Next Article in Journal
Comparison of Hydraulic Behavior of Single-Baffled Block Stepped Spillways Between Regular and Irregular Designs
Previous Article in Journal
Hazard Assessment for Potential GLOF of JiongpuCo Glacial Lake, Southeastern Tibet
 
 
Font Type:
Arial Georgia Verdana
Font Size:
Aa Aa Aa
Line Spacing:
Column Width:
Background:
Article

Differentiated Evolution of Two Mid-Channel Bars in the Middle Yangtze River’s Urban Reach: Coupled Drivers and Terrestrial Habitat Assessment

1
Changjiang Waterway Institute of Planning, Design and Research, Wuhan 430040, China
2
School of Water Resources and Hydropower Engineering, Wuhan University, Wuhan 430072, China
3
Hunan Provincial Communications Planning, Survey & Design Institute Co., Ltd., Changsha 410200, China
*
Author to whom correspondence should be addressed.
Water 2026, 18(5), 630; https://doi.org/10.3390/w18050630
Submission received: 2 February 2026 / Revised: 26 February 2026 / Accepted: 4 March 2026 / Published: 6 March 2026
(This article belongs to the Section Water Erosion and Sediment Transport)

Highlights

  • Quantified the morphological evolution of two representative mid-channel bars (Baishazhou bar and Tianxingzhou bar) in the Wuhan reach of the Middle Yangtze River after the Three Gorges Dam (TGD) operation.
  • Established a comprehensive terrestrial habitat health evaluation system integrating natural and social attributes, with indicator weights determined by a combined Analytic Hierarchy Process (AHP)-entropy weighting method.
  • Revealed the coupled effects of channel planform (straight vs. mildly curved), water–sediment regime changes, and human interventions (protection works, bridge construction) on mid-channel bar evolution and habitat health.

Abstract

Planform evolution and terrestrial habitat health of two representative mid-channel bars (Baishazhou bar and Tianxingzhou bar) in the urban reach of the Middle Yangtze River in Wuhan City have not been understood under the combined influences of natural forcing and human activities. Using dry-season Landsat imagery (1989–2020), hydrological records from the Hankou gauging station (1990–2019), and field surveys, we quantified bar-morphology changes and examined the mechanisms underlying their differentiated scouring. We also developed an indicator system to evaluate terrestrial habitat health on mid-channel bars. Indicator weights were determined using a combined weighting approach integrating the Analytic Hierarchy Process and the entropy weight method. Since the Three Gorges Dam began operation, the runoff in the Wuhan reach has decreased only slightly (6.72%), whereas sediment load decreased sharply (69.88%), causing net scouring of both bars. Baishazhou bar, in a straight anabranching reach, lost 43.83% of its area (1989–2020), with erosion concentrated at the head and main channel margin and caving. Tianxingzhou bar, in a mildly curved reach, had moderate shrinkage (26.33%, 1992–2022) as revetments curbed head/right margin retreat. Both bars were “very healthy” in natural attributes, with the Baishazhou bar showing longer water–land ecotone exposure (217 d) and higher vegetation cover (92%). Socially, Baishazhou bar was “sub-healthy” due to unprotected shrinkage, and Tianxingzhou bar was “unhealthy” due to area loss and low permeability of hard works. Overall, both bars were “healthy”. These findings provide a basis for ecological conservation and habitat restoration of bar wetlands.

1. Introduction

Mid-channel bars are major morphological units in the evolution of anabranching rivers. In alluvial rivers, they are key regions for sustaining the ecological health of river systems [1,2]. The morphological evolution of mid-channel bars is governed by the combined influences of natural processes and human activities [3,4]. On the natural side, shifts in erosion–deposition regimes driven by changes in flow and sediment flux are the main causes of bar changes [5,6]. In addition, meteorological and climatic factors (e.g., precipitation and monsoon), vegetation type and coverage, and channel properties such as slope, width, sinuosity, river geological setting, and discharge can also influence the distribution and evolution of river bars [7,8,9,10,11]. Human activities—such as major hydraulic projects, sand mining, bank and slope protection, and navigation regulation—can alter water and sediment transport and thereby affect bar erosion and deposition [12,13,14].
Dam construction directly changes downstream natural flow and sediment regimes. Such changes typically comprise variations in the magnitude and frequency of flow duration curves and reductions in sediment load, which can disturb channel equilibrium (or quasi-equilibrium) and lead to channel morphological adjustments [15,16]. Since the Three Gorges Dam (TGD) began operation, the middle and lower Yangtze River has undergone pronounced river incision. Bars and floodplains are generally experiencing erosional retreat, and most mid-channel bars show trends of area reduction and bar shrinkage [17,18]. In some reaches, stable channel regimes are difficult to maintain, which has threatened flood control safety, navigation safety, and ecological security along the river. Ecological space in the middle and lower reaches has become increasingly fragmented, and habitat areas have declined markedly [19,20,21]. Under these conditions, the health of terrestrial habitats on mid-channel bars in the middle and lower Yangtze River, as well as the main factors controlling habitat health, remain unclear. Therefore, it is necessary to establish a habitat health evaluation model for mid-channel bars.
However, existing habitat evaluation methods mainly focus on rivers, lakes, and wetlands, whereas studies on habitat health assessment specifically for mid-channel bars are relatively limited [22]. Because mid-channel bars are an important part of river ecosystems, river habitat assessment can provide useful references and insights when evaluating bar habitat quality [23]. River habitat assessment aims to comprehensively and systematically evaluate habitat quality, reveal the structural and functional characteristics of river ecosystems, and thereby provide a theoretical basis for identifying ecological problems and restoring river ecosystems [24]. Assessment approaches can be broadly divided into two types: model-simulation approaches and composite-indicator approaches [25,26]. Internationally, relatively complete river habitat assessment methods and systems have been developed, such as the rapid bioassessment protocols (RBPs) proposed by the U.S. Environmental Protection Agency [27], the qualitative habitat evaluation index (QHEI) developed at Ohio State University [28], the Riparian, Channel, and Environmental Inventory index (RCE) proposed in Sweden [29], and the River Habitat Survey (RHS) used in the European Union [30].
Previous studies on the impacts of TGD on mid-channel bars in the Middle Yangtze River have mostly focused on individual morphodynamic or habitat-related analyses, with limited systematic integration of the two. In this study, time-series planform changes of mid-channel bars were extracted from Landsat imagery and high-resolution Google Earth images. By integrating hydrological data with field observations, we analyzed the morphological evolution of Baishazhou bar and Tianxingzhou bar, identified the processes driving their differentiated scouring, and explored underlying causes. Eight indicators were selected from two dimensions—natural attributes and social attributes—to construct an indicator system for assessing terrestrial habitat health on mid-channel bars, with the integration of morphodynamic analysis and terrestrial habitat assessment as the core novelty of this study. Indicator weights were determined using a combined Analytic Hierarchy Process (AHP)–entropy weighting scheme, and terrestrial habitat health was evaluated for both bars. The study provides a reference for understanding mid-channel bar evolution in the Middle Yangtze River and supports conservation and restoration of bar wetlands.

2. Materials and Methods

2.1. Study Area

The Middle Yangtze River, lying between Yichang and Hukou, has a length of 955 km. The reach has a typical meandering channel pattern, a multi-branched channel pattern, as well as a meandering and bar-braided channel pattern. The study area is the Wuhan reach of the middle Yangtze River. This reach extends from Shaomaoshan in Jiangxia District, through Wuchang, to Yangluo Town in Xinzhou District, Wuhan City. Baishazhou bar and Tianxingzhou bar in the Wuhan reach were selected as the study objects (Figure 1). These two bars are fully representative of the mid-channel bar river landscape in the study region, as they correspond to the two dominant channel patterns of the Wuhan reach and cover the primary morphological characteristics and anthropogenic disturbance modes of bars in the core urban section. Tiebanzhou bar is located at the edge of the Wuhan reach and is geographically distant from the urban areas of Wuhan, Baishazhou bar, and Tianxingzhou bar. Therefore, it is not included in the scope of this study.
Baishazhou bar is located in the straight segment of the Wuhan reach, close to the right bank, with a northeast–southwest orientation. The left anabranch is the main channel, and the right anabranch is a secondary branch. In the dry season, the bar length is 2.2 km, and the maximum width is 0.3 km. The bar head and tail are relatively pointed, with a wider middle portion. It is a bamboo-leaf-shaped bar in a straight, anabranching reach. The shortest distances from the bar to the left and right banks are 1.2 km and 0.3 km, respectively. The Wuhan Baishazhou Yangtze River Bridge spans the bar, connecting the south and north banks of the Yangtze River.
Tianxingzhou bar is located in a mildly curved segment of the Wuhan reach, about 7.0 km downstream of the Second Yangtze River Bridge. It is the largest mid-channel bar in the Wuhan reach. In the dry season, the bar length is 12.0 km; the maximum width is 2.3 km, and the mean width is 1.8 km. The left anabranch has experienced long-term aggradation. The right anabranch has been the main channel since the 1970s. Over the past decades, to ensure channel stability and navigation safety in the middle Yangtze River, a series of river regulation projects have been implemented in the Wuhan reach, including bar-head and right-margin regulation works for Tianxingzhou bar, bank protection works at the Qingshan reach, and reinforcement of revetments in the Wuhan reach. These projects have played a key role in flood control safety in the Wuhan reach and have also exerted important influences on channel adjustment and bar evolution in this reach.

2.2. Satellite Imagery Processing

Time-series changes in bar planform and morphology were derived from six Landsat images and Google Earth imagery spanning 1989–2020. The Landsat images have a spatial resolution of 30 m, whereas Google Earth images have a resolution of 0.6 m. Annual water and sediment discharges measured at the Hankou hydrometric station (1990–2019), together with UAV-based field survey data, were used to interpret morphological characteristics of Baishazhou bar and Tianxingzhou bar, including bar-head changes, scouring intensity, and contrasts between the two bars [31]. Water-level fluctuations strongly affect the exposed area of mid-channel bars. Compared with flood-season imagery, dry-season images can greatly reduce errors caused by water-level differences. Therefore, dry-season images were used for interannual comparisons. The information for the six selected dry-season images is given in Table 1. Except for 2015, the daily mean discharge at the Hankou hydrometric station on the selected dates was about 11,000 m3/s. Because stage is correlated with discharge, water-level variation among these dates was inferred to be small. The resulting extraction error in the bar area was limited. The detailed workflow of bar extraction is shown in the Supplementary Material.

2.3. Habitat Health Evaluation System

River health should reflect not only the condition of the natural ecosystem but also whether the river can be sustainably used by humans in terms of flood control and other social functions. A river ecosystem includes both the channel ecosystem and the mid-channel bar ecosystem. Accordingly, terrestrial habitat health on mid-channel bars should be evaluated from both natural and social perspectives: it should reflect the intrinsic condition of the bar ecosystem and its evolutionary effects on service provision.
From the perspective of natural attributes, mid-channel bars in the middle and lower Yangtze River are major carriers of water–land ecotone ecosystems. Bar vegetation forms an important linkage between terrestrial communities and aquatic organisms. Therefore, vegetation should be a key focus when evaluating bar-ecosystem health. From the perspective of social services, mid-channel bar evolution is an integral part of channel adjustment and changes. Since the TGD began operation in 2003, more than 500 km of river control projects have been completed or are under construction to maintain flood control safety and navigation conditions. River regulation works are often built using concrete and steel. Hard protection techniques can disrupt connections among soils, plants, and biota, potentially degrading the original functions of bar wetlands.
An ecological health indicator system for terrestrial habitats on mid-channel bars was established [32]. The model comprises three hierarchical levels: the goal layer, the criterion layer, and the indicator layer. The terrestrial habitat health index of a mid-channel bar was chosen as the goal layer. Two dimensions—natural attributes and social attributes—were used as the criterion layer to comprehensively reflect both ecosystem conditions and social service functions. The eight indicators were selected based on the study area’s core characteristics and mature frameworks from existing river and wetland health assessment studies [32,33], with C1–C4 targeting core natural habitat quality and C5–C8 reflecting anthropogenic impacts and social service functions, fully corresponding to the two criterion dimensions. The indicator layer includes eight indicators (Table 2): exposure days of the water–land ecotone (C1), diversity of terrestrial plant species (C2), diversity of terrestrial animal species (C3), vegetation cover (C4), rate of area change (C5), stability of protection works (C6), permeability of protection works (C7), and water quality (C8).
Terrestrial habitat health on mid-channel bars was classified into five levels (Table 3): very healthy, healthy, sub-healthy, unhealthy, and morbid.
The terrestrial habitat health assessment adopts a graded indicator scoring method with hierarchical weighting to produce a comprehensive score:
(1) Second-level (indicator layer) evaluation: each indicator is scored on a 0–100 scale; healthier habitats receive higher scores. The scoring standard is shown in the Supplementary Material.
(2) First-level (criterion layer) evaluation: the score of a criterion is the weighted average of the scores of its indicators:
B i = i = 1 N f i w i
where Bi is the score of the i-th criterion, fi is the score of the corresponding indicator, wi is the indicator weight, and N is the number of indicators under that criterion.
(3) Goal-layer evaluation: the overall score is the weighted average of the criterion-layer scores:
Q = i = 1 M B i w i
where Q is the overall score, M is the number of criteria, and wi is the weight of the i-th criterion.
Scores from 0 to 100 were assigned to each indicator according to habitat quality, following the criteria in Table 4.

2.4. Indicator Weighting

Indicator weights can be determined using subjective weighting methods and objective weighting methods, both of which have certain limitations. Shan et al. [34] proposed a game-theory-based combination weighting method. The method reduces arbitrariness in subjective weighting while avoiding the rigidity of purely objective weighting, making decision results more realistic and reliable. In this study, indicator weights were determined using a combined weighting approach integrating the Analytic Hierarchy Process (AHP) and the entropy weight method.

2.4.1. Weights Determined by the Analytic Hierarchy Process (AHP)

The Analytic Hierarchy Process (AHP) is a method that decomposes a multi-objective decision problem into several levels and indicators. It combines quantitative and qualitative analyses and is often used for comparing and ranking alternatives. The steps are as follows:
(1) Establish the hierarchical structure model. First, clarify the overall goal, and then divide the goal into sub-goals that are easy to operate—namely, the criterion layer and the indicator layer in this study.
(2) Construct the judgment matrix A. Let Wi denote the importance of the i-th criterion (or indicator) relative to other criteria (or indicators) at the same level with respect to the upper-level goal (or criterion). The ratio between Wi and Wj is denoted as Aij (i.e., Aij = Wi/Wj). A is the judgment matrix:
A = W 1 W 1 W 1 W 2 W 1 W n W 2 W 1 W 2 W 2 W 2 W n W n W 1 W n W 2 W n W n
where n is the number of indicators.
(3) Solve the judgment matrix to obtain the eigenvector and perform a consistency test.
(4) If the consistency test passes, the weights of the elements can be obtained; if not, adjust the judgment matrix A and solve again.
(5) Obtain the weight values of elements at each level.
Following AHP requirements, a questionnaire on the relative importance of indicators for the terrestrial habitat health evaluation model of mid-channel bars was designed. Experts in relevant fields were invited to perform pairwise comparisons to determine the relative importance of each indicator. Judgment matrices were constructed accordingly and tested for consistency. Matrices with a consistency ratio (CR) > 0.1 were discarded, and matrices meeting the consistency requirement (CR < 0.1) were retained for weight calculation.

2.4.2. Weights Determined by the Entropy Weight Method

The entropy weight method is a relatively objective evaluation method. It determines weights according to the amount of information contained in each indicator, and it can effectively reduce subjective interference.
(1) Construct the indicator matrix. Suppose the system contains m evaluation objects and n evaluation indicators. Let xij denote the value of the j-th indicator for the i-th evaluation object. Then the indicator matrix X can be constructed:
X = x i j m × n = x 11 x 12 x 1 n x 21 x 22 x 2 n x m 1 x m 2 x m n
(2) Standardization. The data need to be standardized to eliminate the influence of different indicator dimensions. Meanwhile, to make the logarithm computation meaningful (i.e., the argument is greater than 0), the dimensionless data are shifted by 0.0001. The standardized indicator matrix R is obtained as:
r i j = x i j max ( x j ) min ( x j ) + 0.0001
where x i j = x i j min ( x j ) is the positive indicator; x i j = max ( x j ) x i j is the negative indicator; and x i j max ( x j ) + min ( x j ) 2 is the moderate-type indicator.
(3) Normalization. Compute the proportion of the i-th evaluation object under the j-th indicator:
P i j = r i j j = 1 n r i j
(4) Information entropy. For the j-th indicator, the information entropy ej is:
e j = 1 ln n j = 1 n p i j ln ( p i j )
(5) Weight calculation. For the j-th indicator, its weight wj is:
w j = 1 e j j = 1 n ( 1 e j )

2.4.3. Combined Weighting Based on Game Theory

The essence of combined weighting is to coordinate subjective and objective weights through a mathematical method, thereby obtaining more objective and reasonable weights. The steps are as follows:
(1) Let the set of basic weight vectors for the terrestrial habitat health indicators be wk = {wk1, wk2,…, wkn} (k = 1, 2,…, n), where wk is the weight vector obtained by the k-th method and n is the number of indicators. In this study, k = 2. Consistency between subjective and objective weighting results can be evaluated using the Spearman rank correlation coefficient. The Spearman correlation coefficient between the two sets of weights is 0.952, indicating strong agreement.
(2) Let the combined weight vector M be a linear combination of the k basic weight vectors:
M = k = 1 n α k w k T   ( α k > 0 )
where wk denotes a basic weight vector and αk is the combination coefficient.
(3) Following game theory, an optimal linear combination is obtained by minimizing the deviation between M and each wk, yielding the optimal weight vector w*:
min M w k 2   ( k = 1 ,   2 )
According to matrix differential properties, Equation (10) can be transformed into the following linear equations under the optimal first-order derivative condition:
w 1 w 1 T w 1 w 2 T w 2 w 1 T w 2 w 2 T α 1 α 2 = w 1 w 1 T w 2 w 2 T
(4) Solve to obtain the combination coefficients αk and then normalize them to obtain αk*:
α k = α k k = 1 2 α k
(5) Obtain the final combined weight vector:
M = k = 1 2 α k w k T
Following the above steps, combined weights were obtained as shown in Table 5.

3. Results

3.1. Intra- and Inter-Annual Changes of Runoff and Sediment Flux

Interannual variations of runoff and sediment load at the Hankou hydrometric station from 1990 to 2019 reflect the water and sediment supply conditions for Baishazhou bar and Tianxingzhou bar in the Wuhan reach of the middle Yangtze River (Figure 2). According to measured data at the Hankou hydrometric station, before operation of the TGD, the multi-year (1990–2003) mean runoff at Hankou was 7273.50 × 108 m3, and the multi-year mean sediment load was 3.09 × 108 t. After operation, the multi-year (2004–2019) mean runoff was 6784.55 × 108 m3, and the multi-year mean sediment load was 0.93 × 108 t.
Linear fitting of the trends in the Hankou runoff and sediment series shows that during 1990–2019, the annual runoff at Hankou decreased at an average rate of 14.46 × 108 m3 per year. Taking 2003 (the start of the TGD operation) as the dividing point, the pre-operation annual sediment load decreased at an average rate of 0.11 × 108 t per year, while the post-operation annual sediment load decreased at an average rate of 0.05 × 108 t per year. Overall, during 1990–2019, the mean annual runoff and sediment load at Hankou were 7012.73 × 108 m3 and 1.94 × 108 t, respectively. The post-operation period shows a decrease of 488.95 × 108 m3 (6.72%) in runoff and a decrease of 2.16 × 108 t (69.88%) in sediment load compared with the pre-operation period. These results suggest that TGD operation had a limited influence on runoff in the Wuhan reach, but it substantially reduced sediment supply. Before the operation, several dams had already been completed in the upstream reaches, resulting in a decline in sediment supply. TGD, in turn, drastically accelerated this downward trend.
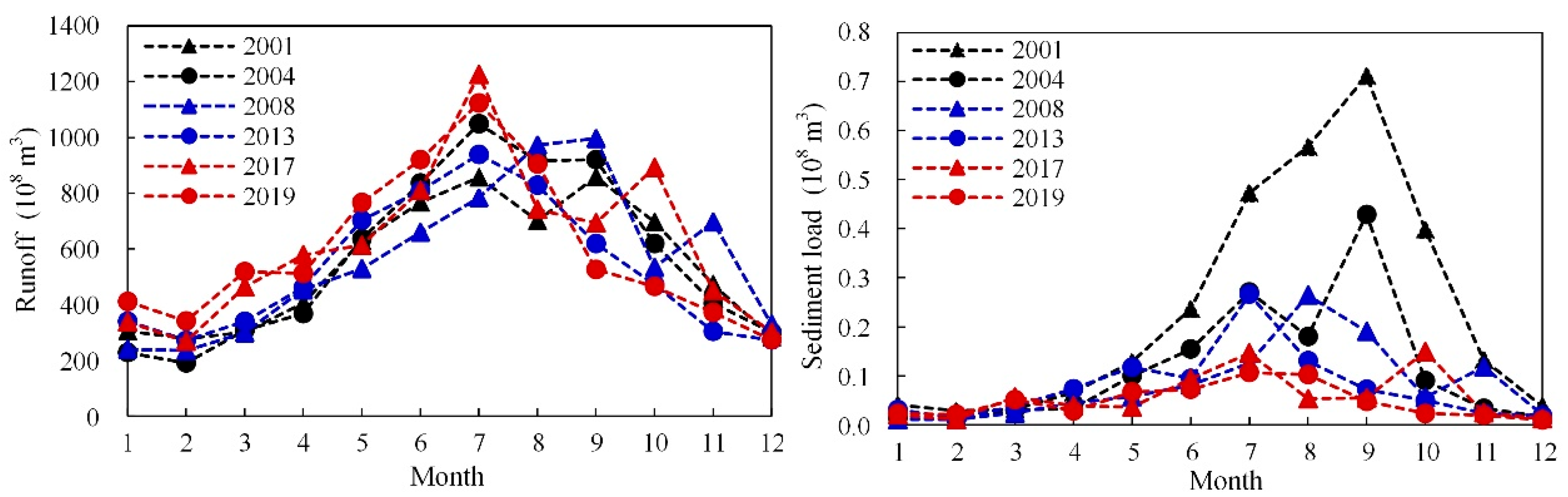
Monthly runoff and sediment load distributions in typical years (2001, 2004, 2008, 2013, 2017, and 2019) at the Hankou hydrometric station are shown in Figure 3. The flood season in the Yangtze River Basin is mainly concentrated from April–October, while other months are considered the dry season. During 2001–2019, flood-season runoff was high and showed limited interannual variability. In contrast, sediment load exhibited clear interannual differences: sediment load was the highest in 2001 and decreased significantly during 2004–2019, especially in the flood season. Runoff and sediment load during flood and dry seasons for these typical years are summarized in Table S1. For the six selected years, the mean flood-season runoff was 5130.69 × 108 m3, accounting for 75.26% of the annual runoff. The smallest proportion of dry-season runoff occurred in 2004 (21.13%). The mean flood-season sediment load was 1.08 × 108 t, accounting for 85.17% of the annual sediment load. The smallest proportion of dry-season sediment load occurred in 2004 (7.78%), whereas the largest occurred in 2019 (21.86%).

3.2. Terrestrial Habitat Health of Baishazhou Bar

Baishazhou bar is located on the south side of the main channel of the Yangtze River in western Wuhan City. It trends northeast–southwest, with a length of about 1.5 km and a width of about 200 m. In the Baishazhou bar area, bedrock is mostly concealed beneath Quaternary soils. The Quaternary loose deposits mainly consist of Holocene alluvial layers; the overlying strata are mainly Quaternary strata and mudstone, while limestone bedrock is widely distributed. Karst development in the region is moderate to strong. The region lies in a subtropical humid climate zone with abundant solar radiation, heat, and precipitation; synchronized water and heat; distinct seasons; and a long frost-free period.
Based on field surveys (Figure S2), satellite image interpretation, and relevant historical records, the number of days when the ecotone of Baishazhou bar is exposed over 50% is 217 d on average. Vegetation on Baishazhou bar is luxuriant and dominated by reeds and willows; the bar is also a productive area for various vegetables. In terms of wildlife, the nationally protected Class I black stork (Ciconia nigra) has been observed inhabiting the bar, and migratory birds such as grebes, wild ducks, and swans also occur. A total of 233 bird species have been recorded in the area. Amphibians, reptiles, insects, and mammals are also diverse, indicating high biodiversity. Vegetation cover derived from the 2022 dry-season image is about 92%.
Based on Baishazhou bar remote sensing images from 1989 to 2020, the bar experienced an overall shrinkage of about 43.83%. There are no large-scale man-made structures on the bar itself, and the bar is largely in a natural state. Downstream of the bar, the Wuqiao navigation regulation project in the middle Yangtze River has been constructed to stabilize the downstream submerged bar morphology and constrain the main channel flow. Water quality was evaluated using the monitoring values of Baishazhou Water Treatment Plant in May 2025, which corresponds to Class II water quality.
Based on the assigned scores of each indicator and the combined weights obtained using the combined weighting approach, the terrestrial habitat health of Baishazhou bar was comprehensively evaluated (Table 6). The natural attribute score is 92.97, indicating a very healthy condition. The social attribute score is 43.26, indicating a sub-healthy condition. This is mainly because Baishazhou bar has experienced significant area change and severe shrinkage, leading to a reduction in habitat area and related social service functions. The overall score is 76.32, placing Baishazhou bar in the healthy class.

3.3. Morphological Evolution of Baishazhou Bar

To analyze the development, shrinkage, and scouring processes of Baishazhou bar over more than three decades (1989–2020), six dry-season remote sensing images were selected to examine its morphological changes (Figure 4), and twelve dry-season remote sensing images were used to measure the widths of the mainstream (left anabranch) and branch channel (right anabranch) at three locations—the bar head, middle, and tail (Figure S2). Channel width change trends are presented in Figure 5a, and annual change rates are illustrated in Figure 5b. A positive annual change rate indicates channel widening (bar retreat/erosion), whereas a negative rate indicates channel narrowing (bar accretion).
During 1989–2001, Baishazhou bar was in a natural development stage, with the bar area increasing by 0.73 km2. The bar head grew upstream, and the bar length increased by 39.70%. The 2001 image (Figure S1) shows that sediment deposition occurred at the bar head, forming a sand spit. By 2004, the bar area decreased from 2.02 km2 to 1.42 km2 (i.e., 70.44% of the 2001 area), with reductions in length (by approximately 0.9 km), width, and area compared to 2001. The sand spit migrated downstream during 2001–2004 and extended to the middle of the bar by 13 December 2004 (Figure 4c).
In 2003, the mainstream width at the bar head decreased noticeably, a phenomenon explained by the sand spit reaching the measurement section (Figure S1) by that year. In 2004, the sediment load and runoff at Hankou Station decreased by 17.58% and 8.22%, respectively, compared with 2003. Under reduced sediment supply, Baishazhou bar experienced enhanced erosion and shrinkage, with widths at all three measurement locations increasing—most significantly at the bar head.
From 2001 to 2015, the bar continued to shrink: bar length and width decreased to 53.95% and 39.94% of their 2001 values, respectively, and the exposed area in 2015 (Figure 4e) was only 30.90% of that in 2001. According to data from Hankou Hydrometric Station, the sediment load in 2015 (0.63 × 108 t) decreased by 77.89% compared with 2001 (2.85 × 108 t), which is a key driver of intensified erosion and shrinkage of mid-channel bars in the middle and lower Yangtze River. From 2004 to 2020, the annual change rates of mainstream width at the head and middle locations were mostly positive, consistent with continuous bar retreat driven by persistent sediment reduction. From 1989 to 2020, the mainstream width at the middle location increased by 22.26%, with local retreat exceeding 200 m.
During 2015–2020, the exposed area of Baishazhou bar increased slightly from 0.62 km2 to 0.72 km2 (Figure 4f), showing a modest rebound with limited magnitude. This rebound is attributed to two factors: lower water levels in 2020 than in 2015, exposing more of the bar; and downstream bed incision induced by TGD operation, which lowered water levels under comparable discharges. Additionally, the bar-head shoal partitions upstream inflow into the left anabranch, the head shoal, and the right anabranch, functioning as a key water–sediment partitioning zone. Its adverse slope and blocking effects can promote local deposition at the head, facilitating slight upstream extension under certain conditions. However, remote sensing evidence confirms that post-TGD clear-water scour under low sediment concentrations has caused continuous erosion and retreat of the bar head, maintaining a long-term shrinking trend.
Local UAV images acquired in November 2020 and December 2021 (Figure 6) provide detailed insights into the bar head’s state. In the dry season, the shallow shoal at the bar head is exposed, and vortex-shaped sand pits of varying sizes form after flood recession. Comparative analysis of same-scale panoramas for the same region shows a slight decrease in the exposed area of the head shoal and a 35 m retreat of the vegetated zone. Severe bank collapse occurred along the right side, with exposed reed roots and steep slopes. The middle portion of the bar along the mainstream side suffered intense scouring; under the Baishazhou Bridge piers, substantial erosional retreat and obvious local collapse pits were observed. This confirms that post-TGD clear-water scour intensified mainstream side erosion, while bridge piers induced local backwater and flow diversion, further enhancing scour and collapse.
Over the past 30 years, the bar tail has been covered by vegetation, resulting in minimal morphological changes and relative stability without downstream extension. In contrast, the bar head and mainstream side middle section underwent significant scouring and retreat, with rapid shrinkage of the bar head driving overall area reduction. From 1989 to 2020, the exposed area of Baishazhou bar decreased by 0.57 km2, corresponding to an overall shrinkage of approximately 43.83%. Without effective protection measures, the bar may continue to shrink, with acceleration under persistent clear-water scour.
Overall, the mainstream widths at the head, middle, and tail locations of Baishazhou bar showed an increasing trend from 1989–2020, with the greatest increase at the bar head. In contrast, the branch-channel widths increased only slightly. The bar-head shoal partitions the upstream flow into the left anabranch, the head shoal, and the right anabranch, functioning as a key zone for water–sediment partitioning. The bar head and lateral margins are identified as the main zones subject to scouring.

3.4. Terrestrial Habitat Health of Tianxingzhou Bar

Tianxingzhou is located in the middle of the Yangtze River between Qingshan Town (Qingshan District) and Chenjiaji (Jiang’an District) in Wuhan, with an area of about 22 km2. It is composed of Holocene alluvial deposits: the upper layer mainly consists of silt, fine sand, and sandy loam, while the lower layer consists of medium–coarse sand and gravel, locally interbedded with muddy siltstone. The region belongs to a subtropical humid climate zone, featuring sufficient solar radiation, abundant heat and rainfall, synchronized water and heat, distinct seasons, clear wet–dry seasonality, and a long frost-free period.
Based on field surveys (Figure S3), satellite image interpretation, and historical records, the number of days when the ecotone of Tianxingzhou bar is exposed over 50% is 193 d on average. Vegetation on the bar includes herbaceous plants, shrubs, and trees. Tianxingzhou bar is also an important fruit and vegetable production base in Wuhan, producing watermelons, muskmelons, pumpkins, winter melon, pak choi, cabbage, amaranth, cotton, and other crops. In terms of wildlife, 219 wild bird species have been recorded, including 27 key protected species of national Class II or above and 49 provincially protected species. In addition, 14 reptile species, 7 amphibian species, 282 insect species, and 12 mammal species have been recorded, indicating high overall biodiversity and diversified landscape patches. Vegetation cover derived from the 2022 dry-season image is about 83.50%.
Based on Tianxingzhou bar remote sensing images from 1992 to 2022, the bar area decreased by about 26.33%. During 2013–2017, the Ministry of Transport approved and implemented the navigation regulation project for the Tianxingzhou bar reach. Rock dumping revetments were constructed along the scenic road at the bar head, and concrete blocks were laid along the embankments on both sides. According to the completion acceptance in 2017 and field surveys, the protection works show good stability without deformation or failure, and no soil erosion was observed; the permeability is moderate. Water quality was evaluated using the monitoring values at the Yangsigang section in March 2024, which corresponds to Class II water quality.
Based on the assigned scores of each indicator and the combined weights obtained using the combined weighting approach, a comprehensive terrestrial habitat health score for Tianxingzhou bar was calculated (Table 7). The natural attribute score is 91.14, indicating a very healthy condition, whereas the social attribute score is 36.44, indicating an unhealthy condition. This is mainly because Tianxingzhou bar experienced significant area change (area reduction rate of about 26%), and the permeability of rock-based protection works is relatively poor. The overall score is 72.81, placing Tianxingzhou bar in the healthy class.

3.5. Morphological Evolution of Tianxingzhou Bar

Tianxingzhou bar is a crescent-shaped mid-channel bar located in a mildly curved reach, where the left anabranch serves as a branch channel and the right anabranch as the mainstream. Remote sensing images from 1989 to 2020 (Figure 7) indicate that the bar head underwent significant changes over the past three decades, while the bar tail remained relatively stable with minimal alterations. Hydrological data from Hankou Station show that after the operation of the Three Gorges Dam (TGD) in 2003, the annual sediment load decreased gradually. During the post-operation period (2004–2019), the multi-year mean annual runoff was slightly lower than that in the pre-operation period (1990–2003), whereas the sediment load dropped sharply. Under such clear-water conditions, scouring on Tianxingzhou bar was mainly concentrated at the bar head and along the right margin.
Before 2003, Tianxingzhou bar was generally in a natural development stage. Annual runoff during 1990–2003 was relatively stable with limited interannual variability: the maximum annual runoff occurred in 1998 (9068 × 108 m3), while in other years, the maximum and minimum values were 7687 × 108 m3 (2002) and 6272 × 108 m3 (1997), respectively, with a multi-year mean runoff of 7273.50 × 108 m3. Morphologically, the bar head was rounded without a shallow shoal during 1989–1995. By 2003, a large shallow shoal emerged at the bar head, and the vegetated area at the head formed a sharp triangular shape that retreated downstream; the side adjacent to the main flow experienced pronounced scouring and became concave. During 1989–2003, the head and left/right margin shorelines of Tianxingzhou bar also exhibited continuous retreat, particularly at the head tip and along the right margin. The head tip retreated by 1.43 km, and the bar head morphology transformed from blunt to sharply pointed. Retreat was especially rapid during 1995–2001, with an average annual retreat exceeding 100 m, and the bar head continued to retreat by 150 m while the right margin retreated by 170 m during 2001–2003. Correspondingly, the dry-season exposed area tended to decrease during this period, which was consistent with the observed shoreline retreat. The image acquired on 27 December 2003 (Figure 7c) corresponds to the early stage of subsequent revetment construction and is thus classified as part of the pre-protection period.
To mitigate TGD-induced scouring on mid-channel bars in the middle and lower Yangtze River, government agencies implemented protection measures. From December 2003 to May 2004, prior to the construction of the Wuhan Tianxingzhou Yangtze River Bridge, a 3870 m revetment was built along the right bank, and a 3279 m revetment was constructed along the Tianxingzhou bar head and right margin (Figure 8). This 2003–2004 bar-head protection project helped stabilize the bar head and the right-margin shoreline: after the completion of the 2004 revetment, shoreline retreat was effectively suppressed, with no obvious retreat observed by 2020. The exposed area of the bar also increased after the revetment, reaching 23 km2 in 2014 (Figure 9).
In January 2013, additional protection works were launched to further strengthen the Tianxingzhou bar head and right margin, and the fishbone-dike regulation project was completed by 2017. Two fishbone-shaped protection belts (Y#1 and Y#2) were constructed on the head low bar, combined with fan-shaped protection at the bar head (Figure 8c). Y#1 was arranged longitudinally, with its front end extending 800 m underwater; it integrates onshore and underwater protection, has a total length of 2062 m, and connects smoothly to the 3279 m revetment built in 2003. Y#2 was arranged transversely with a length of 873 m, and the fan-shaped head protection has a maximum width of 883 m. On the right-margin low bar, two strip-shaped protection belts (T#1 and T#2) were constructed, with lengths of 698 m and 314 m, respectively. These works effectively mitigated bar-head retreat under clear-water scour and contributed to a relatively stable head shoreline.
Notably, the exposed area decreased sharply in 2015 compared with 2014, dropping from 24.84 km2 to 18.59 km2. This reduction was attributed to water-level differences—the water level in 2015 was higher than in 2014, resulting in less bar exposure during dry-season image acquisition. Following the strengthening of revetments and the construction of protection belts, the exposed area increased again and exceeded 25 km2 in 2017 (Figure 9). By 2020, the bar length continued to increase, reaching 13.694 km; the bar head developed a long, narrow shallow shoal with low relief, and the length of this shallow shoal reached approximately 2.35 km. During 2001–2019, the bar width increased slightly while the bar length increased by 2.232 km. In 2020, both the tail shoal and the left-bank point bar elongated, and the area of the left anabranch (branch channel) decreased. Overall, changes in the area and morphology of Tianxingzhou bar are dominated by the bar head, mainly manifested by the formation and expansion of the large shallow shoal.

4. Discussion

4.1. Comparative Analysis of Differentiated Scour Between Baishazhou Bar and Tianxingzhou Bar

4.1.1. Straight Reach vs. Mildly Sinuous Reach

Using extracted shorelines from 1989 and 2020 (Figure 10), both bars exhibit net retreat at the bar head and along the margin adjacent to the mainstream anabranch. The head shoreline at the bar head retreated by about 0.6 km for Baishazhou bar and 1.5 km for Tianxingzhou bar. The bar length decreased by 17.05% and 11.46%, respectively, and the mainstream side margin retreated by about 0.2 km and 0.9 km, respectively.
The location and concentration of mainstream margin erosion differ between the two bars and are primarily controlled by reach planform [35]. Baishazhou bar is located in a straight reach where the left anabranch is the mainstream and the main navigation channel; it is under scouring. The entire left margin of the bar retreated by about 200 m. Tianxingzhou bar is located in a mildly curved reach where the right anabranch is the mainstream and main navigation channel. The retreat of the mainstream side margin is concentrated near the bar head and the upstream part of the right margin, whereas downstream parts show limited change [2].
In the straight anabranching reach, the front of the Baishazhou bar head directly faces upstream inflow and sediment, making it a location prone to strong scouring. Under low-sediment flows, morphological changes are mainly expressed at the head tip. During floods, the flow submerges the head shoal and attacks the shoal top; the adverse slope effect can drive return flow toward the anabranch, which may promote deposition when sediment supply is sufficient. However, under persistently low sediment concentrations after TGD operation, scour dominates and net deposition is limited [36]. With time, the head becomes blunter and more unstable; it is exposed mainly in the dry season and submerged during floods. Vegetation is difficult to establish on the head shoal, consistent with UAV observations [20].
In the mildly curved anabranching reach, severe retreat at the front of the Tianxingzhou bar head is mainly driven by strong scouring caused by flow convergence and bifurcation. The mildly curved planform also produces a guidance effect and an elevation contrast between the two anabranches [37]. The right anabranch (mainstream) has a lower bed elevation and greater conveyance than the left anabranch (branch). A transverse water-surface gradient forms across the head low bar, inducing oblique overbank flow across the bar. Thus, retreat along the right margin near the head is largely driven by scouring from this oblique overbank flow. The intensity of oblique flow depends on discharge: deposition commonly occurs on the low bar in the dry season, whereas at medium stages, oblique flow tends to be strongest and can produce bank-attached scour.

4.1.2. Mainstream Anabranch vs. Branch Anabranch

Asymmetric conveyance capacity between mainstream and branch anabranches explains the contrasting erosion–deposition behavior around both bars. The mainstream anabranch typically conveys a larger discharge and experiences higher shear stress compared to the branch anabranch, rendering the bar margin adjacent to the mainstream more susceptible to erosion and retreat [38]. This tendency can be amplified in navigation reaches where ship waves enhance bank undercutting and accelerate retreat. By comparison, the branch anabranch conveys less flow and thus has lower erosive power, favoring relative stability and, locally, deposition.
Vegetation further modulates this asymmetry, especially at bar tails. Dense vegetation increases hydraulic roughness, reduces near-bank velocity, and promotes sediment trapping, thereby stabilizing bar margins. Such effects are consistent with the limited morphological change observed in vegetated tail sections. Additionally, the bar-head shoal’s function as a key water–sediment partitioning zone amplifies its vulnerability to scouring. The partitioning effect disrupts the original flow regime, generating complex flow patterns (e.g., oblique flow) that concentrate erosion at the bar head and lateral margins. Local engineering structures (e.g., bridge piers) can further perturb the flow field through backwater and flow-diversion effects, increasing local turbulence and promoting bank collapse. Overall, differentiated scour reflects the coupling of reach-scale planform control, anabranch-scale conveyance asymmetry, and local human disturbances.

4.1.3. Effects of Protection Works

Engineering protection substantially modifies bar evolution by constraining lateral retreat at targeted shorelines [3,14]. At Tianxingzhou bar, revetments constructed since 2003–2004 stabilized the bar head and right margin, and no obvious retreat was detected by 2020. The post-revetment increase in dry-season exposed area suggests that reducing near-bank velocity and increasing flow resistance can promote local deposition and enhance bar-surface persistence [1].
However, revetments do not fundamentally eliminate the intrinsic instability of low bars in the bar-head region, as low bars remain susceptible to scouring by oblique flow and chute-channel development. The subsequent construction of fishbone-shaped, fan-shaped, and strip-shaped protection belts in 2013 addressed this limitation by integrating onshore and underwater protection, which suppresses chute-channel formation and scour-induced bar dissection. This multi-layered protection system not only safeguards the low bar but also reduces adverse impacts on navigation caused by bar shrinkage, optimizing the comprehensive benefits of engineering measures [18].

4.2. Comparison of Terrestrial Habitat Health Between Baishazhou Bar and Tianxingzhou Bar

Baishazhou bar and Tianxingzhou bar are both important mid-channel bar in the Wuhan section of the Yangtze River. They lie within the same subtropical humid climatic zone, sharing common climatic characteristics including abundant solar radiation, heat and rainfall, synchronized water and heat, distinct seasons, clear wet–dry seasonality, and long frost-free periods. These conditions provide a basic climatic foundation for the development of terrestrial habitats. However, differences in geographical setting, geological background, and the intensity and mode of human intervention lead to differences in habitat conditions and health performance between the two bars [23].
Natural attributes constitute the core support for terrestrial habitat health. Differences between the two bars are mainly reflected in the water–land ecotone characteristics, vegetation composition, biodiversity, and vegetation cover. Exposure duration of the water–land ecotone is a key indicator reflecting eco-hydrological processes on the bar [39]. Baishazhou bar has a longer exposure duration (217 d) than Tianxingzhou bar (193 d), providing more stable time windows for terrestrial vegetation establishment and for animal activity [40]. In terms of vegetation, Baishazhou bar is mainly covered by reeds and willows and supports relatively concentrated vegetation types, whereas Tianxingzhou bar contains more diverse plant communities (herbs, shrubs, and trees) and functions as an important agricultural production base with a wide variety of crops. Biodiversity is high on both bars: Baishazhou bar has recorded up to 233 bird species, including the nationally protected Class I black stork; Tianxingzhou bar has recorded 219 bird species, including 27 key protected species of national Class II or above and 49 provincially protected species [27]. In terms of vegetation cover, Baishazhou bar (92%) is higher than Tianxingzhou bar (83.50%).
In terms of social attributes, differences in the intensity and mode of human intervention lead to different levels of habitat disturbance [12]. The rate of area change is a core social indicator reflecting bar stability. Based on remote sensing analysis for 1989–2020, Baishazhou bar shrank by about 43.83%, which is larger than the 26.33% decrease of Tianxingzhou bar (1992–2022). In addition, the most pronounced contraction of Baishazhou bar occurred during 2001–2015, when the dry-season exposed area decreased to about 30.90% of its 2001 value. Such shrinkage directly reduces habitat space and can weaken ecosystem service functions. Engineering intervention also differs between the two bars. Baishazhou bar has no large-scale structures on the bar body and remains largely natural. In contrast, Tianxingzhou bar has undergone navigation regulation and protection works (2013–2017), including rock revetments and concrete block protections. These works show good stability but only moderate permeability. Water quality at both bars corresponds to Class II.
Comprehensive health evaluation results show that both Baishazhou bar and Tianxingzhou bar fall into the healthy category, but their scores and the composition of health grades differ. It should be explicitly noted that the health evaluation system in this study is anchored in the natural habitat quality of mid-channel bars, with a substantially higher weight assigned to natural attributes than to social attributes. Accordingly, the final “healthy” classification primarily reflects the biological and ecological performance of the bars’ terrestrial habitats, rather than their performance in social service functions, bank slope stability, and other social attribute dimensions. Baishazhou bar has a higher overall score (76.32) than Tianxingzhou bar (72.81). For natural attributes, both bars reach the very healthy level; the Baishazhou bar (92.97) is slightly higher than the Tianxingzhou bar (91.14), reflecting its advantages in exposure duration, vegetation cover, and biodiversity. For social attributes, Baishazhou bar is rated as sub-healthy (43.26), mainly due to severe area shrinkage, whereas Tianxingzhou bar is rated as unhealthy (36.44), additionally affected by the moderate ecological permeability of protection works.
In summary, differences in terrestrial habitat health between Baishazhou bar and Tianxingzhou bar essentially reflect a contrast between a strong natural background with severe area loss pressure (Baishazhou bar) and a more diverse biotic structure with moderate engineering intervention (Tianxingzhou bar) [32]. Both bars face the core challenge of bar area shrinkage, but the impact pathways and intervention modes differ. Future habitat protection should prioritize maintaining bar stability and curbing further shrinkage for Baishazhou bar, while for Tianxingzhou bar it should focus on improving the ecological compatibility and permeability of protection works and strengthening long-term monitoring of habitat changes.

4.3. Limitations and Future Work

Several limitations should be acknowledged. First, planform changes were derived mainly from dry-season imagery; although this reduces stage-related uncertainty, residual water-level differences and image availability may still affect extracted bar areas. Second, the argument regarding local morphological changes (e.g., those associated with hydraulic structures such as bridges) is qualitative in nature, and the specific type of local scouring addressed in this study has not been explicitly defined and classified. This is largely because the remote sensing-based approach adopted cannot achieve refined classification of different scour types at the current stage. Third, this study does not explicitly incorporate Lane’s balance (Lane’s principle), a fundamental principle of fluvial hydraulics [41,42], to systematically interpret the intrinsic relationship between hydro-sediment regime shifts and channel morphological responses, which limits the in-depth analysis of the mechanisms driving channel erosion and deposition. Fourth, the indicator-based habitat framework simplifies complex ecological processes; incorporating dynamic indicators (e.g., seasonal habitat connectivity and vegetation succession) would improve diagnostic power. Fifth, the combined AHP–entropy weighting scheme reduces arbitrariness but remains sensitive to expert judgment and data quality. Future work should integrate higher-frequency remote sensing and in situ monitoring to link hydro-sediment regimes, morphodynamics, and habitat responses more directly, and to evaluate long-term ecological outcomes of alternative protection strategies under continuing sediment deficit.

5. Conclusions

This study selected Baishazhou bar and Tianxingzhou bar in the Wuhan reach of the middle Yangtze River as typical cases. We systematically characterized bar morphology evolution, analyzed the mechanisms of differentiated scouring, and assessed terrestrial habitat health. The results are as follows:
(1) After operation of the TGD, runoff in the Wuhan reach decreased only slightly (6.72%), whereas sediment load declined sharply (69.88%), creating a pronounced runoff–sediment imbalance that promotes clear-water scour and channel adjustment.
(2) Both bars experienced net erosion, with retreat concentrated at bar heads and mainstream side margins. Baishazhou bar (straight anabranching reach) underwent more severe shrinkage, characterized by head and mainstream margin erosion and local bank collapse. Tianxingzhou bar (mildly curved reach) showed more moderate shrinkage, and protection works at the bar head and right margin effectively constrained shoreline retreat.
(3) The terrestrial habitat health evaluation system (eight indicators across natural and social attributes) yields comprehensive scores of 76.32 for Baishazhou bar and 72.81 for Tianxingzhou bar, classifying both as healthy overall. Natural attributes are very healthy for both bars, whereas social attributes are limiting due to habitat-area loss and, at Tianxingzhou bar, the only moderate permeability of hard protection works.
(4) Under persistent sediment deficit, sustaining mid-channel bar habitats requires balancing morphological stabilization and ecological connectivity. More permeable and habitat-friendly protection concepts, together with long-term monitoring of bar evolution and habitat responses, are recommended to support conservation and restoration of mid-channel bars in the middle and lower Yangtze River.

Supplementary Materials

The following supporting information can be downloaded at: https://www.mdpi.com/article/10.3390/w18050630/s1, Figure S1: Measurement locations of mainstream and branch widths for Baishazhou bar; Figure S2: Field survey photos of Baishazhou bar (June 2023): (a) bar head, (b) bar tail; Figure S3: Field survey photos of Tianxingzhou bar (June 2023): (a) bar head, (b) right bar flat; Table S1: Runoff and sediment load in flood and dry seasons at the Hankou hydrometric station; 1. Definitions of Evaluation Indicators and Scoring Criteria; 2. Extraction of the mid-channel bar Island Body.

Author Contributions

D.L.: Formal Analysis, Investigation, Methodology (lead), Validation, Visualization, Writing/Review and Editing (equal). X.W. (Xuefeng Wang) (Corresponding Author): Conceptualization, Supervision, Writing—Original Draft. X.W. (Xiya Wang): Data Curation, Methodology (supporting), Resources. C.L.: Writing—Review and Editing (equal). Z.L.: Writing—Review and Editing (equal), Funding acquisition. All authors have read and agreed to the published version of the manuscript.

Funding

The work presented in this paper is financially supported by the National Key R&D Program of China (2023YFC3209502) and the Hubei Provincial Key Research and Development Program for Technological Innovation (2023BCB110).

Data Availability Statement

The original contributions presented in this study are included in the article/Supplementary Material. Further inquiries can be directed to the corresponding author.

Conflicts of Interest

Dong Li and Changbo Liu were employed by the Changjiang Waterway Institute of Planning, Design, and Research. Xiya Wang was employed by the Hunan Provincial Communications Planning, Survey & Design Institute Co., Ltd. The remaining authors declare that the research was conducted in the absence of any commercial or financial relationships that could be construed as a potential conflict of interest.

References

  1. Almeida, R.P.; Galeazzi, C.P.; Best, J.; Ianniruberto, M.; Do Prado, A.H.; Janikian, L.; Mazoca, C.E.M.; Tamura, L.N.; Nicholas, A. Morphodynamics and depositional architecture of mid-channel bars in large Amazonian rivers. Sedimentology 2024, 71, 1591–1614. [Google Scholar] [CrossRef]
  2. Sosnowska, A. Assessment of long-term channel morphological changes by river bars’ size estimation based on remote sensing techniques, Vistula River, Poland. Earth Sci. Inform. 2025, 18, 115. [Google Scholar] [CrossRef]
  3. Crosato, A.; Mosselman, E. An Integrated Review of River Bars for Engineering, Management and Transdisciplinary Research. Water 2020, 12, 596. [Google Scholar] [CrossRef]
  4. Reesink, A.J.H.; Ashworth, P.J.; Smith, G.H.S.; Best, J.L.; Parsons, D.R.; Amsler, M.L.; Hardy, R.J.; Lane, S.N.; Nicholas, A.P.; Orfeo, O.; et al. Scales and causes of heterogeneity in bars in a large multi-channel river: Rio Parana, Argentina. Sedimentology 2014, 61, 1055–1085. [Google Scholar] [CrossRef]
  5. Cheng, Y.S.; Li, Z.W.; He, Y.C.; Yu, G.A.; Yao, W.W. Morphological adjustments of alternate bars in a channelized river of the Tibetan Plateau and their hydro-sedimentary implications. Earth Surf. Process. Landf. 2025, 50, e70141. [Google Scholar] [CrossRef]
  6. Holbrook, J.M.; Allen, S.D. The case of the braided river that meandered: Bar assemblages as a mechanism for meandering along the pervasively braided Missouri River, USA. Geol. Soc. Am. Bull. 2021, 133, 1505–1530. [Google Scholar] [CrossRef]
  7. Church, M.; Rice, S.P. Form and growth of bars in a wandering gravel-bed river. Earth Surf. Process. Landf. 2009, 34, 1422–1432. [Google Scholar] [CrossRef]
  8. Crosato, A.; Mosselman, E. Simple physics-based predictor for the number of river bars and the transition between meandering and braiding. Water Resour. Res. 2009, 45, W03424. [Google Scholar] [CrossRef]
  9. Rodrigues, S.; Mosselman, E.; Claude, N.; Wintenberger, C.L.; Juge, P. Alternate bars in a sandy gravel bed river: Generation, migration and interactions with superimposed dunes. Earth Surf. Process. Landf. 2015, 40, 610–628. [Google Scholar] [CrossRef]
  10. Serlet, A.J.; Gurnell, A.M.; Zolezzi, G.; Wharton, G.; Belleudy, P.; Jourdain, C. Biomorphodynamics of alternate bars in a channelized, regulated river: An integrated historical and modelling analysis. Earth Surf. Process. Landf. 2018, 43, 1739–1756. [Google Scholar] [CrossRef]
  11. Wang, Z.Y.; Li, H.; Cai, X.B. Remotely Sensed Analysis of Channel Bar Morphodynamics in the Middle Yangtze River in Response to a Major Monsoon Flood in 2002. Remote Sens. 2018, 10, 1165. [Google Scholar] [CrossRef]
  12. Ding, C.; Huang, D.; Li, H.B.; Chen, X.C. River adjustments in response to human activities: A case study of the lower Beijiang River, China. Earth Surf. Process. Landf. 2024, 49, 887–900. [Google Scholar] [CrossRef]
  13. Inoue, T.; Hiramatsu, Y.; Johnson, J.P.L.; Dempo, J.; Mishra, J. Ratio of River Channel Bar to Bank Height Sets Bank Erosion Rate. J. Geophys. Res.-Earth Surf. 2024, 130, e2024JF007965. [Google Scholar] [CrossRef]
  14. Wang, B.; Xu, Y.J. Dynamics of 30 large channel bars in the Lower Mississippi River in response to river engineering from 1985 to 2015. Geomorphology 2018, 300, 31–44. [Google Scholar] [CrossRef]
  15. Hu, Y.; Deng, J.Y.; Li, D.F.; Lu, X.X.; Zhou, J.X.; Wang, C.L.; Li, Y.T. Shifted Flood and Ecology Regimes Due To Channel Bar Greening and Increased Flow Resistance in a Large Dammed River. Geophys. Res. Lett. 2024, 51, e2024GL110890. [Google Scholar] [CrossRef]
  16. Li, D.F.; Lu, X.X.; Yang, X.K.; Chen, L.; Lin, L. Sediment load responses to climate variation and cascade reservoirs in the Yangtze River: A case study of the Jinsha River. Geomorphology 2018, 322, 41–52. [Google Scholar] [CrossRef]
  17. Li, D.F.; Lu, X.X.; Chen, L.; Wasson, R.J. Downstream geomorphic impact of the Three Gorges Dam: With special reference to the channel bars in the Middle Yangtze River. Earth Surf. Process. Landf. 2019, 44, 2660–2670. [Google Scholar] [CrossRef]
  18. Xia, J.Q.; Deng, S.S.; Lu, J.Y.; Xu, Q.X.; Zong, Q.L.; Tan, G.M. Dynamic channel adjustments in the Jingjiang Reach of the Middle Yangtze River. Sci. Rep. 2016, 6, 22802. [Google Scholar] [CrossRef]
  19. Gu, J.Y.; Lu, Y.J.; Ji, R.Y.; Wang, Z.L.; Jia, L.W.; Mo, S.P. Channel response to low water levels in the Pearl River Delta: A multi-decadal analysis. Mar. Geol. 2020, 429, 106290. [Google Scholar] [CrossRef]
  20. Hu, Y.; Zhou, J.X.; Deng, J.Y.; Li, Y.T.; Yang, C.R.; Li, D.F. River Bars and Vegetation Dynamics in Response to Upstream Damming: A Case Study of the Middle Yangtze River. Remote Sens. 2023, 15, 2324. [Google Scholar] [CrossRef]
  21. Yan, X.F.; Duan, H.F.; Liu, T.H.; Xu, Z.X.; Wang, X.K. Geomorphologic changes around a mid-river bar system at a meandering reach in the lower Yangtze River, China: Impacts of the three Gorges dam (TGD) and human activities. Catena 2022, 212, 106038. [Google Scholar] [CrossRef]
  22. Han, X.X.; Chen, X.L.; Feng, L. Four decades of winter wetland changes in Poyang Lake based on Landsat observations between 1973 and 2013. Remote Sens. Environ. 2015, 156, 426–437. [Google Scholar] [CrossRef]
  23. Zhang, X.B.; Huang, S.; Hu, Y.P.; Li, G.; Li, W.J.; Yang, S.F. Integrative approaches to river ecosystem assessment and restoration: A review of methodologies and strategies for coherent implementation. Environ. Monit. Assess. 2026, 198, 139. [Google Scholar] [CrossRef]
  24. Belletti, B.; Rinaldi, M.; Buijse, A.D.; Gurnell, A.M.; Mosselman, E. A review of assessment methods for river hydromorphology. Environ. Earth Sci. 2015, 73, 2079–2100. [Google Scholar] [CrossRef]
  25. Costanza, R. Ecosystem health and ecological engineering. Ecol. Eng. 2012, 45, 24–29. [Google Scholar] [CrossRef]
  26. Krodkiewska, M.; Spyra, A.; Cieplok, A. Assessment of pollution, and ecological status in rivers located in the Vistula and Oder river basins impacted by the mining industry in Central Europe (Poland). Ecol. Indic. 2022, 144, 109505. [Google Scholar] [CrossRef]
  27. Shepherd, N.L.; Dorman, D.M.; Folz, C.A.; McCann, J.I.; Wolbach, P.J.; Nairn, R.W. Utilizing rapid bioassessment protocols to evaluate impacts of abandoned mine drainage discharges on a receiving stream. Aquat. Sci. 2024, 86, 14. [Google Scholar] [CrossRef]
  28. Lee, S.J.; Lee, E.H.; An, K.G. Lotic Ecosystem Health Assessments Using an Integrated Analytical Approach of Physical Habitat, Chemical Water Quality, and Fish Multi-Metric Health Metrics. Pol. J. Environ. Stud. 2018, 27, 2113–2131. [Google Scholar] [CrossRef] [PubMed]
  29. Petersen, R.C. The RCE: A Riparian, Channel, and Environmental Inventory for small streams in the agricultural landscape. Freshw. Biol. 1992, 27, 295–306. [Google Scholar] [CrossRef]
  30. Raven, P.J.; Holmes, N.T.H.; Dawson, F.H.; Everard, M. Quality assessment using River Habitat Survey data. Aquat. Conserv.-Mar. Freshw. Ecosyst. 1998, 8, 477–499. [Google Scholar] [CrossRef]
  31. Sun, F.D.; Sun, W.X.; Chen, J.; Gong, P. Comparison and improvement of methods for identifying waterbodies in remotely sensed imagery. Int. J. Remote Sens. 2012, 33, 6854–6875. [Google Scholar] [CrossRef]
  32. Ma, J.Y.; Li, Z.W.; Chen, C.; Abulimiti, H.D.; Tan, R.Y.; Zhang, P. Health evaluation method for terrestrial habitats and its application to mid-channel bars in the middle and lower Yangtze River. J. Water Resour. Water Eng. 2024, 35, 1–9. (In Chinese) [Google Scholar] [CrossRef]
  33. Peng, W.Q. Research on river and lake health assessment indicators, standards and methods. J. China Inst. Water Resour. Hydropower Res. 2018, 16, 394–404. (In Chinese) [Google Scholar] [CrossRef]
  34. Shan, C.J.; Dong, Z.C.; Fan, K.M.; Yang, J.H.; Liu, C.; Fang, Q. Application of combination weighting method to weight calculation in river health evaluation. J. Hohai Univ. (Nat. Sci.) 2012, 40, 622–628. (In Chinese) [Google Scholar] [CrossRef]
  35. Ashworth, P.J. Mid-channel bar growth and its relationship to local flow strength and direction. Earth Surf. Process. Landf. 1996, 21, 103–123. [Google Scholar] [CrossRef]
  36. Lou, Y.Y.; Mei, X.F.; Dai, Z.J.; Wang, J.; Wei, W. Evolution of the mid-channel bars in the middle and lower reaches of the Changjiang (Yangtze) River from 1989 to 2014 based on the Landsat satellite images: Impact of the Three Gorges Dam. Environ. Earth Sci. 2018, 77, 394. [Google Scholar] [CrossRef]
  37. Luchi, R.; Zolezzi, G.; Tubino, M. Modelling mid-channel bars in meandering channels. Earth Surf. Process. Landf. 2010, 35, 902–917. [Google Scholar] [CrossRef]
  38. Ghinassi, M.; Ielpi, A.; Ventra, D.; Martini, I.; Finotello, A.; Bellizia, E. Distinguishing mid-channel and bank-attached fluvial bars by flow divergence: Implications for the interpretation of stratigraphic records. Sedimentology 2021, 68, 2783–2797. [Google Scholar] [CrossRef]
  39. Yi, X.M.; Huang, Y.Y.; Ma, M.H.; Wen, Z.F.; Chen, J.L.; Chen, C.D.; Wu, S.J. Plant trait-based analysis reveals greater focus needed for mid-channel bar downstream from the Three Gorges Dam of the Yangtze River. Ecol. Indic. 2020, 111, 105950. [Google Scholar] [CrossRef]
  40. Nandi, K.K.; Kakati, R.; Dutta, S.; Khatua, K.K. Exploring the influence of vegetated mid-channel bar on flow and turbulence in bifurcated channels: An experimental approach. Adv. Water Resour. 2024, 189, 104727. [Google Scholar] [CrossRef]
  41. Kiraga, M.; Popek, Z. Using a Modified Lane’s Relation in Local Bed Scouring Studies in the Laboratory Channel. Water 2016, 8, 16. [Google Scholar] [CrossRef]
  42. Kiraga, M.; Popek, Z. Geometry Description of Local Scouring Process in Various Laboratory Water Structure Models. In Proceedings of the 36th International School of Hydraulics, Jachranka, Poland, 23–26 May 2017; Springer: Cham, Switzerland, 2017; pp. 245–258. [Google Scholar] [CrossRef]
Figure 1. Study area of the Wuhan reach in the Middle Yangtze River.
Figure 1. Study area of the Wuhan reach in the Middle Yangtze River.
Water 18 00630 g001
Figure 2. Temporal change of annual runoff and annual sediment load at the Hankou hydrometric station (1990–2019): The blue dashed line and red dashed line denote the variation trends of annual runoff and annual sediment load, respectively.
Figure 2. Temporal change of annual runoff and annual sediment load at the Hankou hydrometric station (1990–2019): The blue dashed line and red dashed line denote the variation trends of annual runoff and annual sediment load, respectively.
Water 18 00630 g002
Figure 3. Monthly runoff and sediment load at the Hankou hydrometric station.
Figure 3. Monthly runoff and sediment load at the Hankou hydrometric station.
Water 18 00630 g003
Figure 4. Morphological changes of Baishazhou bar during 1989–2020: (a) 4 December 1989, (b) 21 December 2001, (c) 13 December 2004, (d) 24 December 2008, (e) 26 November 2015, (f) 25 December 2020.
Figure 4. Morphological changes of Baishazhou bar during 1989–2020: (a) 4 December 1989, (b) 21 December 2001, (c) 13 December 2004, (d) 24 December 2008, (e) 26 November 2015, (f) 25 December 2020.
Water 18 00630 g004
Figure 5. Changes in mainstream and branch widths for Baishazhou bar (1989–2020): (a) width changes, (b) annual variation rate of width.
Figure 5. Changes in mainstream and branch widths for Baishazhou bar (1989–2020): (a) width changes, (b) annual variation rate of width.
Water 18 00630 g005
Figure 6. UAV images of Baishazhou bar: (a) panoramic view of the bar head in 2020, (b) right bank collapse in 2020, (c) close-up view of the bar head in 2020, (d) panoramic view of the bar head in 2021, (e) pocket collapse of the left bar body in 2021, (f) close-up view of the bar tail in 2021.
Figure 6. UAV images of Baishazhou bar: (a) panoramic view of the bar head in 2020, (b) right bank collapse in 2020, (c) close-up view of the bar head in 2020, (d) panoramic view of the bar head in 2021, (e) pocket collapse of the left bar body in 2021, (f) close-up view of the bar tail in 2021.
Water 18 00630 g006
Figure 7. Morphological changes of Tianxingzhou bar during 1989–2020: (a) 4 December 1989, (b) 5 December 1995, (c) 27 December 2003, (d) 24 December 2008, (e) 26 November 2015, (f) 25 December 2020.
Figure 7. Morphological changes of Tianxingzhou bar during 1989–2020: (a) 4 December 1989, (b) 5 December 1995, (c) 27 December 2003, (d) 24 December 2008, (e) 26 November 2015, (f) 25 December 2020.
Water 18 00630 g007
Figure 8. Impact of the protection project on the head shoreline of Tianxingzhou bar: (a) before protection works, (b) after protection works, (c) schematic diagram of protection works.
Figure 8. Impact of the protection project on the head shoreline of Tianxingzhou bar: (a) before protection works, (b) after protection works, (c) schematic diagram of protection works.
Water 18 00630 g008
Figure 9. Changes in dry-season exposed area of Tianxingzhou bar before and after protection works.
Figure 9. Changes in dry-season exposed area of Tianxingzhou bar before and after protection works.
Water 18 00630 g009
Figure 10. Comparison of the shorelines of Baishazhou bar and Tianxingzhou bar in 1989 and 2020: (a) Baishazhou bar, (b) Tianxingzhou bar.
Figure 10. Comparison of the shorelines of Baishazhou bar and Tianxingzhou bar in 1989 and 2020: (a) Baishazhou bar, (b) Tianxingzhou bar.
Water 18 00630 g010
Table 1. Information for selected Landsat remote sensing images.
Table 1. Information for selected Landsat remote sensing images.
DatasetAcquisition DatePath/RowDaily Mean Discharge * (m3/s)
Landsat 5 TM4 December 1989(123, 39)/ #
Landsat 5 TM21 December 2001(123, 39)10,700
Landsat 5 TM13 December 2004(123, 39)11,600
Landsat 5 TM24 December 2008(123, 39)11,900
Landsat 8 OLI26 November 2015(123, 39)20,500
Landsat 8 OLI25 December 2020(123, 39)12,800
Note: * Data was measured at the Hankou hydrometric station; # Insufficient data available.
Table 2. Indicator system for evaluating terrestrial habitat health on mid-channel bars.
Table 2. Indicator system for evaluating terrestrial habitat health on mid-channel bars.
Goal LayerCriterion LayerIndicator LayerIndicator Description
Terrestrial habitat health index of mid-channel bars (A)Natural attributes (B1)Exposure days of the water–land ecotone (C1)Number of days when the ecotone is exposed over 50%.
Diversity of terrestrial plant species (C2)Mainly based on terrestrial plant species observable in the field.
Diversity of terrestrial animal species (C3)Mainly based on terrestrial animal species observable in the field.
Vegetation cover (C4)Ratio of vegetated area to the total bar area.
Social attributes (B2)Rate of area change (C5)Reflects the magnitude of bar change and channel regime change, characterized by area change calculations.
Stability of protection works (C6)Evaluates erosion that has occurred for revetment/protection works, based on whether deformation or failure occurs along the bar margin.
Permeability of protection works (C7)Ratio of the unobstructed flow area within the protection works to the total protection-work area; used to evaluate ecological friendliness.
Water quality (C8)Water quality class (Class I–V) for the bar reach.
Table 3. Standard for terrestrial habitat health on mid-channel bars.
Table 3. Standard for terrestrial habitat health on mid-channel bars.
GradeVery HealthyHealthySub-HealthyUnhealthyMorbid
Score range[80, 100)[60, 80)[40, 60)[20, 40)[0, 20)
Table 4. Scoring standards for terrestrial habitat health indicators on mid-channel bars.
Table 4. Scoring standards for terrestrial habitat health indicators on mid-channel bars.
IndicatorScoring Standard
Exposure days of the water–land ecotone C1 (d)>150120–15090–120<900
Diversity of terrestrial plant species C2RichRelatively richModerateLowNone
Diversity of terrestrial animal species C3RichRelatively richModerateLowNone
Vegetation cover C4 (%)[75, 100][50, 75)[25, 50)(0, 25)0
Rate of area change C5 (%)[0, 1)[1, 5)[5, 10)[10, 15)[15, 100]
Stability of protection works C6StableBasically stableSecondarily unstableUnstableExtremely unstable
Permeability of protection works C7HighRelatively highModerateRelatively lowLow
Water quality C8Class IClass IIClass IIIClass IVClass V
Score interval[75, 100][50, 75)[25, 50)(0, 25)0
Table 5. Weights of indicators in the terrestrial habitat health evaluation system for mid-channel bars.
Table 5. Weights of indicators in the terrestrial habitat health evaluation system for mid-channel bars.
LevelItemAHP WeightEntropy WeightCombination Coefficients (α1*, α2*)Combined Weight
Criterion layerNatural attributes (B1)0.70000.6056α1* = 0.6296; α2* = 0.37040.6650
Social attributes (B2)0.30000.3944α1* = 0.6296; α2* = 0.37040.3350
Indicator layer (B1)Exposure days of the water–land ecotone (C1)0.30880.4210α1* = 0.6923; α2* = 0.30770.3433
Diversity of terrestrial plant species (C2)0.27460.27290.2741
Diversity of terrestrial animal species (C3)0.18660.11900.1658
Vegetation cover (C4)0.22990.18710.2167
Indicator layer (B2)Rate of area change (C5)0.35460.5635α1* = 0.6616; α2* = 0.33840.4253
Stability of protection works (C6)0.18460.09340.1537
Permeability of protection works (C7)0.27880.24240.2665
Water quality (C8)0.18200.10070.1545
Table 6. Terrestrial habitat health assessment of Baishazhou bar.
Table 6. Terrestrial habitat health assessment of Baishazhou bar.
Goal LayerCriterion LayerIndicatorIndicator ValueScoreCriterion ScoreHealth ClassOverall ScoreOverall Class
Baishazhou bar terrestrial habitat health indexNatural attributesExposure days of the water–land ecotone217 d95.0092.97Very healthy76.32Healthy
Diversity of terrestrial plant speciesRich90.00
Diversity of terrestrial animal speciesRich95.00
Vegetation cover92%92.00
Social attributesRate of area changeSignificant change043.26Sub-healthy
Stability of protection worksSecondarily unstable50.00
Permeability of protection worksHigh90.00
Water qualityClass II75.00
Table 7. Terrestrial habitat health assessment of Tianxingzhou bar.
Table 7. Terrestrial habitat health assessment of Tianxingzhou bar.
Goal LayerCriterion LayerIndicatorIndicator ValueScoreCriterion ScoreHealth ClassOverall ScoreOverall Class
Tianxingzhou bar terrestrial habitat health indexNatural attributesExposure days of the water–land ecotone193 d95.0091.14Very healthy72.81Healthy
Diversity of terrestrial plant speciesRich90.00
Diversity of terrestrial animal speciesRich95.00
Vegetation cover83.50%83.50
Social attributesRate of area changeSignificant change036.44Unhealthy
Stability of protection worksBasically stable75.00
Permeability of protection worksModerate50.00
Water qualityClass II75.00
Disclaimer/Publisher’s Note: The statements, opinions and data contained in all publications are solely those of the individual author(s) and contributor(s) and not of MDPI and/or the editor(s). MDPI and/or the editor(s) disclaim responsibility for any injury to people or property resulting from any ideas, methods, instructions or products referred to in the content.

Share and Cite

MDPI and ACS Style

Li, D.; Wang, X.; Wang, X.; Liu, C.; Li, Z. Differentiated Evolution of Two Mid-Channel Bars in the Middle Yangtze River’s Urban Reach: Coupled Drivers and Terrestrial Habitat Assessment. Water 2026, 18, 630. https://doi.org/10.3390/w18050630

AMA Style

Li D, Wang X, Wang X, Liu C, Li Z. Differentiated Evolution of Two Mid-Channel Bars in the Middle Yangtze River’s Urban Reach: Coupled Drivers and Terrestrial Habitat Assessment. Water. 2026; 18(5):630. https://doi.org/10.3390/w18050630

Chicago/Turabian Style

Li, Dong, Xuefeng Wang, Xiya Wang, Changbo Liu, and Zhiwei Li. 2026. "Differentiated Evolution of Two Mid-Channel Bars in the Middle Yangtze River’s Urban Reach: Coupled Drivers and Terrestrial Habitat Assessment" Water 18, no. 5: 630. https://doi.org/10.3390/w18050630

APA Style

Li, D., Wang, X., Wang, X., Liu, C., & Li, Z. (2026). Differentiated Evolution of Two Mid-Channel Bars in the Middle Yangtze River’s Urban Reach: Coupled Drivers and Terrestrial Habitat Assessment. Water, 18(5), 630. https://doi.org/10.3390/w18050630

Note that from the first issue of 2016, this journal uses article numbers instead of page numbers. See further details here.

Article Metrics

Back to TopTop