Next Article in Journal
Elucidating the Degradation of Naphthalene in Fenton-like Processes Coupled with Various Sulfur-Iron Materials: Performance and Mechanisms
Previous Article in Journal
Fault Diagnosis for Hydropower Units Based on Multi-Sensor Data with Multi-Scale Fusion
Previous Article in Special Issue
A Regional-Scale Early Warning System for Rainfall-Induced Shallow Landslides Based on the Outputs of a Physically Based Model: Application to Cili County, China
 
 
Font Type:
Arial Georgia Verdana
Font Size:
Aa Aa Aa
Line Spacing:
Column Width:
Background:
Article

Multi-Scale Displacement Prediction and Failure Mechanism Identification for Hydrodynamically Triggered Landslides

1
Research Institute of Geotechnical Engineering, Hohai University, Nanjing 210098, China
2
Key Laboratory of Ministry of Education for Geomechanics and Embankment Engineering, Hohai University, Nanjing 210024, China
3
PowerChina Zhongnan Engineering Corporation Limited, Changsha 410014, China
*
Author to whom correspondence should be addressed.
Water 2026, 18(8), 917; https://doi.org/10.3390/w18080917
Submission received: 9 March 2026 / Revised: 7 April 2026 / Accepted: 9 April 2026 / Published: 11 April 2026
(This article belongs to the Special Issue Landslide on Hydrological Response)

Abstract

Hydrodynamically triggered landslides remain a major concern in reservoir regions, where the mechanisms controlling displacement evolution are still not fully understood and the multi-scale deformation responses induced by individual hydrodynamic factors remain difficult to quantify. To address these issues, this study establishes a TSD-TET composite framework by integrating time-series signal decomposition with deep learning for multi-scale displacement prediction and the mechanism-oriented interpretation of hydrodynamically triggered landslides. The monitored displacement sequence is first decomposed into physically interpretable components, including trend, periodic, and random terms. Each component is subsequently predicted using deep temporal learning models to capture different deformation characteristics at multiple temporal scales. Meanwhile, key hydrodynamic driving factors, including rainfall, reservoir water level, and groundwater level, are decomposed within the same framework to examine their statistical associations with different displacement components. The proposed approach is applied to the Donglingxin landslide located in the Sanbanxi Hydropower Station reservoir area. Results show that the model achieves high prediction accuracy under both long-term forecasting horizons and limited-sample conditions, with a cumulative displacement coefficient of determination reaching R2 = 0.945. Mechanism analysis further indicates that trend deformation is mainly controlled by geological structure and gravitational loading, periodic deformation is strongly modulated by hydrological cycles associated with reservoir water level fluctuations, and random deformation is more likely to reflect short-term disturbances and transient hydrodynamic forcing. These findings provide new insights into the deformation mechanisms of hydrodynamically triggered landslides and offer a promising technical pathway for improving displacement prediction, monitoring, and early warning of reservoir-induced landslide hazards.

1. Introduction

During the operation of large hydropower projects, periodic fluctuations in reservoir water levels and rainfall infiltration jointly modify the hydrodynamic conditions and stress states of reservoir bank slopes [1,2]. These processes constitute one of the primary external drivers of reservoir-bank landslide hazards [3]. Accurate prediction of displacement evolution in reservoir-bank landslides, together with a mechanistic understanding of hydrodynamically driven deformation and failure processes, remains a key scientific challenge in reservoir-area geohazard monitoring, early warning, and risk management. Addressing this challenge is also essential for ensuring the long-term safety and stable operation of large hydropower infrastructures [4,5,6,7,8].
Hydrodynamically triggered landslides are characterized by strong nonlinearity, multi-scale dynamics, and multi-factor coupling [9,10]. The displacement–time series of such landslides are governed jointly by intrinsic factors (e.g., landslide geometry and the mechanical properties of the sliding zone) and by hydrodynamic forcings (e.g., rainfall, reservoir water-level fluctuations, and groundwater-level variations) [11,12]. The resulting strong non-stationarity makes it inherently difficult for a single unified predictive model to simultaneously achieve adequate accuracy and stability [13].
To address these challenges, data-driven approaches to landslide displacement prediction have gained widespread adoption in recent years [14]. A common strategy involves coupling signal decomposition with machine learning models to improve predictive performance. Methods such as Empirical Mode Decomposition (EMD) [15], Variational Mode Decomposition (VMD) [16], and Ensemble Empirical Mode Decomposition (EEMD) [17] have been employed to isolate displacement components across different temporal scales, which are subsequently modeled using Long Short-Term Memory (LSTM), support vector regression (SVR), or Transformer architectures [18,19,20]. This decomposition-prediction paradigm has demonstrated notable advantages in reducing the adverse effects of non-stationarity on predictive outcomes [21,22].
Nevertheless, several critical limitations persist. Landslide monitoring datasets are generally limited in sample size, and models trained under such conditions frequently exhibit insufficient generalization capacity. In addition, the stability of random component separation and the physical interpretability of decomposed sub-signals remain significant unresolved issues [23,24,25].
Advances in deep learning for time-series analysis have positioned the Transformer architecture as particularly effective for capturing long-range temporal dependencies [26,27,28,29]. Building on this foundation, integrating Temporal Convolutional Networks (TCN) to enhance multi-scale feature extraction, combined with Efficient Channel Attention (ECA) mechanisms to improve feature selection under small-sample conditions, has emerged as a promising direction for complex temporal prediction. However, most existing studies prioritize predictive performance while paying limited attention to the systematic quantification and physical interpretation of how distinct deformation modes respond to specific hydrodynamic forcing factors. This gap has left many predictive models with a degree of “black-box” opacity that constrains their utility in engineering applications [30,31].
Motivated by these considerations, the present study treats hydrodynamic landslide displacement prediction as more than a numerical fitting problem. It is also used as a means of supporting mechanism-oriented interpretation of hydrodynamic factors. A TSD-TET composite framework is developed by integrating time-series signal decomposition with deep learning to address multi-scale deformation prediction and mechanism-oriented analysis under hydrodynamic forcing. The framework decomposes the landslide displacement sequence into physically interpretable trend, periodic, and random components, each predicted separately under constraints imposed by multi-source hydrodynamic factors, thereby enabling the characterization and reconstruction of deformation patterns across distinct temporal scales. The framework further analyzes the driving contributions of rainfall, reservoir water level, and groundwater level to individual displacement components, inverting the progressive-to-abrupt deformation transition mechanism induced by hydrodynamic loading. The Donglingxin landslide in the Sanbanxi Hydropower Station reservoir area, China, is adopted as a case study to evaluate the effectiveness of the framework in multi-scale displacement prediction, small-sample applicability, and hazard mechanism interpretation. The results are expected to provide a scientific basis for refined monitoring, early warning, and risk management of hydrodynamically triggered landslides.

2. Methodology

2.1. Signal Decomposition

Under the combined influence of complex geological and hydrodynamic conditions, landslide displacement–time series typically exhibit pronounced nonlinearity and non-stationarity. These series reflect the superimposed effects of external forcings (including rainfall, reservoir water-level fluctuations, and groundwater-level variations), together with measurement noise and short-term perturbations. To characterize the landslide deformation process across temporal scales and to improve the stability and interpretability of displacement prediction, this study follows established approaches [32,33] and decomposes the landslide displacement series into three components: a trend term, a periodic term, and a random term, expressed as:
P ( t ) = α ( t ) + β ( t ) + γ ( t )
where P t denotes the total displacement time series, and α t , β t , γ t represent the trend, periodic, and random displacement components, respectively.
It should be noted that Trend-Seasonal Decomposition (TSD) is not developed in this study, but adopted as an existing physically constrained decomposition method. Its use is motivated by the fact that the cumulative displacement of hydrodynamic landslides can often be reasonably represented as the superposition of a slowly varying trend term, a quasi-periodic response term associated with hydrodynamic forcing, and a short-term random disturbance term.
To ensure mathematical rigor and physical consistency in the decomposition results, the TSD method constructs a composite objective function J that constrains the expected characteristics of each component. The optimal decomposition is obtained by minimizing J, which is defined as a weighted combination of three sub-objectives: trend smoothness, periodic smoothness, and random roughness:
J = w α J α + w β J β + w γ J γ
where w α , w β , w γ are the weighting coefficients of the corresponding sub-objectives, and J α , J β , J γ denote the smoothness of the trend component, the smoothness of the periodic component, and the roughness of the random component, respectively.
In this study, Equation (2) was solved using a constrained nonlinear optimization procedure. The weighting coefficients for the trend smoothness, periodic smoothness, and random roughness terms were set to 1.0, 0.8, and 0.5, respectively. The optimization variable was defined as the adjustment to an initial moving-average trend estimate, and the terminal equality constraint was imposed to ensure that the sum of the decomposed components at the final time step equaled the original signal. The maximum numbers of function evaluations and iterations were set to 10,000 and 1000, respectively. If optimization failed to converge, a moving-average-based decomposition method was used as a fallback scheme.
Compared with data-adaptive decomposition methods such as EMD and VMD, TSD imposes explicit physical constraints on the expected behavior of the decomposed components. This makes it suitable for displacement series that follow a trend-periodic-random structure and facilitates component interpretability for subsequent deformation mechanism analysis and predictive modeling. A quantitative comparison of TSD, EMD, and VMD for the DLXG05 displacement series is provided in Section 3.2.

2.2. TET Temporal Prediction Model

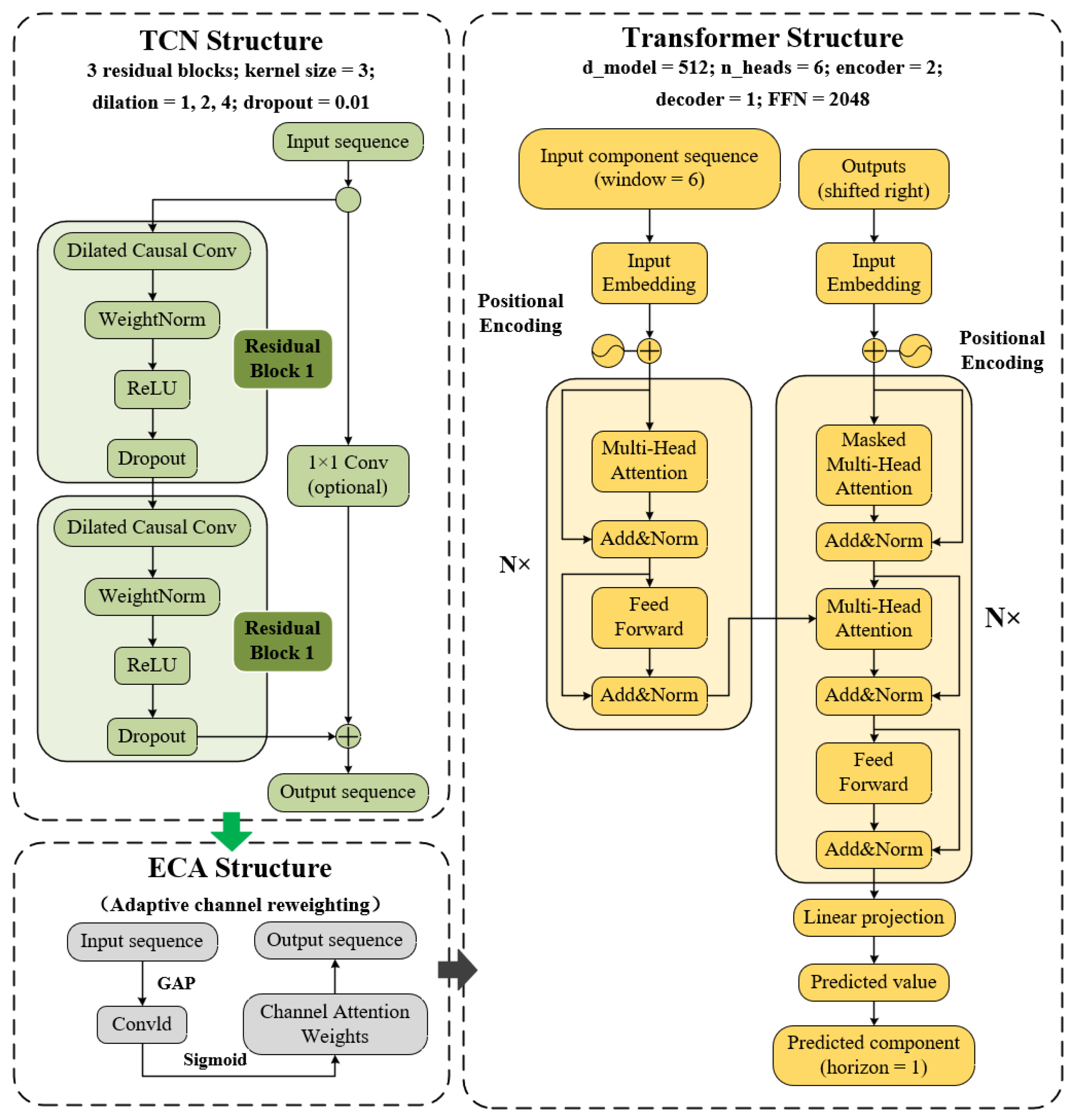
To accommodate the distinctive characteristics of landslide displacement series, including limited sample size, long-range temporal dependencies, and multi-factor coupling, we propose a TET temporal prediction model that comprises a Temporal Convolutional Network (TCN), an Efficient Channel Attention (ECA) module, and a Transformer encoder.
The TCN employs dilated causal convolutions to extract multi-scale temporal features, simultaneously preserving temporal causality and effectively capturing long-range dependencies, while residual connections are incorporated to enhance training stability. The ECA module amplifies the weighting of salient feature channels, thereby improving feature selection capacity under small-sample conditions. The Transformer leverages self-attention mechanisms to perform global modeling over multi-source input features, making it well-suited for characterizing the nonlinear coupling relationships between landslide displacement and hydrodynamic forcing factors. The integration of these three components achieves improved predictive accuracy and generalization capability while maintaining manageable model complexity. The network architecture of the proposed TET model is illustrated in Figure 1.
For reproducibility, The TET model was implemented with an input window of 6, a prediction horizon of 1, a model dimension of 512, 6 attention heads, 2 encoder layers, and 1 decoder layer. The main training settings included the Adam optimizer, a learning rate of 1 × 10−4, a batch size of 1, and 10 training epochs.

2.3. Landslide Displacement Prediction Based on the TSD-TET Composite Model

This study integrates the TSD signal decomposition method with the TET temporal prediction model to construct a TSD-TET composite framework for landslide displacement prediction. The overall workflow proceeds as follows.
First, the TSD method is used to decompose the raw landslide displacement series into trend, periodic, and random components. In parallel, hydrodynamic forcing factors (including rainfall and reservoir water level) are decomposed into low- and high-frequency sub-signals. Spearman correlation analysis is then performed to quantify the associations between each displacement component and the decomposed forcing factors, thereby selecting the key driving variables as model inputs.
Building on this foundation, dedicated TET prediction models are constructed for each displacement component. Specifically, the trend component is predicted using a single-factor model, while the periodic and random components are each modeled independently using multi-factor configurations. The final cumulative displacement prediction is obtained by superimposing the predicted values of all three components. To evaluate model performance, Transformer and LSTM models are introduced as comparative baselines. Predictive accuracy is assessed using root mean square error (RMSE) and the coefficient of determination (R2) as evaluation metrics, under two experimental settings: long-horizon prediction and small-sample prediction.

3. Case Study

3.1. Engineering Geological Background and Deformation Characteristics

The Donglingxin landslide, located in the reservoir area of the Sanbanxi Hydropower Station in Qiandongnan Miao and Dong Autonomous Prefecture, Guizhou Province, is selected as the study object. The landslide is situated on the right bank of the middle reach of the Qingshui River and represents a typical deep-seated ancient landslide subject to reservoir water level regulation. Its long-term deformation has been governed by the combined action of hydrological cycling and gravitational creep, resulting in pronounced multi-scale deformation characteristics.
Engineering geological investigations indicate that the landslide is a composite ancient landslide deposit, composed predominantly of strongly to moderately weathered fragmented rock, boulder-gravel mixtures, and silty clay, exhibiting a loose structure with marked spatial heterogeneity. Based on topographic features and deposit architecture, the landslide can be subdivided into two geomorphic units. Zone I constitutes the primary deposit zone, distributed along the bank slope from the paleo-riverbed to an elevation of approximately 700 m. It displays a characteristic amphitheater-shaped morphology, covers an area of approximately 31.5 × 104 m2, and exhibits notable variation in deposit thickness along the slope direction. Zone II forms a secondary deposit zone located on the southern rear-edge slope of the primary deposit body, spanning elevations of 600–825 m, oriented in an N20°E fan-shaped configuration, with an area of approximately 6.8 × 104 m2.
The total area of the landslide body is approximately 38.2 × 104 m2, with an estimated total volume of approximately 2.07 × 107 m3. The deposit exhibits the characteristic morphology of a high-position collapse-slide accumulation landform (Figure 2). A significant correlation between deposit thickness and topographic configuration reflects a history of multiple sliding episodes and subsequent readjustment, indicating that the deformation evolution of this landslide is distinctly phased and inherits characteristics from earlier failure events.
Since surface cracks were first identified during the flood season of 2007, a multi-parameter long-term monitoring system has been established, encompassing displacement, rainfall, reservoir water level, and groundwater level measurements. Continuous monitoring data spanning October 2009 to December 2016 provide a comprehensive record of the landslide’s deformation response under hydrological disturbance conditions, offering an ideal dataset for multi-scale displacement decomposition, deformation mechanism analysis, and predictive model validation.

3.2. Multi-Scale Decomposition Characteristics of the Landslide Displacement Time Series

This study utilizes landslide displacement, rainfall, reservoir water level, and groundwater level data recorded at monitoring point DLXG05 from 2009 to 2016 as the research dataset. The location of monitoring point DLXG05 is shown in Figure 3, the corresponding cross-sectional profile is presented in Figure 4, and the raw monitoring data are illustrated in Figure 5.
Monitoring results indicate that the cumulative displacement curve at DLXG05 exhibits a characteristic step-wise incremental pattern, while the rainfall, reservoir water level, and groundwater level series each display pronounced periodic oscillations. Notable phase differences among these three series in the temporal domain suggest that landslide displacement responds to external hydrodynamic disturbances with significant lag and cumulative amplification effects.
The decomposition results of TSD, EMD, and VMD for the DLXG05 displacement series are shown in Figure 6. All three methods can separate the original displacement sequence into trend, periodic, and random components, but they exhibit noticeable differences in component smoothness, oscillatory behavior, and residual characteristics. In particular, the trend components obtained by TSD and VMD show broadly similar smoothness characteristics in the second-order difference curves, whereas EMD exhibits relatively larger local fluctuations in some intervals. For the periodic component, the EMD-derived result appears more visually oscillatory, but its dominant period differs more markedly from the hydrological-year cycle considered in this study, indicating that stronger apparent periodicity does not necessarily imply better physical consistency.
To avoid over-reliance on visual inspection, a quantitative comparison was further conducted among TSD, EMD, and VMD, as summarized in Table 1. To quantitatively assess the applicability of the TSD method for the DLXG05 displacement series, VMD and EMD were adopted as comparative benchmarks for three-component decomposition of the raw displacement series. Four quantitative indicators were used, including the relative reconstruction error (RE), the terminal consistency error (TCE), the trend smoothness index (TSI, based on the second-order difference of the trend component), and the periodic fluctuation index (PFI, based on the first-order difference of the periodic component). In addition, the absolute mean value of the periodic component and the standard deviation of the random component were used to further evaluate the physical consistency of the decomposed components. The comparative results are presented in Figure 6 and Table 1.
The results show that all three methods can reconstruct the original displacement series with very small errors, indicating that the overall decomposition reliability is acceptable. In terms of trend smoothness, the TSD-derived trend component does not exhibit the smallest second-order difference amplitude among the three methods. However, the periodic component obtained by TSD shows the lowest fluctuation index, indicating more stable temporal oscillations and fewer irregular local disturbances, especially in the early stage of the monitoring series. In addition, the periodic and random components derived from TSD are characterized by smaller mean bias and lower residual dispersion than those obtained by EMD and VMD, which is beneficial for maintaining the physical interpretability of the trend-periodic-random decomposition structure.
Overall, the quantitative comparison suggests that TSD is not universally superior to EMD or VMD in all evaluation indices. Nevertheless, for the DLXG05 displacement series, it provides a more stable periodic component and a lower-amplitude random residual under the adopted decomposition framework, thereby offering more physically interpretable inputs for subsequent deformation mechanism analysis and predictive modeling.

3.3. Multi-Scale Decomposition and Lag-Related Feature Construction of Hydrodynamic Influencing Factors

Conventional landslide displacement studies have predominantly relied on single time-scale rainfall or reservoir water level indices, which are insufficient to capture the lag response and cumulative effects of landslide deformation under hydrodynamic disturbance. In practice, landslide deformation is not solely determined by the intensity of external forcing, but is also substantially conditioned by the landslide’s own evolutionary state.
Grounded in this understanding, the present study introduces cumulative displacement (D0) together with displacement increments over the preceding one and two months (D1, D2) to characterize the evolving deformation state of the landslide. Simultaneously, multi-scale decomposition is applied to the rainfall, reservoir water level, and groundwater level series. Specifically, cumulative one-month and two-month rainfall totals (R1, R2) are employed to represent the lag and cumulative effects of precipitation, monthly mean reservoir water level and its incremental changes (W0, W1, W2) are used to reflect the regulated dynamics of reservoir water level; and groundwater level together with its temporal increments (G0, G1, G2) are introduced to characterize the time-lagged influence of subsurface hydrodynamic conditions.
The TSD results for each influencing factor are presented in Figure 7, Figure 8, Figure 9 and Figure 10. The results reveal that different hydrodynamic factors exhibit broadly consistent evolutionary trends in their low-frequency components, yet display notable differences in phase and amplitude. This pattern reflects the differentiated modulation roles these factors exert on landslide deformation. Such characteristics confirm that the TSD method not only effectively isolates the multi-scale features of hydrodynamic factors, but also provides a basis for constructing lag-related hydrodynamic features for subsequent multi-scale displacement prediction.

3.4. Correlation Analysis Between Landslide Displacement and Influencing Factors and Mechanism-Oriented Interpretation

Prior to constructing landslide displacement prediction models, the systematic selection of influencing factors is important for improving predictive reliability and for providing statistical support for mechanism-oriented interpretation. In this study, Spearman rank correlation analysis is employed to quantify the associations between the displacement components at monitoring point DLXG05 and each candidate influencing factor. The results are summarized in Table 2. It should be noted that the Spearman correlation analysis is used here to identify statistical associations rather than to establish direct causality. Therefore, the following interpretation should be understood as a mechanism-oriented inference based on correlation patterns, temporal-scale decomposition, and the physical background of hydrodynamically triggered landslide deformation.
The analysis reveals that the periodic displacement component at DLXG05 exhibits the strongest correlation with the second-lag displacement increment (D2), with a correlation coefficient of 0.557, while the random displacement component shows the highest correlation with the first-lag displacement increment (D1), yielding a coefficient of 0.857. These findings indicate that landslide deformation is characterized by pronounced path dependency: the deformation response is strongly conditioned by the pre-existing deformation state, exhibiting a typical self-excitation-lag pattern.
By contrast, the direct correlations between the decomposed displacement components and rainfall-, reservoir water-level-, or groundwater-related variables are generally weaker. This indicates that external hydrodynamic factors may not control deformation through simple instantaneous linear relationships. Instead, their influence is more likely to be cumulative, delayed, and indirectly expressed through the internal hydrodynamic adjustment of the slope. In particular, although the groundwater-related variables do not show strong direct correlations in Table 2, this does not necessarily imply that groundwater is unimportant to the deformation process. Rather, groundwater may still participate in slope deformation through lagged seepage response and its interaction with rainfall infiltration and reservoir water-level fluctuation.
Taken together, the deformation process of the Donglingxin landslide can be interpreted at three temporal scales. First, the long-term trend deformation is mainly associated with the combined control of geological background conditions and gravitational stress. Second, the periodic deformation is more closely related to cumulative and lag-related hydrodynamic forcing, especially rainfall and reservoir regulation, together with their indirect influence on internal seepage conditions. Third, the random deformation is more likely to reflect short-term disturbances and transient external forcing, such as intense rainfall or abrupt water-level changes, although such interpretations should still be regarded cautiously in the absence of direct causal verification.

3.5. Multi-Component Landslide Displacement Prediction Results

Based on the influencing factor selection outcomes described above, the TSD-TET composite model is constructed to independently model and predict the trend, periodic, and random displacement components, with the individual component predictions subsequently superimposed to yield the final cumulative displacement forecast.

3.5.1. Trend Component Displacement Prediction

The trend displacement component primarily reflects the long-term evolutionary behavior of the landslide body under the control of gravitational stress and geological structural conditions. A single-factor TET model is employed for prediction, with cumulative displacement and displacement increments over the preceding one to three months adopted as input variables. The prediction results are presented in Figure 11 and Figure 12, and the corresponding predictive accuracy metrics are summarized in Table 3. The model achieves a coefficient of determination of 0.9663 and a root mean square error of 6.845 mm, indicating that the trend displacement component is highly amenable to data-driven prediction.
It should be noted that all RMSE values reported in Table 3 are expressed in the original physical unit (mm) after inverse transformation. Because the decomposed periodic and stochastic components have much smaller amplitude ranges than the cumulative displacement series, their RMSE values are correspondingly smaller in absolute magnitude. Therefore, the RMSE values of different displacement components should be interpreted together with the scale of the corresponding component rather than being directly compared with that of the cumulative displacement series.

3.5.2. Periodic Component Displacement Prediction

The periodic displacement component is primarily driven by hydrodynamic factors exhibiting pronounced cyclic behavior. Based on the results of the correlation analysis, a multi-factor TET model is constructed for prediction. The prediction results are presented in Figure 13 and Figure 14. The model achieves a coefficient of determination of 0.9397 and a root mean square error of 0.0266 mm, demonstrating its capacity to effectively capture the characteristics of periodic deformation.

3.5.3. Random Component Displacement Prediction

The random displacement component is characterized by pronounced irregularity and is generally the most challenging component to predict. The TSD-TET model is applied for its prediction, with results presented in Figure 15 and Figure 16. The model achieves a coefficient of determination of 0.8171, substantially exceeding the threshold of 0.6 commonly reported in comparable studies, demonstrating a clear advantage of the proposed model in isolating and predicting high-frequency disturbance components.

3.5.4. Cumulative Displacement Prediction

The cumulative displacement predictions are obtained by superimposing the predicted values of all three components, with results presented in Figure 17 and Figure 18. The overall model achieves a coefficient of determination of 0.9454 and a root mean square error of 7.1218 mm, with consistently strong fitting performance observed across the training, validation, and test sets, confirming the reliability of the proposed model for practical engineering prediction applications.

3.6. Validation of Model Performance Under Long-Horizon and Small-Sample Conditions

To further assess the generalization capability of the proposed model, the standard Transformer and LSTM models are introduced as comparative baselines for long-horizon and small-sample prediction performance evaluations, respectively. For reproducibility, the main hyperparameter settings used in the comparative experiments are listed in Table 4. It should be noted that the baseline models were not subjected to exhaustive hyperparameter optimization. Instead, their parameter values were selected based on commonly used settings in the relevant literature and preliminary trials, and all models were trained under the same data split and evaluation protocol to ensure a fair comparison.
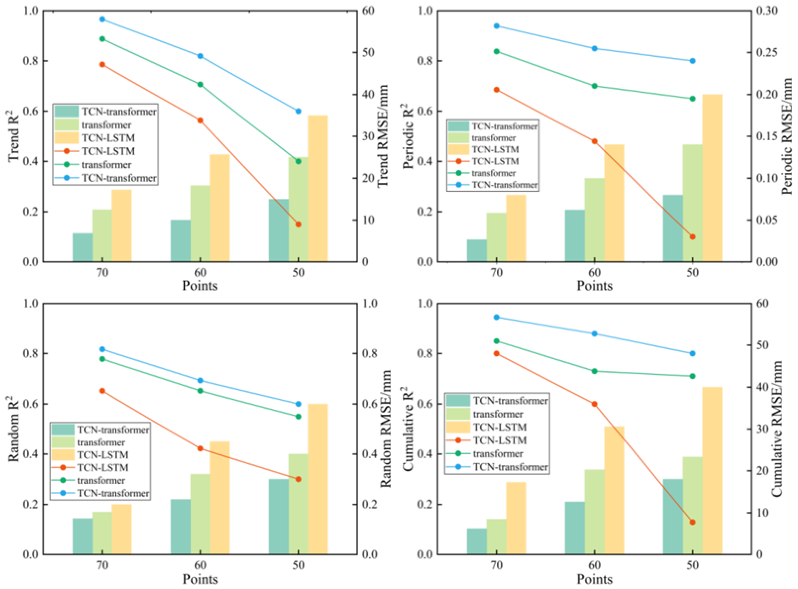
With the chronological training, validation, and test subsets kept unchanged, displacement predictions are generated for horizons of 12 to 24 months ahead, and the variation in predictive accuracy with increasing forecast length is presented in Figure 19. The results demonstrate that both the TET and Transformer models exhibit only marginal performance degradation as the prediction horizon extends, whereas the LSTM model deteriorates rapidly under long-horizon conditions. In terms of the coefficient of determination, the TET model achieves a maximum improvement of approximately 7.24% over the standard Transformer model.
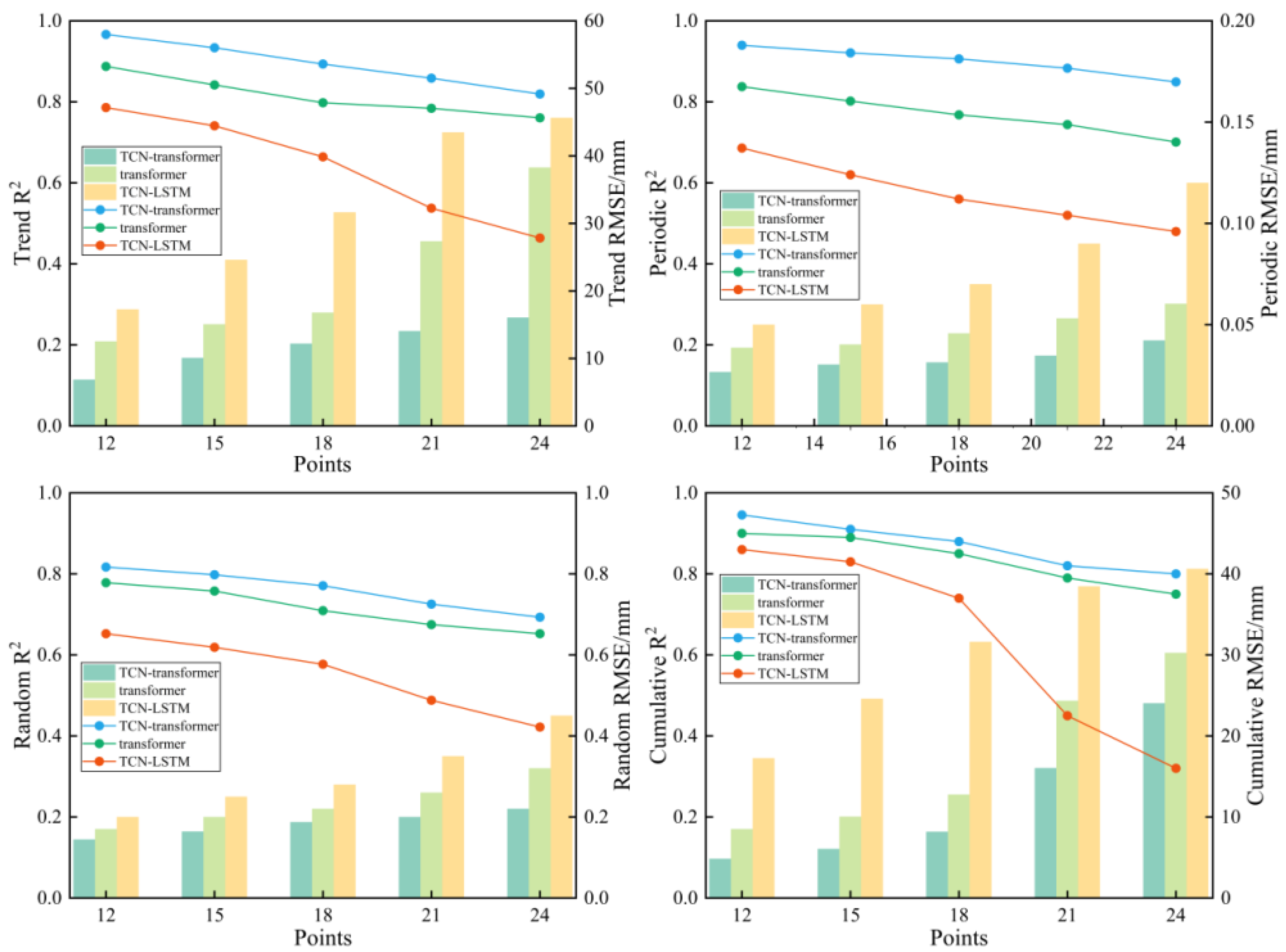
With the prediction horizon fixed at 12 months, the number of chronological training samples is progressively reduced while the validation and test subsets are kept unchanged, and the corresponding variation in predictive accuracy is illustrated in Figure 20. In this study, the “small-sample” condition refers to the case in which only limited numbers of chronological training samples are available after sequence reconstruction. The results indicate that the TET model maintains acceptable predictive accuracy even when the training sample size is reduced to 50 samples, achieving a maximum performance improvement of approximately 47.63% over the Transformer model under these conditions. By contrast, the LSTM model shows a marked decline in predictive performance under reduced-training-sample conditions.
It should be noted that the present evaluation mainly focuses on comparative prediction accuracy under a fixed chronological forecasting setting using RMSE and R2. Although these metrics provide a direct measure of predictive performance, they do not fully characterize uncertainty or statistical significance. In addition, because the study is conducted under limited-sample conditions, the possibility of overfitting cannot be completely excluded. To mitigate this risk, chronological data partitioning, validation-based model selection, limited training epochs, and reduced-training-sample testing were adopted in this study. Nevertheless, more systematic uncertainty analysis and formal statistical validation should be further explored in future work.

3.7. Insights into Landslide Deformation Mechanisms Inferred from Prediction Results

The differential predictive accuracy observed across the three displacement components provides data-driven corroboration for the hierarchical structure of the landslide deformation mechanism. The trend component yields the highest predictive accuracy, indicating that the long-term creep process is governed by stable geological structural conditions and is thus inherently amenable to prediction. The periodic component demonstrates consistent and stable prediction performance, reflecting the regularity with which hydrological cycling modulates landslide deformation. Although the random component retains a degree of inherent uncertainty, its predictive accuracy remains markedly superior to that reported in prior studies, suggesting that the effects of abrupt external disturbances can be partially characterized through multi-scale decomposition and deep feature extraction.
Accordingly, the TSD-TET composite model not only advances the predictive accuracy of landslide displacement estimation, but also offers a degree of insight into the intrinsic dynamic structure governing landslide deformation. This constitutes a novel technical pathway toward the quantitative understanding of complex landslide deformation mechanisms.
It should also be noted that the current benchmark comparison is limited to LSTM and Transformer as representative deep learning baselines. Additional comparisons with traditional machine learning models and existing decomposition-based hybrid models would be valuable for a more comprehensive evaluation and should be explored in future work.

4. Discussion

4.1. Geotechnical Physical Interpretation of Multi-Scale Displacement Components

Based on the TSD results and TET model predictions, the displacement evolution of the Donglingxin landslide can be resolved, from a temporal-scale perspective, into three distinct deformation modes with differing physical significance.
The trend displacement component exhibits a continuous and gradually increasing cumulative pattern, representing the long-term creep deformation of the landslide mass along pre-existing sliding surfaces under gravitational loading. The evolution of this component is closely related to the geometric configuration of the landslide body, the thickness of the landslide deposits, and the morphology of the sliding surface. Therefore, it can be regarded as reflecting the background deformation rate controlled primarily by intrinsic geological conditions.
The periodic displacement component shows a stage-wise oscillatory pattern that is strongly correlated with hydrological processes. This component reflects the periodic modulation of landslide shear strength and deformation rate caused by variations in hydrodynamic conditions, including rainfall infiltration and reservoir water-level fluctuations. Such deformation behavior is typical of reservoir-bank landslides subjected to repeated hydrological cycles and represents a coupled reversible–irreversible deformation response.
The random displacement component is characterized by abrupt and irregular fluctuations that typically occur during periods of intense rainfall or rapid reservoir water-level changes. This component reflects the nonlinear response of the landslide system to short-term hydrodynamic perturbations when the slope approaches a critical stability state. Although the random component contributes only a small proportion to cumulative displacement, it provides important diagnostic information for identifying potential instability and early-stage catastrophic failure.

4.2. Modulation Mechanisms of Hydrodynamic Factors

The correlation analysis results indicate that rainfall, reservoir water level, and groundwater level do not exert immediate or direct control on landslide displacement. Instead, these hydrodynamic factors influence landslide deformation through cumulative and lagged effects that operate across different temporal scales, and their modulation mechanisms vary with the characteristic timescale of deformation.
At medium to long temporal scales, the combined effects of rainfall infiltration and reservoir water-level fluctuations regulate the internal groundwater level and pore-water pressure distribution within the landslide mass. These hydrological processes periodically reduce the shear strength of the sliding zone, thereby controlling the amplitude and phase characteristics of the periodic displacement component. This mechanism reflects the strong influence of seasonal hydrological cycles and represents the dominant driving process governing periodic deformation in reservoir-bank landslides.
At shorter temporal scales, when the landslide body has already experienced a certain degree of cumulative deformation, intense rainfall events or rapid reservoir water-level changes can induce rapid pore-water pressure responses within the slope. Such responses may cause a sudden reduction in local slope stability, leading to abrupt increases in the random displacement component. This process explains the strong correlation observed between random displacement and antecedent displacement increments, indicating that short-term hydrodynamic disturbances can act as triggering factors for transient deformation events when the landslide approaches a critical stability state.
It should be noted that the present study does not explicitly perform hydro-mechanical coupling analysis. Therefore, the above discussion is intended as a mechanism-oriented interpretation based on the observed relationships among hydrodynamic factors, decomposed displacement components, and landslide deformation behavior, rather than as a fully coupled quantitative derivation of pore-water pressure evolution, effective stress variation, and shear-strength reduction. Further work incorporating explicit hydro-mechanical coupling analysis will be necessary to verify and refine the internal transmission mechanism from hydrodynamic forcing to slope deformation.

4.3. Implications for Monitoring and Early Warning

The results of this study suggest that the three displacement components at different temporal scales provide distinct diagnostic information for landslide stability assessment. The trend displacement component reflects the long-term evolutionary state of the landslide and can be used to evaluate the background deformation rate and overall stability condition of the slope. The periodic displacement component is closely related to hydrological forcing processes and therefore provides useful information for identifying stage-specific hazard escalation associated with variations in rainfall and reservoir water-level fluctuations. The random displacement component, although relatively small in magnitude, serves as an important supplementary indicator for detecting transient instability signals and identifying potential precursors of abrupt failure.
These findings indicate that effective monitoring and early warning of reservoir-bank landslides should extend beyond conventional cumulative displacement monitoring. Instead, a multi-scale analytical framework that integrates trend, periodic, and random displacement characteristics should be adopted. Such an approach can improve the sensitivity and reliability of landslide early warning systems. It can also provide a more refined basis for hazard assessment and risk management in hydrodynamically triggered landslides. It should be noted that the present study is validated using a single landslide case (DLXG05) based on monitoring data from 2009 to 2016. Therefore, the current results mainly demonstrate the feasibility and effectiveness of the proposed framework for this representative hydrodynamically influenced landslide case, rather than establishing universal applicability across all landslide types or geological and hydrological settings. Further validation using additional landslide cases under different environmental conditions will be necessary to assess the broader generalizability of the proposed method.

5. Conclusions

To address the strong nonlinearity, pronounced non-stationarity, and limited sample size commonly observed in displacement time series of hydrodynamically triggered landslides, this study established a TSD-TET composite framework that integrates time-series signal decomposition (TSD) with a deep learning prediction model (TET). Through multi-scale signal decomposition and component-wise prediction, the proposed approach extends conventional displacement forecasting from single-value numerical fitting to a structured interpretation of multi-scale deformation processes.
(1)
The results indicate that landslide displacement can be reasonably decomposed into three distinct deformation modes: trend, periodic, and random components. The trend component mainly reflects long-term creep accumulation controlled by geological structure and gravitational stress. The periodic component corresponds to cyclic deformation responses modulated by hydrological processes, including rainfall and reservoir water-level fluctuations. The random component is more likely to reflect short-term disturbances and transient external forcing.
(2)
Correlation analysis combined with component-wise prediction results suggests that the influence of external hydrodynamic factors on landslide deformation exhibits strong temporal-scale dependence. Rainfall and reservoir water-level variations mainly drive periodic deformation through cumulative and lagged effects, whereas abrupt hydrodynamic loading tends to be reflected more readily in the random displacement component. In addition, the pre-existing deformation state of the landslide significantly modulates the magnitude of its response, showing a typical self-excitation and lagged-response behavior.
(3)
The application to the Donglingxin landslide demonstrates that the proposed TSD-TET composite model achieves higher prediction accuracy, improved long-horizon forecasting stability, and better adaptability under limited-sample conditions compared with conventional benchmark models. The differential prediction performance across displacement components also provides a mechanism-oriented perspective for understanding the multi-scale structure of landslide deformation. These results may provide useful support for monitoring, early warning, risk assessment, and hazard mitigation of hydrodynamically triggered landslides.
Owing to its decomposition-guided structure and adaptability under limited-sample conditions, the proposed framework also shows potential for application to other reservoir-bank landslides with similar hydrodynamic monitoring backgrounds, although site-specific validation is still necessary.

Author Contributions

Conceptualization, J.Q., N.S., Z.Z., Y.W., J.J. and C.L.; Methodology, J.Q., N.S., Z.Z., Y.W., J.J. and C.L.; Formal analysis, J.Q., Z.Z., Y.W. and C.L.; Investigation, J.Q., N.S., Z.Y. and S.P.; Writing—original draft preparation, J.Q., Z.Z., Y.W. and J.J.; Writing—review and editing, J.Q., N.S., Z.Z., Y.W., Z.Y., S.P. and C.L.; Visualization, N.S., Z.Z., Y.W., Z.Y., S.P. and C.L. All authors have read and agreed to the published version of the manuscript.

Funding

This research was funded by The National Natural Science Foundation of China, grant number No. 51939004.

Data Availability Statement

The data that support the findings of this study are available from the corresponding author upon reasonable request.

Conflicts of Interest

Ning Sun, Zhengxing Yu and Shuliang Peng were employed by PowerChina Zhongnan Engineering Corporation Limited. The remaining authors declare that the research was conducted in the absence of any commercial or financial relationships that could be construed as a potential conflict of interest.

References

  1. Pandey, B.R.; Knoblauch, H.; Zenz, G. Slope Stability Evaluation Due to Reservoir Draw-Down Using LEM and Stress-Based FEM along with Mohr–Coulomb Criteria. Water 2023, 15, 4022. [Google Scholar] [CrossRef]
  2. Tang, H.; Xu, Z.; Zhao, Q.; Wu, L.; Qin, L. Probabilistic reliability assessment of reservoir-area colluvial landslides considering rotated spatial variability of geotechnical parameters. PLoS ONE 2026, 21, e0340400. [Google Scholar] [CrossRef] [PubMed]
  3. Wang, R.B.; Zhang, K.; Qi, J.; Xu, W.; Long, Y.; Huang, H. A Prediction Model of Hydrodynamic Landslide Evolution Process Based on Deep Learning Supported by Monitoring Big Data. Front. Earth Sci. 2022, 10, 829221. [Google Scholar] [CrossRef]
  4. Huang, R. Large-scale Landslides in China Since the 20th Century and Their Formation Mechanisms. Chin. J. Rock Mech. Eng. 2007, 26, 433–454. [Google Scholar]
  5. Zhu, Q.; Zeng, H.; Ding, Y.; Xie, X.; Liu, F.; Zhang, L.; Li, H.; Hu, H.; Zhang, J.; Chen, L.; et al. A Review of Methods for Analyzing Major Landslide Hazards. Acta Geod. Cartogr. Sin. 2019, 48, 1551–1561. [Google Scholar]
  6. Yin, Y.; Huang, B.; Wang, W.; Wei, Y.; Ma, X.; Ma, F.; Zhao, C. Reservoir-induced landslides and risk control in Three Gorges Project on Yangtze River. China J. Rock Mech. Geotech. Eng. 2016, 8, 577–595. [Google Scholar] [CrossRef]
  7. Wang, Y.; Tang, H.; Wen, T.; Ma, J. A hybrid intelligent approach for constructing landslide displacement prediction intervals. Appl. Soft Comput. 2019, 81, 105506. [Google Scholar] [CrossRef]
  8. Tang, H.; Li, C.; Hu, X.; Su, A.; Wang, L.; Wu, Y.; Criss, R.; Xiong, C.; Li, Y. Evolution characteristics of the Huangtupo landslide based on in situ tunneling and monitoring. Landslides 2015, 12, 511–521. [Google Scholar] [CrossRef]
  9. Niu, Z.-H.; Shi, A.-C.; Chen, J.-P.; Zhang, Z.-H.; Chen, M.-L.; Zhou, J.-W.; Wang, L. Theoretical modeling and engineering case analysis of reservoir landslide initiation considering thermal–hydro-mechanical coupling and hydrodynamic pressure. Phys. Fluids 2026, 38, 026609. [Google Scholar] [CrossRef]
  10. Li, X.; Wang, S.; Fan, Z.; Lei, L.; Wang, L.; He, Y.; Cheng, L.; Deng, N. Front-edge erosion impact on landslide stability: A multi-scale monitoring and numerical simulation case study. PLoS ONE 2025, 20, e0326223. [Google Scholar] [CrossRef]
  11. Xu, B.; Zhao, X.; Yuan, J.; Dong, S.; Du, X.; Yang, L.; Peng, B.; Tan, Q. Non-Negligible Influence of Gravel Content in Slip Zone Soil: From Creep Characteristics to Landslide Response Patterns. Water 2025, 17, 1726. [Google Scholar] [CrossRef]
  12. Xiang, X.; Wen, H.; Xiao, J.; Wang, X.; Yin, H.; Huang, J. Analyzing failure mechanisms and predicting step-like displacement: Rainfall and RWL dynamics in lock-unlock landslides. Geosci. Front. 2025, 16, 101959. [Google Scholar] [CrossRef]
  13. Wen, H.; Xiao, J.; Xiang, X.; Wang, X.; Zhang, W. Singular spectrum analysis-based hybrid PSO-GSA-SVR model for predicting displacement of step-like landslides: A case of Jiuxianping landslide. Acta Geotech. 2024, 19, 1835–1852. [Google Scholar] [CrossRef]
  14. Liu, Y.; Xu, Y.; Huang, J.; Liu, H.; Fang, Y.; Yu, Y. A comparative study of intelligent prediction models for landslide susceptibility: Random forest and support vector machine. Front. Earth Sci. 2024, 12, 1519771. [Google Scholar] [CrossRef]
  15. Zeiler, A.; Faltermeier, R.; Keck, I.R.; Tome, A.M.; Puntonet, C.G.; Lang, E.W. Empirical Mode Decomposition-An Introduction. In Proceedings of the World Congress on Computational Intelligence (WCCI 2010), Barcelona, Spain, 18–23 July 2010. [Google Scholar]
  16. Liu, X.; Liu, X.; Zhang, L. Dam Deformation Prediction Based on VMD-HPO-BiLSTM. J. Geod. Geodyn. 2023, 43, 851–855. [Google Scholar]
  17. Yao, H.; Song, G.; Li, Y. Displacement Prediction of Channel Slope Based on EEMD-IESSA-LSSVM Combined Algorithm. Appl. Sci. 2023, 13, 9582. [Google Scholar] [CrossRef]
  18. Zai, D.Z.; Pang, R.; Xu, B.; Liu, J. A novel data-driven hybrid intelligent prediction model for reservoir landslide displacement. Bull. Eng. Geol. Environ. 2024, 83, 493. [Google Scholar] [CrossRef]
  19. Chen, X.; Gao, Y.P.; Chen, G.; Yang, J.L.; Yang, W.G. Landslide Displacement Prediction Based on VMD-LSTM-GM Model Considering Rainfall. In Proceedings of the 13th China Satellite Navigation Conference (CSNC)-Digital Economy and Intelligent Navigation, Beijing, China, 25–27 May 2022. [Google Scholar]
  20. Wang, C.; Zhao, Y.; Guo, W.; Meng, Q.; Li, B. Displacement prediction model of landslide based on ensemble empirical mode decomposition and support vector regression. Acta Geod. Cartogr. Sin. 2022, 51, 2196–2204. [Google Scholar]
  21. Zhang, J.; Tang, H.; Wen, T.; Ma, J.; Tan, Q.; Xia, D.; Liu, X.; Zhang, Y. A Hybrid Landslide Displacement Prediction Method Based on CEEMD and DTW-ACO-SVR—Cases Studied in the Three Gorges Reservoir Area. Sensors 2020, 20, 4287. [Google Scholar] [CrossRef] [PubMed]
  22. Xu, C.; Huang, K.; Wei, C.; Wu, X.; Liang, R.; Dong, Y. Landslide Displacement Prediction Based on the VMD–TCN Hybrid Model. Soil Mech. Found. Eng. 2025, 62, 275–283. [Google Scholar] [CrossRef]
  23. Yu, C.; Huo, J.; Li, C.; Zhang, Y. Landslide Displacement Prediction Based on a Two-Stage Combined Deep Learning Model under Small Sample Condition. Remote Sens. 2022, 14, 3732. [Google Scholar] [CrossRef]
  24. Xu, J.; Jiang, Y.; Yang, C. Landslide Displacement Prediction during the Sliding Process Using XGBoost, SVR and RNNs. Appl. Sci. 2022, 12, 6056. [Google Scholar] [CrossRef]
  25. Dai, Y.; Dai, W.; Xie, J. Slope multi-step excavation displacement prediction surrogate model based on a long short-term memory neural network: For small sample data and multi-feature multi-task learning. Georisk-Assess. Manag. Risk Eng. Syst. Geohazards 2025, 19, 158–177. [Google Scholar] [CrossRef]
  26. Xu, P.; Zhu, X.; Clifton, D.A. Multimodal Learning With Transformers: A Survey. IEEE Trans. Pattern Anal. Mach. Intell. 2023, 45, 12113–12132. [Google Scholar] [CrossRef]
  27. Xi, N.; Yang, Q.; Sun, Y.J.; Mei, G. Machine Learning Approaches for Slope Deformation Prediction Based on Monitored Time-Series Displacement Data: A Comparative Investigation. Appl. Sci. 2023, 13, 4677. [Google Scholar] [CrossRef]
  28. Thundiyil, S.; Shalamzari, S.; Picone, J.; McKenzie, S. Transformers for modeling long-term dependencies in time series data: A review. In Proceedings of the 2023 IEEE Signal Processing in Medicine and Biology Symposium (SPMB), Philadelphia, PA, USA, 2 December 2023. [Google Scholar]
  29. Schwaller, P.; Petraglia, R.; Zullo, V.; Nair, V.H.; Haeuselmann, R.A.; Pisoni, R.; Bekas, C.; Iuliano, A.; Laino, T. Predicting retrosynthetic pathways using transformer-based models and a hyper-graph exploration strategy. Chem. Sci. 2020, 11, 3316–3325. [Google Scholar] [CrossRef]
  30. Moeineddin, A.; Seguí, C.; Dueber, S.; Fuentes, R. Physics-Informed Neural Networks Applied to Catastrophic Creeping Landslides. Landslides 2023, 20, 1853–1863. [Google Scholar] [CrossRef]
  31. Dahal, A.; Lombardo, L. Towards Physics-Informed Neural Networks for Landslide Prediction. Eng. Geol. 2025, 344, 107852. [Google Scholar] [CrossRef]
  32. Jiang, Y.; Wang, W.; Zou, L.; Wang, R.; Liu, S.; Duan, X. Dynamic Prediction Model of Landslide Displacement Based on Particle Swarm Optimization-Variational Mode Decomposition, Nonlinear Autoregressive Neural Network, and Gated Recurrent Unit. Rock Soil Mech. 2022, 43, 601–612. [Google Scholar]
  33. Zhang, J.; Yin, K.; Wang, J.; Huang, F. Displacement Prediction of the Baishuihe Landslide Based on Time Series and PSO-SVR Coupled Model. Chin. J. Rock Mech. Eng. 2015, 34, 382–391. [Google Scholar]
Figure 1. Network architecture of the TCN-ECA-Transformer composite model.
Figure 1. Network architecture of the TCN-ECA-Transformer composite model.
Water 18 00917 g001
Figure 2. Overview of the Donglingxin landslide deposit body.
Figure 2. Overview of the Donglingxin landslide deposit body.
Water 18 00917 g002
Figure 3. Monitoring Locations.
Figure 3. Monitoring Locations.
Water 18 00917 g003
Figure 4. DLXG05 Monitoring Point Profile of the DLX Landslide.
Figure 4. DLXG05 Monitoring Point Profile of the DLX Landslide.
Water 18 00917 g004
Figure 5. Raw monitoring data at DLXG05, Donglingxin landslide.
Figure 5. Raw monitoring data at DLXG05, Donglingxin landslide.
Water 18 00917 g005
Figure 6. Decomposition results and differential characteristics of the raw displacement series: (a) trend component displacement; (b) periodic component displacement; (c) random component displacement; (d) second-order central difference of the trend component; (e) first-order central difference of the periodic component; (f) first-order central difference of the random component.
Figure 6. Decomposition results and differential characteristics of the raw displacement series: (a) trend component displacement; (b) periodic component displacement; (c) random component displacement; (d) second-order central difference of the trend component; (e) first-order central difference of the periodic component; (f) first-order central difference of the random component.
Water 18 00917 g006
Figure 7. Decomposition results of displacement increments at monitoring point DLXG05.
Figure 7. Decomposition results of displacement increments at monitoring point DLXG05.
Water 18 00917 g007
Figure 8. Decomposition results of rainfall-related influencing factors.
Figure 8. Decomposition results of rainfall-related influencing factors.
Water 18 00917 g008
Figure 9. Decomposition results of reservoir water level-related influencing factors.
Figure 9. Decomposition results of reservoir water level-related influencing factors.
Water 18 00917 g009
Figure 10. Decomposition results of groundwater level-related influencing factors.
Figure 10. Decomposition results of groundwater level-related influencing factors.
Water 18 00917 g010
Figure 11. Fitted and predicted trend component displacement at monitoring point DLXG05.
Figure 11. Fitted and predicted trend component displacement at monitoring point DLXG05.
Water 18 00917 g011
Figure 12. Trend component displacement prediction results at monitoring point DLXG05.
Figure 12. Trend component displacement prediction results at monitoring point DLXG05.
Water 18 00917 g012
Figure 13. Fitted and predicted periodic component displacement at monitoring point DLXG05.
Figure 13. Fitted and predicted periodic component displacement at monitoring point DLXG05.
Water 18 00917 g013
Figure 14. Periodic component displacement prediction results at monitoring point DLXG05.
Figure 14. Periodic component displacement prediction results at monitoring point DLXG05.
Water 18 00917 g014
Figure 15. Fitted and predicted random component displacement at monitoring point DLXG05.
Figure 15. Fitted and predicted random component displacement at monitoring point DLXG05.
Water 18 00917 g015
Figure 16. Random component displacement prediction results at monitoring point DLXG05.
Figure 16. Random component displacement prediction results at monitoring point DLXG05.
Water 18 00917 g016
Figure 17. Fitted and predicted cumulative displacement at monitoring point DLXG05.
Figure 17. Fitted and predicted cumulative displacement at monitoring point DLXG05.
Water 18 00917 g017
Figure 18. Cumulative displacement prediction results at monitoring point DLXG05.
Figure 18. Cumulative displacement prediction results at monitoring point DLXG05.
Water 18 00917 g018
Figure 19. Comparative predictive accuracy under long-horizon forecasting conditions.
Figure 19. Comparative predictive accuracy under long-horizon forecasting conditions.
Water 18 00917 g019
Figure 20. Comparative predictive accuracy under small-sample conditions.
Figure 20. Comparative predictive accuracy under small-sample conditions.
Water 18 00917 g020
Table 1. Quantitative comparison of physical consistency and decomposition stability among TSD, EMD, and VMD for the DLXG05 displacement series.
Table 1. Quantitative comparison of physical consistency and decomposition stability among TSD, EMD, and VMD for the DLXG05 displacement series.
MethodRE (–)TCE (mm)TSI (–)PFI (–)Absolute Mean Bias of
Periodic Component (mm)
Standard Deviation of
Random Component (mm)
TSD5.64 × 10−70.000050.7628330.0769770.0022520.506833
EMD6.08 × 10−80.000010.0945890.5200900.0176281.610537
VMD6.16 × 10−80.000000.0944970.2545780.0395281.521953
Notes: RE denotes the relative reconstruction error; TCE denotes the terminal consistency error; TSI denotes the trend smoothness index calculated from the second-order difference of the trend component; PFI denotes the periodic fluctuation index calculated from the first-order difference of the periodic component; absolute mean bias of periodic component represents the absolute mean value of the periodic component; standard deviation of random component represents the standard deviation of the random component.
Table 2. Spearman correlation coefficients between displacement components and influencing factors at monitoring point DLXG05.
Table 2. Spearman correlation coefficients between displacement components and influencing factors at monitoring point DLXG05.
Influence FactorPeriodic TermRandom Term
DLXG05DLXG05
D10.4370.857
D20.5570.474
R10.2470.000
R20.2650.290
W00.0000.000
W10.0000.266
W20.0000.000
G00.0000.000
G10.0000.000
G20.0000.000
Table 3. Summary of prediction accuracy metrics.
Table 3. Summary of prediction accuracy metrics.
Monitoring PointRMSE/mmR2
TrendPeriodicRandomCumulativeTrendPeriodicRandomCumulative
DLXG056.8450.02660.14457.12180.96630.93970.81710.9454
Table 4. Main hyperparameter settings of the compared models.
Table 4. Main hyperparameter settings of the compared models.
ModelWindow LengthPrediction HorizonModel SizeNetwork DepthLearning RateBatch Size
LSTM436420.0051
Transformer615122E/1D1 × 10−42
TET615122E/1D1 × 10−41
Disclaimer/Publisher’s Note: The statements, opinions and data contained in all publications are solely those of the individual author(s) and contributor(s) and not of MDPI and/or the editor(s). MDPI and/or the editor(s) disclaim responsibility for any injury to people or property resulting from any ideas, methods, instructions or products referred to in the content.

Share and Cite

MDPI and ACS Style

Qi, J.; Sun, N.; Zheng, Z.; Wang, Y.; Yu, Z.; Peng, S.; Jin, J.; Lyu, C. Multi-Scale Displacement Prediction and Failure Mechanism Identification for Hydrodynamically Triggered Landslides. Water 2026, 18, 917. https://doi.org/10.3390/w18080917

AMA Style

Qi J, Sun N, Zheng Z, Wang Y, Yu Z, Peng S, Jin J, Lyu C. Multi-Scale Displacement Prediction and Failure Mechanism Identification for Hydrodynamically Triggered Landslides. Water. 2026; 18(8):917. https://doi.org/10.3390/w18080917

Chicago/Turabian Style

Qi, Jian, Ning Sun, Zhong Zheng, Yunzi Wang, Zhengxing Yu, Shuliang Peng, Jing Jin, and Changhao Lyu. 2026. "Multi-Scale Displacement Prediction and Failure Mechanism Identification for Hydrodynamically Triggered Landslides" Water 18, no. 8: 917. https://doi.org/10.3390/w18080917

APA Style

Qi, J., Sun, N., Zheng, Z., Wang, Y., Yu, Z., Peng, S., Jin, J., & Lyu, C. (2026). Multi-Scale Displacement Prediction and Failure Mechanism Identification for Hydrodynamically Triggered Landslides. Water, 18(8), 917. https://doi.org/10.3390/w18080917

Note that from the first issue of 2016, this journal uses article numbers instead of page numbers. See further details here.

Article Metrics

Back to TopTop