Simulation of Infrastructure Options for Urban Water Management in Two Urban Catchments in Bogotá, Colombia
Abstract
1. Introduction
2. Materials and Methods
2.1. Location
2.2. Urban Volume and Quality (UVQ)
2.3. Input Data
2.4. Scenarios
2.5. Statistical Analysis
2.6. Economic Evaluation
3. Results
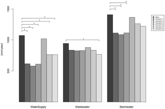
3.1. Fucha Catchment
3.1.1. Flow of Drinking Water, Wastewater, and Stormwater
3.1.2. Contaminant Loads
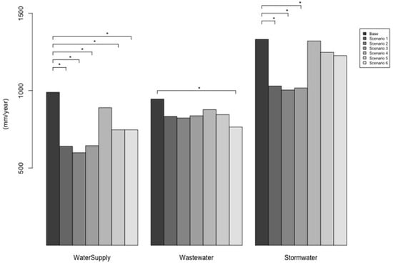
3.2. Tunjuelo Catchment
3.2.1. Flow of Drinking Water, Wastewater, and Stormwater
3.2.2. Contaminant Loads
3.3. Comparing Scenarios 3 and 6
4. Conclusions
Author Contributions
Conflicts of Interest
References
- Fletcher, T.D.; Andrieu, H.; Hamel, P. Understanding, management and modelling of urban hydrology and its consequences for receiving waters: A state of the art. Adv. Water Resour. 2013, 51, 261–279. [Google Scholar] [CrossRef]
- Lee, T.R. Urban water management for better urban life in Latin America. Urban Water 2000, 2, 71–78. [Google Scholar] [CrossRef]
- McIntyre, N.E.; Knowles-Yánez, K.; Hope, D. Urban Ecology as an Interdisciplinary Field: Differences in the use of “Urban” Between the Social and Natural Sciences. In Urban Ecology; Marzluff, J.M., Shulenberger, E., Endlicher, W., Alberti, M., Bradley, G., Ryan, C., Simon, U., ZumBrunnen, C., Eds.; Springer: New York, NY, USA, 2008; pp. 49–65. ISBN 978-0-387-73411-8. [Google Scholar]
- Wen, B.; van der Zouwen, M.; Horlings, E.; van der Meulen, B.; van Vierssen, W. Transitions in urban water management and patterns of international, interdisciplinary and intersectoral collaboration in urban water science. Environ. Innov. Soc. Transit. 2015, 15, 123–139. [Google Scholar] [CrossRef]
- Makropoulos, C.K.; Natsis, K.; Liu, S.; Mittas, K.; Butler, D. Decision support for sustainable option selection in integrated urban water management. Environ. Model. Softw. 2008, 23, 1448–1460. [Google Scholar] [CrossRef]
- Furlong, C.; Brotchie, R.; Considine, R.; Finlayson, G.; Guthrie, L. Key concepts for Integrated Urban Water Management infrastructure planning: Lessons from Melbourne. Util. Policy 2017, 45, 84–96. [Google Scholar] [CrossRef]
- Mitchell, V.G. Applying Integrated Urban Water Management Concepts: A Review of Australian Experience. Environ. Manag. 2006, 37, 589–605. [Google Scholar] [CrossRef] [PubMed]
- Brown, R.R.; Keath, N.; Wong, T.H.F. Urban water management in cities: Historical, current and future regimes. Water Sci. Technol. 2009, 59, 847–855. [Google Scholar] [CrossRef] [PubMed]
- Larsen, T.A.; Gujer, W. The concept of sustainable Urban Water Management. Water Sci. Technol. 1997, 35, 3–10. [Google Scholar] [CrossRef]
- Price, R.K.; Vojinović, Z. Urban Hydroinformatics: Data, Models, and Decision Support for Integrated Urban Water Management; IWA Publishing: London, UK, 2011; ISBN 978-1-84339-274-3. [Google Scholar]
- Furlong, C.; De Silva, S.; Guthrie, L.; Considine, R. Developing a water infrastructure planning framework for the complex modern planning environment. Util. Policy 2016, 38, 1–10. [Google Scholar] [CrossRef]
- Furlong, C.; Silva, S.D.; Guthrie, L. Planning scales and approval processes for IUWM projects; lessons from Melbourne, Australia. Water Policy 2016, 18, 783–802. [Google Scholar] [CrossRef]
- Asano, T.; Levine, A.D. Wastewater reclamation, recycling and reuse: Past, present, and future. Water Sci. Technol. 1996, 33, 1–14. [Google Scholar] [CrossRef]
- Brodie, I. Stormwater harvesting and WSUD frequent flow management: A compatibility analysis. Water Sci. Technol. 2012, 66, 612–619. [Google Scholar] [CrossRef] [PubMed]
- Christova-Boal, D.; Eden, R.E.; McFarlane, S. An investigation into greywater reuse for urban residential properties. Desalination 1996, 106, 391–397. [Google Scholar] [CrossRef]
- Fletcher, T.D.; Mitchell, V.G.; Deletic, A.; Ladson, T.R.; Séven, A. Is stormwater harvesting beneficial to urban waterway environmental flows? Water Sci. Technol. 2007, 55, 265–272. [Google Scholar] [CrossRef] [PubMed]
- Geller, E.S.; Erickson, J.B.; Buttram, B.A. Attempts to promote residential water conservation with educational, behavioral and engineering strategies. Popul. Environ. 1983, 6, 96–112. [Google Scholar] [CrossRef]
- McArdle, P.; Gleeson, J.; Hammond, T.; Heslop, E.; Holden, R.; Kuczera, G. Centralised urban stormwater harvesting for potable reuse. Water Sci. Technol. 2011, 63, 16–24. [Google Scholar] [CrossRef] [PubMed]
- Mitchell, V.G.; Deletic, A.; Fletcher, T.D.; Hatt, B.E.; McCarthy, D.T. Achieving multiple benefits from stormwater harvesting. Water Sci. Technol. 2007, 55, 135–144. [Google Scholar] [CrossRef] [PubMed]
- Strecker, E.; Quigley, M.; Urbonas, B.; Jones, J.; Clary, J. Determining urban storm water BMP effectiveness. J. Water Resour. Plan. Manag. 2001, 127, 144–149. [Google Scholar] [CrossRef]
- Eroksuz, E.; Rahman, A. Rainwater tanks in multi-unit buildings: A case study for three Australian cities. Resour. Conserv. Recycl. 2010, 54, 1449–1452. [Google Scholar] [CrossRef]
- Gikas, G.D.; Tsihrintzis, V.A. Assessment of water quality of first-flush roof runoff and harvested rainwater. J. Hydrol. 2012, 466, 115–126. [Google Scholar] [CrossRef]
- Farreny, R.; Gabarrell, X.; Rieradevall, J. Cost-efficiency of rainwater harvesting strategies in dense Mediterranean neighbourhoods. Resour. Conserv. Recycl. 2011, 55, 686–694. [Google Scholar] [CrossRef]
- Aladenola, O.O.; Adeboye, O.B. Assessing the Potential for Rainwater Harvesting. Water Resour. Manag. 2010, 24, 2129–2137. [Google Scholar] [CrossRef]
- Cook, S.; Sharma, A.; Chong, M. Performance Analysis of a Communal Residential Rainwater System for Potable Supply: A Case Study in Brisbane, Australia. Water Resour. Manag. 2013, 27, 4865–4876. [Google Scholar] [CrossRef]
- Zhang, Y.; Grant, A.; Sharma, A.; Donghui, C.; Liang, C. Assessment of rainwater use and greywater reuse in high-rise buildings in a brownfield site. Water Sci. Technol. 2009, 60, 575–581. [Google Scholar] [CrossRef] [PubMed]
- Ghisi, E.; Mengotti de Oliveira, S. Potential for potable water savings by combining the use of rainwater and greywater in houses in southern Brazil. Build. Environ. 2007, 42, 1731–1742. [Google Scholar] [CrossRef]
- Zhang, D.; Gersberg, R.M.; Wilhelm, C.; Voigt, M. Decentralized water management: Rainwater harvesting and greywater reuse in an urban area of Beijing, China. Urban Water J. 2009, 6, 375–385. [Google Scholar] [CrossRef]
- Liu, S.; Butler, D.; Memon, F.A.; Makropoulos, C.; Avery, L.; Jefferson, B. Impacts of residence time during storage on potential of water saving for grey water recycling system. Water Res. 2010, 44, 267–277. [Google Scholar] [CrossRef] [PubMed]
- Penn, R.; Hadari, M.; Friedler, E. Evaluation of the effects of greywater reuse on domestic wastewater quality and quantity. Urban Water J. 2012, 9, 137–148. [Google Scholar] [CrossRef]
- Muthukumaran, S.; Baskaran, K.; Sexton, N. Quantification of potable water savings by residential water conservation and reuse—A case study. Resour. Conserv. Recycl. 2011, 55, 945–952. [Google Scholar] [CrossRef]
- Rodríguez, J.; Díaz-Granados, M.; Camacho, L.; Raciny, I.; Maksimovic, C.; McIntyre, N. Bogotá’s urban drainage system: Context, research activities and perspectives. In Proceedings of the 10th National Hydrology Symposium, British Hydrological Society, Exeter, UK, 15–17 September 2008. [Google Scholar]
- Peña-Guzmán, C.; Melgarejo, J.; Prats, D. El ciclo urbano del agua en Bogotá, Colombia: Estado actual y desafíos para la sostenibilidad. Tecnol. Cienc. Agua 2016, 7, 57–71. [Google Scholar]
- Mitchell, V.G.; Diaper, C. Simulating the urban water and contaminant cycle. Environ. Model. Softw. 2006, 21, 129–134. [Google Scholar] [CrossRef]
- Wolf, L.; Morris, B.L.; Burn, S.; Hötzl, H. The AISUWRS approach. In Urban Water Resources Toolbox—Integrating Groundwater into Urban Water Management; Wolf, L., Morris, B., Burn, S., Eds.; International Water Association: London, UK, 2008. [Google Scholar]
- Mitchell, V.G.; Diaper, C. UVQ: A tool for assessing the water and contaminant balance impacts of urban development scenarios. Water Sci. Technol. 2005, 52, 91–98. [Google Scholar] [PubMed]
- Wolf, L.; Klinger, J.; Held, I.; Hötzl, H. Integrating groundwater into urban water management. Water Sci. Technol. 2006, 54, 395–403. [Google Scholar] [CrossRef] [PubMed]
- Mitchell, V.G.; Diaper, C.; Gray, S.R.; Rahilly, M. UVQ: Modelling the Movement of Water and Contaminants through the Total Urban Water Cycle. In Proceedings of the 28th International Hydrology and Water Resources Symposium: About Water, Barton, Australia, 10–13 November 2003. [Google Scholar]
- Rueedi, J.; Cronin, A.A.; Moon, B.; Wolf, L.; Hoetzl, H. Effect of different water management strategies on water and contaminant fluxes in Doncaster, United Kingdom. Water Sci. Technol. 2005, 52, 115–123. [Google Scholar] [PubMed]
- Burn, S.; DeSilva, D.; Ambrose, M.; Meddings, S.; Diaper, C.; Correll, R.; Miller, R.; Wolf, L. A decision support system for urban groundwater resource sustainability. Water Pract. Technol. 2006, 1, wpt2006010. [Google Scholar] [CrossRef]
- Marleni, N.; Gray, S.; Sharma, A.; Burn, S.; Muttil, N. Impact of water management practice scenarios on wastewater flow and contaminant concentration. J. Environ. Manag. 2015, 151, 461–471. [Google Scholar] [CrossRef] [PubMed]
- Martinez, S.E.; Escolero, O.; Wolf, L. Total Urban Water Cycle Models in Semiarid Environments—Quantitative Scenario Analysis at the Area of San Luis Potosi, Mexico. Water Resour. Manag. 2011, 25, 239–263. [Google Scholar] [CrossRef]
- Niño, D.; Martinez, C. Estudio de las Aguas Grises Domésticas en Tres niveles Socioeconómicos de la Ciudad de Bogotá; Pontificia Universidad Javeriana: Bogotá, Colombia, 2013. [Google Scholar]
- Sharma, A.; Grant, A.; Tjandraatmadja, G.; Gray, S. Sustainability of Alternative Sewerage and Water Servicing Options-Yarra Valley Water, Stage 2—Backlog Areas; CISRO: Canberra, Australia, 2006. [Google Scholar]
- Santos, C.; Taveira-Pinto, F. Analysis of different criteria to size rainwater storage tanks using detailed methods. Resour. Conserv. Recycl. 2013, 71, 1–6. [Google Scholar] [CrossRef]
- Kruskal, W.H. Historical Notes on the Wilcoxon Unpaired Two-Sample Test. J. Am. Stat. Assoc. 1957, 52, 356–360. [Google Scholar] [CrossRef]
- Furlong, C.; De Silva, S.; Gan, K.; Guthrie, L.; Considine, R. Risk management, financial evaluation and funding for wastewater and stormwater reuse projects. J. Environ. Manag. 2017, 191, 83–95. [Google Scholar] [CrossRef] [PubMed]







| Variable | Type | Unit | Source | Observation | ||
|---|---|---|---|---|---|---|
| Measured | Local Literature | International Literature | ||||
| Total area | N.A. | ha | X | Measured using ArcGis | ||
| Road area | N.A. | ha | X | Measured using ArcGis | ||
| Open space | N.A. | ha | X | Measured using ArcGis | ||
| Exfiltration of wastewater | N.A. | ratio | X | The rate was estimated using a value of 7.67 L/d/m, as proposed by [42] | ||
| Number of dwellings in a neighborhood | N.A. | # | X | Measured in the field by a pilot study and using ArcGis | ||
| Dwelling area | N.A. | m2 | X | Measured using ArcGis | ||
| People per dwelling | N.A. | # | X | Measured in the field by a pilot study | ||
| Dwelling garden area | N.A. | m2 | X | Measured using ArcGis | ||
| Dwelling roof area | N.A. | m2 | X | Measured using ArcGis | ||
| Dwelling paved area | N.A. | m2 | X | Measured using ArcGis | ||
| Consumption of water—kitchen, bathroom, toilet and laundry | N.A. | L/d/c | X | [43] | ||
| Contaminant load—kitchen, bathroom, toilet and laundry | BOD | m/c/d | X | [44] | ||
| COD | m/c/d | X | [44] | |||
| TN | m/c/d | X | [44] | |||
| TF | m/c/d | X | [44] | |||
| TSS | m/c/d | X | [44] | |||
| Precipitation | N.A. | mm | X | Weather stations | ||
| Temperature | N.A. | °C | X | Weather stations | ||
| Actual evaporation | N.A. | mm | X | Weather stations | ||
| Scenario | Strategy | Description |
|---|---|---|
| Scenario 1 | Stormwater use | 1-m3 stormwater tanks for dwellings and 10-m3 tanks for industries, big businesses commercial, and business or office centers. |
| Scenario 2 | Stormwater use | 2-m3 stormwater tanks for dwellings and 20-m3 tanks for industries, big businesses, and business or office centers. |
| Scenario 3 | Stormwater use, wastewater treatment for the industrial and commercial sector, and reuse of wastewater in industries | 1-m3 stormwater tanks for dwellings and 10-m3 tanks for industries, big businesses commercial, and business or office centers. Wastewater treatment with removal of 40% TN, 40% TP, 40% BOD, 40% COD, and 60% TSS. Water tanks to reuse industrial waters after treatment with the 10-m3 tanks. |
| Scenario 4 | Greywater use | 0.1-m3 tank for dwellings with water from washing machines. |
| Scenario 5 | Water-saving technology | Installation of water-saving equipment in dwellings, sinks, dishwashers, toilets, and showers. |
| Scenario 6 | Combination of scenarios 4 and 5 | 0.1-m3 tank for dwellings with water from washing machines and installation of water-saving equipment in dwellings for sinks, dishwashers, toilets, and showers. |
| Land Use | Fixed Fee—Water Supply (USD) | Base Fee—Water Supply (USD) | Average Consumption—Water Supply Catchment Fucha (m3 month−1) | Average Consumption—Water Supply Catchment Tunjuelo (m3 month−1) | Fixed Fee—Sanitation (USD) | Base Fee—Sanitation (USD) | Average Consumption—Sanitation Catchment Fucha (m3 month−1) | Average Consumption—Sanitation Catchment Tunjuelo (m3 month−1) |
|---|---|---|---|---|---|---|---|---|
| Residential Stratus 1 | 1.58 | 0.27 | 27.6 | 22.6 | 0.8 | 0.16 | 22.08 | 15.03 |
| Residential Stratus 2 | 3.16 | 0.54 | 22.34 | 19.12 | 1.61 | 0.33 | 17.46 | 12.71 |
| Residential Stratus 3 | 4.47 | 0.76 | 21 | 19.2 | 2.28 | 0.47 | 17.46 | 12.77 |
| Residential Stratus 4 | 5.26 | 0.89 | 21.5 | 18.5 | 2.68 | 0.55 | 17.46 | 12.3 |
| Residential Stratus 5 | 11.78 | 1.38 | 26.82 | N.A. | 6.67 | 0.83 | 17.46 | N.A. |
| Industrial | 6.84 | 1.23 | 91 | 46.2 | 6.84 | 1.23 | 91 | 30.72 |
| Commercial | 7.89 | 1.34 | 30.1 | 30 | 7.89 | 1.34 | 30.1 | 19.95 |
© 2017 by the authors. Licensee MDPI, Basel, Switzerland. This article is an open access article distributed under the terms and conditions of the Creative Commons Attribution (CC BY) license (http://creativecommons.org/licenses/by/4.0/).
Share and Cite
Peña-Guzmán, C.A.; Melgarejo, J.; Lopez-Ortiz, I.; Mesa, D.J. Simulation of Infrastructure Options for Urban Water Management in Two Urban Catchments in Bogotá, Colombia. Water 2017, 9, 858. https://doi.org/10.3390/w9110858
Peña-Guzmán CA, Melgarejo J, Lopez-Ortiz I, Mesa DJ. Simulation of Infrastructure Options for Urban Water Management in Two Urban Catchments in Bogotá, Colombia. Water. 2017; 9(11):858. https://doi.org/10.3390/w9110858
Chicago/Turabian StylePeña-Guzmán, Carlos Andrés, Joaquín Melgarejo, Inmaculada Lopez-Ortiz, and Duvan Javier Mesa. 2017. "Simulation of Infrastructure Options for Urban Water Management in Two Urban Catchments in Bogotá, Colombia" Water 9, no. 11: 858. https://doi.org/10.3390/w9110858
APA StylePeña-Guzmán, C. A., Melgarejo, J., Lopez-Ortiz, I., & Mesa, D. J. (2017). Simulation of Infrastructure Options for Urban Water Management in Two Urban Catchments in Bogotá, Colombia. Water, 9(11), 858. https://doi.org/10.3390/w9110858

