An Integrated Approach to Identify Water Resources for Human Consumption in an Area Affected by High Natural Arsenic Content
Abstract
:1. Introduction
2. Geological and Hydrogeological Framework



3. Materials, Data and Methods
| Class of Aquifer | Volcanic/Sedimentary Complex | Hydrogeological Properties | Rock Composition |
|---|---|---|---|
| Cimino Ignimbrite (CI) | Cimino Volcano | Secondary porosity | Quartz-latitic |
| Lava dome (LD) | Cimino Volcano | Secondary porosity | Latitic, olivine-latitic, alkali-trachytic |
| Lava flows (LFV) | Vico Volcano | Secondary porosity | Trachytic, tephritic, phonolitic-tephritic, tephritic-phonolitic |
| Vico ignimbrites (VI) | Vico Volcano | Primary and secondary porosity | Trachytic, phonolitic-tephritic, tephritic-phonolitic, trachytic-phonolitic |
| Non-welded and partially welded pyroclastic deposits (NWV) | Vico Volcano | Primary porosity | Trachytic, tephritic, phonolitic |
| Sedimentary (S) | Pleistocene formations Upper Cretaceous-Oligocene Flysch | Primary and secondary porosity | Sands, conglomerates, sandstones, calcarenites, marly limestone |
4. Results
4.1. Hydrogeological Characterization of the Water Sampled



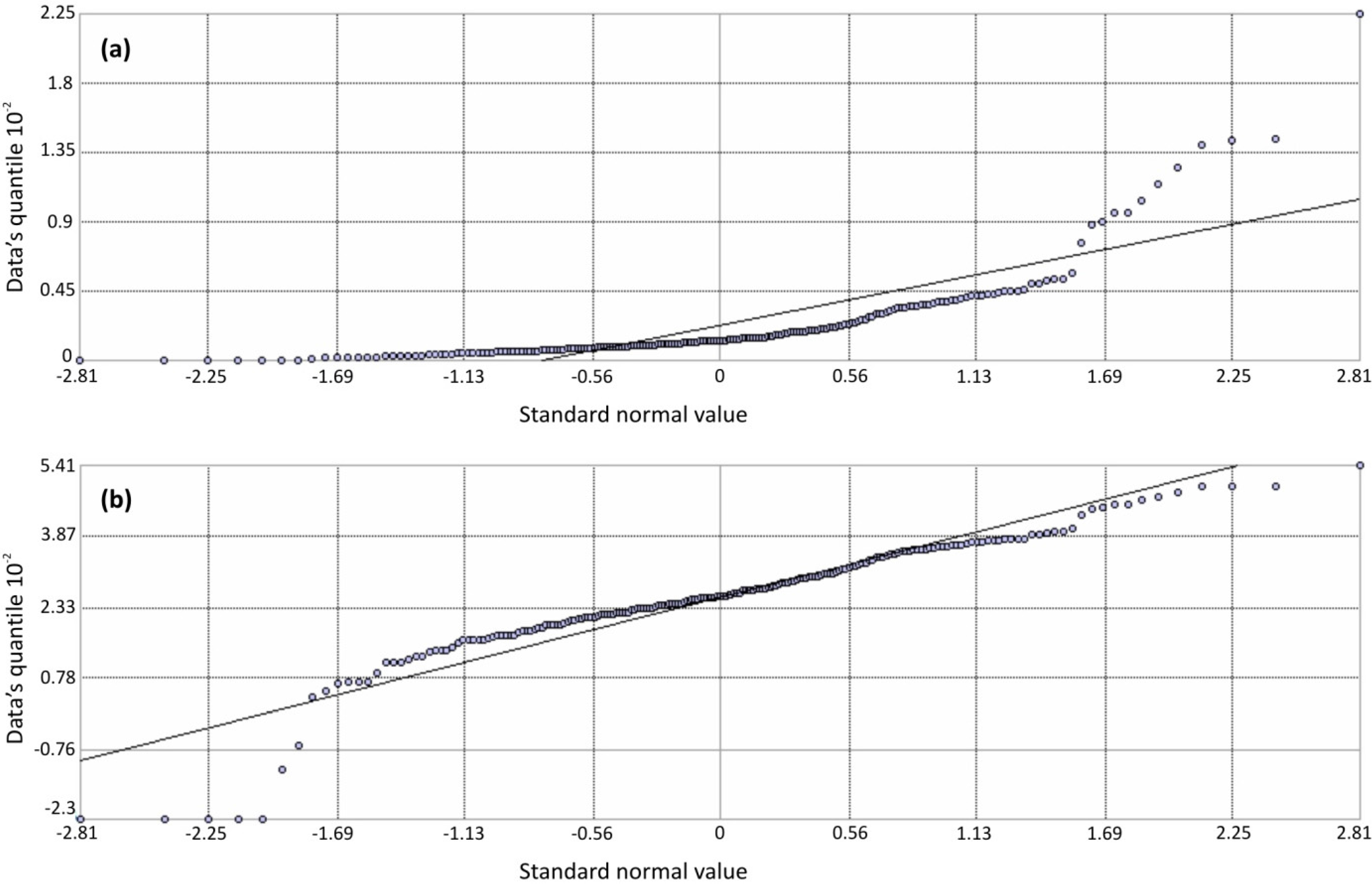
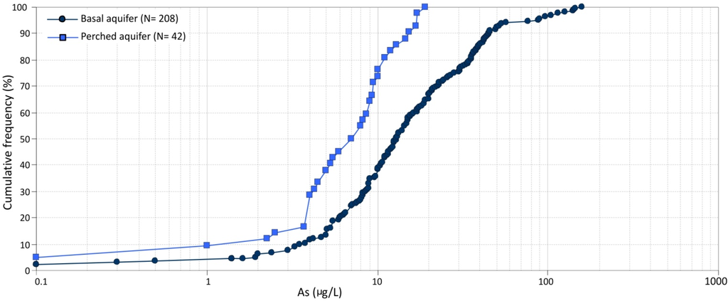
4.2. Distribution of Arsenic in Groundwater of the Basal Aquifer


| Settings of the Method | OK1 | OK2 | DK1 | DK2 |
|---|---|---|---|---|
| Type of kriging | Punctual | Punctual | Punctual | Punctual |
| Number of data | 211 | 211 | 211 | 211 |
| Type of map | Prediction map | Prediction map | Probability map | Probability map |
| Threshold (µg/L) | – | – | 10 | 30 |
| Calibrated parameters | OK1 | OK2 | DK1 | DK2 |
| Best fit Variogram model and transformation | Exponential Log transformed variable | Exponential Log transformed variable | Exponential Hermite polynomials transformed variable | Exponential Hermite polynomials transformed variable |
| Max number of neighbors | 20 | 20 | 20 | 20 |
| Max lag distance (km) | 10 | 9 | 8 | 8 |
| Partial sill (log10 µg/L) | 0.45 | 0.50 | 1.257 | 1.264 |
| Nugget (log10 µg/L) | 0.4 | 0.03 | 0.4 | 0.4 |
| Final Cross-Validation statistics | OK1 | OK2 | DK1 | DK2 |
| Mean of residuals (µg/L) | 0.392 | 0.378 | −0.010 | −0.006 |
| RMSE (µg/L) | 19.91 | 5.980 | 0.366 | 0.322 |
| Average Standard Error (µg/L) | 22.98 | 9.069 | 0.416 | 0.363 |
| Mean standardized (µg/L) | 0.009 | −0.012 | −0.014 | −0.016 |
| Standardized RMSE | 0.857 | 0.854 | 0.888 | 0.876 |

4.3. Rock Analyses and Leaching Tests
| Rock Type | No. of Samples | Min (mg/kg) | Max (mg/kg) | Mean (mg/kg) | SD (mg/kg) |
|---|---|---|---|---|---|
| CI | 11 | 14 | 42 | 29 | 7 |
| LD | 2 | 12 | 17 | 15 | 4 |
| Cimino total | 13 | 12 | 42 | 27 | 9 |
| LFV | 12 | 18 | 81 | 58 | 24 |
| VI | 35 | 9 | 166 | 66 | 111 |
| NWV | 8 | 23 | 57 | 42 | 11 |
| Vico total | 55 | 9 | 166 | 61 | 38 |

5. Discussion
6. Conclusions
Acknowledgments
Author Contributions
Conflicts of Interest
References
- Ballantyne, J.M.; Moore, J.N. Arsenic geochemistry in geothermal systems. Geochim. Cosmochim. Acta 1988, 52, 475–483. [Google Scholar] [CrossRef]
- Hinkley, T.K.; Lamothe, P.J.; Wilson, S.A.; Finnegan, D.L.; Gerlach, T.M. Metal emissions from Kilauea, and a suggested revision of the estimated worldwide metal output by quiescent degassing of volcanoes. Earth Planet. Sci. Lett. 1999, 170, 315–325. [Google Scholar] [CrossRef]
- Smedley, P.L.; Kinniburgh, D.G. A review of the source, behaviour and distribution of arsenic in natural waters. Appl. Geochem. 2002, 17, 517–568. [Google Scholar] [CrossRef]
- Webster, J.G.; Nordstrom, D.K. Geothermal Arsenic. In Arsenic in Ground Water, Geochemistry and Occurrence; Welch, A.H., Stollenwerk, K.G., Eds.; Kluwer Academic Publichers: Dordrecht, The Netherlands, 2003; pp. 101–125. [Google Scholar]
- Achene, L.; Ferretti, E.; Lucentini, L.; Pettine, P.; Veschetti, E.; Ottaviani, M. Arsenic content in drinking-water supplies of an important volcanic aquifer in central Italy. Toxicol. Environ. Chem. 2010, 92, 509–520. [Google Scholar] [CrossRef]
- Aiuppa, A.; Avino, R.; Brusca, L.; Caliro, S.; Chiodini, G.; D’Alessandro, W.; Favara, R.; Federico, C.; Ginevra, W.; Inguaggiato, S.; et al. Mineral control of arsenic content in thermal waters from volcano-hosted hydrothermal systems: Insights from Island of Ischia and Phlegrean Fields (Campanian Volcanic Province, Italy). Chem. Geol. 2006, 229, 313–330. [Google Scholar] [CrossRef]
- Aiuppa, A.; D’Alessandro, W.; Federico, C.; Palumbo, B.; Valenza, M. The aquatic geochemistry of arsenic in volcanic groundwaters from southern Italy. Appl. Geochem. 2003, 18, 1283–1296. [Google Scholar] [CrossRef]
- Aiuppa, A.; Allard, P.; D’Alessandro, W.; Michel, A.; Parello, F.; Treuil, M.; Valenza, M. Mobility and fluxes of major, minor and trace metals during basalt weathering at Mt. Etna volcano (Sicily). Geochim. Cosmochim. Acta 2000, 64, 1827–1841. [Google Scholar] [CrossRef]
- Baiocchi, A.; Lotti, F.; Piscopo, V. Influence of hydrogeological setting on the arsenic occurrence in groundwater of the volcanic areas of central and southern Italy. AQUA Mundi 2011, 2, 131–142. [Google Scholar]
- Brondi, M.; Dall’Aglio, M.; Ghiara, E. Elementi in traccia di interesse geochimico e tossicologico nei fluidi termali e geotermici dei Campi Flegrei e di Larderello. Acqua Aria 1986, 10, 1102–1111. [Google Scholar]
- Celico, P.; Dall’Aglio, M.; Ghiara, M.R.; Stanzione, D.; Brondi, M.; Prosperi, M. Geochemical monitoring of the thermal fluids in the Phlegraean Fields from 1970 to 1990. Boll. Soc. Geol. Ital. 1992, 111, 409–422. [Google Scholar]
- Cinti, D.; Poncia, P.P.; Brusca, L.; Tassi, F.; Quattrocchi, F.; Vaselli, O. Spatial distribution of arsenic, uranium and vanadium in the volcanic-sedimentary aquifers of the Vicano-Cimino Volcanic District (Central Italy). J. Geochem. Explor. 2015, 152, 123–133. [Google Scholar] [CrossRef]
- Cremisini, C.; Dall’Aglio, M.; Ghiara, E. Arsenic in Italian rivers and in some cold and thermal spring. In Proceedings of the International Conference on Management and Control of Heavy Metals in the Environment, London, UK, 18–21 September 1979; pp. 341–344.
- Dall’Aglio, M. Problemi emergenti di Geochimica Ambientale e Salute in Italia con Particolare Riferimento all’arsenico. In 2’ Convegno Nazionale Sulla Protezione e Gestione delle Acque Sotterranee; Quad Geol Appl, Pitagora Ed.: Bologna, Itlay, 1996; pp. 85–95. [Google Scholar]
- Lima, A.; Cicchella, D.; Di Francia, S. Natural contribution of harmful elements in thermal groundwaters of Ischia Island (southern Italy). Environ. Geol. 2003, 43, 930–940. [Google Scholar]
- Vivona, R.; Preziosi, E.; Madé, B.; Giuliano, G. Occurrence of minor toxic elements in volcanic-sedimentary aquifers: A case study in central Italy. Hydrogeol. J. 2007, 15, 1183–1196. [Google Scholar] [CrossRef]
- Angelone, M.; Cremisini, C.; Piscopo, V.; Proposito, M.; Spaziani, F. Influence of hydrostratigraphy and structural setting on the arsenic occurrence in groundwater of the Cimino-Vico volcanic area (Central Italy). Hydrogeol. J. 2009, 17, 901–914. [Google Scholar] [CrossRef]
- Baiocchi, A.; Coletta, A.; Espositi, L.; Lotti, F.; Piscopo, V. Sustainable groundwater development in a naturally arsenic-contaminated aquifer: The case of the Cimino-Vico volcanic area (Central Italy). Ital. J. Eng. Geol. Environ. 2013, 1, 5–18. [Google Scholar]
- Smedley, P.L.; Nicolli, H.B.; Macdonald, D.M.J.; Barros, A.J.; Tullio, J.O. Hydrogeochemistry of arsenic and other inorganic constituents in groundwaters from La Pampa, Argentina. Appl. Geochem. 2002, 17, 259–284. [Google Scholar] [CrossRef]
- Aloupi, M.; Angelidis, M.; Gavriil, A.; Koulousaris, M.; Varnavas, S. Influence of geology on arsenic concentrations in ground and surface water in central Lesvos, Greece. Environ. Monit. Assess. 2009, 151, 383–396. [Google Scholar] [CrossRef] [PubMed]
- Cataldi, R.; Mongelli, F.; Squarci, P.; Taffi, L.; Zito, G.; Calore, C. Geothermal ranking of Italian territory. Geothermics 1995, 24, 115–129. [Google Scholar] [CrossRef]
- Lardini, D.; Nappi, G. I cicli eruttivi del complesso vulcanico cimino. Rend. Soc. Ital. Mineral. Petrol. 1987, 42, 141–153. [Google Scholar]
- Sollevanti, F. Geologic, volcanologic and tectonic setting of the Vico-Cimino area, Italy. J. Volcanol. Geotherm. Res. 1983, 17, 203–217. [Google Scholar] [CrossRef]
- Villa, I.M. Datazioni 39Ar/40Ar delle basi delle vulcaniti della Provincia Romana. Rend. Soc. Ital. Mineral. Petrol. 1987, 42, 315. [Google Scholar]
- Bertagnini, A.; Sbrana, A. II vulcano di Vico: Stratigrafia del complesso vulcanico e sequenze eruttive delle formazioni piroclastiche. Mem. Soc. Geol. Ital. 1986, 35, 699–713. [Google Scholar]
- Locardi, E. Tipi di ignimbrite di magmi mediterranei Le ignimbriti del vulcano di Vico. Atti Soc. Tosc. Sci. Nat. 1965, 72, 53–173. [Google Scholar]
- Mattias, P.P.; Ventriglia, V. La regione vulcanica dei Monti Cimini e Sabatini. Mem. Soc. Geol. It. 1970, 9, 331–384. [Google Scholar]
- Baldi, P.; Decandia, F.A.; Lazzarotto, A.; Calamai, A. Studio geologico del substrato della copertura vulcanica laziale nella zona dei laghi di Bolsena, Vico e Bracciano. Mem. Soc. Geol. Ital. 1974, 13, 575–606. [Google Scholar]
- Buonasorte, G.; Carboni, M.G.; Conti, M.A. Il substrato plio-pleistocenico delle vulcaniti sabatine: Considerazioni stratigrafiche e paleoambientali. Boll. Soc. Geol. Ital. 1991, 110, 35–40. [Google Scholar]
- Funiciello, R.; Locardi, E.; Lombardi, G.; Parotto, M. The main volcanic groups of Latium Relations between structural evolution and petrogenesis. Geol. Romana 1977, 15, 279–300. [Google Scholar]
- La Torre, P.; Nannini, R.; Sollevanti, F. Geothermal exploration in central Italy: Geophysical survey in Cimini Range area. In Proceedings of 43rd Meeting European Association Exploration Geophysic, Venezia, Italy, 26–29 May 1981; pp. 1–24.
- Barberi, F.; Buonasorte, G.; Cioni, R.; Fiordelisi, A.; Foresi, L.; Iaccarino, S.; Laurenzi, M.A.; Sbrana, A.; Vernia, L.; Villa, I.M. Plio-Pleistocene geological evolution of the geothermal area of Tuscany and Latium. Mem. Descr. Carta Geol. Ital. 1994, 49, 77–134. [Google Scholar]
- Buonasorte, G.; Fiordelisi, A.; Pandeli, E.; Rossi, U.; Sollevanti, E. Stratigraphic correlations and structural setting of the pre-neoautochtonous sedimentary sequences of northern Latium. Period. Mineral. 1987, 56, 111–122. [Google Scholar]
- Baiocchi, A.; Dragoni, W.; Lotti, F.; Luzzi, G.; Piscopo, V. Outline of the hydrogeology of the Cimino and Vico volcanic area and of the interaction between groundwater and Lake Vico (Lazio Region, Central Italy). Boll. Soc. Geol. Ital. 2006, 125, 187–202. [Google Scholar]
- Baiocchi, A.; Barbieri, M.; Battistel, M.; Delfanti, L.M.P.; Lotti, F.; Madonna, S.; Piscopo, V. The role of perched aquifers and dome-impounded groundwater in drinking water supply in the Cimino-Vico volcanoes (Central Italy). In Proceedings of Flowpath 2014, National Meeting on Hydrogeology, Viterbo, Italy, 18–20 June 2014; Baiocchi, A., Lotti, F., Onofri, S., Piscopo, V., Eds.; Dipartimento di Scienze Ecologiche e Biologiche: Viterbo, Italy, 2014; pp. 40–41. [Google Scholar]
- Baiocchi, A.; Lotti, F.; Piscopo, V. Conceptual hydrogeological model and groundwater resource estimation in a complex hydrothermal area: The case of the Viterbo geothermal area (Central Italy). J. Water Res. Prot. 2012, 4, 231–247. [Google Scholar] [CrossRef] [Green Version]
- Baiocchi, A.; Lotti, F.; Piscopo, V. Impact of groundwater withdrawals on the interactions between overlapping aquifers in the Viterbo geothermal area (Central Italy). Hydrogeol. J. 2013, 21, 1339–1353. [Google Scholar] [CrossRef]
- Piscopo, V.; Barbieri, M.; Monetti, V.; Pagano, G.; Pistoni, S.; Ruggi, E.; Stanzione, D. Hydrogeology of thermal waters in Viterbo area, central Italy. Hydrogeol. J. 2006, 14, 1508–1521. [Google Scholar] [CrossRef]
- Cinti, D.; Tassi, F.; Procesi, M.; Bonini, M.; Capecchiacci, F.; Voltattorni, N.; Vaselli, O.; Quattrocchi, F. Fluid geochemistry and geothermometry in the unexploited geothermal field of the Vicano-Cimino Volcanic District (Central Italy). Chem. Geol. 2014, 371, 96–114. [Google Scholar] [CrossRef]
- ISPRA 2010. Archivio storico delle indagini, Legge 464/84. Available online: http://sgi.isprambiente.it/GMV2 (accessed on 25 July 2015).
- Capelli, G.; Mazza, R.; Gazzetti, C. Strumenti e Strategie per la Tutela e l’uso Compatibile della Risorsa Idrica nel Lazio-Gli Acquiferi Vulcanici; Pitagora: Bologna, Italy, 2005. [Google Scholar]
- Method 3052-Microwave Assisted Acid Digestion of Siliceous and Organically Based Matrices (SW-846). 1996. Available online: http://www.epa.gov/wastes/hazard/testmethods/sw846/pdfs/3052.pdf (accessed on 30 July 2015).
- Ruggieri, F.; Marìn, V.; Gimeno, D.; Fernandez-Turiel, J.L.; Garcìa-Valles, M.; Gutierrez, L. Application of zeolitic volcanic rocks for arsenic removal from water. Eng. Geol. 2008, 101, 245–250. [Google Scholar] [CrossRef]
- Ruggieri, F.; Fernandez-Turiel, J.L.; Saavedra, J.; Gimeno, D.; Polanco, E.; Naranjo, J.A. Environmental geochemistry of recent volcanic ashes from the Southern Andes. Environ. Chem. 2011, 8, 236–247. [Google Scholar] [CrossRef]
- Tabelin, C.B.; Hashimoto, A.; Igarashi, T.; Yoneda, T. Leaching of boron, arsenic and selenium from sedimentary rocks: I. effects of contact time, mixing speed and liquid-to-solid ratio. Sci. Total Environ. 2014, 472, 620–629. [Google Scholar] [PubMed]
- Matheron, G. Principles of geostatistics. Economic. Geol. 1963, 58, 1246–1266. [Google Scholar] [CrossRef]
- Rivoirard, J. Introduction to Disjunctive Kriging and Non-Linear Geostatistics; Oxford University Press: Oxford, UK, 1994. [Google Scholar]
- Webster, R. Local disjunctive kriging of soil properties with change of support. Eur. J. Soil Sci. 1991, 42, 301–318. [Google Scholar] [CrossRef]
- EUR-Lex Access to European Union Law. Council Directive 98/83/EC of 3 November 1998 on the quality of water intended for human consumption. Available online: http://eur-lex.europa.eu/legal-content/EN/ALL/?uri=CELEX:31998L0083 (accessed on 26 July 2015).
- Bianchini, G.; Di Giuseppe, D.; Antisari, L.V. Soil-water interaction in soils of the Po River Plain (Ferrara, Northern Italy): Insights on heavy-metal mobility and phytoavailability. Period. Mineral. 2013, 82, 163–176. [Google Scholar]
- Carbone, C.; Dinelli, E.; Marescotti, P.; Gasparotto, G.; Lucchetti, G. The role of AMD secondary minerals in controlling environmental pollution: Indications from bulk leaching tests. J. Geochem. Explor. 2013, 132, 188–200. [Google Scholar] [CrossRef]
- Noubactep, C.; Chen-Braucher, D.; Schlothauer, T. Arsenic release from a natural rock under near-natural oxidizing conditions. Eng. Life Sci. 2008, 8, 622–630. [Google Scholar] [CrossRef]
- Rao, C.R.M.; Sahuquillo, A.; Lopez Sanchez, J.F. A review of the different methods applied in environmental geochemistry for single and sequential extraction of trace elements in soils and related materials. Water Air Soil Pollut. 2008, 189, 291–333. [Google Scholar] [CrossRef]
- Armiento, G.; Bellatreccia, F.; Cremisini, C.; Della Ventura, G.; Nardi, E.; Pacifico, R. Beryllium natural background concentration and mobility: A reappraisal examining the case of high Be-bearing pyroclastic rocks. Environ. Monit. Assess. 2012, 185, 559–572. [Google Scholar] [CrossRef] [PubMed]
- Mazziotti-Tagliani, S.; Angelone, M.; Armiento, G.; Pacifico, R.; Cremisini, C.; Gianfagna, A. Arsenic and fluorine in the Etnean volcanics from Biancavilla, Sicily, Italy: Environmental implications. Environ. Earth Sci. 2012, 66, 561–572. [Google Scholar] [CrossRef]
- Tamoto, S.; Yoshihiko, I.; Shoji, H. The leaching characteristic of heavy metals from altered volcanic rocks of several grain sizes in Hokkaido, northern Japan. In Proceedings of the International Symposium “Geoline 2005”, Lyon, France, 23–25 May 2005.
- Allard, P.; Aiuppa, A.; Loyer, H.; Carrot, F.; Gaudry, A.; Pinte, G.; Michel, A.; Dongarrà, G. Emission rate of metals and acid gases during long-lived Basalt degassing at Stromboli volcano. J. Res. Lett. 2000, 27, 1207–1210. [Google Scholar] [CrossRef]
- Ayuso, R.A.; De Vivo, B.; Rolandi, G.; Seal II, R.R.; Paone, A. Geochemical and isotopic (Nd-Pb-Sr-O) variation bearing on the genesis of volcanic rocks from Vesuvius, Italy. J. Volcanol. Geotherm. Res. 1998, 82, 53–78. [Google Scholar] [CrossRef]
- Paone, A.; Ayuso, R.A.; de Vivo, B. A metallogenic survey of alkalic rocks of Mt. Somma-Vesuvius volcano. Mineral. Petrol. 2001, 73, 201–233. [Google Scholar] [CrossRef]
- Armiento, G.; Angelone, M.; De Cassan, M.; Nardi, E.; Proposito, M.; Cremisini, C. Uranium natural levels in water and soils: Assessment of the Italian situation in relation to quality standards for drinking water. Rend. Lincei 2015. [Google Scholar] [CrossRef]
- Villemant, B.; Fléhoc, C. U-Th fractionation in K-rich magma genesis: The Vico volcano, Central Italy. Earth Planet. Sci. Lett. 1989, 91, 312–326. [Google Scholar] [CrossRef]
- Johannesson, K.H.; Tang, J. Conservative behavior of arsenic and other oxyanion-forming trace elements in an oxic groundwater flow system. J. Hydrol. 2009, 378, 13–28. [Google Scholar] [CrossRef]
- Ayotte, J.D.; Nolan, B.T.; Nuckols, J.R.; Cantor, K.P.; Robinson, G.R.; Baris, D.; Hayes, L.; Karagas, M.; Bress, W.; Silverman, D.T.; et al. Modeling the probability of arsenic in groundwater in New England as a tool for exposure assessment. Environ. Sci. Technol. 2006, 40, 3578–3585. [Google Scholar] [CrossRef] [PubMed]
- Faybishenko, B.A.; Javandel, I.; Witherspoon, P.A. Hydrodynamics of the capture zone of a partially penetrating well in a confined aquifer. Water Resour. Res. 1995, 31, 859–866. [Google Scholar] [CrossRef]
- Piscopo, V.; Summa, G. Experiment of pumping at constant-head: An alternative possibility to the sustainable yield of a well. Hydrogeol. J. 2007, 15, 679–687. [Google Scholar] [CrossRef]
- Custodio, E. Groundwater in volcanic rocks. In Groundwater in Fractured Rocks; Krasny, J., Sharp, J.M., Eds.; Taylor & Francis: London, UK, 2007; pp. 95–104. [Google Scholar]
© 2015 by the authors; licensee MDPI, Basel, Switzerland. This article is an open access article distributed under the terms and conditions of the Creative Commons Attribution license (http://creativecommons.org/licenses/by/4.0/).
Share and Cite
Armiento, G.; Baiocchi, A.; Cremisini, C.; Crovato, C.; Lotti, F.; Lucentini, L.; Mazzuoli, M.; Nardi, E.; Piscopo, V.; Proposito, M.; et al. An Integrated Approach to Identify Water Resources for Human Consumption in an Area Affected by High Natural Arsenic Content. Water 2015, 7, 5091-5114. https://doi.org/10.3390/w7095091
Armiento G, Baiocchi A, Cremisini C, Crovato C, Lotti F, Lucentini L, Mazzuoli M, Nardi E, Piscopo V, Proposito M, et al. An Integrated Approach to Identify Water Resources for Human Consumption in an Area Affected by High Natural Arsenic Content. Water. 2015; 7(9):5091-5114. https://doi.org/10.3390/w7095091
Chicago/Turabian StyleArmiento, Giovanna, Antonella Baiocchi, Carlo Cremisini, Cinzia Crovato, Francesca Lotti, Luca Lucentini, Maurizio Mazzuoli, Elisa Nardi, Vincenzo Piscopo, Marco Proposito, and et al. 2015. "An Integrated Approach to Identify Water Resources for Human Consumption in an Area Affected by High Natural Arsenic Content" Water 7, no. 9: 5091-5114. https://doi.org/10.3390/w7095091
APA StyleArmiento, G., Baiocchi, A., Cremisini, C., Crovato, C., Lotti, F., Lucentini, L., Mazzuoli, M., Nardi, E., Piscopo, V., Proposito, M., & Veschetti, E. (2015). An Integrated Approach to Identify Water Resources for Human Consumption in an Area Affected by High Natural Arsenic Content. Water, 7(9), 5091-5114. https://doi.org/10.3390/w7095091

