Next Article in Journal
Structure and Composition of Leachfield Bacterial Communities: Role of Soil Texture, Depth and Septic Tank Effluent Inputs
Next Article in Special Issue
An Experimental Investigation on Inclined Negatively Buoyant Jets
Previous Article in Journal
Mussel Spat Ropes Assist Redfin Bully Gobiomorphus huttoni Passage through Experimental Culverts with Velocity Barriers
Previous Article in Special Issue
Microporous Silica Based Membranes for Desalination
 
 
Font Type:
Arial Georgia Verdana
Font Size:
Aa Aa Aa
Line Spacing:
Column Width:
Background:
Article

Comparison of Configurations for High-Recovery Inland Desalination Systems

Sustainable Environment Research Group, School of Engineering and Applied Science, Aston University, Birmingham B4 7ET, UK
*
Author to whom correspondence should be addressed.
Water 2012, 4(3), 690-706; https://doi.org/10.3390/w4030690
Submission received: 4 July 2012 / Revised: 11 August 2012 / Accepted: 12 August 2012 / Published: 17 September 2012
(This article belongs to the Special Issue Advances in Water Desalination)

Abstract

:
Desalination of brackish groundwater (BW) is an effective approach to augment water supply, especially for inland regions that are far from seawater resources. Brackish water reverse osmosis (BWRO) desalination is still subject to intensive energy consumption compared to the theoretical minimum energy demand. Here, we review some of the BWRO plants with various system arrangements. We look at how to minimize energy demands, as these contribute considerably to the cost of desalinated water. Different configurations of BWRO system have been compared from the view point of normalized specific energy consumption (SEC). Analysis is made at theoretical limits. The SEC reduction of BWRO can be achieved by (i) increasing number of stages, (ii) using an energy recovery device (ERD), or (iii) operating the BWRO in batch mode or closed circuit mode. Application of more stages not only reduces SEC but also improves water recovery. However, this improvement is less pronounced when the number of stages exceeds four. Alternatively and more favourably, the BWRO system can be operated in Closed Circuit Desalination (CCD) mode and gives a comparative SEC to that of the 3-stage system with a recovery ratio of 80%. A further reduction of about 30% in SEC can be achieved through batch-RO operation. Moreover, the costly ERDs and booster pumps are avoided with both CCD and batch-RO, thus furthering the effectiveness of lowering the costs of these innovative approaches.

1. Introduction

Water is vital for all living creatures on Earth. About 97% of the water is seawater in oceans, leaving only 2.5% of the water on the Earth as fresh water, and about 99% of that water is in ice and underground. Because of population growth, industrialization and climate change, water scarcity has become one of the most pervasive problems afflicting people throughout the world. Presently, over one-third of the world’s population lacks access to safe drinking water and suffers the consequences of unacceptable sanitary conditions [1]. Alongside existing water conservation measures, salt water desalination by reverse osmosis (RO) membrane has been proved [2] to be a more proactive and dynamic way to water our ‘blue’ but thirsty world.
For many inland and arid areas that have adequate groundwater resources but are far from the sea, desalination of brackish groundwater (BW) is urgently needed to increase water supply, satisfy the purposes of drinking, irrigation, and industry use. And there has been a rapid growth in the installation of brackish water reverse osmosis (BWRO) desalination facilities in the past decade. Nations, spanning from Australia to Spain, from the United States to China, all have BWRO desalination projects accomplished, and construction of new plants is expected to increase in the near future. In Texas alone, by 2006, thirty BWRO desalination plants with design capacity more than 95 m3/day had been constructed [3]. The total desalination capacity of these facilities is around 132,400 m3/day. The capital costs of these facilities vary from 0.02 $/m3 to 2 $/m3 according to the scale of the plants. Generally, desalination facilities at large scale have a lower capital cost.
However, the cost could be substantially increased because of brine management requirements. These plants produce a waste concentrate stream in the vicinity of 38,000–57,000 m3/day. Almost 70% of the concentrate from these facilities was discharged to surface water body or municipal sewer, 20% was treated by evaporation pond, and around 10% was managed by land application. Since these plants are placed far from the coast, direct discharge of the brine will easily affect the surrounding ecosystem. Pérez-González et al. [4] gave a comprehensive review on the potential treatments of reject brine according to the source of RO concentrates and the maturity of the technologies. However, for the large amount of brine from desalination facilities in Texas, a proper treatment that can overcome the environmental problems associated with the direct discharge of RO brine increases costs considerable [5].
Besides brine management, another major challenge is the energy demand of inland BWRO systems, which is again linked to the cost of desalinated water. The energy demand of seawater RO desalination plants has decreased dramatically in the last 40 years [6], from about 10–15 kWh/m3 of produced water to 2–3 kWh/m3. This is attributed to the advance of membrane technology and the development of high efficiency energy recovery devices (ERDs). However, most of the current RO plants are still prone to energy intensity when it comes to the desalination of BW on small-scale, due to relatively smaller components, e.g., pumps, and absence of ERDs [7]. Therefore, improving the energy efficiency of BW desalination, increasing water output per land area, minimizing the discharged brine, and eventually reducing cost are of course some of the desirable properties when designing the BWRO system. To achieve these, there have been several approaches, including using highly permeable membrane materials [8,9], employing high efficiency ERD to recover the energy losses in pressurized brine, and using renewable energy resources to subsidize the electrical energy demand [10,11]. Optimum designs of BWRO systems [12,13] provide another effective approach to achieve these goals.
In this work, we discuss some of the critical design considerations and criteria for BWRO plants. A particular focus is put on the crucial design for pre-treatment processes with the emphasis on the effects of different configurations on the BWRO systems. Various pre-treatment approaches and their functionalities are comparatively reviewed. Some popular candidate processes with the optimal designs, such as single and multi-stage RO with/without ERD, are carefully investigated through theoretical analysis of their SEC. Innovative RO systems that operate in either batch mode or closed circuit mode are extensively compared with the more conventional designs. We further elucidate the advantages of these innovative systems in real-world applications.

2. Pre-treatment of BWRO System

Water can be categorized by its salinity level. Seawater has total dissolved solids (TDS) concentration of about 35,000 mg/L on average; BW usually has TDS concentration of 3000–10,000 mg/L and the TDS concentration of fresh water can be up to 1000 mg/L. According to the guidelines for drinking water quality provided by the U.S. Environmental Protection Agency (EPA), water with salinity below 500 mg/L is acceptable for drinking [2]. Thus, it is essential to desalinate BW to produce drinking water. Brackish water composition varies widely among inland areas. Examples of BW compositions from different origins of the world are shown in Table 1. Unlike evaporative desalination plants, the site-specific BW composition has a direct influence on the RO plant design, e.g., pre-treatment design. Thus, a complete and accurate analysis of the water composition must be carried out before design begins. Despite the recent improvements in the performance of the fouling-resistant membranes [6], the RO membranes are still extremely sensitive to the fouling contaminants, which affect the energy usage, reliability, and environmental impact of the BWRO plant. Therefore, pre-treatments of feed BW are essential and sometimes critical [14].

2.1. Pre-treatment Processes

Typical site-specific parameters of the raw BW to be controlled before it enters RO modules include: water hardness, water turbidity, organic substances, water temperature and PH. These feed water related parameters, together with the RO membrane material, RO module system, required recovery and permeate quality, decide the method and the degree of the necessary pre-treatment. Pre-treatment processes may consist of several conventional treatment steps as summarized in Table 2. Brackish surface water typically has a greater propensity for membrane fouling and requires more extensive pretreatment systems than groundwater resources. Different methods should be carefully selected in order to cause minimum membrane fouling at the lowest possible cost. And the amounts of chemicals added have to be precisely calculated depending on the scale forming salts contained in the feed water. For example, for water with low bacteria content, pre-treatment may only require addition of polyelectrolyte as flocculation agent, and H2SO4 to reduce the pH level and thus prevent CaCO3 precipitation. On the other hand, in the case of water with high bacteria content, more steps of chlorine addition and de-chlorination should be included before the final stage consisting of a cartridge filter.
Utilization of microfiltration (MF), ultrafiltration (UF), or nanofiltration (NF) to pre-treat RO feed water, as effective substitute of conventional pre-treatment, has became a new trend. Pilot-scale testing of these membranes has been carried out by researchers. To date, UF membranes are the most common choice in research studies and pilot testing [15]. UF membranes have smaller pore sizes than MF membranes and can therefore achieve more effective removal. Further, UF membranes have higher flux than NF membranes, making it possible to treat feed water with relatively lower energy consumption [2]. All three membranes have advantageous characteristics, such as superior removal of organic and particulate matter. However, like the RO membranes, these pre-treatment membranes are easily fouled.
Table 1. Example of brackish water composition from different locations.
Table 1. Example of brackish water composition from different locations.
ParameterunitPalmas, Canary Islands, Spain [16]Rewari, India Benandarah New South Wales, Australia [17,18]Dockum, Texas, USA [5]
Arsenic (As)mg/L<0.005
Boron (B)mg/L0.21
Calcium (Ca)mg/L12484142.1263
Chloride (Cl)mg/L1,009.61,2201,483670
Fluoride (F)mg/L0.011.1<0.1
Iron (Fe)mg/L0.00.0328.87
Magnesium (Mg)mg/L138.8779192141
Manganese (Mn)mg/L0.5
Nitrate (NO3−)mg/L416.30.69<1.0
Nitrite (NO2−)mg/L<0.1
Potassium (K)mg/L33.219.2
Sodium (Na)mg/L910.01,3101,125589
Sulphate (SO42−)mg/L569.11,1723401,329
SiO2mg/L3370
HCO3-mg/L677.9976227
Total hardness (CaCO3)mg/L5341,146
pH7.77.36.77.4
TDSmg/L3,9123,6683,4003,314
Table 2. Pre-treatment Processes, summarized from references [19,20].
Table 2. Pre-treatment Processes, summarized from references [19,20].
Pre-treatment processMain functionsSuitable water resources
Chemical treatmentsAddition of coagulantsAct to flocculate colloidal dispersions, which is easy to separateWell water, surface water
Acid additionTo decrease the pH, thus diminish the precipitation propensity of alkaline scaling species such as CaCO3 and Mg(OH)2. Sulphuric acid is usually employed.Surface water
Addition of anti-scalantsTo enable concentration of the feed water above the scale precipitation limits, avoid membrane scalingSurface water
Addition of sodium bisulfite (NaHSO3)To reduce free chlorine, that can easily attack membrane due to oxidants. The removal of excess chlorine can also be achieved with activated carbon filterSurface water
Chemical treatmentsAddition of coagulantsAct to flocculate colloidal dispersions, which is easy to separateWell water, surface water
Acid additionTo decrease the pH, thus diminish the precipitation propensity of alkaline scaling species such as CaCO3 and Mg(OH)2. Sulphuric acid is usually employed.Surface water
Addition of anti-scalantsTo enable concentration of the feed water above the scale precipitation limits, avoid membrane scalingSurface water
Addition of sodium bisulfite (NaHSO3)To reduce free chlorine, that can easily attack membrane due to oxidants. The removal of excess chlorine can also be achieved with activated carbon filterSurface water
FiltrationMesh strainerTo initially remove large particles, avoid membrane blockingWell water, surface water
Media filtrationTo remove particulate and suspended matter, avoid membrane blocking, used commonly in conventional desalination plantSurface water
Micron cartridge filtrationUniversally used in front of the modules of any RO plant, serve as the final barrier to water born particles. The filter elements with a nominal pore size of about 5 μm Well water, surface water
Filtration aidsTo increase the efficiency of filtration processes by adding filtration aids, such as organic polymersWell water, surface water
DisinfectionUsing disinfecting agents such as chlorine, organic biocides, ozone and UV irradiation to control biological activity, protect the membraneWell water, surface water

3. Conventional BWRO Plant

Usually, BWRO desalination plants implement a basic configuration of one stage, as shown in Figure 1, and the membrane module may contains one or several RO elements in series. Taking the BWRO plant in Saja’a UAE as an example, the feed water of the plant is from a well water field with average TDS being 3261 mg/L, and the RO feed pressure is maintained in the range of 18–20 bar. This plant is operated at a recovery of about 68% in order to meet the production need of 22,710 m3/day. To increase the output, an additional seawater membrane RO unit was added to recover the high pressure brine [21]. By utilizing the seawater RO unit at a recovery fraction of 40%, additional water output of 3027 m3/day was achieved. Figure 2 illustrates the RO module arrangement with an additional membrane module. This configuration must be operated at a pressure well above the osmotic pressure of the feed water, to overcome the osmotic pressure reached at the exit of the second module. Thus, it is desired to use a RO module with low operation pressure, high permeate flux and high salt rejection as the second module. Nemeth [22] used a similar idea to improve the performance of a conventional BWRO plant. By utilizing a hybrid combination of ultra-low pressure and conventional membranes, the average flux was increased up to 10%, and the permeate TDS decreased by around 20%. The same author [22] also proposed an optimum design by incorporating inter-stage pressure boosting or utilizing permeates throttling at the first stage, and the flux through the second module was increased by 40% and 37%, respectively.
Figure 1. Conventional one stage brackish water reverse osmosis (BWRO)system.
Figure 1. Conventional one stage brackish water reverse osmosis (BWRO)system.
Water 04 00690 g001
Figure 2. BWRO system with additional membrane module connected to the reject water.
Figure 2. BWRO system with additional membrane module connected to the reject water.
Water 04 00690 g002

4. Optimal Designs of Conventional BWRO System

A BWRO desalination system can be modified in various ways to improve its performance. One common approach is to change the number of membrane elements in a module and the arrangement of the modules. Typically, the BWRO plant is arranged in a staged array; that is the subsequent stage contains half as many membrane modules as the previous one, i.e., 2:1 array. Nemeth has shown [22] that using a 3:1 array requires a slightly lower feed pressure, but lowers the concentrate flow in the first stage simultaneously. Other re-design approaches are also adopted. The development and implementation of optimized configurations have been seen to lead to a reduction in energy consumption of the RO desalination plants. Moreover, a BWRO system may be operated in a batch mode and without an ERD. To date, most of the small-scale RO systems were built without an ERD. It may keep capital costs down but come at the expense of a heavy penalty on energy costs. For BWRO systems, they usually have much higher recovery ratios; thus, energy recovery is less critical.

4.1. Multi-stage Configuration

For an RO system, a serial arrangement of the RO membrane elements is more energy efficient than a parallel one [23]. For serial arrangements, however, a substantial longitudinal gradient in concentration will occur. In desalination process, fresh water is progressively removed along the RO membrane module, the salt concentration along the channel increases to a value almost twice (for seawater) or three times (for BW) that at the inlet. To maintain a flux of water over the entire feed channel, the operation pressure is determined by the concentration at the outlet rather than the inlet, as illustrated in Figure 3a. Thus, part of the feed energy is lost due to the longitudinal concentration gradient.
One example of system design that can eliminate this loss is a multi-stage configuration. This design adopts several stages in series along with several booster pumps. The first stage operates at a lower pressure, because of the lower salinity of the feed water. The concentrate from the first stage is then fed into a second stage, where the salinity becomes higher. The inter-stage booster pump provides higher pressure correspondingly, thus removing the necessity to have the first-stage pump providing extra pressure. Consequently, the energy loss associated with the increased longitudinal concentration can be minimized. Figure 3b gives a direct illustration of the energy savings achieved by the 3-stage RO system with the three pumps providing pressure P1, P2 and P3.
Figure 3. Energy usage of a reverse osmosis (RO) system and the effect of longitudinal concentration gradient. The theoretical minimum energy demand for desalination, which is represented by the area under the osmotic pressure curve, is equal to the energy needed to bring saline water to the maximum osmotic pressure in the corresponding module. (a) For single-stage system, the operation pressure P must be at least equal to the osmotic pressure π of the solution at the outlet of membrane module. The applied energy is represented by the area under the dashed line. The difference between these two areas (gray area) is the provided extra energy, i.e., energy loss. (b) For 3-stage system, by providing appropriate pressure for each stage, the energy loss (gray area) is reduced, and some of the extra energy is saved (pink area)—based on [6].
Figure 3. Energy usage of a reverse osmosis (RO) system and the effect of longitudinal concentration gradient. The theoretical minimum energy demand for desalination, which is represented by the area under the osmotic pressure curve, is equal to the energy needed to bring saline water to the maximum osmotic pressure in the corresponding module. (a) For single-stage system, the operation pressure P must be at least equal to the osmotic pressure π of the solution at the outlet of membrane module. The applied energy is represented by the area under the dashed line. The difference between these two areas (gray area) is the provided extra energy, i.e., energy loss. (b) For 3-stage system, by providing appropriate pressure for each stage, the energy loss (gray area) is reduced, and some of the extra energy is saved (pink area)—based on [6].
Water 04 00690 g003
The configurations of single and multi-stage BWRO systems with or without an ERD are depicted in Figure 4, Figure 5, Figure 6 and Figure 7. A Design study by Vince et al. [24] has shown that multi-stage systems, with modules connected to reject water with booster pumps, are able in principle to minimize the electricity consumption. Lu et al. [25] also recommended that for low feed concentration (around 3000 mg/L), the optimal design is a 3-stage system with ERD that can increase recovery ratio. In practice, however, simple one-stage systems have often been favoured because of the lower capital cost—despite their relatively poor energy efficiency [18]. Thus, the choice of one- or multi-stage configuration needs careful attention.
Figure 4. Single-stage system.
Figure 4. Single-stage system.
Water 04 00690 g004
Figure 5. 3-stage system with intermediate pumps.
Figure 5. 3-stage system with intermediate pumps.
Water 04 00690 g005
Figure 6. Single-stage system with work exchanger type energy recovery device (ERD).
Figure 6. Single-stage system with work exchanger type energy recovery device (ERD).
Water 04 00690 g006
Figure 7. Multi-stages system with work exchanger type ERD.
Figure 7. Multi-stages system with work exchanger type ERD.
Water 04 00690 g007

5. Innovative Configurations Using Time-varying Conditions

Multi-staging attempts to overcome the problem of longitudinal concentration gradient by spatial separation of the system into modules working at different pressures. A contrasting approach is temporal separation, whereby a single module is operated at time-varying pressure as the concentration and osmotic pressure gradually increase. (Note that these two approaches—separation in space or time—are recognizable from the methodology of TRIZ). An advantage of the time-varying (i.e., non-steady) approach is that it is possible in principle to attain the theoretical minimum energy of desalination; whereas with multi-staging, this would only be possible if an infinite number of stages were employed. Here we describe two distinct but related approaches using the time-varying approach.

5.1. Batch Mode RO Operation

Batch operations are common in traditional filter presses (e.g., for making wine). For RO, they are used in laboratory filtration cells for experimental purposes, but they have rarely been employed at process scale with a view to optimizing energy efficiency. The design philosophy of the batch mode operation is illustrated in Figure 8. Saline water is contained in a water cylinder. The cylinder piston driven by the input work pressurizes the saline water against the RO membrane and the permeate is expelled. To diminish the undesirable concentration polarization effects at the membrane surface, a stirring device is applied. A practical realization is shown in Figure 9 [12]. During the pressurization stage, the pressurized concentrate is fed back into the pump cylinder with the help of the re-circulation pump. Batch mode operation provides energy recovery, without the need for a separate ERD.
Davies [12] has presented a batch system—DesaLink—in which batch-RO can be powered by the work generated from steam expansions, which is interesting for incorporation into thermal and solar thermal plant allowing for a range of end purposes (i.e., co-generation). DesaLink comprises two subsystems, namely a power system and a batch-RO system. The pistons of these two subsystems are coupled by a crank mechanism to provide mechanical advantage during the desalination process. DesaLink works on the principle that the mechanical energy provided by the steam expansion is directly applied to the feed water without any further conversion steps; thus losses will be minimized. The aim is to produce high fresh water output but also reduce brine discharge with low energy consumption [26]. Detailed information about this system can be found elsewhere [12]. At the time of writing, DesaLink is still at the prototype stage of development.
Figure 8. The essence of the batch mode RO process.
Figure 8. The essence of the batch mode RO process.
Water 04 00690 g008
Figure 9. Three stages of the batch mode RO operation, from [27]. The solid array lines indicate the water flows and the dashed lines show the blocked water paths. The water flow is controlled by closing and opening the valves, which are represented as solid and hollow valve symbols, respectively.
Figure 9. Three stages of the batch mode RO operation, from [27]. The solid array lines indicate the water flows and the dashed lines show the blocked water paths. The water flow is controlled by closing and opening the valves, which are represented as solid and hollow valve symbols, respectively.
Water 04 00690 g009

5.2. Closed Circuit Mode RO Operation

Another BWRO desalination system that uses time-varying conditions called Closed Circuit Desalination (CCD) has been proposed and developed by Efraty [28,29]. The concept of CCD is illustrated schematically in Figure 10. Pressurized feed is supplied by a high pressure pump. A stirring device is placed inside the water vessel to prevent the concentration polarization effect. This system operates under variable pressure conditions according to the level of concentrate salinity. When it reaches the desired recovery fraction, the process stops, the container is decompressed and brine is replaced by fresh feed. Then a new batch of desalination sequence is initiated. A CCD apparatus is illustrated in Figure 11. The design includes a feed pump to provide high pressure, a circulation pump to recycle concentrate back into the RO module and valves to enable brine replacement with fresh feed when the desalination reaches a desired recovery level. In order to operate the CCD-RO continuously, a new method has been developed using multiple modules and switching among them [30]. The principle of the new apparatus is the same as the one shown in Figure 11, to which a side water vessel is added that can be either engaged with or disengaged from the CCD process by means of several actuated valves. Detailed information about continuous CCD can be found elsewhere [30].
Figure 10. The concept of closed circuit RO operation.
Figure 10. The concept of closed circuit RO operation.
Water 04 00690 g010
Figure 11. A schematic design of an apparatus for Closed Circuit Desalination (CCD) desalination.
Figure 11. A schematic design of an apparatus for Closed Circuit Desalination (CCD) desalination.
Water 04 00690 g011

6. Comparison of Different Configurations

Both single and multi-stage BWRO systems have a continuous hydrodynamic process performed with fixed pressure and pressurized feed flow at every stage. For the batch mode RO and the Closed Circuit mode RO, the desalination process is performed under variable pressure conditions, because of the recycling of rejected concentrates. For DesaLink, the feed flow rate is not constant based on the steam expansion rate, which gives a varying permeate rate. At the very initial stage of pressurization, the concentration of permeate is higher than 500 ppm (with 4000 ppm feed) due to the low feed pressure and low flow rate. However, the pressure increases as the salinity of the recycled concentrate increases, enhancing the membrane salt rejection characteristic. Thus the permeate produced by one batch cycle has a concentration around 300 ppm. Conversely, the feed flow rate in a the CCD system is fixed, whereas the operation pressure of the feed flow is varied by means of variable frequency drive control of the high pressure pump. The high pressure pump has an average efficiency of 55–%60% [31]. In general, CCD has a flexible design allowing performance variations as a result of its independent control of the high pressure pump. Apart from the fixed recovery ratio that results from the fixed volume of pump volume, DesaLink can also operate on feed water with a wide range of feed BW concentrations because of the adjustable feed steam pressure and linkage mechanism. For commercial applications, DesaLink may be less attractive than the conventional BWRO systems or CCD, because desalination is preferably operated continuously. However, the purging and refill stages take only 14% of the total operation time. And simple modifications may easily solve the problem of non-continuous operation; for example, connecting two batch-RO subsystems, one at each end of the power piston. Moreover, since the requirements for applied pressure reach up to 7–40 bar for BW desalting, the energy consumption, due to the pumps driving the feed water into membrane module, accounts for a major portion of the total cost of water desalination. The design of DesaLink effectively eliminates the need for a high pressure pump by the linkage mechanism, which makes it more favourable for small-scale BWRO desalination than other systems with low efficiency pumps.
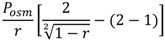
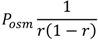
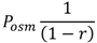
Table 3 summarizes expressions for determining specific energy consumption for the different RO system configurations, with the variables defined as follows: Posm the osmotic pressure of feed solution, r is the recovery ratio, and n is the number of stages. All the expressions in Table 3 are based on the following assumptions: (1) negligible salinity and pressure in the permeate, (2) negligible pressure loss in rejected concentrate, (3) linear relationship between osmotic pressure and salt concentration, and (4) 100% efficiency of booster pump and ERD. Furthermore, the effects of concentration polarization and fouling are not considered.
Table 3. Specific energy consumption (SEC) of different BWRO system configurations.
Table 3. Specific energy consumption (SEC) of different BWRO system configurations.
TitleTitle for this columnTitle for this column
RO system configurationWithout energy recoveryWith energy recovery
Specific energy consumptionSpecific energy consumption
Single-stage Water 04 00690 i006 Water 04 00690 i011
Two-stage Water 04 00690 i007 Water 04 00690 i012
n-stage Water 04 00690 i008 Water 04 00690 i013
Batch-RO Water 04 00690 i009
CCD-RO Water 04 00690 i010
It is clear that the multi-stage RO system achieves lower SEC than its counterparts with fewer stages. To achieve the minimum energy usage, the number of serial stages should be infinite in theory, which is infeasible in practice. However, the reduction of SEC flattens out when the number of stages exceeds 4. Figure 12 and Figure 13 are offered to compare the performance of RO systems with different system configurations, where the normalized SEC is defined as SEC/Posm.
From Figure 12, for multi staged RO systems without an ERD, the theoretical limit of normalized SEC is 4, 3.6 and 3.4 for the number of stages being 1, 2, and 3, respectively. The optimum recovery ratio is around 50–%60%. Using more stages, up to 3, not only reduces the normalized SEC, but also improves the fractional recovery of water. However, the normalized SEC plateaus out when the number of stages is more than 3. Clearly, multi-stage RO without an ERD is not very efficient in terms of energy consumption. Conversely, as shown in Figure 13, the multi-stage RO systems with an ERD have significantly reduced the normalized SEC, with a theoretical limit of 1, when the corresponding recovery ratio approaches zero. It becomes larger when the desired fractional recovery increases. On the basis of the above analysis, it can be concluded that the normalized SEC can be reduced either by increasing the number of stages or using an ERD. It should also be noted that both methods inevitably increase the cost.
Figure 12. Theoretical limit of normalized SEC in staged ROs without ERD.
Figure 12. Theoretical limit of normalized SEC in staged ROs without ERD.
Water 04 00690 g012
Figure 13. Theoretical limit of normalized SEC in batch-mode RO and multi-stage ROs with ERD.
Figure 13. Theoretical limit of normalized SEC in batch-mode RO and multi-stage ROs with ERD.
Water 04 00690 g013
The energy consumptions of batch-RO and CCD-RO are very competitive with multi-stage systems (Figure 13). The CCD-RO system has a very similar normalized SEC to the 3-stage one, although this advantage becomes less obvious when the required recovery ratio is 80% or above. For practical facilities, it is not recommended to maintain very high recoveries based on the considerations of concentration polarization prevention and membrane fouling prevention. In particular, the batch-RO has the lowest normalized SEC due to the fixed feed water volume. The SEC of the batch-RO can be reduced by 30% compared to CCD-RO at a recovery ratio of 80%. Batch mode RO operation holds promise for providing high recovery along with low energy demand and cost when compared to conventional systems. However, for cyclic operation, i.e., batch and CCD-RO, a question remains about the membrane stability during the repeated pressurization and de-pressurization of fluid. The operation parameters of the batch-RO system do not exceed the membrane specification provided by the manufacturer. Moreover, the loading with recycled brine and the unloading with fresh feed water can reduce the development of membrane fouling and scaling so it may even be advantageous [29].

7. Conclusions

In this contribution, we have discussed the critical and urgent need for BWRO systems with high productivity and low energy demand to increase water supply for various applications in remote inland areas. We have showed that brackish water composition varies widely among different locations; therefore proper analysis of water composition should be conducted prior to the BWRO plant design. We have also discussed some pre-treatment systems for RO processes and emphasized that care must be taken as the type of feed water is site-specific. Pre-treatment often involves chemical approaches to control the fouling and scaling elements in the feed water. Recently, pre-treatment processes that take advantage of membrane technology have attracted great interest due to their simplicity and effectiveness. There are a large number of BWRO plants that have been built or are under construction all over the world. With the increasing concerns of the environmental issues related to brine management in inland areas, a BWRO plant with high recovery ratio is mostly preferred. However, high production always comes hand in hand with high energy consumption. To reduce the energy demand, various designs for BWRO system have been proposed including: (1) use of additional membrane elements to recycle brine; (2) increasing the number of stages with ERD; and (3) operating the RO system in batch or CCD mode. While the multi-stage RO system with ERD can largely reduce the energy demand, the overall performance becomes less advantageous given the additional capital costs associated with the membrane elements and booster pumps. A similar improvement can be achieved by using an additional membrane on the second stage without a booster pump, thus increasing the output.
The innovative designs of both batch and CCD-RO systems are considered the most effective. The reason is twofold. First, the theoretical normalized SEC of CCD-RO is much better than for a single stage conventional system, and comparable to that of a 3-stage RO system with an ERD. The batch-RO operation can further reduce the SEC. For example, with a TDS concentration of 4000 ppm and a target recovery of 80%, a typical single-stage BWRO system without an ERD requires a theoretical energy input of 0.54 kWh/m3 for operation. However, to desalinate the same amount of water the CCD-RO system consumes only half of the energy, i.e., 0.26 kWh/m3 while only 0.17 kWh/m3 is needed for a batch-RO system. Both systems, therefore, are more technologically attractive thanks to their remarkable improvement over the more conventional counterparts as regards energy consumption. Second, together with their simple components and absence of costly ERD, both systems have also shown great economical advantages over the conventional systems.
The CCD-RO system powered by electrical energy has demonstrated a huge potential to be implanted on large scale to produce domestic or industrial water. On the other hand, batch-RO systems powered directly by mechanical energy, DesaLink being an example, can be more technologically feasible and commercially attractive where thermal energy is available to provide steam. We foresee that in the development of next generation of high recovery BWRO desalination technology, batch-RO and CCD-RO systems certainly deserve more intense research effort and may very well make remarkable contributions in the future.

Appendix

This appendix gives the derivation of theoretical SEC of Closed Circuit RO system represented in Figure 10. Assuming the initial saline water volume in the water vessel is V0 with a concentration of C0, and the corresponding ideal operation pressure is Posm. At the end of the pressurize phase, a volume of Vp permeate is obtained. Based on the operation concept of CCD, the volume of the supplied saline water during the pressurize phase is equal to that of the obtained permeate, i.e., Vs = Vp, and no water is rejected during the pressurize phase. For the subsequent purge phase, a volume of V0 fresh saline water with a concentration of C0 is applied. Thus, the overall recovery ratio of CCD-RO is:
Water 04 00690 i001
During the pressurize phase, the maximum concentration of the saline water Cmax is:
Water 04 00690 i002
Thus, the corresponding maximum operation pressure Pmax is:
Water 04 00690 i003
The required energy is:
Water 04 00690 i004
Substituting Equation A.3 into Equation A.4 and re-arranging the resulting expression with recovery ratio r whose value is obtained from Equation A.1, the theoretical SEC of CCD-RO is:
Water 04 00690 i005

References

  1. Schwarzenbach, R.P.; Escher, B.I.; Fenner, K.; Hofstetter, T.B.; Johnson, C.A.; Von Gunten, U.; Wehrli, B. The challenge of micropollutants in aquatic systems. Science 2006, 313, 1072–1077. [Google Scholar] [CrossRef]
  2. Greenlee, L.F.; Lawler, D.F.; Freeman, B.D.; Marrot, B.; Moulin, P. Reverse osmosis desalination: Water sources, technology, and today’s challenges. Water Res. 2009, 43, 2317–2348. [Google Scholar] [CrossRef]
  3. Tinker, S.; John, A.; Katherine, G. A Desalination Database for Texas; Bureau of Economic Geology, The University of Texas at Austin: Austin, TX, USA, 2005. [Google Scholar]
  4. Pérez-González, A.; Urtiaga, A.M.; Ibáñez, R.; Ortiz, I. State of the art and review on the treatment technologies of water reverse osmosis concentrates. Water Res. 2012, 46, 267–283. [Google Scholar] [CrossRef]
  5. Nicot, J.P.; Chowdhury, A.H. Disposal of brackish water concentrate into depleted oil and gas fields: A Texas study. Desalination 2005, 181, 61–74. [Google Scholar] [CrossRef]
  6. Elimelech, M.; Phillip, W.A. The future of seawater desalination: Energy, technology, and the environment. Science 2011, 333, 712–717. [Google Scholar] [CrossRef]
  7. Qiu, T.Y.; Davies, P.A. The scope to improve the efficiency of solar-powered reverse osmosis. Desalin. Water Treat. 2011, 35, 14–32. [Google Scholar]
  8. Song, L.; Hu, J.; Ong, S.; Ng, W.; Elimelech, M.; Wilf, M. Performance limitation of the full-scale reverse osmosis process. J. Membr. Sci. 2003, 214, 239–244. [Google Scholar] [CrossRef]
  9. Song, L.; Hu, J.; Ong, S.; Ng, W.; Elimelech, M.; Wilf, M. Emergence of thermodynamic restriction and its implications for full-scale reverse osmosis processes. Desalination 2003, 155, 213–228. [Google Scholar] [CrossRef]
  10. Li, M. Optimal plant operation of brackish water reverse osmosis (BWRO) desalination. Desalination 2012, 293, 61–68. [Google Scholar] [CrossRef]
  11. Li, M. Reducing specific energy consumption in Reverse Osmosis (RO) water desalination: An analysis from first principles. Desalination 2011, 276, 128–135. [Google Scholar] [CrossRef]
  12. Davies, P.A. A solar-powered reverse osmosis system for high recovery of freshwater from saline groundwater. Desalination 2011, 271, 72–79. [Google Scholar] [CrossRef]
  13. Efraty, A.; Gal, Z. Closed circuit desalination series No 7: Retrofit design for improved performance of conventional BWRO system. Desalin. Water Treat. 2012, 41, 301–307. [Google Scholar] [CrossRef]
  14. Alawadhi, A.A. Pretreatment plant design—Key to a successful reverse osmosis desalination plant. Desalination 1997, 110, 1–10. [Google Scholar] [CrossRef]
  15. Vedavyasan, C. Pretreatment trends—An overview. Desalination 2007, 203, 296–299. [Google Scholar] [CrossRef]
  16. Saavedra, E.R. Graphic evolution of the 24,000 hours (3 years) operating data of a RO brackish water desalination plant, in Las Palmas, Canary Islands, Spain. Desalination 1989, 76, 15–26. [Google Scholar] [CrossRef]
  17. Schäfer, A.I.; Richards, B.S. Testing of a hybrid membrane system for groundwater desalination in an Australian national park. Desalination 2005, 183, 55–62. [Google Scholar] [CrossRef]
  18. Alghoul, M.; Poovanaesvaran, P.; Sopian, K.; Sulaiman, M. Review of brackish water reverse osmosis (BWRO) system designs. Renew. Sustain. Energ. Rev. 2009, 13, 2661–2667. [Google Scholar] [CrossRef]
  19. Rautenbach, R.; Albrecht, R. Membrane Processes; John Wiley & Sons: Chichester, UK, 1989. [Google Scholar]
  20. Sutzkover-Gutman, I.; Hasson, D. Feed water pretreatment for desalination plants. Desalination 2010, 264, 289–296. [Google Scholar] [CrossRef]
  21. Almulla, A.; Eid, M.; Côté, P.; Coburn, J. Developments in high recovery brackish water desalination plants as part of the solution to water quantity problems. Desalination 2003, 153, 237–243. [Google Scholar] [CrossRef]
  22. Nemeth, J.E. Innovative system designs to optimize performance of ultra-low pressure reverse osmosis membranes. Desalination 1998, 118, 63–71. [Google Scholar] [CrossRef]
  23. Laborde, H.; Franca, K.; Neff, H.; Lima, A. Optimization strategy for a small-scale reverse osmosis water desalination system based on solar energy. Desalination 2001, 133, 1–12. [Google Scholar] [CrossRef]
  24. Vince, F.; Marechal, F.; Aoustin, E.; Breant, P. Multi-objective optimization of RO desalination plants. Desalination 2008, 222, 96–118. [Google Scholar] [CrossRef]
  25. Lu, Y.Y.; Hu, Y.D.; Zhang, X.L.; Wu, L.Y.; Liu, Q.Z. Optimum design of reverse osmosis system under different feed concentration and product specification. J. Membr. Sci. 2007, 287, 219–229. [Google Scholar] [CrossRef]
  26. Qiu, T.Y.; Igobo, O.N.; Davies, P.A. DesaLink: Solar Powered Desalination of Brackish Groundwater Giving High Output and High Recovery; Desalination for the Environment Clean Water and Energy: Barcelona, Spain, 2012. [Google Scholar]
  27. Qiu, T.Y.; Davies, P.A. Longitudinal dispersion in spiral wound RO modules and its effect on the performance of batch mode RO operations. Desalination 2012, 288, 1–7. [Google Scholar] [CrossRef]
  28. Efraty, A. Closed circuit desalination series no-3: High recovery low energy desalination of brackish water by a new two-mode consecutive sequential method. Desalin. Water Treat. 2012, 42, 256–261. [Google Scholar] [CrossRef]
  29. Efraty, A. Closed circuit desalination series no-4: High recovery low energy desalination of brackish water by a new single stage method without any loss of brine energy. Desalin. Water Treat. 2012, 42, 262–268. [Google Scholar] [CrossRef]
  30. Efraty, A.; Barak, R.N.; Gal, Z. Closed circuit desalination series no-2: New affordable technology for sea water desalination of low energy and high flux using short modules without need of energy recovery. Desalin. Water Treat. 2012, 42, 189–196. [Google Scholar] [CrossRef]
  31. Efraty, A. Closed circuit desalination series no-6: Conventional RO compared with the conceptually different new closed circuit desalination technology. Desalin. Water Treat. 2012, 41, 279–295. [Google Scholar] [CrossRef]

Share and Cite

MDPI and ACS Style

Qiu, T.; Davies, P.A. Comparison of Configurations for High-Recovery Inland Desalination Systems. Water 2012, 4, 690-706. https://doi.org/10.3390/w4030690

AMA Style

Qiu T, Davies PA. Comparison of Configurations for High-Recovery Inland Desalination Systems. Water. 2012; 4(3):690-706. https://doi.org/10.3390/w4030690

Chicago/Turabian Style

Qiu, Tianyu, and Philip A. Davies. 2012. "Comparison of Configurations for High-Recovery Inland Desalination Systems" Water 4, no. 3: 690-706. https://doi.org/10.3390/w4030690

APA Style

Qiu, T., & Davies, P. A. (2012). Comparison of Configurations for High-Recovery Inland Desalination Systems. Water, 4(3), 690-706. https://doi.org/10.3390/w4030690

Article Metrics

Back to TopTop