; Xiang, Y.; McVicar, T.R. Prediction of crop yield, water consumption and water use efficiency with a SVAT-crop growth model using remotely sensed data on the North China Plain. Ecol. Model. 2005, 183, 301–322. [Google Scholar] [CrossRef]
- Singh, R.; van Dam, J.C.; Feddes, R.A. Water productivity analysis of irrigated crops in sirsa district, India. Agric. Water Manag. 2006, 82, 253–278. [Google Scholar] [CrossRef]
- Liu, J.G. A gis-based tool for modelling large-scale crop-water relations. Environ. Model. Softw. 2009, 24, 411–422. [Google Scholar] [CrossRef]
- Aggarwal, P.K.; Banerjee, B.; Daryaei, M.G.; Bhatia, A.; Bala, A.; Rani, S.; Chander, S.; Pathak, H.; Kalra, N. Infocrop: A dynamic simulation model for the assessment of crop yields, losses due to pests, and environmental impact of agro-ecosystems in tropical environments. II. Performance of the model. Agric. Syst. 2006, 89, 47–67. [Google Scholar] [CrossRef]
- Aggarwal, P.K.; Kalra, N.; Chander, S.; Pathak, H. Infocrop: A dynamic simulation model for the assessment of crop yields, losses due to pests, and environmental impact of agro-ecosystems in tropical environments. I. Model description. Agric. Syst. 2006, 89, 1–25. [Google Scholar] [CrossRef]
- Vanuytrecht, E.; Raes, D.; Steduto, P.; Hsiao, T.C.; Fereres, E.; Heng, L.K.; Garcia Vila, M.; Mejias Moreno, P. Aquacrop: Fao’s crop water productivity and yield response model. Environ. Model. Softw. 2014, 62, 351–360. [Google Scholar] [CrossRef]
- Steduto, P.; Raes, D.; Hsiao, T.C.; Fereres, E.; Heng, L.K.; Howell, T.A.; Evett, S.R.; Rojas-Lara, B.A.; Farahani, H.J.; Izzi, G.; et al. Concepts and applications of AquaCrop: The FAO crop water productivity model. In Crop Modeling and Decision Support; Cao, W., White, J.W., Wang, E., Eds.; Springer: Berlin/Heidelberg, Germany, 2009; pp. 175–191. [Google Scholar]
- Raes, D.; Steduto, P.; Hsiao, T.C.; Fereres, E. AquaCrop—The FAO Crop model to simulate yield response to water: II. Main algorithms and software description all rights reserved. No part of this periodical may be reproduced or transmitted in any form or by any means, electronic or mechanical, including photocopying, recording, or any information storage and retrieval system, without permission in writing from the publisher. Agron. J. 2009, 101, 438–447. [Google Scholar]
- Alcamo, J.; DÖLl, P.; Henrichs, T.; Kaspar, F.; Lehner, B.; RÖSch, T.; Siebert, S. Development and testing of the WaterGap 2 global model of water use and availability. Hydrol. Sci. J. 2003, 48, 317–337. [Google Scholar] [CrossRef]
- Li, T.; Hasegawa, T.; Yin, X.; Zhu, Y.; Boote, K.; Adam, M.; Bregaglio, S.; Buis, S.; Confalonieri, R.; Fumoto, T.; et al. Uncertainties in predicting rice yield by current crop models under a wide range of climatic conditions. Glob. Chang. Biol. 2015, 21, 1328–1341. [Google Scholar] [CrossRef] [PubMed]
- Challinor, A.J.; Wheeler, T.R. Crop yield reduction in the tropics under climate change: Processes and uncertainties. Agric. For. Meteorol. 2008, 148, 343–356. [Google Scholar] [CrossRef]
- Lobell, D.B.; Cassman, K.G.; Field, C.B. Crop yield gaps: Their importance, magnitudes, and causes. Annu. Rev. Environ. Resour. 2009, 34, 179–204. [Google Scholar] [CrossRef]
- Iizumi, T.; Yokozawa, M.; Nishimori, M. Parameter estimation and uncertainty analysis of a large-scale crop model for paddy rice: Application of a Bayesian approach. Agric. For. Meteorol. 2009, 149, 333–348. [Google Scholar] [CrossRef]
- Arnold, J.G.; Srinivasan, R.; Muttiah, R.S.; Williams, J.R. Large area hydrologic modeling and assessment—Part 1: Model development. J. Am. Water Resour. Assoc. 1998, 34, 73–89. [Google Scholar] [CrossRef]
- Gassman, P.W.; Reyes, M.R.; Green, C.H.; Arnold, J.G. The soil and water assessment tool: Historical development, applications, and future research directions. Trans. ASABE 2007, 50, 1211–1250. [Google Scholar] [CrossRef]
- Arnold, J.G.; Moriasi, D.N.; Gassman, P.W.; Abbaspour, K.C.; White, M.J.; Srinivasan, R.; Santhi, C.; Harmel, R.D.; van Griensven, A.; Van Liew, M.W.; et al. Swat: Model use, calibration, and validation. Trans. ASABE 2012, 55, 1491–1508. [Google Scholar] [CrossRef]
- Abbaspour, K.C.; Yang, J.; Maximov, I.; Siber, R.; Bogner, K.; Mieleitner, J.; Zobrist, J.; Srinivasan, R. Modelling hydrology and water quality in the pre-ailpine/alpine Thur watershed using SWAT. J. Hydrol. 2007, 333, 413–430. [Google Scholar] [CrossRef]
- Schuol, J.; Abbaspour, K.C.; Yang, H.; Srinivasan, R.; Zehnder, A.J.B. Modeling blue and green water availability in Africa. Water Resour. Res. 2008, 44. [Google Scholar] [CrossRef]
- Abbaspour, K.C.; Rouholahnejad, E.; Vaghefi, S.; Srinivasan, R.; Yang, H.; Klove, B. A continental-scale hydrology and water quality model for Europe: Calibration and uncertainty of a high-resolution large-scale SWAT model. J. Hydrol. 2015, 524, 733–752. [Google Scholar] [CrossRef]
- Faramarzi, M.; Yang, H.; Schulin, R.; Abbaspour, K.C. Modeling wheat yield and crop water productivity in Iran: Implications of agricultural water management for wheat production. Agric. Water Manag. 2010, 97, 1861–1875. [Google Scholar] [CrossRef]
- Babel, M.S.; Gupta, A.D.; Nayak, D.K. A model for optimal allocation of water to competing demands. Water Resour. Manag. 2005, 19, 693–712. [Google Scholar] [CrossRef]
- Perera, B.J.C.; James, B.; Kularathna, M.D.U. Computer software tool REALM for sustainable water allocation and management. J. Environ. Manag. 2005, 77, 291–300. [Google Scholar] [CrossRef] [PubMed]
- Yates, D.; Sieber, J.; Purkey, D.; Huber-Lee, A. Weap21—A demand-, priority-, and preference-driven water planning model part 1: Model characteristics. Water Int. 2005, 30, 487–500. [Google Scholar] [CrossRef]
- Labadie, J.W. Modsim: River Basin Network Flow Model for Conjunctive Stream-Aquifer Management. Program User Manual and Documentation; Colorado State University: Boulder, CO, USA, 1995. [Google Scholar]
- Mousavi, S.J.; Shourian, M. Adaptive sequentially space-filling metamodeling applied in optimal water quantity allocation at basin scale. Water Resour. Res. 2010, 46. [Google Scholar] [CrossRef]
- Shourian, M.; Mousavi, S.J.; Tahershamsi, A. Basin-wide water resources planning by integrating PSO algorithm and MODSIM. Water Resour. Manag. 2008, 22, 1347–1366. [Google Scholar] [CrossRef]
- De Azevedo, L.G.T.; Gates, T.K.; Fontane, D.G.; Labadie, J.W.; Porto, R.L. Integration of water quantity and quality in strategic river basin planning. J. Water Resour. Plan. Manag. ASCE 2000, 126, 85–97. [Google Scholar] [CrossRef]
- Dai, T.W.; Labadie, J.W. River basin network model for integrated water quantity/quality management. J. Water Resour. Plan. Manag. ASCE 2001, 127, 295–305. [Google Scholar] [CrossRef]
- Ahmad, M.U.D.; Giordano, M. The Karkheh River Basin: The food basket of Iran under pressure. Water Int. 2010, 35, 522–544. [Google Scholar] [CrossRef]
- Qureshi, A.S.; Oweis, T.; Karimi, P.; Porehemmat, J. Water productivity of irrigated wheat and maize in the Karkheh River Basin of Iran. Irrig. Drain. 2010, 59, 264–276. [Google Scholar] [CrossRef]
- Vaghefi, S.A.; Mousavi, S.J.; Abbaspour, K.C.; Srinivasan, R.; Yang, H. Analyses of the impact of climate change on water resources components, drought and wheat yield in semiarid regions: Karkheh River Basin in Iran. Hydrol. Process. 2014, 28, 2018–2032. [Google Scholar] [CrossRef]
- Rafiee, V.; Shourian, M. Optimum multicrop-pattern planning by coupling swat and the harmony search algorithm. J. Irrig. Drain. Eng. 2016, 142. [Google Scholar] [CrossRef]
- Iran Water and Power Resources Development Co. Systematic Studies of Karkheh River Basin; IWPR: Tehran, Iran, 2010. (In Persian) [Google Scholar]
- Marjanizadeh, S.; de Fraiture, C.; Loiskandl, W. Food and water scenarios for the Karkheh River Basin, Iran. Water Int. 2010, 35, 409–424. [Google Scholar] [CrossRef]
- Oweis, T.; Abbasi, F.; Siadat, H. Improving on-Farm Agricultural Water Productivity in the Karkheh River Basin (PN08); Department for International Development: Chatham, UK, 2009.
- Fisher, M.J.; Cook, S.E. Water, Food and Poverty in River Basins, Defining the Limits; Routledge: London, UK, 2012; p. 406. [Google Scholar]
- Keshavarz, A.; Ashraft, S.; Hydari, N.; Pouran, M.; Farzaneh, E.A.; Natl Acad, P. Water Allocation and Pricing in Agriculture of Iran; National Academies Press: Washington, DC, USA, 2005; pp. 153–172. [Google Scholar]
- Farahani, H.; Oweis, T. Chapter I Agricultural Water Productivity in Karkheh River Basin. Improving on-Farm Agricultural water Productivity in the Karkheh River Basin; Research Report No. 1: A Compendium of Review Papers; ICARDA: Aleppo, Syria, 2008; p. 103. [Google Scholar]
- Ahmad, M.-U.-D.; Islam, M.A.; Masih, I.; Muthuwatta, L.; Karimi, P.; Turral, H. Mapping basin-level water productivity using remote sensing and secondary data in the Karkheh River Basin, Iran. Water Int. 2009, 34, 119–133. [Google Scholar] [CrossRef]
- MahabGhods Consulting Engineer Co. Systematic Planning of Karkheh Watershed: Studying the Water Consumption of Demand Sectors; MahabGhods Consulting Engineer Co.: Tehran, Iran, 2009. (In Persian) [Google Scholar]
- Abbaspour, K.C.; Johnson, C.A.; van Genuchten, M.T. Estimating uncertain flow and transport parameters using a sequential uncertainty fitting procedure. Vadose Zone J. 2004, 3, 1340–1352. [Google Scholar] [CrossRef]
- Abbaspour, K.C. User Manual for Swat-Cup, Swat Calibration and Uncertainty Analysis Programs; Swiss Federal Institute of Aquatic Science and Technology, Eawag: Duebendorf, Switzerland, 2011; p. 103. [Google Scholar]
- Moriasi, D.N.; Arnold, J.G.; van Liew, M.W.; Bingner, R.L.; Harmel, R.D.; Veith, T.L. Model evaluation guidelines for systematic quantification of accuracy in watershed simulations. Trans. ASABE 2007, 50, 885–900. [Google Scholar] [CrossRef]
- Labadie, J.W. River Basin Network Model for Water Rights Planning, Modsim: Technical Manual, Department of Civil Engineering; Colorado State University: Fort Collins, CO, USA, 2010. [Google Scholar]
- Fredericks, J.W.; Labadie, J.W.; Altenhofen, J.M. Decision support system for conjunctive stream-aquifer management. J. Water Resour. Plan. Manag. ASCE 1998, 124, 69–78. [Google Scholar] [CrossRef]
- Food and Agriculture Organization (FAO). The Digital Soil Map of the World and Derived Soil Properties; FAO: Rome, Iatly, 1995. [Google Scholar]
- Jarvis, A.; Reuter, H.I.; Nelson, A.; Guevara, E. Hole-Filled Srtm for the Globe Version 4; Available from the CGIAR-CSI Srtm 90 m Database; CGIAR-CSI: Washington, DC, USA, 2008. [Google Scholar]
- Ministry of Energy of Iran. An Overview of National Water Planning of Iran; Ministry of Energy of Iran: Tehran, Iran, 1998. (In Persian)
- Faramarzi, M.; Abbaspour, K.C.; Schulin, R.; Yang, H. Modelling blue and green water resources availability in Iran. Hydrol. Process. 2009, 23, 486–501. [Google Scholar] [CrossRef]
- Vaghefi, S.A.; Mousavi, S.J.; Abbaspour, K.C.; Srinivasan, R.; Arnold, J.R. Integration of hydrologic and water allocation models in basin-scale water resources management considering crop pattern and climate change: Karkheh River Basin in Iran. Reg. Environ. Chang. 2015, 15, 475–484. [Google Scholar] [CrossRef]
- Chhuon, K.; Herrera, E.; Nadaoka, K. Application of integrated hydrologic and river basin management modeling for the optimal development of a multi-purpose reservoir project. Water Resour. Manag. 2016, 30, 3143–3157. [Google Scholar] [CrossRef]
- Ahn, S.R.; Jeong, J.H.; Kim, S.J. Assessing drought threats to agricultural water supplies under climate change by combining the SWAT and MODSIM models for the Geum River Basin, South Korea. Hydrol. Sci. J. 2016, 61, 2740–2753. [Google Scholar] [CrossRef]
- Rockström, J.; Hatibu, N.; Oweis, T.; Wani, S.P. Managing water in rain-fed agriculture. In Water for Food, Water for Life: A Comprehensive Assessment of Water Management in Agriculture; Molden, D., Ed.; Earthscan: London, UK; International Water Management Institute (IWMI): Colombo, Sri Lanka, 2007; pp. 315–348. [Google Scholar]








| Dam Name | Status | Normal Level (Meter above Sea Level) m.a.s.l | Storage (Miliion Cubic Meter) MCM | Purpose |
|---|---|---|---|---|
| Karkheh | Operational | 220 | 4616 | Irrigation and hydropower |
| Agricultural Land | Total Area (ha) | Irrigated Wheat Area (ha) | Rainfed Wheat Area (ha) |
|---|---|---|---|
| Dashte Abbas | 19,025 | 9720 | 2100 |
| Dolsagh | 16,133 | 6320 | 4200 |
| Arayez | 28,900 | 11,200 | 4300 |
| Hamidiyeh | 17,050 | 12,840 | 1100 |
| Azadegan | 71,093 | 50,050 | 7100 |
| Agricultural Region | Calibration | Validation | ||||||
|---|---|---|---|---|---|---|---|---|
| P-Factor | R-Factor | P-Factor | R-Factor | P-Factor | R-Factor | P-Factor | R-Factor | |
| Wheat | Wheat | Maize | Maize | Wheat | Wheat | Maize | Maize | |
| Dashte Abbas | 0.77 | 0.21 | 0.79 | 0.65 | 0.76 | 0.34 | 0.65 | 0.59 |
| Dolsagh | 0.85 | 0.39 | 0.86 | 0.65 | 0.75 | 0.25 | 0.61 | 0.71 |
| Arayez | 0.83 | 0.43 | 0.79 | 0.69 | 0.74 | 0.27 | 0.61 | 0.73 |
| Hamidiyeh | 0.78 | 0.29 | 0.73 | 0.42 | 0.73 | 0.36 | 0.68 | 0.87 |
| Azadegan | 0.84 | 0.23 | 0.76 | 0.43 | 0.73 | 0.29 | 0.69 | 0.89 |
| Agricultural Region | Wheat | Maize | ||||
|---|---|---|---|---|---|---|
| Imax | Imin | Iavg | Imax | Imin | Iavg | |
| Dashte Abbas | 5980 | 2300 | 3120 | 8500 | 4320 | 6280 |
| Dolsagh | 6662 | 2563 | 3476 | 9469 | 4812 | 6996 |
| Arayez | 5560 | 3210 | 4150 | 9300 | 6340 | 9020 |
| Hamidiyeh | 5184 | 3500 | 4230 | 10,200 | 6800 | 9100 |
| Azadegan | 5890 | 4127 | 4690 | 9320 | 5890 | 8910 |
© 2017 by the authors. Licensee MDPI, Basel, Switzerland. This article is an open access article distributed under the terms and conditions of the Creative Commons Attribution (CC BY) license ( http://creativecommons.org/licenses/by/4.0/).
Share and Cite
Ashraf Vaghefi, S.; Abbaspour, K.C.; Faramarzi, M.; Srinivasan, R.; Arnold, J.G. Modeling Crop Water Productivity Using a Coupled SWAT–MODSIM Model. Water 2017, 9, 157. https://doi.org/10.3390/w9030157
Ashraf Vaghefi S, Abbaspour KC, Faramarzi M, Srinivasan R, Arnold JG. Modeling Crop Water Productivity Using a Coupled SWAT–MODSIM Model. Water. 2017; 9(3):157. https://doi.org/10.3390/w9030157
Chicago/Turabian StyleAshraf Vaghefi, Saeid, Karim C. Abbaspour, Monireh Faramarzi, Raghavan Srinivasan, and Jeffrey G. Arnold. 2017. "Modeling Crop Water Productivity Using a Coupled SWAT–MODSIM Model" Water 9, no. 3: 157. https://doi.org/10.3390/w9030157
APA StyleAshraf Vaghefi, S., Abbaspour, K. C., Faramarzi, M., Srinivasan, R., & Arnold, J. G. (2017). Modeling Crop Water Productivity Using a Coupled SWAT–MODSIM Model. Water, 9(3), 157. https://doi.org/10.3390/w9030157

