Channel Planform Dynamics Monitoring and Channel Stability Assessment in Two Sediment-Rich Rivers in Taiwan
Abstract
:1. Introduction
2. Study Area
3. Methods
3.1. Satellite Image Collection and Channel Digitizing
3.2. Channel Stability Analysis
4. Results
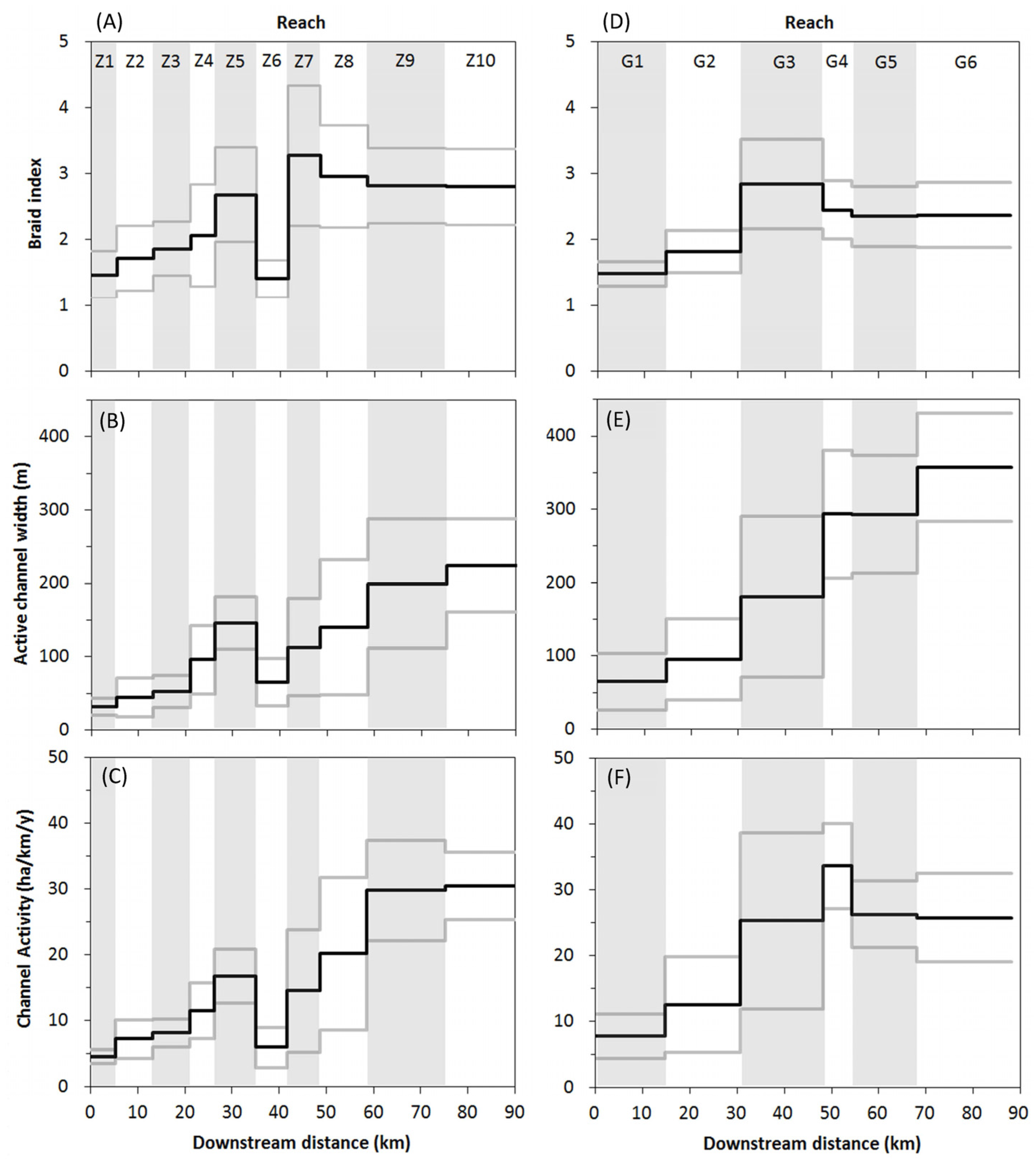
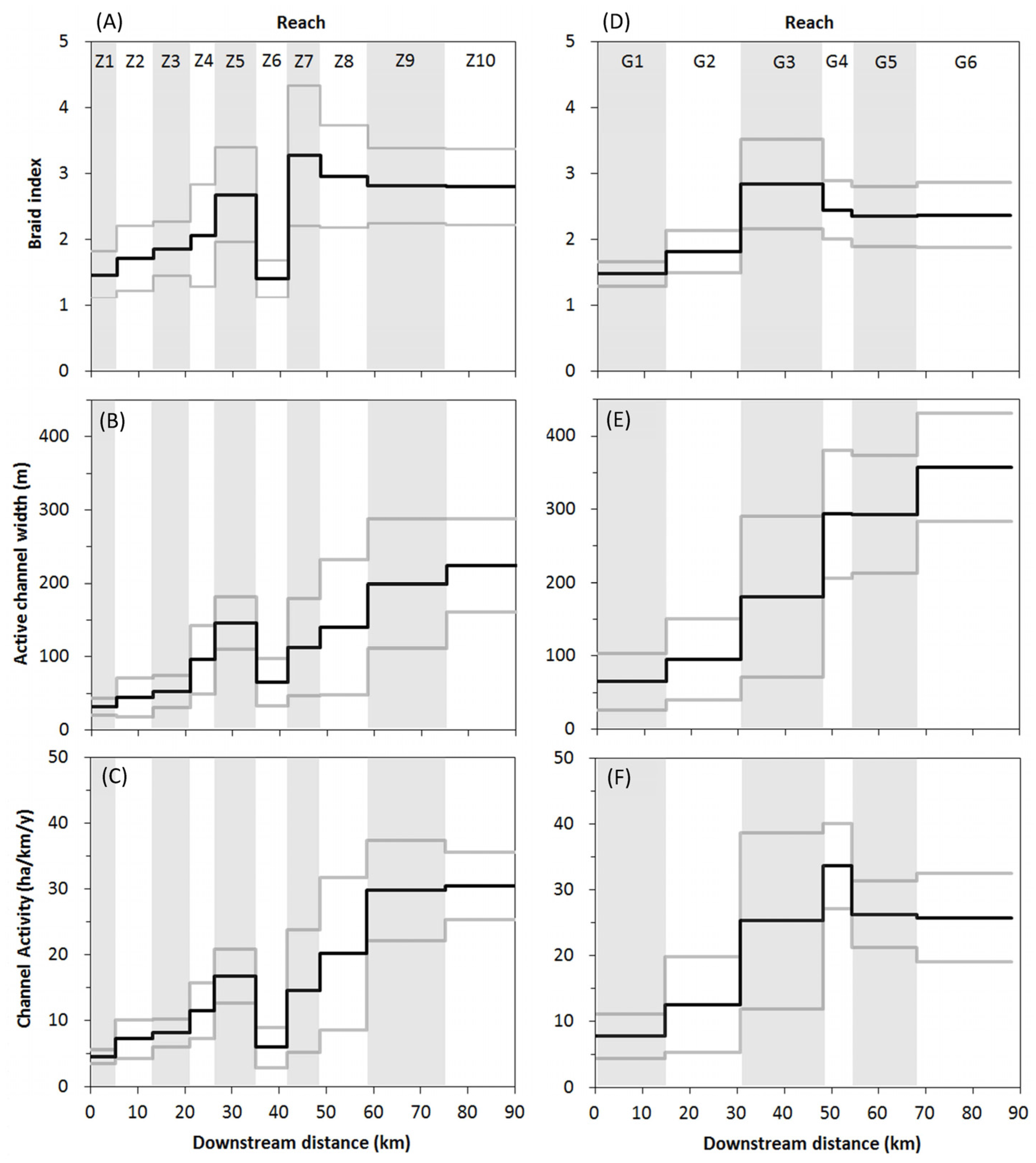
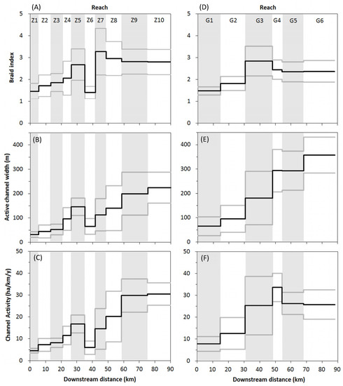
4.1. Downstream Patterns of Channel Planform Indices
4.2. Annual Change of Erosion and Deposition
4.3. Assessment of Channel Stability
5. Discussion
5.1. The Influence of Valley Width and Hydraulic Construction upon Channel Planform Changes
5.2. The Influence of Extreme Hydrological Events
5.3. Application of Channel Planform Indices
6. Conclusions
Acknowledgments
Author Contributions
Conflicts of Interest
References
- Brierley, G.J. Landscape memory: The imprint of the past on contemporary landscape forms and processes. Area 2010, 42, 76–85. [Google Scholar] [CrossRef]
- Bertoldi, W.; Zanoni, L.; Tubino, M. Assessment of morphological changes induced by flow and flood pulses in a gravel bed braided river: The Tagliamento river (Italy). Geomorphology 2010, 114, 348–360. [Google Scholar] [CrossRef]
- Gilvear, D.J. Fluvial geomorphology and river engineering: Future roles utilizing a fluvial hydrosystems framework. Geomorphology 1999, 31, 229–245. [Google Scholar] [CrossRef]
- Ashmore, P.; Parker, G. Confluence scour in coarse braided streams. Water Resour. Res. 1983, 19, 392–402. [Google Scholar] [CrossRef]
- Ashmore, P.; Church, M. Sediment transport and river morphology: A paradigm for study. In Gravel-Bed Rivers in the Environment; Klingeman, P., Beschta, R., Komar, P., Bradley, J., Eds.; Water Resources Publications LLC: Littleton, CO, USA, 1998; pp. 115–148. [Google Scholar]
- Egozi, R.; Ashmore, P. Defining and measuring braiding intensity. Earth Surf. Processes Landf. 2008, 33, 2121–2138. [Google Scholar] [CrossRef]
- Zanoni, L.; Gurnell, A.; Drake, N.; Surian, N. Island dynamics in a braided river from analysis of historical maps and air photographs. River Res. Appl. 2008, 24, 1141–1159. [Google Scholar] [CrossRef]
- Comiti, F.; Da Canal, M.; Surian, N.; Mao, L.; Picco, L.; Lenzi, M.A. Channel adjustments and vegetation cover dynamics in a large gravel bed river over the last 200 years. Geomorphology 2011, 125, 147–159. [Google Scholar] [CrossRef]
- Zinger, J.A.; Rhoads, B.L.; Best, J.L. Extreme sediment pulses generated by bend cutoffs along a large meandering river. Nat. Geosci. 2011, 4, 675–678. [Google Scholar] [CrossRef]
- Sarma, J.N. Fluvial process and morphology of the Brahmaputra River in Assam, India. Geomorphology 2005, 70, 226–256. [Google Scholar] [CrossRef]
- Takagi, T.; Oguchi, T.; Matsumoto, J.; Grossman, M.J.; Sarker, M.H.; Matin, M.A. Channel braiding and stability of the Brahmaputra river, Bangladesh, since 1967: GIS and remote sensing analyses. Geomorphology 2007, 85, 294–305. [Google Scholar] [CrossRef]
- Boruah, S.; Gilvear, D.J.; Hunter, P.; Sharma, N. Quantifying channel planform and physical habitat dynamics on a large braided river using satellite data—The Brahmaputra, India. River Res. Appl. 2008, 24, 650–660. [Google Scholar] [CrossRef]
- Nelson, N.C.; Erwin, S.O.; Schmidt, J.C. Spatial and temporal patterns in channel change on the snake river downstream from Jackson lake dam, Wyoming. Geomorphology 2013, 200, 132–142. [Google Scholar] [CrossRef]
- Fuller, I.C. Geomorphic impacts of a 100-year flood: Kiwitea stream, Manawatu catchment, New Zealand. Geomorphology 2008, 98, 84–95. [Google Scholar] [CrossRef]
- Chen, S.-C.; Shin, P.-Y.; Wu, C.-H. Sediment influence associated with extreme events on the channel pattern in the Chenyoulan River. J. Chin. Soil Water Conserv. 2013, 44, 311–323. [Google Scholar]
- Chen, S.-C.; Shin, P.-Y.; Wu, C.-H.; Chao, Y.-C. The influence of macro-sediment from mountainous areas on the river morphology in the Heshe River. J. Chin. Soil Water Conserv. 2013, 44, 302–310. [Google Scholar]
- Davies, T.R.H.; Korup, O. Persistent alluvial fanhead trenching resulting from large, infrequent sediment inputs. Earth Surf. Processes Landf. 2007, 32, 725–742. [Google Scholar] [CrossRef]
- Kao, S.J.; Milliman, J.D. Water and sediment discharge from small mountainous rivers, Taiwan: The roles of lithology, episodic events, and human activities. J. Geol. 2008, 116, 431–448. [Google Scholar] [CrossRef]
- Wu, C.H.; Chen, S.C.; Chou, H.T. Geomorphologic characteristics of catastrophic landslides during typhoon Morakot in the Kaoping watershed, Taiwan. Eng. Geol. 2011, 123, 13–21. [Google Scholar] [CrossRef]
- Brierley, G.J.; Fryirs, K.A. Geomorphology and River Management: Applications of the River Styles Framework; Blackwell: Oxford, UK, 2005. [Google Scholar]
- Mosley, M.P. Semi-determinate hydraulic geometry of river channels, South Island, New Zealand. Earth Surf. Processes Landf. 1981, 6, 127–137. [Google Scholar] [CrossRef]
- Church, M. Geomorphic response to river flow regulation: Case studies and time- scales. Regul. Rivers Res. Manag. 1995, 11, 3–22. [Google Scholar] [CrossRef]
- Boix-Fayos, C.; Barberá, G.G.; López-Bermúdez, F.; Castillo, V.M. Effects of check dams, reforestation and land-use changes on river channel morphology: Case study of the Rogativa catchment (Murcia, Spain). Geomorphology 2007, 91, 103–123. [Google Scholar] [CrossRef]
- Phillips, J.D.; Slattery, M.C.; Musselman, Z.A. Channel adjustments of the lower trinity river, texas, downstream of Livingston dam. Earth Surf. Processes Landf. 2005, 30, 1419–1439. [Google Scholar] [CrossRef]
- An, H.P.; Chen, S.C.; Chan, H.C.; Hsu, Y. Dimension and frequency of bar formation in a braided river. Int. J. Sediment Res. 2013, 28, 358–367. [Google Scholar] [CrossRef]
- Surian, N.; Mao, L.; Giacomin, M.; Ziliani, L. Morphological effects of different channel-forming discharges in a gravel-bed river. Earth Surf. Processes Landf. 2009, 34, 1093–1107. [Google Scholar] [CrossRef]
- Kuo, C.W.; Brierley, G.; Chang, Y.H. Monitoring channel responses to flood events of low to moderate magnitudes in a bedrock-dominated river using morphological budgeting by terrestrial laser scanning. Geomorphology 2015, 235, 1–14. [Google Scholar] [CrossRef]








| Basin | Reach ID | Upstream Boundary | Length (km) | Elevation (m) | Valley Slope | Average Valley Width (m) | Valley Setting |
|---|---|---|---|---|---|---|---|
| Zhuoshui River | Z1 | Confluence of Alibudong Stream | 5.6 | 586–708 | 0.0219 | 303 | Partly-confined |
| Z2 | Confluence of Shibachong Stream | 8.0 | 440–586 | 0.0183 | 376 | Partly-confined | |
| Z3 | Confluence of Junkeng Stream | 8.0 | 308–440 | 0.0165 | 481 | Partly-confined | |
| Z4 | Confluence of Chenyoulan | 5.3 | 266–308 | 0.0079 | 450 | Partly-confined | |
| Z5 | Yufeng Bridge (Confluence of Shuili Stream) | 9.2 | 196–266 | 0.0076 | 730 | Laterally-unconfined | |
| Z6 | Jiji Weir | 6.7 | 152–196 | 0.0065 | 364 | Confined | |
| Z7 | Mingzhu Bridge | 7.4 | 99–152 | 0.0072 | 1000 | Laterally-unconfined | |
| Z8 | Confluence of Qingshui Stream | 10.3 | 52–99 | 0.0046 | 1514 | Laterally-unconfined | |
| Z9 | Dazhuang Village | 17.2 | 16–52 | 0.0021 | 1083 | Laterally-unconfined | |
| Z10 | Ziqiang Bridge | 16.0 | 0–16 | 0.0010 | 1448 | Laterally-unconfined | |
| Gaoping River | G1 | Baolai Bridge (confluence of Baolai Stream) | 14.7 | 251–369 | 0.0081 | 287 | Partly-confined |
| G2 | Dongxi Bridge (confluence of Bangfu stream) | 15.9 | 141–251 | 0.0069 | 539 | Partly-confined | |
| G3 | Dajin Bridge (confluence of Zhuokou stream) | 17.6 | 31–141 | 0.0063 | 1722 | Laterally-unconfined | |
| G4 | Ligang Bridge (confluence of Ailiao stream) | 6.2 | 24–31 | 0.0012 | 1753 | Laterally-unconfined | |
| G5 | Liling Bridge (confluence of Qishan stream) | 13.8 | 12–24 | 0.0009 | 1566 | Laterally-unconfined | |
| G6 | Gaoping River Weir | 20.0 | 0–12 | 0.0006 | 2047 | Laterally-unconfined |
| (A) Braid index | Year | |||||||
| Reach | 2008 | 2009 | 2010 | 2011 | 2012 | 2013 | 2014 | 2015 |
| Z1 | 1.73 | 1.20 | 1.11 | 1.37 | 1.19 | 1.63 | 1.22 | 2.23 |
| Z2 | 1.91 | 1.27 | 1.14 | 1.43 | 1.56 | 2.83 | 1.68 | 1.89 |
| Z3 | 1.63 | 1.82 | 1.63 | 2.10 | 1.07 | 2.60 | 2.06 | 1.96 |
| Z4 | 2.36 | 2.28 | 1.20 | 1.44 | 1.61 | 3.86 | 1.90 | 1.85 |
| Z5 | 2.79 | 3.00 | 1.75 | 1.78 | 1.97 | 3.36 | 3.82 | 2.94 |
| Z6 | 1.54 | 1.55 | 1.34 | 1.24 | 1.15 | 2.02 | 1.31 | 1.07 |
| Z7 | 4.22 | 4.95 | 2.50 | 2.62 | 2.26 | 2.27 | 4.68 | 2.67 |
| Z8 | 2.91 | 4.60 | 3.62 | 2.44 | 2.31 | 2.71 | 3.06 | 1.98 |
| Z9 | 3.14 | 3.65 | 1.76 | 2.81 | 2.48 | 2.34 | 3.41 | 2.94 |
| Z10 | 2.45 | 2.53 | 1.96 | 3.16 | 2.16 | 3.31 | 3.73 | 3.12 |
| G1 | 1.81 | 1.47 | 1.17 | 1.47 | 1.30 | 1.65 | 1.42 | 1.55 |
| G2 | 2.07 | 2.16 | 1.48 | 2.33 | 1.53 | 1.38 | 1.86 | 1.77 |
| G3 | 3.59 | 3.83 | 2.04 | 2.34 | 3.56 | 2.05 | 2.85 | 2.53 |
| G4 | 2.97 | 1.69 | 2.05 | 2.93 | 2.85 | 2.07 | 2.50 | 2.54 |
| G5 | 2.31 | 1.73 | 1.75 | 2.62 | 2.75 | 2.49 | 3.10 | 2.07 |
| G6 | 2.07 | 2.23 | 1.67 | 2.33 | 3.30 | 2.66 | 2.80 | 1.93 |
| (B) Active channel width (m) | Year | |||||||
| Reach | 2008 | 2009 | 2010 | 2011 | 2012 | 2013 | 2014 | 2015 |
| Z1 | 28 | 37 | 17 | 23 | 35 | 57 | 22 | 33 |
| Z2 | 29 | 62 | 19 | 28 | 45 | 107 | 36 | 32 |
| Z3 | 33 | 84 | 37 | 51 | 47 | 94 | 36 | 37 |
| Z4 | 91 | 165 | 54 | 52 | 115 | 172 | 61 | 57 |
| Z5 | 163 | 186 | 107 | 98 | 121 | 206 | 128 | 159 |
| Z6 | 115 | 118 | 42 | 55 | 52 | 73 | 37 | 31 |
| Z7 | 256 | 190 | 75 | 69 | 73 | 81 | 99 | 60 |
| Z8 | 300 | 295 | 123 | 92 | 96 | 69 | 77 | 70 |
| Z9 | 200 | 385 | 91 | 215 | 193 | 119 | 265 | 129 |
| Z10 | 227 | 290 | 166 | 262 | 338 | 207 | 153 | 154 |
| G1 | 83 | 159 | 36 | 58 | 46 | 53 | 33 | 50 |
| G2 | 117 | 232 | 74 | 100 | 70 | 57 | 48 | 65 |
| G3 | 243 | 449 | 145 | 128 | 144 | 99 | 95 | 144 |
| G4 | 275 | 293 | 275 | 343 | 271 | 206 | 193 | 493 |
| G5 | 214 | 320 | 259 | 347 | 309 | 242 | 195 | 459 |
| G6 | 378 | 441 | 328 | 426 | 350 | 302 | 207 | 429 |
| (C) Channel activity (ha/km/year) | Year | |||||||
| Reach | 2008–2009 | 2009–2010 | 2010–2011 | 2011–2012 | 2012–2013 | 2013–2014 | 2014–2015 | |
| Z1 | 5.1 | 5.6 | 3.2 | 4.7 | 5.9 | 4.2 | 3.2 | |
| Z2 | 6.6 | 7.2 | 3.8 | 6.5 | 12.6 | 9.8 | 4.2 | |
| Z3 | 9.8 | 10.3 | 6.1 | 6.3 | 10.6 | 8.8 | 4.9 | |
| Z4 | 13.8 | 16.2 | 3.4 | 13.4 | 12.2 | 14.7 | 7.2 | |
| Z5 | 19.0 | 17.2 | 10.1 | 12.9 | 23.3 | 19.6 | 15.3 | |
| Z6 | 11.6 | 8.8 | 3.8 | 4.2 | 6.6 | 4.4 | 2.2 | |
| Z7 | 35.1 | 17.4 | 4.3 | 8.3 | 13.4 | 13.8 | 9.6 | |
| Z8 | 44.9 | 28.3 | 15.2 | 14.2 | 17.7 | 10.7 | 10.0 | |
| Z9 | 44.2 | 38.3 | 23.2 | 28.0 | 27.3 | 25.0 | 22.5 | |
| Z10 | 36.3 | 29.9 | 26.4 | 27.0 | 39.1 | 31.0 | 23.5 | |
| G1 | 12.3 | 13.4 | 5.7 | 7.5 | 5.4 | 5.4 | 4.3 | |
| G2 | 24.2 | 23.2 | 9.3 | 10.9 | 5.9 | 7.6 | 6.8 | |
| G3 | 51.1 | 40.5 | 16.4 | 16.0 | 19.9 | 16.3 | 16.5 | |
| G4 | 46.4 | 25.5 | 30.0 | 30.1 | 36.7 | 29.4 | 37.2 | |
| G5 | 34.4 | 30.8 | 22.3 | 23.2 | 26.0 | 18.5 | 28.6 | |
| G6 | 39.7 | 26.8 | 19.4 | 17.7 | 28.4 | 22.5 | 25.8 | |
| Reach | Braid Index | Active Channel Width (m) | Channel Activity (ha/km/Year) | Sensitivity Index * | ||||||
|---|---|---|---|---|---|---|---|---|---|---|
| Mean | S.D. | C.V. | Mean | S.D. | C.V. | Mean | S.D. | C.V. | ||
| Z1 | 1.46 | 0.36 | 24% | 32 | 12 | 37% | 4.57 | 1.00 | 22% | 83% L |
| Z2 | 1.72 | 0.49 | 29% | 45 | 26 | 59% | 7.25 | 2.87 | 40% | 127% M |
| Z3 | 1.86 | 0.42 | 22% | 53 | 22 | 42% | 8.11 | 2.15 | 27% | 91% L |
| Z4 | 2.06 | 0.77 | 37% | 96 | 47 | 49% | 11.54 | 4.21 | 37% | 123% M |
| Z5 | 2.68 | 0.72 | 27% | 146 | 36 | 25% | 16.76 | 4.09 | 24% | 76% L |
| Z6 | 1.40 | 0.28 | 20% | 65 | 32 | 49% | 5.97 | 3.02 | 51% | 120% M |
| Z7 | 3.27 | 1.07 | 33% | 113 | 67 | 59% | 14.55 | 9.27 | 64% | 155% H |
| Z8 | 2.95 | 0.78 | 26% | 140 | 92 | 66% | 20.17 | 11.55 | 57% | 149% H |
| Z9 | 2.81 | 0.57 | 20% | 200 | 88 | 44% | 29.79 | 7.63 | 26% | 90% L |
| Z10 | 2.80 | 0.58 | 21% | 225 | 64 | 28% | 30.45 | 5.16 | 17% | 66% L |
| G1 | 1.48 | 0.19 | 13% | 65 | 38 | 59% | 7.73 | 3.37 | 44% | 116% M |
| G2 | 1.82 | 0.32 | 18% | 95 | 56 | 58% | 12.55 | 7.20 | 57% | 133% H |
| G3 | 2.85 | 0.68 | 24% | 181 | 110 | 61% | 25.26 | 13.36 | 53% | 137% H |
| G4 | 2.45 | 0.44 | 18% | 294 | 87 | 30% | 33.62 | 6.50 | 19% | 67% L |
| G5 | 2.35 | 0.45 | 19% | 293 | 80 | 27% | 26.28 | 5.04 | 19% | 66% L |
| G6 | 2.37 | 0.49 | 21% | 358 | 74 | 21% | 25.76 | 6.74 | 26% | 68% L |
© 2017 by the authors. Licensee MDPI, Basel, Switzerland. This article is an open access article distributed under the terms and conditions of the Creative Commons Attribution (CC BY) license ( http://creativecommons.org/licenses/by/4.0/).
Share and Cite
Kuo, C.-W.; Chen, C.-F.; Chen, S.-C.; Yang, T.-C.; Chen, C.-W. Channel Planform Dynamics Monitoring and Channel Stability Assessment in Two Sediment-Rich Rivers in Taiwan. Water 2017, 9, 84. https://doi.org/10.3390/w9020084
Kuo C-W, Chen C-F, Chen S-C, Yang T-C, Chen C-W. Channel Planform Dynamics Monitoring and Channel Stability Assessment in Two Sediment-Rich Rivers in Taiwan. Water. 2017; 9(2):84. https://doi.org/10.3390/w9020084
Chicago/Turabian StyleKuo, Cheng-Wei, Chi-Farn Chen, Su-Chin Chen, Tun-Chi Yang, and Chun-Wei Chen. 2017. "Channel Planform Dynamics Monitoring and Channel Stability Assessment in Two Sediment-Rich Rivers in Taiwan" Water 9, no. 2: 84. https://doi.org/10.3390/w9020084
APA StyleKuo, C.-W., Chen, C.-F., Chen, S.-C., Yang, T.-C., & Chen, C.-W. (2017). Channel Planform Dynamics Monitoring and Channel Stability Assessment in Two Sediment-Rich Rivers in Taiwan. Water, 9(2), 84. https://doi.org/10.3390/w9020084
