Phytoplankton Distribution and Influencing Factors in Typical Lakes of Inner Mongolia, China
Abstract
1. Introduction
2. Study Area and Data Sources
2.1. Geographical and Environmental Characteristics of the Study Area
2.2. Data Collection
2.3. Data Processing
3. Results
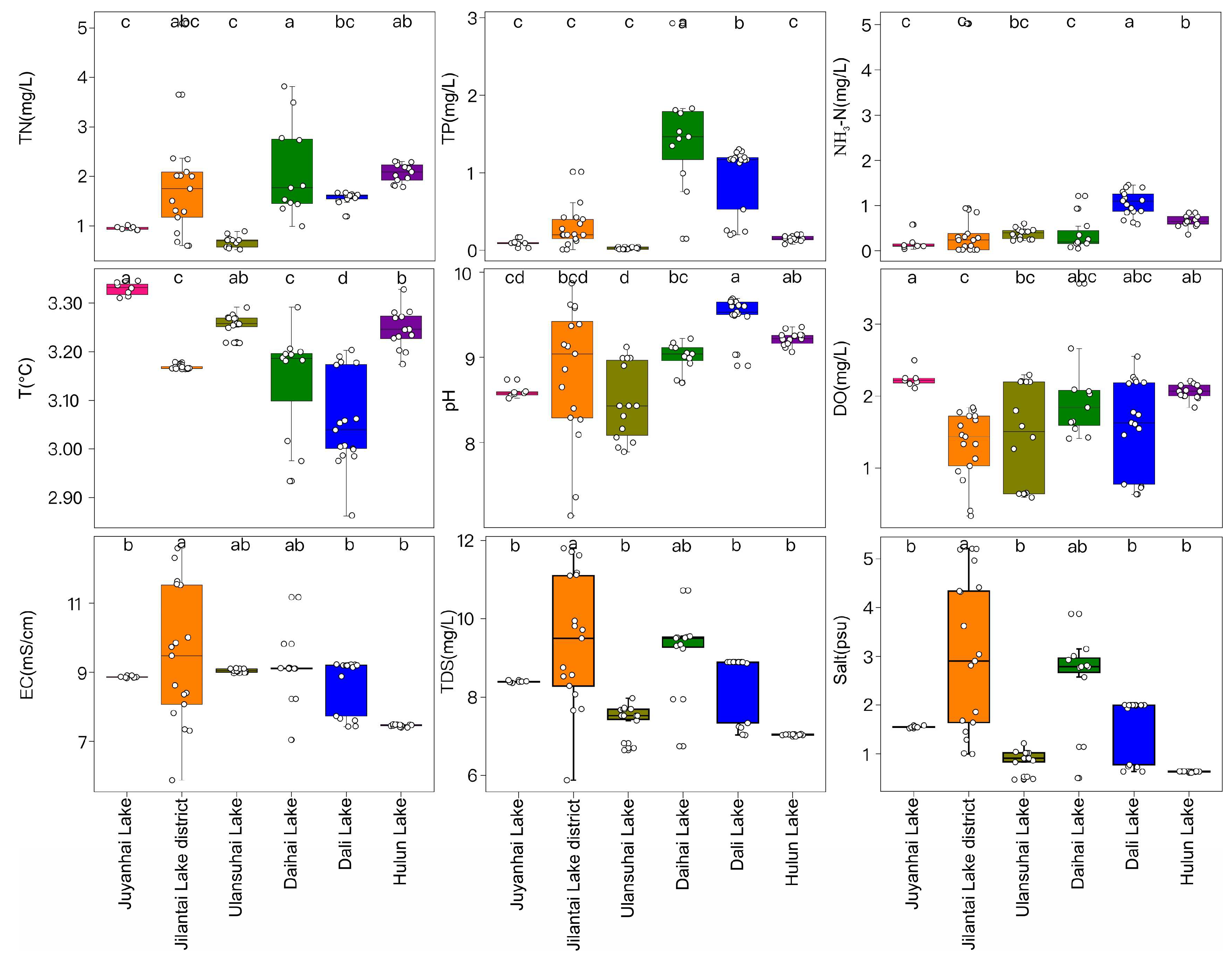
3.1. Water Quality Characteristics
3.2. Phytoplankton Composition
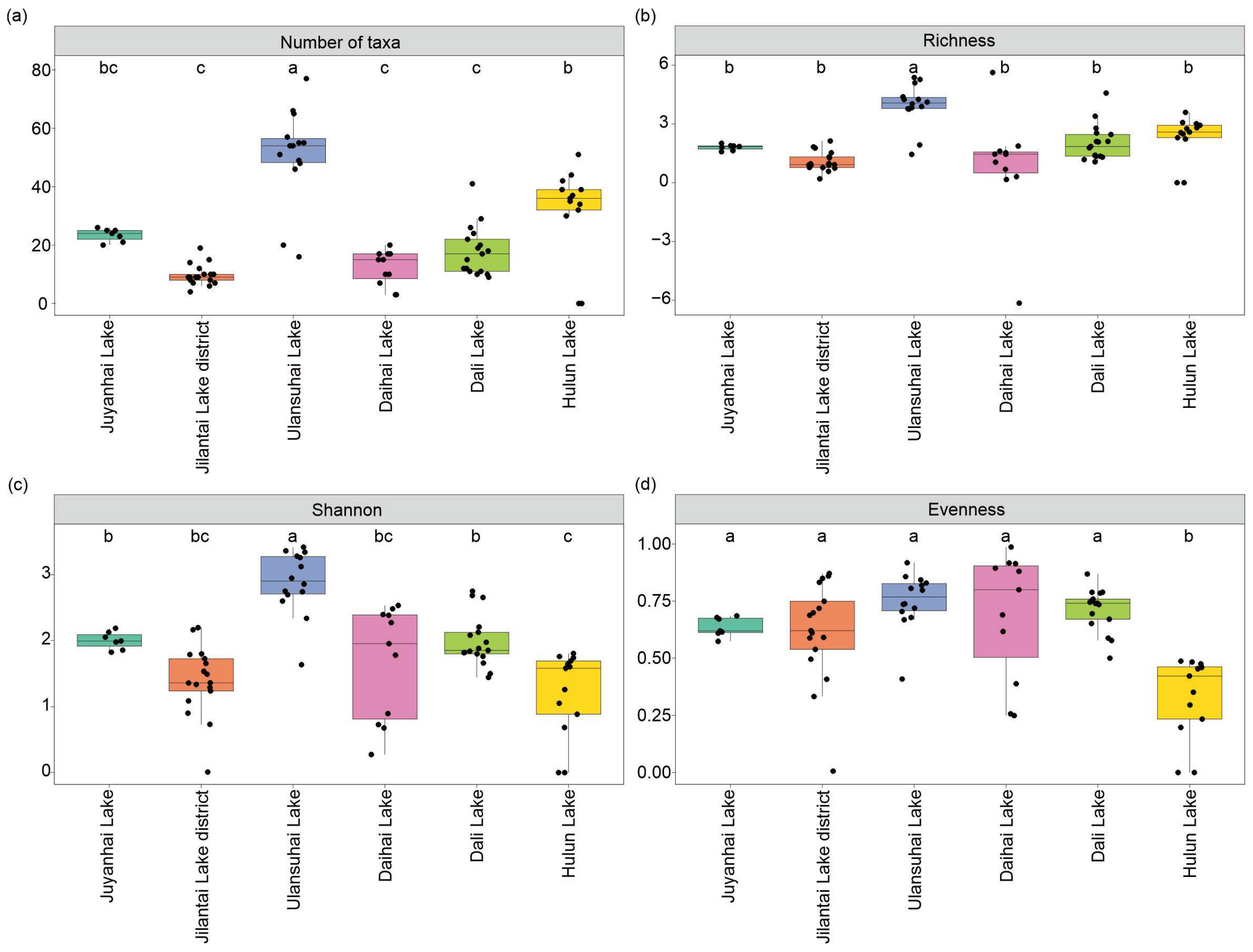
3.3. Phytoplankton Community Diversity
3.4. Dominant Taxa
3.5. Relationship Between Phytoplankton and Environmental Factors
3.5.1. RDA
3.5.2. Phytoplankton Distribution Along Environmental Gradients
3.6. Generalized Additive Models of Phytoplankton Relative Abundance
3.7. Structural Equation Model Analysis of Phytoplankton Species Composition
4. Discussion
4.1. Analysis of Factors Affecting Phytoplankton Communities in Inner Mongolia Lakes
4.2. Impact of Geographic Environment and Human Activities on Phytoplankton Communities
4.3. Implications for Lake Management
5. Conclusions
Supplementary Materials
Author Contributions
Funding
Data Availability Statement
Conflicts of Interest
References
- Rao, E.; Xiao, Y.; Ouyang, Z.; Jiang, B.; Yan, D. Status and dynamics of China’s lake water regulation. Acta Ecol. Sin. 2014, 34, 6225–6231. [Google Scholar]
- Kajan, K.; Osterholz, H.; Stegen, J.; Udovic, M.G.; Orlic, S. Mechanisms shaping dissolved organic matter and microbial community in lake ecosystems. Water Res. 2023, 245, 120653. [Google Scholar] [CrossRef]
- O’Brien, D.A.; Gal, G.; Thackeray, S.J.; Matsuzaki, S.-I.S.; Clements, C. Planktonic functional diversity changes in synchrony with lake ecosystem state. Glob. Change Biol. 2023, 29, 686–701. [Google Scholar] [CrossRef] [PubMed]
- Xie, H.; Ma, Y.; Jin, X.; Jia, S.; Zhao, X.; Zhao, X.; Cai, Y.; Xu, J.; Wu, F.; Giesy, J.P. Land use and river-lake connectivity: Biodiversity determinants of lake ecosystems. Environ. Sci. Ecotechnol. 2024, 21, 100434. [Google Scholar] [CrossRef] [PubMed]
- Cloern, J.E.; Foster, S.Q.; Kleckner, A.E. Phytoplankton primary production in the world’s estuarine-coastal ecosystems. Biogeosciences 2014, 11, 2477–2501. [Google Scholar] [CrossRef]
- Xu, Y.; Li, A.J.; Qin, J.; Li, Q.; Ho, J.G.; Li, H. Seasonal patterns of water quality and phytoplankton dynamics in surface waters in Guangzhou and Foshan, China. Sci. Total Environ. 2017, 590, 361–369. [Google Scholar] [CrossRef]
- Wu, Y.; Peng, C.; Li, G.; He, F.; Huang, L.; Sun, X.; Wu, S. Integrated evaluation of the impact of water diversion on water quality index and phytoplankton assemblages of eutrophic lake: A case study of Yilong Lake. J. Environ. Manag. 2024, 357, 120707. [Google Scholar] [CrossRef]
- Taipale, S.J.; Vuorio, K.; Aalto, S.L.; Peltomaa, E.; Tiirola, M. Eutrophication reduces the nutritional value of phytoplankton in boreal lakes. Environ. Res. 2019, 179, 108836. [Google Scholar] [CrossRef]
- Thomas, M.K.; Kremer, C.T.; Litchman, E. Environment and evolutionary history determine the global biogeography of phytoplankton temperature traits. Glob. Ecol. Biogeogr. 2016, 25, 75–86. [Google Scholar] [CrossRef]
- Groendahl, S.; Fink, P. Consumer species richness and nutrients interact in determining producer diversity. Sci. Rep. 2017, 7, 44869. [Google Scholar] [CrossRef]
- Chang, C.; Gao, L.; Wei, J.; Ma, N.; He, Q.; Pan, B.; Li, M. Spatial and environmental factors contributing to phytoplankton biogeography and biodiversity in mountain ponds across a large geographic area. Aquat. Ecol. 2021, 55, 721–735. [Google Scholar] [CrossRef]
- Burson, A.; Stomp, M.; Greenwell, E.; Grosse, J.; Huisman, J. Competition for nutrients and light: Testing advances in resource competition with a natural phytoplankton community. Ecology 2018, 99, 1108–1118. [Google Scholar] [CrossRef]
- Hayes, N.M.; Patoine, A.; Haig, H.A.; Simpson, G.L.; Swarbrick, V.J.; Wiik, E.; Leavitt, P.R. Spatial and temporal variation in nitrogen fixation and its importance to phytoplankton in phosphorus-rich lakes. Freshw. Biol. 2019, 64, 269–283. [Google Scholar] [CrossRef]
- Zhou, Q.; Zhang, Y.; Lin, D.; Shan, K.; Luo, Y.; Zhao, L.; Tan, Z.; Song, L. The relationships of meteorological factors and nutrient levels with phytoplankton biomass in a shallow eutrophic lake dominated by cyanobacteria, Lake Dianchi from 1991 to 2013. Environ. Sci. Pollut. Res. 2016, 23, 15616–15626. [Google Scholar] [CrossRef]
- Moffett, E.R.; Baker, H.K.; Bonadonna, C.C.; Shurin, J.B.; Symons, C.C. Cascading effects of freshwater salinization on plankton communities in the Sierra Nevada. Limnol. Oceanogr. Lett. 2023, 8, 30–37. [Google Scholar] [CrossRef]
- Cao, J.; Wu, Y.; Li, Z.-K.; Hou, Z.-Y.; Wu, T.-H.; Chu, Z.-S.; Zheng, B.-H.; Yang, P.-P.; Yang, Y.-Y.; Li, C.-S.; et al. Dependence of evolution of Cyanobacteria superiority on temperature and nutrient use efficiency in a meso-eutrophic plateau lake. Sci. Total Environ. 2024, 927, 172338. [Google Scholar] [CrossRef] [PubMed]
- Zhao, L.; Li, Y.; Zou, R.; He, B.; Zhu, X.; Liu, Y.; Wang, J.; Zhu, Y. A three-dimensional water quality modeling approach for exploring the eutrophication responses to load reduction scenarios in Lake Yilong (China). Environ. Pollut. 2013, 177, 13–21. [Google Scholar] [CrossRef] [PubMed]
- Shi, Y.; Li, W.; Guo, X. Composition, interaction networks, and nitrogen metabolism patterns of bacterioplankton communities in a grassland type Lake: A case of Hulun Lake, China. Front. Microbiol. 2023, 14, 1305345. [Google Scholar] [CrossRef]
- Wu, R.; Liu, Y.; Zhang, S.; Shi, X.; Zhao, S.; Lu, J.; Kang, X.; Wang, S.; Wu, Y.; Arvola, L. Characterization of nitrogen and phosphorus at the ice-water-sediment interface and the effect of their migration on overlying water quality in Daihai Lake (China) during the freezing period. Sci. Total Environ. 2023, 893, 164863. [Google Scholar] [CrossRef] [PubMed]
- Shi, Y.; Li, W.; Guo, X. Exploring environment-specific regulation Characterizing bacterioplankton community dynamics in a typical lake of Inner Mongolia, China. Environ. Res. 2024, 253, 119154. [Google Scholar] [CrossRef] [PubMed]
- Yu, H.; Shi, X.; Sun, B.; Zhao, S.; Wang, S.; Yang, Z.; Han, Y.; Kang, R.; Chen, L. Effects of water replenishment on lake water quality and trophic status: An 11-year study in cold and arid regions. Ecotoxicol. Environ. Saf. 2024, 281, 116621. [Google Scholar] [CrossRef] [PubMed]
- Lin, S.-S.; Shen, S.-L.; Zhou, A.; Lyu, H.-M. Assessment andmanagement of lake eutrophication: A case study in Lake Erhai, China. Sci. Total Environ. 2021, 751, 141618. [Google Scholar] [CrossRef] [PubMed]
- Ma, C.; Mwagona, P.C.; Yu, H.; Sun, X.; Liang, L.; Al-Ghanim, K.A.; Mahboob, S. Spatial and temporal variation of phytoplankton functional groups in extremely alkaline Dali Nur Lake, North China. J. Freshw. Ecol. 2019, 34, 91–105. [Google Scholar] [CrossRef]
- Li, X.; Liu, Y.; Zhang, S.; Li, G.; Tao, Y.; Wang, S.; Yu, H.; Shi, X.; Zhao, S. Evolution Characteristics and Driving Factors of Cyanobacterial Blooms in Hulun Lake from 2018 to 2022. Water 2023, 15, 3765. [Google Scholar] [CrossRef]
- Chang, C.-W.; Miki, T.; Ye, H.; Souissi, S.; Adrian, R.; Anneville, O.; Agasild, H.; Ban, S.; Be’eri-Shlevin, Y.; Chiang, Y.-R.; et al. Causal networks of phytoplankton diversity and biomass are modulated by environmental context. Nat. Commun. 2022, 13, 1140, Correction in Nat. Commun. 2022, 13, 5872. https://doi.org/10.1038/s41467-022-33702-1. [Google Scholar] [CrossRef]
- Ding, Y.; Li, M.; Pan, B.; Zhao, G.; Gao, L. Disentangling the drivers of phytoplankton community composition in a heavily sediment-laden transcontinental river. J. Environ. Manag. 2022, 302, 113939. [Google Scholar] [CrossRef]
- Quan, Q.; Liang, W.; Yan, D.; Lei, J. Influences of joint action of natural and social factors on atmospheric process of hydrological cycle in Inner Mongolia, China. Urban Clim. 2022, 41, 101043. [Google Scholar] [CrossRef]
- Zhang, H.; Zhao, S.; Shi, X.; Sun, B.; Cui, Z.; Zhao, Y.; Zhang, J. Distribution characteristics, risk assessment, and source analysis of heavy metals in typical lake sediments in Inner Mongolia, China. Ecol. Indic. 2024, 166, 112341. [Google Scholar] [CrossRef]
- Yin, H.; Pflugmacher, D.; Li, A.; Li, Z.; Hostert, P. Land use and land cover change in Inner Mongolia—Understanding the effects of China’s re-vegetation programs. Remote Sens. Environ. 2018, 204, 918–930. [Google Scholar] [CrossRef]
- He, X.; Li, P.; Ji, Y.; Wang, Y.; Su, Z.; Vetrimurugan, E. Groundwater Arsenic and Fluoride and Associated Arsenicosis and Fluorosis in China: Occurrence, Distribution and Management. Expo. Health 2020, 12, 355–368. [Google Scholar] [CrossRef]
- Li, X.; Zhang, N.; Zhang, A.; Tang, J.; Li, Z.; Nie, Z. Changes in grassland vegetation based on spatiotemporal variation in vegetation growth and spatial configuration dynamics of bare lands. Ecol. Inform. 2024, 80, 102473. [Google Scholar] [CrossRef]
- Ma, R.; Yang, G.; Duan, H.; Jiang, J.; Wang, S.; Feng, X.; Li, A.; Kong, F.; Xue, B.; Wu, J.; et al. China’s lakes at present: Number, area and spatial distribution. Sci. China Earth Sci. 2011, 54, 283–289. [Google Scholar] [CrossRef]
- Ye, B.; Sun, B.; Shi, X.; Zhao, S.; Liu, J.; Zou, J.; Yao, W.; Zhao, Y.; Guo, Y.; Pang, J. Temporal and spatial characteristics and driving forces of lakes in the Mongolia-Xinjiang Plateau during 1989–2021. J. Lake Sci. 2024, 36, 1252–1267. [Google Scholar] [CrossRef]
- Xu, X. Data Set of River Basin and River Network in China Extracted Based on DEM; Resource and Environmental Science Data Registration and Publication System: Beijing, China, 2018. [Google Scholar]
- Carlson, R.E. A trophic state index for lakes. Limnol. Oceanogr. 1977, 22, 361–369. [Google Scholar] [CrossRef]
- Kim, H.G.; Hong, S.; Kim, D.-K.; Joo, G.-J. Drivers shaping episodic and gradual changes in phytoplankton community succession: Taxonomic versus functional groups. Sci. Total Environ. 2020, 734, 138940. [Google Scholar] [CrossRef]
- Van Loon, W.; Walvoort, D.; Hoey, G.V.; Vina-Herbon, C.; Blandon, A.; Pesch, R.; Schmitt, P.; Scholle, J.; Heyer, K.; Lavaleye, M.; et al. A regional benthic fauna assessment method for the Southern North Sea using Margalef diversity and reference value modelling. Ecol. Indic. 2018, 89, 667–679. [Google Scholar] [CrossRef]
- Jost, L. The Relation between Evenness and Diversity. Diversity 2010, 2, 207–232. [Google Scholar] [CrossRef]
- Simpson, E. Measurement of Diversity. Nature 1949, 163, 688. [Google Scholar] [CrossRef]
- Zhu, H.; Cao, K.; Chen, X.; Liu, X.; Zhang, X. Effects of suspended ecological beds on phytoplankton community structure in Baiyangdian Lake, China. J. Freshw. Ecol. 2022, 37, 189–202. [Google Scholar] [CrossRef]
- Zhou, Y.J.; Zhang, Y.Y.; Liang, T.; Wang, L.Q. Shifting of phytoplankton assemblages in a regulated Chinese river basin after streamflow and water quality changes. Sci. Total Environ. 2019, 654, 948–959. [Google Scholar] [CrossRef]
- Buchaca, T.; Catalan, J. Nonlinearities in phytoplankton groups across temperate high mountain lakes. J. Ecol. 2024, 112, 755–769. [Google Scholar] [CrossRef]
- Ma, C.; Zhao, C.; Mwagona, P.C.; Li, Z.; Liu, Z.; Dou, H.; Zhou, X.; Bhadha, J.H. Bottom-up and top-down effects on phytoplankton functional groups in Hulun Lake, China. Ann. Limnol.—Int. J. Limnol. 2021, 57, 3. [Google Scholar] [CrossRef]
- Li, Z.; Gao, Y.; Wang, S.; Lu, Y.; Sun, K.; Jia, J.; Wang, Y. Phytoplankton community response to nutrients along lake salinity and altitude gradients on the Qinghai-Tibet Plateau. Ecol. Indic. 2021, 128, 107848. [Google Scholar] [CrossRef]
- Larson, C.A.; Belovsky, G.E. Salinity and nutrients influence species richness and evenness of phytoplankton communities in microcosm experiments from Great Salt Lake, Utah, USA. J. Plankton Res. 2013, 35, 1154–1166. [Google Scholar] [CrossRef]
- Zadereev, E.; Drobotov, A.; Anishchenko, O.; Kolmakova, A.; Lopatina, T.; Oskina, N.; Tolomeev, A. The Structuring Effects of Salinity and Nutrient Status on Zooplankton Communities and Trophic Structure in Siberian Lakes. Water 2022, 14, 1468. [Google Scholar] [CrossRef]
- Afonina, E.Y.; Tashlykova, N.A. Plankton community and the relationship with the environment in saline lakes of Onon-Torey plain, Northeastern Mongolia. Saudi J. Biol. Sci. 2018, 25, 399–408. [Google Scholar] [CrossRef] [PubMed]
- Redden, A.M.; Rukminasari, N. Effects of increases in salinity on phytoplankton in the Broadwater of the Myall Lakes, NSW, Australia. Hydrobiologia 2008, 608, 87–97. [Google Scholar] [CrossRef]
- Boros, E.; Kolpakova, M. A review of the defining chemical properties of soda lakes and pans: An assessment on a large geographic scale of Eurasian inland saline surface waters. PLoS ONE 2018, 13, e0202205. [Google Scholar] [CrossRef]
- Kocer, M.A.T.; Sen, B. Some factors affecting the abundance of phytoplankton in an unproductive alkaline lake (Lake Hazar, Turkey). Turk. J. Bot. 2014, 38, 790–799. [Google Scholar] [CrossRef]
- Riisgaard, K.; Nielsen, T.G.; Hansen, P.J. Impact of elevated pH on succession in the Arctic spring bloom. Mar. Ecol. Prog. Ser. 2015, 530, 63–75. [Google Scholar] [CrossRef]
- Jia, J.; Chen, Q.; Ren, H.; Lu, R.; He, H.; Gu, P. Phytoplankton Composition and Their Related Factors in Five Different Lakes in China: Implications for Lake Management. Int. J. Environ. Res. Public Health 2022, 19, 3135. [Google Scholar] [CrossRef] [PubMed]
- Paltsev, A.; Bergstrom, A.-K.; Vuorio, K.; Creed, I.F.; Hessen, D.O.; Kortelainen, P.; Vuorenmaa, J.; Wit, H.A.D.; Lau, D.C.P.; Vrede, T.; et al. Phytoplankton biomass in northern lakes reveals a complex response to global change. Sci. Total Environ. 2024, 940, 173570. [Google Scholar] [CrossRef] [PubMed]
- Qin, B.; Zhou, J.; Elser, J.J.; Gardner, W.S.; Deng, J.; Brookes, J.D. Water Depth Underpins the Relative Roles and Fates of Nitrogen and Phosphorus in Lakes. Environ. Sci. Technol. 2020, 54, 3191–3198. [Google Scholar] [CrossRef] [PubMed]
- Li, G.; Zhang, S.; Shi, X.; Zhao, S.; Zhan, L.; Pan, X.; Zhang, F.; Yu, H.; Sun, Y.; Arvola, L.; et al. Significant spatiotemporal pattern of nitrous oxide emission and its influencing factors from a shallow eutropic lake in Inner Mongolia, China. J. Environ. Sci. 2025, 149, 488–499. [Google Scholar] [CrossRef]
- Shi, R.; Zhao, J.; Shi, W.; Song, S.; Wang, C. Comprehensive Assessment of Water Quality and Pollution Source Apportionment in Wuliangsuhai Lake, Inner Mongolia, China. Int. J. Environ. Res. Public Health 2020, 17, 5054. [Google Scholar] [CrossRef]
- Li, J.; Li, C.; Li, X.; Shi, X.; Li, W.; Sun, B.; Zhen, Z. Phytoplankton community structure in Wuliangsuhai Lake and its relationships with environmental factors using Canonical Correspondence Analysis. Ecol. Environ. Sci. 2013, 22, 1032–1040. [Google Scholar] [CrossRef]
- Xing, Z.; Huang, H.; Li, Y.; Liu, S.; Wang, D.; Yuan, Y.; Zhao, Z.; Bu, L. Management of sustainable ecological water levels of endorheic salt lakes in the Inner Mongolian Plateau of China based on eco-hydrological processes. Hydrol. Process. 2021, 35, e14192. [Google Scholar] [CrossRef]
- Wang, X.L.; Lu, Y.L.; He, G.Z.; Han, J.Y.; Wang, T.Y. Exploration of relationships between phytoplankton biomass and related environmental variables using multivariate statistic analysis in a eutrophic shallow lake: A 5-year study. J. Environ. Sci. 2007, 19, 920–927. [Google Scholar] [CrossRef]
- Liu, X.; Duan, L.; Mo, J.; Du, E.; Shen, J.; Lu, X.; Zhang, Y.; Zhou, X.; He, C.; Zhang, F. Nitrogen deposition and its ecological impact in China: An overview. Environ. Pollut. 2011, 159, 2251–2264. [Google Scholar] [CrossRef]
- Su, Q.; Qin, H.; Fu, G. Environmental and ecological impacts of water supplement schemes in a heavily polluted estuary. Sci. Total Environ. 2014, 472, 704–711. [Google Scholar] [CrossRef]
- Wu, R.; Zhang, S.; Liu, Y.; Shi, X.; Zhao, S.; Kang, X.; Quan, D.; Sun, B.; Arvola, L.; Li, G. Spatiotemporal variation in water quality and identification and quantification of areas sensitive to water quality in Hulun lake, China. Ecol. Indic. 2023, 149, 110176. [Google Scholar] [CrossRef]
- Yang, W.; Deng, D.G.; Meng, X.L.; Zhang, S. Temporal and Spatial Variations of Phytoplankton Community Structure in Lake Erhai, a Chinese Plateau Lake, with Reference to Environmental Factors. Russ. J. Ecol. 2019, 50, 352–360. [Google Scholar] [CrossRef]
- Liu, X.; Chen, L.; Zhang, G.; Zhang, J.; Wu, Y.; Ju, H. Spatiotemporal dynamics of succession and growth limitation of phytoplankton for nutrients and light in a large shallow lake. Water Res. 2021, 194, 116910. [Google Scholar] [CrossRef] [PubMed]
- Xiao, L.-J.; Zhu, Y.; Yang, Y.; Lin, Q.; Han, B.-P.; Padisak, J. Species-based classification reveals spatial processes of phytoplankton meta-communities better than functional group approaches: A case study from three freshwater lake regions in China. Hydrobiologia 2018, 811, 313–324. [Google Scholar] [CrossRef]
- Liu, X.; Zhang, J.; Wu, Y.; Yu, Y.; Sun, J.; Mao, D.; Zhang, G. Intensified effect of nitrogen forms on dominant phytoplankton species succession by climate change. Water Res. 2024, 264, 122214. [Google Scholar] [CrossRef]
- Meng, S.; Yao, Y.; Hu, B.; Chen, Y.; Wang, L.; Liu, Y. Spatial distribution characteristics of chlorophyll-a concentration in summer and its influencing factors in Lake Daihai of Mengxin Plateau. J. Lake Sci. 2023, 35, 1255–1267. [Google Scholar] [CrossRef]
- Morey, J.S.; Monroe, E.A.; Kinney, A.L.; Beal, M.; van Dolah, F.M. Transcriptomic response of the red tide dinoflagellate, Karenia brevis, to nitrogen and phosphorus depletion and addition. Bmc Genom. 2011, 12, 346. [Google Scholar] [CrossRef]
- Tan, X.; Shen, H.; Song, L. Comparative studies on physiological responses at phosphorus stress of three waterbloom-forming cyanobacteria. Acta Hydrobiol. Sin. 2007, 31, 693–699. [Google Scholar] [CrossRef]
- Maberly, S.C.; Pitt, J.-A.; Davies, P.S.; Carvalho, L. Nitrogen and phosphorus limitation and the management of small productive lakes. Inland Waters 2020, 10, 159–172. [Google Scholar] [CrossRef]
- Yamamoto, Y.; Nakahara, H. Seasonal variations in the diel vertical distribution of phytoplankton and zooplankton in a shallow pond. Phycol. Res. 2006, 54, 280–293. [Google Scholar] [CrossRef]
- Lewandowska, A.M.; Breithaupt, P.; Hillebrand, H.; Hoppe, H.-G.; Jürgens, K.; Sommer, U. Responses of primary productivity to increased temperature and phytoplankton diversity. J. Sea Res. 2012, 72, 87–93. [Google Scholar] [CrossRef]
- Zhao, W.; Yang, P.; Li, H.; Hu, G.; Liu, X. Characteristics of soil erosion, nitrogen and phosphorous losses under three grassland use patterns in Hulun Lake watershed. Trans. Chin. Soc. Agric. Eng. 2011, 27, 9. [Google Scholar]
- Chen, X.; Chuai, X.; Yang, L.; Zhao, H. Climatic warming and overgrazing induced the high concentration of organic matter in Lake Hulun, a large shallow eutrophic steppe lake in northern China. Sci. Total Environ. 2012, 431, 332–338. [Google Scholar] [CrossRef]
- Chen, J.; Lv, J.; Li, N.; Wang, Q.; Wang, J. External Groundwater Alleviates the Degradation of Closed Lakes in Semi-Arid Regions of China. Remote Sens. 2020, 12, 45. [Google Scholar] [CrossRef]
- Ren, X.; Yu, R.; Kang, J.; Lu, C.; Wang, R.; Li, Y.; Zhang, Z. Water pollution characteristics and influencing factors of closed lake in a semiarid area: A case study of Daihai Lake, China. Environ. Earth Sci. 2022, 81, 393. [Google Scholar] [CrossRef]
- Guo, X.; Li, W.; Shi, X.; Liu, T.; Shi, Y. Hydrogen isotope records of long-chain alkanes from the monsoon boundary zone over the last 2400 years in North China. J. Hydrol. 2024, 633, 131008. [Google Scholar] [CrossRef]
- Guo, X.; Shi, X.; Shi, Y.; Li, W.; Wang, Y.; Cui, Z.; Arvolab, L. Characterization of bacterial community dynamics dominated by salinity in lakes of the Inner Mongolian Plateau, China. Front. Microbiol. 2024, 15, 1448919. [Google Scholar] [CrossRef] [PubMed]
- Xiao, S.; Peng, X.; Tian, Q. Climatic and human drivers of recent lake-level change in East Juyan Lake, China. Reg. Environ. Change 2016, 16, 1063–1073. [Google Scholar] [CrossRef]
- Smith, V.H. Eutrophication of freshwater and coastal marine ecosystems a global problem. Environ. Sci. Pollut. Res. 2003, 10, 126–139. [Google Scholar] [CrossRef]
- Cherry, K.A.; Shepherd, M.; Withers, P.J.A.; Mooney, S.J. Assessing the effectiveness of actions to mitigate nutrient loss from agriculture: A review of methods. Sci. Total Environ. 2008, 406, 1–23. [Google Scholar] [CrossRef]
- McDowell, R.W.; Nash, D. A Review of the Cost-Effectiveness and Suitability of Mitigation Strategies to Prevent Phosphorus Loss from Dairy Farms in New Zealand and Australia. J. Environ. Qual. 2012, 41, 680–693. [Google Scholar] [CrossRef]
- Schipper, L.A.; Cameron, S.C.; Warneke, S. Nitrate removal from three different effluents using large-scale denitrification beds. Ecol. Eng. 2010, 36, 1552–1557. [Google Scholar] [CrossRef]
- Abell, J.M.; Ozkundakci, D.; Hamilton, D.P.; Reeves, P. Restoring shallow lakes impaired by eutrophication: Approaches, outcomes, and challenges. Crit. Rev. Environ. Sci. Technol. 2022, 52, 1199–1246. [Google Scholar] [CrossRef]
- Tao, S.; Fang, J.; Ma, S.; Cai, Q.; Xiong, X.; Tian, D.; Zhao, X.; Fang, L.; Zhang, H.; Zhu, J.; et al. Changes in China’s lakes: Climate and human impacts. Natl. Sci. Rev. 2020, 7, 132–140. [Google Scholar] [CrossRef]
- Yang, R.; Fan, X.; Zhao, L.; Yang, K. Identification of major environmental factors driving phytoplankton community succession before and after the regime shift of Erhai Lake, China. Ecol. Indic. 2023, 146, 109875. [Google Scholar] [CrossRef]








| Phylum | Dominant Taxa | Y | |
|---|---|---|---|
| I | Bacillariophyta | Ulnaria acus | 0.029 |
| Chlorophyta | Chlamydomonas ovalis | 0.023 | |
| Chlorophyta | Mucidosphaerium pulchellum | 0.032 | |
| Chlorophyta | Kirchneriella lunaris | 0.025 | |
| Chrysophyta | Chromulina elegans | 0.451 | |
| Cyanobacteria | Merismopedia marssonii | 0.114 | |
| Cyanobacteria | Merismopedia minima | 0.073 | |
| Cyanobacteria | Phormidium allorgei | 0.054 | |
| Cyanobacteria | Synechocystis minuscula | 0.030 | |
| II | Cyanobacteria | Microcystis sp. | 0.170 |
| III | Bacillariophyta | Nitzschia acicularis | 0.026 |
| Bacillariophyta | Stephanocyclus meneghinianus | 0.086 | |
| Bacillariophyta | Cyclotella sp. | 0.045 | |
| Bacillariophyta | Nitzschia spp. | 0.059 | |
| Chlorophyta | Ankistrodesmus sp. | 0.035 | |
| Chlorophyta | Scenedesmus quadricauda | 0.086 | |
| Charophyta | Mougeotia sp. | 0.042 | |
| Chrysophyta | Chromulina sp. | 0.024 | |
| Cyanobacteria | Merismopedia sp. | 0.035 | |
| Cyanobacteria | Pseudanabaena sp. | 0.029 | |
| Cyanobacteria | Anabaena sp. | 0.086 | |
| IV | Bacillariophyta | Navicula sp. | 0.023 |
| Bacillariophyta | Nitzschia spp. | 0.369 | |
| Cyanobacteria | Pseudanabaena sp. | 0.022 | |
| Cyanobacteria | Anabaena sp. | 0.076 | |
| Euglenozoa | Euglena sp. | 0.022 | |
| V | Bacillariophyta | Nitzschia spp. | 0.044 |
| Chlorophyta | Oocystis sp. | 0.028 | |
| Chlorophyta | Schroederia setigera | 0.022 | |
| Cryptophyta | Cryptomonas sp. | 0.043 | |
| Cryptophyta | Komma caudata | 0.110 | |
| Cyanobacteria | Glaucospira laxissima | 0.020 | |
| Cyanobacteria | Microcystis sp. | 0.036 | |
| VI | Chlorophyta | Crucigenia tetrapedia | 0.046 |
| Cyanobacteria | Dolichospermum circinale | 0.745 | |
| Cyanobacteria | Anabaena sp. | 0.028 |
| Variable | R2 | F | p |
|---|---|---|---|
| NH3.N | 0.076 | 3.630 | 0.016 * |
| TN | 0.108 | 5.146 | 0.004 ** |
| TP | 0.263 | 12.498 | 0.001 *** |
| T | 0.138 | 6.561 | 0.002 ** |
| PH | 0.100 | 4.755 | 0.008 ** |
| Salt | 0.150 | 7.152 | 0.001 *** |
| DO | 0.044 | 2.095 | 0.095 |
| TDS | 0.045 | 2.132 | 0.080 |
| EC | 0.076 | 3.610 | 0.020 * |
Disclaimer/Publisher’s Note: The statements, opinions and data contained in all publications are solely those of the individual author(s) and contributor(s) and not of MDPI and/or the editor(s). MDPI and/or the editor(s) disclaim responsibility for any injury to people or property resulting from any ideas, methods, instructions or products referred to in the content. |
© 2026 by the authors. Licensee MDPI, Basel, Switzerland. This article is an open access article distributed under the terms and conditions of the Creative Commons Attribution (CC BY) license.
Share and Cite
Han, Z.; Shi, Y.; Guo, X.; Li, W. Phytoplankton Distribution and Influencing Factors in Typical Lakes of Inner Mongolia, China. Water 2026, 18, 941. https://doi.org/10.3390/w18080941
Han Z, Shi Y, Guo X, Li W. Phytoplankton Distribution and Influencing Factors in Typical Lakes of Inner Mongolia, China. Water. 2026; 18(8):941. https://doi.org/10.3390/w18080941
Chicago/Turabian StyleHan, Zhikui, Yujiao Shi, Xin Guo, and Wenbao Li. 2026. "Phytoplankton Distribution and Influencing Factors in Typical Lakes of Inner Mongolia, China" Water 18, no. 8: 941. https://doi.org/10.3390/w18080941
APA StyleHan, Z., Shi, Y., Guo, X., & Li, W. (2026). Phytoplankton Distribution and Influencing Factors in Typical Lakes of Inner Mongolia, China. Water, 18(8), 941. https://doi.org/10.3390/w18080941
