Unravelling the Relative Contribution of Dissolved Carbon by the Red River to the Atchafalaya River
Abstract
1. Introduction
2. Materials and Methods
2.1. Study Area
2.2. Water Sampling and Field Measurements
2.3. Sample Analysis
2.4. Carbon Mass Transport Calculation
2.5. Estimation of Riverine pCO2
2.6. Statistical Analysis
3. Results
3.1. River Flow and Ambient Conditions
3.2. DOC and DIC Concentrations and Ratios
3.3. pCO2 Fluctuations
3.4. DOC and DIC Mass Transport
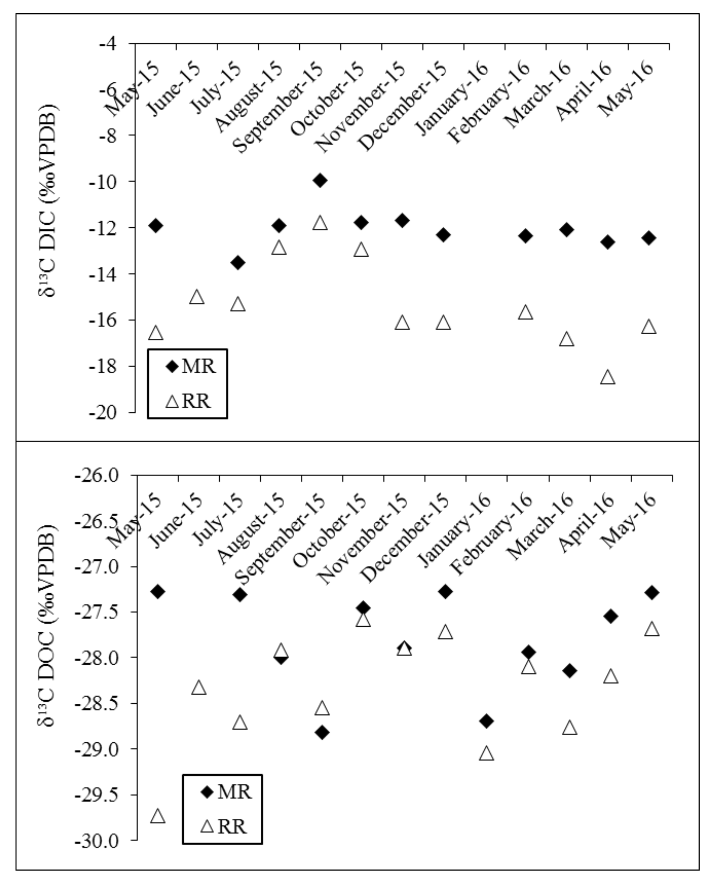
3.5. Isotopic Signature of Dissolved Carbon
4. Discussion
4.1. Red River Influence on AR Carbon Concentrations and Mass Loads
4.2. Sources and Processes Determining Dissolved Inorganic Carbon in the AR
4.3. Differences in Dissolved Organic Carbon Sources Entering the AR
5. Conclusions
Supplementary Materials
Acknowledgments
Author Contributions
Conflicts of Interest
References
- Chavez, F.; Takahashi, T. Coastal oceans. In The First State of the Carbon Cycle Report (SOCCR): North American Carbon Budget and Implications for the Global Carbon Cycle; U.S. Climate Change Science Program and the Subcommittee on Global Change Research, National Ocean and Atmospheric Administration, Climate Program Office: Silver Spring, MD, USA, 2007; Chapter 15; pp. 83–92. [Google Scholar]
- Tank, J.L.; Rosi-Marshall, E.J.; Griffiths, N.A.; Entrekin, S.A.; Stephen, M.L. A review of allochthonous organic matter dynamics and metabolism in streams. J. N. Am. Benthol. Soc. 2010, 29, 118–146. [Google Scholar] [CrossRef]
- Bianchi, T.S.; Filley, T.; Dria, K.; Hatcher, P.G. Temporal variability in sources of dissolved organic carbon in the lower Mississippi river. Geochim. Cosmochim. Acta 2004, 68, 959–967. [Google Scholar] [CrossRef]
- Bianchi, T.S.; Wysocki, L.A.; Stewart, M.; Filley, T.R.; McKee, B.A. Temporal variability in terrestrially-derived sources of particulate organic carbon in the lower Mississippi River and its upper tributaries. Geochim. Cosmochim. Acta 2007, 71, 4425–4437. [Google Scholar] [CrossRef]
- Cai, Y.; Guo, L.; Douglas, T.A. Temporal variation in organic carbon species and fluxes from the Chena River, Alaska. Limnol. Oceanogr. 2008, 53, 1408–1419. [Google Scholar] [CrossRef]
- Raymond, P.A.; Cole, J.J. Increase in the export of alkalinity from North America’s largest river. Science 2003, 301, 88–91. [Google Scholar] [CrossRef] [PubMed]
- Joshi, S.; Xu, Y.J. Assessment of suspended sand availability under different flow conditions of the Lowermost Mississippi River at Tarbert Landing during 1973–2013. Water 2015, 7. [Google Scholar] [CrossRef]
- Rosen, T.; Xu, Y.J. Estimation of sedimentation rates in the distributary basin of the Mississippi River, the Atchafalaya River Basin, USA. Hydrol. Res. 2015, 46, 244–257. [Google Scholar] [CrossRef]
- Donner, S.D.; Kucharik, C.J.; Foley, J.A. Impact of changing land use practices on nitrate export by the Mississippi River. Glob. Biogeochem. Cycles 2004, 18. [Google Scholar] [CrossRef]
- Lohrenz, S.; Fahnensiel, G.L.; Redalje, D.G.; Lang, G.A.; Chen, X.; Dagg, M.J. Variations in primary production of northern Gulf of Mexico continental shelf waters linked to nutrient inputs from the Mississippi River. Mar. Ecol. Prog. Ser. 1997, 155, 45–54. [Google Scholar] [CrossRef]
- Green, R.E.; Bianchi, T.S.; Dagg, M.J.; Walker, N.D.; Breed, G.A. An organic carbon budget for the Mississippi River turbidity plume and plume contributions to air-sea CO2 fluxes and bottom water hypoxia. Estuaries Coasts 2006, 29, 579–597. [Google Scholar] [CrossRef]
- Justic, D.; Rabalais, N.N.; Turner, R.E. Impacts of climate change on net productivity of coastal waters: Implications for carbon budgets and hypoxia. Clim. Res. 1997, 8, 225–237. [Google Scholar] [CrossRef]
- IPCC. Climate Change 2013: The Physical Science Basis. Contribution of Working Group I to the Fifth Assessment Report of the Intergovernmental Panel on Climate Change; Stocker, T.F., Qin, D., Plattner, G.-K., Tignor, M., Allen, S.K., Boschung, J., Nauels, A., Xia, Y., Bex, V., Midgley, P.M., Eds.; Cambridge University Press: Cambridge, UK; New York, NY, USA, 2013; p. 1535. [Google Scholar] [CrossRef]
- Aufdenkampe, A.K.; Mayorga, E.; Raymond, P.A.; Melack, J.M.; Doney, S.C.; Alin, S.R.; Aalto, R.E.; Yoo, K. Riverine cofupling of biogeochemical cycles between land, oceans, and atmosphere. Front. Ecol. Environ. 2011, 9, 53–60. [Google Scholar] [CrossRef]
- Xu, Y.J.; Bryant Mason, A. Determining the nitrate contribution of the Red River to the Atchafalaya River in the northern Gulf of Mexico under changing climate. In Water Quality: Current Trends and Expected Climate Change Impacts; IAHS Publication 348; Peters, J., Ed.; IAHS Publication: Wallingford, UK, 2011; pp. 95–100. [Google Scholar]
- Xu, Y.J. Transport and retention of nitrogen, phosphorus and carbon in North America’s largest river swamp basin, the Atchafalaya river basin. Water 2013, 5, 379–393. [Google Scholar] [CrossRef]
- Benner, R.; Opsahl, S. Molecular indicators of the sources and transformations of dissolved organic matter in the Mississippi River plume. Organ. Geochem. 2001, 32, 597–611. [Google Scholar] [CrossRef]
- Shen, Y.; Fichot, C.G.; Benner, R. Floodplain influence on dissolved organic matter composition and export from the Mississippi—Atchafalaya River system to the Gulf of Mexico. Limnol. Oceanogr. 2012, 57, 1149–1160. [Google Scholar] [CrossRef]
- Ehleringer, J.R.; Cerling, T.E. C3 and C4 photosynthesis. In Encyclopedia of Global Environmental Change–Volume 2. the Earth System: Biological and Ecological Dimensions of Global Environmental Change; Mooney, H.A., Canadell, J.G., Eds.; John Wiley & Sons, Ltd.: Chichester, UK, 2002; Volume 2, pp. 186–190. [Google Scholar]
- Mook, W.G.; Koopmans, M.; Carter, A.F.; Keeling, C.D. Seasonal, latitudinal, and secular variations in the abundance and isotopic ratios of atmospheric carbon dioxide: 1. Results from land stations. J. Geophys. Res. Oceans 1983, 88, 10915–10933. [Google Scholar] [CrossRef]
- SaLomons, W.; Mook, W. Isotope geochemistry of carbonates in the weathering zone. In Handbook of Environmental Isotope Geochemistry; Elsevier: Amsterdam, the Netherlands, 1986; Volume 2, pp. 239–269. [Google Scholar]
- O'Leary, M.H. Carbon isotopes in photosynthesis Fractionation techniques may reveal new aspects of carbon dynamics in plants. BioScience 1988, 38, 328–336. [Google Scholar] [CrossRef]
- Vogel, J. Variability of carbon isotope fractionation during photosynthesis. In Stable Isotopes and Plant Carbon-Water Relations; Saugier, B., Ehleringer, J.R., Hall, A.E., Farquhar, G.D., Eds.; Academic Press Inc.: San Diego, CA, USA, 1993; pp. 29–46. [Google Scholar]
- Baird, M.E.; Emsley, S.M.; McGlade, J.M. Using a phytoplankton growth model to predict the fractionation of stable carbon isotopes. J. Plankton Res. 2001, 23, 841–848. [Google Scholar] [CrossRef]
- Dubois, K.D.; Lee, D.; Veizer, J. Isotopic constraints on alkalinity, dissolved organic carbon, and atmospheric carbon dioxide fluxes in the Mississippi River. J. Geophys. Res. Biogeosci. 2010, 115. [Google Scholar] [CrossRef]
- Xu, Y.J. Total nitrogen inflow and outflow from a large river swamp basin to the Gulf of Mexico. Hydrol. Sci. J. 2006, 51, 531–542. [Google Scholar] [CrossRef]
- U.S. Department of the Interior. Endrin pollution in the lower Mississippi River Basin. In Federal Water Pollution Control Administration; U.S. Department of the Interior: Dallas, TX, USA, 1969; p. 213. [Google Scholar]
- Coplen, T.B. Guidelines and recommended terms for expression of stable-isotope-ratio and gas-ratio measurement results. Rapid Commun. Mass Spectrom. 2011, 25, 2538–2560. [Google Scholar] [CrossRef] [PubMed]
- Cai, W.-J.; Wang, Y. The chemistry, fluxes, and sources of carbon dioxide in the estuarine waters of the Satilla and Altamaha Rivers, Georgia. Limnol. Oceanogr. 1998, 43, 657–668. [Google Scholar] [CrossRef]
- Weiss, R.F. Carbon dioxide in water and seawater: The solubility of a non-ideal gas. Mar. Chem. 1974, 2, 203–215. [Google Scholar] [CrossRef]
- Harned, H.S.; Davis, R. The ionization constant of carbonic acid in water and the solubility of carbon dioxide in water and aqueous salt solutions from 0 to 50°. J. Am. Chem. Soc. 1943, 65, 2030–2037. [Google Scholar] [CrossRef]
- Harned, H.S.; Scholes, S.R., Jr. The ionization constant of HCO3- from 0 to 50. J. Am. Chem. Soc. 1941, 63, 1706–1709. [Google Scholar] [CrossRef]
- Cerling, T.E.; Solomon, D.K.; Quade, J.; Bowman, J.R. On the isotopic composition of carbon in soil carbon dioxide. Geochim. Cosmochim. Acta 1991, 55, 3403–3405. [Google Scholar] [CrossRef]
- Zhang, J.; Quay, P.; Wilbur, D. Carbon isotope fractionation during gas-water exchange and dissolution of CO2. Geochim. Cosmochim. Acta 1995, 59, 107–114. [Google Scholar] [CrossRef]
- Matthews, W.J.; Vaughn, C.C.; Gido, K.B.; Marsh-Matthews, E. Southern plains rivers. In Rivers of North America; Benke, A.C., Cushing, C.E., Eds.; Elsevier Academic Press: Cambridge, MA, USA, 2005; pp. 283–325. [Google Scholar]
- Osborne, C.P.; Salomaa, A.; Kluyver, T.A.; Visser, V.; Kellogg, E.A.; Morrone, O.; Vorontsova, M.S.; Clayton, W.D.; Simpson, D.A. A global database of C4 photosynthesis in grasses. New Phytol. 2014, 204, 441–446. [Google Scholar] [CrossRef] [PubMed]
- Butman, D.E.; Wilson, H.F.; Barnes, R.T.; Xenopoulos, M.A.; Raymond, P.A. Increased mobilization of aged carbon to rivers by human disturbance. Nat. Geosci. 2015, 8, 112–116. [Google Scholar] [CrossRef]
- Kiffney, P.M.; Richardson, J.S.; Feller, M.C. Fluvial and epilithic organic matter dynamics in headwater streams of southwestern British Columbia, Canada. Arch. Hydrobiol. 2000, 149, 109–129. [Google Scholar] [CrossRef]
- Tian, H.; Ren, W.; Yang, J.; Tao, B.; Cai, W.-J.; Lohrenz, S.E.; Hopkinson, C.S.; Liu, M.; Yang, Q.; Lu, C.; Zhang, B.; Banger, K.; Pan, S.; He, R.; Xue, Z. Climate extremes dominating seasonal and interannual variations in carbon export from the Mississippi River basin. Glob. Biogeochem. Cycles 2015, 29, 1333–1347. [Google Scholar] [CrossRef]
- Wallace, J.B.; Whiles, M.R.; Eggert, S.; Cuffney, T.F.; Lugthart, G.J.; Chung, K. Long-term dynamics of coarse particulate organic matter in three Appalachian Mountain Streams. N. Am. Benthol. Soc. 1995, 14, 217–232. [Google Scholar] [CrossRef]
- Voss, B.M.; Wickland, K.P.; Aiken, G.R.; Striegl, R.G. Biological and land use controls on the isotopic composition of aquatic carbon in the Upper Mississippi River Basin. Glob. Biogeochem. Cycles 2017, 31, 1271–1288. [Google Scholar] [CrossRef]
- Iwata, T.; Suzuki, T.; Togashi, H.; Koiwa, N.; Shibata, H.; Urabe, J. Fluvial transport of carbon along the river-to-ocean continuum and its potential impacts on a brackish water food web in the Iwaki River watershed, northern Japan. Ecol. Res. 2013, 28, 703–716. [Google Scholar] [CrossRef]
- Polsenaere, P.; Abril, G. Modelling CO2 degassing from small acidic rivers using water pCO2, DIC and δ13C-DIC data. Geochim. Cosmochim. Acta 2012, 91, 220–239. [Google Scholar] [CrossRef]
- Hartmann, D.L.; Klein Tank, A.M.G.; Rusticucci, M.; Alexander, L.V.; Brönnimann, S.; Charabi, Y.; Dentener, F.J.; Dlugokencky, E.J.; Easterling, D.R.; Kaplan, A.; Soden, B.J.; Thorne, P.W.; Wild, M.; Zhai, P.M. Observations: Atmosphere and surface. In Climate Change 2013: The Physical Science Basis Contribution of Working Group I to the Fifth Assessment Report of the Intergovernmental Panel on Climate Change; Stocker, T.F., Qin, D., Plattner, G.-K., Tignor, M., Allen, S.K., Boschung, J., Nauels, A., Xia, Y., Bex, V., Midgley, P.M., Eds.; Cambridge University Press: Cambridge, UK; New York, NY, USA, 2013. [Google Scholar]
- Van Geldern, R.; Schulte, P.; Mader, M.; Baier, A.; Barth, J.A. Spatial and temporal variations of pCO2, dissolved inorganic carbon and stable isotopes along a temperate karstic watercourse. Hydrol. Process. 2015, 29, 3423–3440. [Google Scholar] [CrossRef]
- Johnson, M.S.; Lehmann, J.; Riha, S.J.; Krusche, A.V.; Richey, J.E.; Ometto, J.P.H.B.; Couto, E.G. CO2 efflux from Amazonian headwater streams represents a significant fate for deep soil respiration. Geophys. Res. Lett. 2008, 35. [Google Scholar] [CrossRef]
- Mayorga, E.; Aufdenkampe, A.K.; Masiello, C.A.; Krusche, A.V.; Hedges, J.I.; Quay, P.D.; Richey, J.E.; Brown, T.A. Young organic matter as a source of carbon dioxide outgassing from Amazonian rivers. Nature 2005, 436, 538–541. [Google Scholar] [CrossRef] [PubMed]
- Schulte, P.; van Geldern, R.; Freitag, H.; Karim, A.; Négrel, P.; Petelet-Giraud, E.; Probst, A.; Probst, J.-L.; Telmer, K.; Veizer, J.; et al. Applications of stable water and carbon isotopes in watershed research: Weathering, carbon cycling, and water balances. Earth-Sci. Rev. 2011, 109, 20–31. [Google Scholar] [CrossRef]
- Vuorio, K.; Meili, M.; Sarvala, J. Taxon-specific variation in the stable isotopic signatures (δ13C and δ15N) of lake phytoplankton. Freshw. Biol. 2006, 51, 807–822. [Google Scholar] [CrossRef]
- Holm-Hansen, O.; Lorenzen, C.J.; Holmes, R.W.; Strickland, J.D. Fluorometric determination of chlorophyll. ICES J. Mar. Sci. 1965, 30, 3–15. [Google Scholar] [CrossRef]
- Gregor, J.; Maršálek, B. Freshwater phytoplankton quantification by chlorophyll a: A comparative study of in vitro, in vivo and in situ methods. Water Res. 2004, 38, 517–522. [Google Scholar] [CrossRef] [PubMed]
- Moss, B. Studies on the degradation of chlorophyll a and carotenoids in freshwaters. New Phytol. 1968, 67, 49–59. [Google Scholar] [CrossRef]
- Longing, D.; Haggard, B.E. Distributions of median nutrient and chlorophyll concentrations across the Red River Basin, USA. J. Environ. Qual. 2010, 39, 1966–1974. [Google Scholar] [CrossRef] [PubMed]
- Cole, J.J.; Prairie, Y.T.; Caraco, N.F.; McDowell, W.H.; Tranvik, L.J.; Striegl, R.G.; Duarte, C.M.; Kortelainen, P.; Downing, J.A.; Middelburg, J.J.; Melack, J. Plumbing the Global Carbon Cycle: Integrating Inland Waters into the Terrestrial Carbon Budget. Ecosystems 2007, 10, 172–185. [Google Scholar] [CrossRef]
- Catalan, N.; Marce, R.; Kothawala, D.N.; Tranvik, L.J. Organic carbon decomposition rates controlled by water retention time across inland waters. Nat. Geosci. 2016, 9, 501–504. [Google Scholar] [CrossRef]
- Casas-Ruiz, J.P.; Catalán, N.; Gómez-Gener, L.; von Schiller, D.; Obrador, B.; Kothawala, D.N.; López, P.; Sabater, S.; Marcé, R. A tale of pipes and reactors: Controls on the in-stream dynamics of dissolved organic matter in rivers. Limnol. Oceanogr. 2017. [Google Scholar] [CrossRef]







| Site | Load | A | b | R2 | RMSE | ε |
|---|---|---|---|---|---|---|
| OROC | DIC | −8.799 | 0.903 | 0.851 | 0.243 | ±0.243 |
| DOC | −17.413 | 1.275 | 0.895 | 0.276 | ±0.276 | |
| RR | DIC | −4.957 | 0.667 | 0.928 | 0.193 | ±0.192 |
| DOC | −15.459 | 1.204 | 0.955 | 0.268 | ±0.268 |
| Site | Temperature (°C) | DO (%) | pH | Turbidity |
|---|---|---|---|---|
| MR | 18.0 ± 8.0 | 84.6 ± 24.1 | 7.3 ± 0.9 | 80.2 ± 45.9 |
| RR | 21.4 ± 7.1 | 75.4 ± 24.6 | 7.6 ± 0.6 | 113.7 ± 75.6 |
| DOC | DIC | |||
|---|---|---|---|---|
| RR | MR | RR | MR | |
| 13 May 2015 | 1225 | 454 | 718 | 1993 |
| 21 June 2015 | 692 | - | 1343 | - |
| 22 July 2015 | 749 | 451 | 1148 | 2052 |
| 30 August 2015 | 533 | 465 | 1582 | 2345 |
| 20 September 2015 | 678 | 336 | 1927 | 2667 |
| 29 October 2015 | 433 | 229 | 1051 | 2027 |
| 22 November 2015 | 1169 | 640 | 750 | 1908 |
| 9 December 2015 | 914 | 552 | 895 | 1766 |
| 31 January 2016 | 1139 | 711 | - | - |
| 28 February 2016 | 1034 | 583 | 804 | 1586 |
| 27 March 2016 | 1044 | 502 | 511 | 1048 |
| 17 April 2016 | 917 | 567 | 759 | 2019 |
| 19 May 2016 | 801 | 610 | 928 | 1921 |
| Mean | 871 a | 509 b | 1035 c | 1939 d |
| Std dev | ±249 | ±133 | ±407 | ±409 |
© 2017 by the authors. Licensee MDPI, Basel, Switzerland. This article is an open access article distributed under the terms and conditions of the Creative Commons Attribution (CC BY) license (http://creativecommons.org/licenses/by/4.0/).
Share and Cite
Xu, Y.J.; DelDuco, E.M. Unravelling the Relative Contribution of Dissolved Carbon by the Red River to the Atchafalaya River. Water 2017, 9, 871. https://doi.org/10.3390/w9110871
Xu YJ, DelDuco EM. Unravelling the Relative Contribution of Dissolved Carbon by the Red River to the Atchafalaya River. Water. 2017; 9(11):871. https://doi.org/10.3390/w9110871
Chicago/Turabian StyleXu, Y. Jun, and Emily Marie DelDuco. 2017. "Unravelling the Relative Contribution of Dissolved Carbon by the Red River to the Atchafalaya River" Water 9, no. 11: 871. https://doi.org/10.3390/w9110871
APA StyleXu, Y. J., & DelDuco, E. M. (2017). Unravelling the Relative Contribution of Dissolved Carbon by the Red River to the Atchafalaya River. Water, 9(11), 871. https://doi.org/10.3390/w9110871

