Next Article in Journal
Antibiotic Resistance in South African Wastewater Treatment Plants: A Narrative Review of WHO-Listed Critical Priority Enteric Bacteria
Previous Article in Journal
Negative Effects of Forest Extractivism on the Water Crisis in Rural Mapuche Territories: Mapuche Knowledge and Sociocultural Activities to Preserve Water
 
 
Font Type:
Arial Georgia Verdana
Font Size:
Aa Aa Aa
Line Spacing:
Column Width:
Background:
Article

Effects of Hook Angle and Length on Flow Dynamics in Hooked-Head Spur Dikes: A Numerical Study

College of Hydraulic and Architectural Engineering, Tarim University, Alar 843300, China
*
Author to whom correspondence should be addressed.
Water 2026, 18(4), 522; https://doi.org/10.3390/w18040522
Submission received: 15 January 2026 / Revised: 15 February 2026 / Accepted: 20 February 2026 / Published: 22 February 2026
(This article belongs to the Topic Hydraulic Engineering and Modelling)

Abstract

Hooked-head spur dikes are a specialized type of spur dike, where their geometry significantly influences flow diversion, sediment transport, and bank protection. This study establishes a three-dimensional numerical model utilizing the renormalization group (RNG) k-ε turbulence closure and the volume of fluid (VOF) method to explore the effects of hook angle (90°, 120°, and 150°) and hook-length ratio (L/D = 1/2, 1/3, and 1/4) on the flow structure surrounding a hooked-head spur dike. The study comprises nine simulation cases, and the distributions of mainstream velocity and turbulent kinetic energy (TKE) are analyzed. The results demonstrate that a hook angle of 120° yields the greatest increase in the mean dimensionless mainstream velocity (V*), corresponding to enhancements of 4.26% and 9.09% relative to the angles of 90° and 150°, respectively. When the hook angle is fixed at 120°, increasing the hook length enhances the mainstream velocity; specifically, at L/D = 1/2, the mean V* increases by 10.58% and 14.64% compared to at L/D = 1/3 and 1/4, respectively. Meanwhile, the TKE in the downstream recirculation zone decreases as either the hook angle or the hook length increases. At a hook angle of 90°, the mean dimensionless TKE (E*) is 8.80% and 10.65% higher than at 120° and 150°, respectively. For a fixed hook angle of 120°, the mean E* at L/D = 1/2 decreases by 3.46% and 9.35% compared to at L/D = 1/3 and 1/4, respectively. In summary, the appropriate selection of hook angle and hook length can effectively guide flow toward the channel center, increase conveyance capacity, and enhance hydraulic performance for river regulation.

1. Introduction

Spur dikes are commonly used structures for river training, designed to regulate channels, enhance navigation, and protect banks. By altering local flow directions, spur dikes can reshape channel morphology, reduce bank erosion, and improve conveyance capacity [1,2]. A hooked-head spur dike is a composite structure formed by attaching a longitudinal arm to the dike head [3]. This configuration combines the functions of a conventional spur dike (channel contraction, flow diversion, and sediment guidance) with those of a longitudinal guide wall that aligns the flow and limits bank erosion.
According to previous research, the flow field around a spur dike typically includes the following phenomena: (1) flow separation occurring upstream of the spur dike, (2) pressure gradients forming both upstream and downstream of the spur dike, driving the flow in the downstream direction, (3) formation of a horseshoe vortex at the base of the spur dike, (4) generation of wake vortices in the recirculation zone downstream of the spur dike, and (5) development of a separated shear layer between the tail of the recirculation zone behind the spur dike and the main flow region, which serves as the boundary where turbulent wake interacts with the smoother, faster-moving mainstream flow [2,4,5,6,7]. In recent years, researchers both domestically and internationally have achieved significant results in the study of spur dikes. Cheng Changhua et al. [8] conducted flume experiments to investigate how different hook angles and hook lengths influence the velocity distribution around the dike head. Fan Xinjian et al. [9] performed flume experiments using an Acoustic Doppler Velocimeter (ADV) to measure flow velocities around the dike under varying hook angles and lengths. The results indicate that as the hook angle increases, the flow velocity downstream of the dike gradually decreases, while turbulence intensity and turbulent kinetic energy increase. Additionally, the flow-retarding effect and uniformity of velocity distribution within the downstream region of the dike are significantly improved. Kang et al. [10] conducted laboratory experiments to study the effects of varying hook angles and hook lengths of hooked spur dikes on the surrounding flow. The results show that the size of the recirculation zone downstream of the spur dike increases with the length of the dike arm, and the upstream hooked spur dike has a stronger effect on increasing the mainstream velocity compared to the downstream spur dike. Zhang Ke et al. [11] performed flume experiments. They concluded that a straight-head spur dike aligned perpendicular to the flow has a greater influence on water surface profile variation than a hooked spur dike under the same alignment condition. Regarding the distribution of turbulence near the dike and in the downstream recirculation zone, longer dike lengths and smaller deflection angles lead to more significant effects. Jiang Huling et al. [12] investigated different flow-deflecting structures through flume tests. They found that among three structures—rectangular spur dike, trapezoidal spur dike, and rockfill dike—with the same occupation ratio in the flume, the rockfill dike had the least impact on the flow pattern. In contrast, the trapezoidal spur dike exhibited the strongest influence. Jeongsook Jeon et al. [13] studied the three-dimensional flow structure and turbulence mechanisms of non-submerged attached rectangular spur dikes with low length-to-depth ratios through flume experiments. A horseshoe vortex observed upstream of the dike interacted with the downstream recirculation zone, leading to increased lateral turbulent mixing. Lav Kumar Gupta [14], Ravi Prakash Tripathi [15], and Maryam Akbari [16] examined the effects of different spur dike dimensions and channel types on the flow structure and scour depth around T-shaped spur dikes. Alok Kumar et al. [17] conducted flume experiments to explore the fluctuating characteristics of near-bed turbulent structures around L-head spur dikes. Their findings indicate that as the length of the spur dike increases, the vertical Reynolds stress, turbulent kinetic energy, and bed shear stress within the wake region decrease accordingly. The contraction of the channel caused by the increased dike length generates relatively larger lateral and vertical velocity zones upstream of the dike, resulting in increased pressure on the dike foundation and a higher risk of local scour. Patel et al. [18] utilized flume experiments to analyze the influence of seepage velocity on bed morphology and flow patterns around L-shaped spur dikes while also conducting a comparative analysis of local scour depth under different seepage conditions.
Wei Wenli et al. [19] employed a gas–liquid two-phase mixture model and a large eddy simulation (LES) model to numerically investigate the three-dimensional hydraulic characteristics of flow around L-shaped spur dikes with different lengths of guide walls. The results indicate that when the length of the parallel guide wall equals the axial length of the dike body, the restriction effect on vortices is optimal. Jie Ren et al. [20] used numerical simulation methods to reveal the influences of channel contraction ratio (L/B), spur dike angle (θ), surface flow velocity (U), and hydraulic conductivity (K) on hyporheic exchange characteristics and thermal responses within the hyporheic zone. Abolfazl Nazari Giglou et al. [21] conducted numerical simulations of relevant channels and spur dikes from the Heltz laboratory using Flow-3D software. By applying the RNG turbulence model, they studied the turbulent flow field around angled spur dikes and the influence mechanisms of parameters such as inclination angle, hydraulic conditions, and sedimentation patterns. They concluded that increasing the inclination angle of the spur dike affects the dimensions of the deposition zone; when the inclination angle increases from 90° to 120°, the width and length increase by approximately 71% and 92%, respectively.
Xu Xiaoyang et al. [22] used OpenFOAM software with the realizable k-ε turbulence model. They validated the accuracy and applicability of the numerical model by comparing it with existing physical model test data. They studied the effects of different deflection angles and spacings of non-submerged deflecting spur dike groups on the flow field and turbulent kinetic energy. L. K. Gupta et al. [23] simulated the scour depth around a rectangular spur dike using FLOW-3D with a renormalization group (RNG) turbulence model and a nested grid structure combined with the van Rijn sediment transport model. The study compared the performance of three turbulence models—RNG, k-ε, and large eddy simulation (LES)—in predicting scour depth. The results show that the LES model overestimates scour depth compared to the k-ε and RNG models. Yanhong Chen et al. [24] and Li et al. [25] investigated the scouring mechanisms and flow characteristics around spur dikes using the large eddy simulation (LES) model. Their research primarily focused on the response of horizontal turbulence characteristics, including turbulent kinetic energy distribution and vorticity fields, in the disturbed flow field under different discharge conditions. The findings elucidate the flow field under separated flow conditions, turbulence statistics within the separated shear layer, and vortex structures, highlighting variations under different water depths. Mete Koken et al. [26] employed detached eddy simulation (DES) to study the influence of different dike lengths on the turbulent structures around a single vertical spur dike in a horizontal channel. They summarized the effects of variations in horseshoe vortex system structures, bed shear stress, and standard deviation of bed pressure under different dike lengths on turbulent structures. Although researchers both domestically and internationally have achieved substantial results in the study of spur dikes, research on the hydraulic characteristics around hooked spur dikes remains relatively limited. Although previous experimental studies, such as the works of Changhua Cheng [8] and Xinjian Fan et al. [9], have provided valuable insights into the flow characteristics around spur dikes, they largely relied on point measurements from flume experiments, which may constrain the comprehensive understanding of the complete three-dimensional flow field structure. In contrast, this study employs a three-dimensional numerical model that integrates the RNG k-ε turbulence model with the Volume of Fluid (VOF) method. This computational fluid dynamics (CFD) approach enables a detailed and holistic analysis of the flow field structure around a hooked spur dike, allowing for a complete depiction of flow phenomena such as recirculation zones and shear layers.
Computational Fluid Dynamics (CFD) has become an indispensable tool in hydraulic engineering, particularly for analyzing complex flow patterns around structures such as spur dikes. Compared to experimental methods like Particle Image Velocimetry (PIV), CFD offers a more cost-effective and flexible approach for systematically evaluating the effects of geometric variations. Moreover, CFD provides detailed insights into three-dimensional flow structures that are often difficult to capture experimentally. Leveraging these advantages, this study conducts a systematic assessment of the design parameters of hooked spur dikes, thereby addressing a gap in existing experimental studies, which are often limited to a narrow range of conditions [24,27].
Hooked spur dikes demonstrate favorable coordination and stability, effectively improving the flow structure around the dam body, thereby enhancing the navigable capacity and flood control capability of the river channel, and strengthening bank protection. They have been applied in river basins such as the Tarim River. In summary, current research methods for investigating the hydraulic characteristics of spur dikes include physical model experiments and numerical simulations. This study employs a three-dimensional numerical model based on the Renormalization Group (RNG) k-ε turbulence model. The model was first validated against flume experiment data obtained using Particle Tracking Velocimetry (PTV), showing good agreement between simulated and measured results. On this basis, nine experimental scenarios were established, with the hook angle and the hook-length ratio as control factors, to investigate the variation patterns of the flow structure around hooked spur dikes and analyze their hydraulic characteristics. The work aims to provide theoretical support for the parameter optimization design of hooked spur dikes in basins like the Tarim River, with the goals of optimizing channel morphology and protecting riverbanks, as well as establishing a theoretical basis for addressing sediment scour and deposition issues around spur dikes.

2. Research Methodology

2.1. Governing Equations for Numerical Simulation

2.1.1. Flow Governing Equations

The flow around a hooked spur dike features turbulent motion and a complex free surface, which places high demands on capturing the interaction between free surface evolution and turbulent structures in numerical simulations. The Volume of Fluid (VOF) method proposed by Hirt and Nichols [28], owing to its accuracy in tracking complex free interfaces, has been widely applied in two-phase or multiphase fluid mechanics and various engineering problems. Through geometric reconstruction strategies, this method can track free surfaces with high resolution. Based on this, the present study employs the VOF method to numerically simulate free-surface flow around the hooked spur dike. The Navier–Stokes equations serve as the governing equations for fluid motion, with a modified form of the classical continuity equation. In Cartesian coordinates, the expression of the continuity equation is as follows:
ρ t + ( ρ u i ) X i = 0
Navier–Stokes equation:
( ρ u i ) t + ( ρ u i u j ) X j = p X i + X j ( μ u i X j ρ u i ¯ u j ¯ ) + S i
In Equations (1) and (2), ρ is the fluid density, ui is the time-averaged velocity component in the i-th direction, p is the modified pressure, μ is the dynamic viscosity, ρ u i ¯ , u j ¯ denotes the Reynolds stress, and Si is a generalized source term.

2.1.2. Turbulence Model

The performance of various turbulence models in simulating flow characteristics in curved channels has been extensively compared in existing studies. For example, Gu et al. [27] evaluated the standard k-ε model, Reynolds Stress Model (RSM), and Large Eddy Simulation (LES) model. Balancing simulation accuracy and computational cost, they recommended the standard k-ε model under a Reynolds-averaged Navier–Stokes (RANS) framework for efficiently capturing the primary flow features around non-submerged spur dike groups. Furthermore, Gholami [29] experimentally demonstrated that the RNG k-ε model achieves higher accuracy in simulating the flow structure of river channels. In summary, the RNG k-ε model is well-suited for handling complex flows due to its improved capability in capturing flow separation and vortex structures. Therefore, the RNG k-ε turbulence model is adopted in this study [30,31,32,33]. As an enhancement of the standard k-ε model, it incorporates the nonlinear dissipation of the fluid and the turbulent energy transport process, thereby improving the model’s accuracy and reliability. The transport equations for turbulent kinetic energy and its dissipation rate are given as follows:
K T t + 1 V F ( u A x K T x + v A y K T y + w A z K T z ) = P T + G T + D I f f K T ε T
ε T t + 1 V F ( u A x ε T x + v A y ε T y + w A z ε T z ) = C D I S 1 ε T k T ( P T + C S I S 3 G T ) + D I f f ε C D I 2 ε T 2 k T
In Equations (3) and (4), KT denotes turbulent kinetic energy, where KT = 1/2( u ¯   ¯ ′2 + v ¯   ¯ ′2 + w ¯   ¯ ′2); VF is the water volume fraction; Ax, Ay and Az are the velocity components in the x, y, and z directions, respectively; and PT is the production term of turbulent kinetic energy.

2.2. Model Design

2.2.1. Model Setup and Case Configuration

This study aims to systematically elucidate the regulatory mechanisms and quantitative relationships between the hook angle and length of a hooked spur dike and their effects on the surrounding flow structure. Numerical simulation was employed as the core research methodology. By precisely defining the geometric configuration of the computational domain and the hydrodynamic boundary conditions, this approach enables strict separation and independent control of each variable, thereby effectively isolating and quantifying the hydrodynamic effects of individual parameters. Nine distinct working conditions were designed and computed in this study, facilitating a systematic analysis of the independent influence of each parameter under the principle of single-variable control. Such controlled numerical experiments are crucial for revealing underlying hydrodynamic mechanisms, which are difficult to achieve through traditional field observations or physical model experiments.
As shown in Figure 1 and Figure 2, the computational flume is 8 m long, 1 m wide, and 0.7 m high, with a bed slope of 0.001. The spur dike is located at the mid-reach on the left bank (Y = 0). The dike has an effective length of 0.3 m and a height of 0.4 m. The inlet is located 4 m upstream of the dike, and a constant discharge of 30 L/s is imposed (corresponding to an average inlet velocity of 0.3 m/s). The outlet boundary was set to a free outflow condition, and all remaining boundaries were modeled as solid walls. The coordinate system is oriented with the Y-axis aligned to the streamwise direction, the X-axis transverse to the flow, and the Z-axis vertical. Table 1 summarizes the nine simulation cases used to analyze the effects of hook angle and hook length ratio (L/D, where D is the main dike length) on the flow structure.
To enable comparison among cases, we non-dimensionalized the selected variables. We denote the transverse coordinate as Y. The dimensionless velocity V and turbulent kinetic energy E are defined as V* = V/V0 and E* = E/E0, where V and E represent the local flow velocity and turbulent kinetic energy with the dike installed, while V0 and E0 correspond to the mean inlet velocity and mean turbulent kinetic energy in the stabilized upstream flow, respectively.
This study employs a laboratory-scale numerical model to align with experimental validation. The CFD approach, however, permits extension to prototype conditions via similarity criteria (e.g., the Froude similarity criterion for free-surface flows). The use of the VOF method and a channel bed slope of 0.001 preserves Froude similarity, ensuring consistency in dimensionless parameters such as the Froude number. This supports the indirect extrapolation of the findings to engineering scales, though direct prototype-scale simulations are recommended for future work.

2.2.2. Boundary Conditions

The working fluid is water at 20 °C. The inlet boundary has a constant discharge of 30 L/s. The downstream boundary uses a pressure outlet, allowing water to discharge freely under atmospheric conditions (relative pressure = 0). No-slip conditions apply at the flume walls, and the model treats the free surface with a pressure boundary (relative pressure = 0) to represent exposure to air.

2.2.3. Mesh Generation and Independence Study

The grid-independence study employed five grid sizes (0.019, 0.017, 0.015, 0.013, and 0.011 m), evaluating the head loss and the relative error between successive meshes for each (Table 2). As the grid size decreases, the total number of cells increases, and the mass-balance error generally decreases. The largest relative error between two successive meshes is 2.94%, which satisfies the accuracy requirement. Considering both accuracy and computational cost, a grid size of 0.015 m is selected for subsequent simulations, corresponding to 1,182,600 cells.

3. Model Validation

3.1. Physical Model Parameters and Arrangement of Velocity Monitoring Points

To enhance the reliability of the numerical simulation results in this study, the simulated outcome for Case 1 was compared with flow velocity data obtained from a laboratory flume experiment. The experiment was conducted in a high-precision glass flume at the Hydraulic and Pump Station Laboratory, College of Water Conservancy and Architectural Engineering, Tarim University. The flume is 14 m long, 1 m wide, and 0.7 m high. A spur dike with a hook angle of 90° and a hook-length ratio of 1/2 was installed on the left bank, 7 m downstream from the inlet. The effective dike length, width, and height were 0.3 m, 0.05 m, and 0.4 m, respectively. The inflow discharge was set to 30 L/s. Surface velocities at five representative cross-sections were measured using a Particle Tracking Velocimetry (PTV) system.
The monitoring points are shown in Figure 3. The coordinate origin is defined at the intersection of the dike axis and the left flume wall. The Y-axis is aligned with the flow direction, and the X-axis is transverse to the flow. Five cross-sections were arranged along the channel: 1* is located 10 cm upstream of the dike, and 2*, 3*, 4*, and 5* are located 10, 30, 60, and 110 cm downstream of the dike, respectively. Each cross-section contains 13 measurement points. After the flow stabilized, tracer particles were introduced upstream, and a high-speed camera was used to record particle motion for subsequent velocity extraction.
Once the surface flow velocities were obtained, the turbulent kinetic energy (TKE) under experimental conditions was calculated using the following formula:
E = 1 2 V u 2 ¯ + V v 2 ¯ + V w 2 ¯
In Equation (5), E is the turbulent kinetic energy, and u′, v′ and w′ represent the instantaneous fluctuating velocities in the longitudinal, transverse, and vertical directions, respectively.

3.2. Comparative Analysis of Simulation and Experimental Results

A comparison between monitoring points in the physical experiment and the model results is presented in Figure 4. Figure 4a shows the validation of flow velocity by comparing simulation and experimental data, while Figure 4b illustrates the comparison of turbulent kinetic energy (TKE) in the turbulent region within the recirculation zone downstream of the spur dike. Sections 2* and 4* represent two characteristic cross-sections where turbulence features are most pronounced. Here, X denotes the distance from the monitoring point to the left bank, v* represents the ratio of the flow velocity along the Y-direction at the monitoring point to the average velocity at the stable inflow section, and E is the turbulent kinetic energy. The simulation results indicate that the theoretical method selected in the model performs well in simulating the flow field around the spur dike.
To quantify the agreement, the root-mean-square error (RMSE) and coefficient of determination (R2) were computed using Equations (6) and (7).
R M S E = 1 N ( O i S i ) 2 N
R 2 = 1 i = 1 N ( O i S i ) 2 i = 1 N ( O i O ¯ ) 2
In Equations (6) and (7), Oi denotes the measured value at point i, Si denotes the simulated value, N is the sample size, and O ¯ is the mean of the measured values.
Based on the comparison between measured and simulated velocity distributions at the five monitoring sections in Figure 4a and the comparison of turbulent kinetic energy (TKE) between experiment and simulation for 2* and 4* in Figure 4b, an in-depth analysis of the distribution patterns of the Root Mean Square Error (RMSE) and the coefficient of determination (R2) was conducted.
The velocity profile at Section 1 (10 cm upstream) shows the best agreement, with measured and simulated values nearly overlapping, which explains its lowest RMSE (0.116). However, due to the relatively uniform velocity distribution and low velocity variability at this section, its R2 value (0.891) is at a moderate level. The velocity curve at Section 2 (10 cm downstream) exhibits slight deviations in the near-bank region but follows the overall trend consistently, corresponding to balanced performance in both RMSE (0.144) and R2 (0.932). The velocity comparison at Section 3 (30 cm downstream) reveals noticeable discrepancies at the edge of the recirculation zone, particularly an underestimation of velocity in the region X = 0.2–0.4 m, which directly leads to its highest RMSE (0.199) and lowest R2 (0.856). The velocity profiles at Sections 4 and 5 indicate a gradual recovery of simulation accuracy with increasing distance, accompanied by corresponding improvements in the error metrics, reflecting the effectiveness of simulating the flow redevelopment process.
In the TKE comparison plot, it can be clearly observed that section 2* exhibits two fluctuations. This is because flow separation occurs at the dike head, leading to a corresponding increasing trend in TKE at that location.
Figure 5 presents the error analysis results between the simulation and experiment, quantifying the simulation accuracy through RMSE and R2. RMSE ranges from 0 to positive infinity, with smaller values indicating better model performance [34]. For R2, a value closer to 1 signifies smaller deviation between simulated and measured values and higher fitting accuracy [35]. As shown in Figure 5a, the RMSE values for the five monitoring sections range from 0.116 to 0.199, with a mean RMSE of 0.161, which is significantly lower than the experimental average. The R2 values range from 0.856 to 0.964, with a mean R2 of 0.917, exceeding 0.9. As shown in Figure 5b, the RMSE values for the two sections are 0.18 and 0.199, and the R2 values are 0.942 and 0.934, respectively. The mean R2 of 0.917 (>0.9) indicates satisfactory performance in simulating the flow field. This confirms that the model accurately simulates the flow around the hooked spur dike, thereby ensuring the reliability of the parameter analysis in Section 4.

4. Results and Analysis

4.1. Influence of Hook Angle on Flow Velocity Distribution

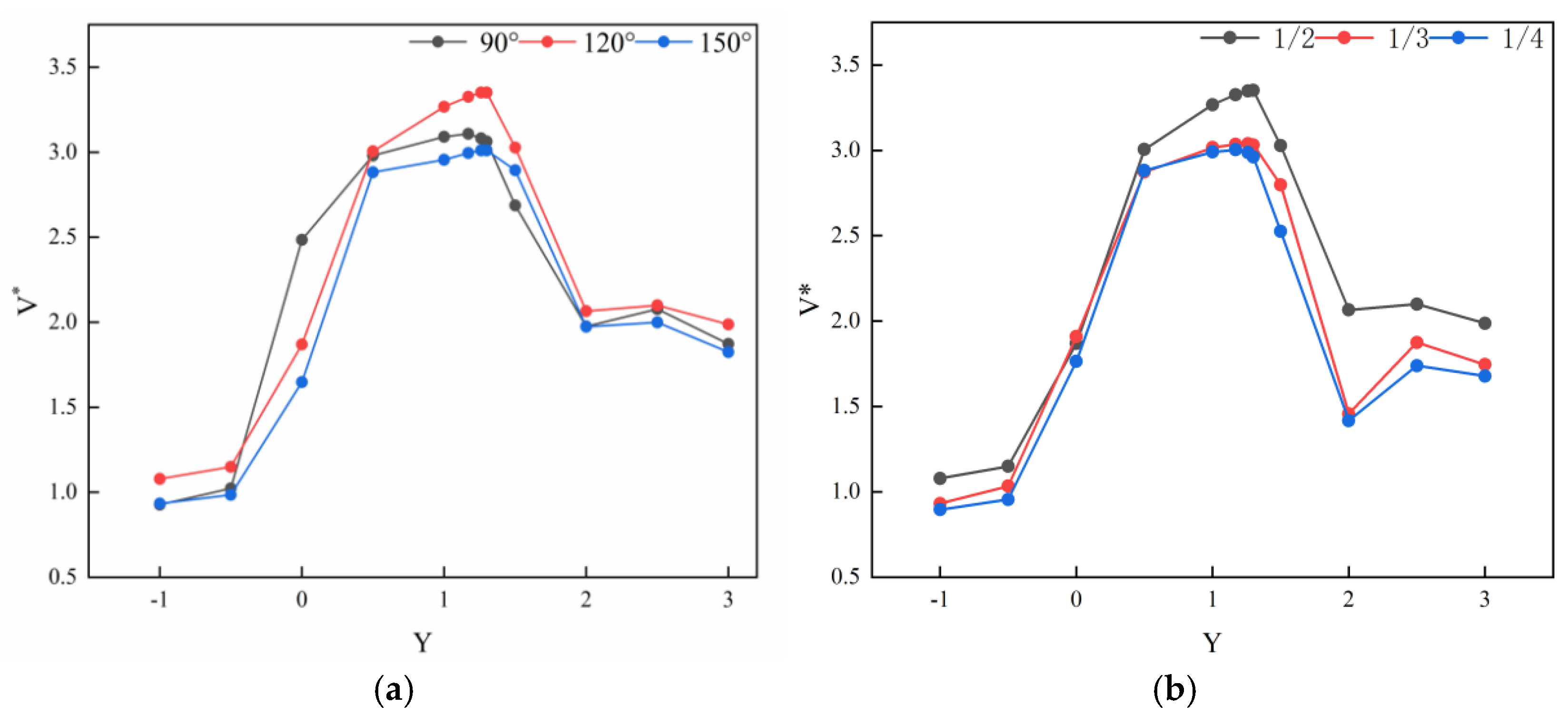
Figure 6 shows the longitudinal velocity distribution near the bed (Z = 0.11 m) under different conditions. Figure 7a presents the dimensionless streamwise velocity V* at X = 0.5 m for different hook angles, which is used to quantify the influence of hook angle on mainstream velocity.
When the hook angle is 90° (Cases 1–3), the mainstream deflects at the dike head, with streamlines showing a distinct bend while maintaining a relatively straight overall pattern. This configuration efficiently guides the flow toward the channel center, achieving high flow-guiding efficiency, albeit with a noticeable disturbance to the original flow pattern. A moderately sized, regularly shaped elliptical low-velocity zone forms downstream of the dike. This recirculation zone provides a certain degree of sediment-promoting capacity and relatively stable flow conditions, thereby contributing to bank protection. In the corner region of the dike head and at the interface between the mainstream and the recirculation zone, the contour lines are dense, indicating the presence of a shear layer accompanied by energy dissipation and a potential risk of local scour.
At a hook angle of 120° (Cases 4–6), the spur dike strongly deflects the mainstream toward the center of the channel, resulting in streamlines with high curvature that exhibit a “lifting-and-settling” pattern. This leads to significant flow disturbance and energy dissipation. On the inner side of the hook, a large-scale, well-defined, crescent-shaped, low-velocity zone forms, which effectively protects the riverbank.
When the hook angle is 150° (Cases 7–9), the mainstream flows very smoothly around the dike head, with streamlines having a large radius of curvature and a natural form that shows the smallest deviation from the original flow direction. The resulting recirculation zone is noticeably smaller than that in the 120° cases. Due to weaker flow separation, the generated vortex structures are of a smaller scale. The overall flow field shows the smoothest color transition with sparse contour lines. The velocity gradient is low, and shear effects are weak, achieving a flow regime characterized by low turbulence and minimal energy consumption.
As shown in Figure 7a, for a hook-length ratio of L/D = 1/2, the longitudinal velocity along the flow direction at cross-section X = 0.5 exhibits significant variation with the hook angle. In the main flow core region (near Y ≈ 1), the 120° hooked spur dike produces the highest velocity peak. This indicates its most pronounced flow-deflection effect, concentrating the flow more efficiently toward the channel center. This occurs because a smaller hook angle creates a more sharply curved structure, enhancing both flow-blocking and flow-deflection capabilities. The obtuse geometry of the 120° hook delays flow separation near the dike head, reducing energy loss. Based on Bernoulli’s principle, this allows the main flow to contract more effectively toward the channel center, thereby generating the highest velocity peak. The 90° (perpendicular) hooked spur dike yields a secondary velocity peak, reflecting its balanced flow-guiding characteristics. This results from the guide wall parallel to the flow, which allows the main flow to stabilize more quickly. The right-angle geometry of the 90° hook induces earlier flow separation, generating medium-scale vortices that dissipate part of the kinetic energy, leading to a moderate velocity peak. In contrast, the 150° hooked spur dike produces the lowest velocity peak, and its velocity curve shows a gentler rise and decline. This is because a larger hook angle makes the dike structure flatter, weakening both its flow-blocking and flow-deflection effects. The overly large angle of the 150° hook increases the flow attachment length along the structure, resulting in significant wall-friction losses and the highest degree of energy dispersion, which explains its minimum velocity peak.
As illustrated in Figure 6 and Figure 7a, when the hook angle is obtuse, a more curved dike exerts a greater influence on the flow, resulting in higher velocities in the mainstream region and a gradual downstream shift of the maximum velocity location. The L-shaped spur dike (90° hook angle) affects flow velocity to an extent that lies between the 120° and 150° cases. Its parallel guide wall causes the flow to quickly align with the channel downstream after passing the dike head, resulting in a weaker deflecting effect compared to the 120° hook angle and consequently lower flow velocities.
In the vicinity of the dike axis (−0.5 ≤ Y ≤ 0), the flow velocity for the L-shaped dike increases rapidly, with a faster growth rate than the other two hook angles. This is because the flow is obstructed upstream of the dike, undergoes a rapid deflection at the dike head of the L-shaped spur dike, and then moves parallel to the channel and guide wall. In contrast, for the other two hook angles, the deflection at the dike head is more gradual, as the flow adheres more smoothly to the dike body and is deflected toward the channel center by the hooked portion, resulting in a slower velocity increase in this region compared to the L-shaped dike. In the range 0 ≤ Y ≤ 1.5, the growth rate for the L-shaped dike is significantly slower than for the two obtuse hook angles. This is because, under the influence of the L-shaped dike, the flow moves parallel to the guide wall and the channel downstream without a strong deflecting effect, maintaining a relatively stable flow state after passing the dike head. For the other two hooked spur dikes, the flow velocity increases more rapidly in this range because after being deflected by the dike head, the flow converges toward the channel center and mixes with the mainstream, leading to a faster velocity increase.
Comparing the average longitudinal velocity at cross-section X = 0.5 m under the influence of the dike, when α = 120°, the average V* increases by 4.26% and 9.09% compared to the 90° and 150° cases, respectively. This indicates that the hook angle significantly affects the flow velocity in the mainstream region around the dike. At a right-angle hook (90°), the mainstream velocity lies between the three hook angles, suggesting a moderate influence on the flow among the three cases. For the other two hook angles, the mainstream velocity increases as the hook angle decreases.

4.2. Influence of Hook Length on Flow Velocity Distribution

Figure 7b shows the dimensionless streamwise velocity V* at X = 0.5 m for different hook-length ratios under a constant hook angle of 120°, illustrating the effect of hook length on mainstream velocity.
For a hook-length ratio (L/D) of 1/2, the velocity distribution exhibits a high degree of uniformity, with the mainstream velocity maintaining a relatively high level. The overall flow field demonstrates stable flow characteristics. In contrast, for hook-length ratios of 1/3 and 1/4, significant velocity attenuation is observed within the flow field, accompanied by intensified flow separation. This is particularly evident in the downstream region, where a marked decrease in velocity further reduces the stability of the flow field. These results indicate that shorter hook lengths lead to more pronounced velocity attenuation and increased flow field instability.
Figure 7b shows the distribution of the dimensionless velocity V* along the flow direction (Y) at cross-section X = 0.5 m for a hook angle of 120° with L/D ratios of 1/2, 1/3, and 1/4. A clear difference in the influence of the hook-length ratio on the mainstream velocity is evident. For L/D = 1/2, the velocity curve reaches the highest peak (V* ≈ 3.3) within the interval 1 ≤ Y ≤ 2, and the velocity decay after the peak is relatively gradual. This indicates that a longer hook length can effectively sustain higher mainstream velocities and promote smoother velocity variations, contributing to better flow stability. This suggests that a greater hook length can more efficiently guide and concentrate the flow, deflecting the mainstream energy more effectively toward the channel center, resulting in the strongest flow-deflecting effect. In comparison, for L/D = 1/3, although the peak velocity is slightly lower (V* ≈ 3.0), the velocity decay is significantly more pronounced, especially in the region Y > 2, where the velocity drops rapidly, indicating a stronger velocity gradient. This implies that a shorter hook length weakens the energy transfer and diffusion capacity within the mainstream. For L/D = 1/4, the peak velocity further decreases to V* ≈ 2.9, and the velocity decay trend becomes even more significant, with a further reduction in the ability to maintain mainstream velocity. This outcome occurs because an increase in hook length improves the dike’s flow-guiding performance. With a longer hook, the flow can deflect earlier, adjusting its direction and reducing head loss, thereby increasing the flow’s kinetic energy and resulting in higher velocities. Downstream of the mainstream region (Y > 1.0), velocities begin to decline in all cases, indicating a gradual dissipation of flow energy as it propagates downstream.
Further analysis reveals that the effect of hook length on enhancing mainstream velocity follows the pattern of “increasing with hook length.” A longer hook (e.g., L/D = 1/2) not only significantly raises the peak mainstream velocity but also effectively slows the rate of velocity decay, thereby improving the uniformity and stability of the flow field. A long hook facilitates more efficient transfer and diffusion of fluid kinetic energy, which is particularly advantageous in engineering applications requiring high flow field stability. In contrast, when the hook-length ratio is reduced to 1/3 and 1/4, the decrease in peak velocity and the intensified velocity decay indicate limited kinetic energy transfer capacity, leading to a more disturbed and unstable flow field, especially in the downstream region where velocities decrease substantially and flow characteristics become more complex.
Therefore, this study demonstrates that under a hook angle of 120°, when L/D = 1/2, the average V* in the mainstream region increases by 10.58% and 14.64% compared to the cases with L/D = 1/3 and 1/4, respectively. This indicates that increasing the hook length can significantly enhance the mainstream velocity, leading to a notable improvement in the channel’s flow environment. A longer hook can maintain higher velocities over a greater spatial extent, reduce flow separation and recirculation, and thereby optimize fluid transport efficiency.

4.3. Influence of Hook Angle on Turbulent Kinetic Energy Downstream of the Dike

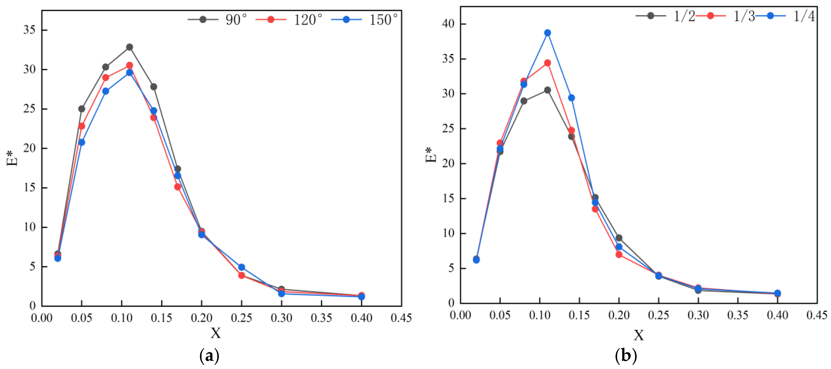
In fluid dynamics, the irregular motion of a fluid induced by external obstacles generates complex and unpredictable energy known as “turbulent kinetic energy.” The production of turbulent kinetic energy is closely related to flow field disturbances and energy diffusion. This energy exhibits a non-uniform spatial distribution and is primarily concentrated in the core regions of vortices. In this study, turbulent kinetic energy mainly occurs in the recirculation zone downstream of the dike, and its distribution directly affects flow stability and mixing efficiency. Figure 8 presents the distribution of turbulent kinetic energy at the near-bed section (Z = 0.11 m) under different test conditions. Figure 9 illustrates the lateral distribution of turbulent kinetic energy along the cross-section Y = 0.5 m under the influence of varying hook angles and hook lengths, providing a detailed analysis of how these parameters affect turbulent kinetic energy downstream of the dike.
Cases 1, 4, and 7 in Figure 8 and Figure 9a show the distribution of turbulent kinetic energy downstream of the dike for different hook angles (90°, 120°, and 150°) at the same hook length. These aim to explore the mechanisms by which different hook angles influence the generation and spread of turbulent kinetic energy, particularly its variation within the recirculation zone downstream of the dike.
As seen in Figure 8, turbulent kinetic energy under all cases initiates from the dike head and is primarily concentrated in the recirculation zone downstream of the dike. The location of maximum turbulent kinetic energy coincides with the region of strongest vortex generation in the recirculation zone. From Cases 1, 4, and 7, it can be observed that as the hook angle increases, both the intensity and spatial extent of turbulent kinetic energy in the recirculation zone gradually decrease.
Case 1 (90° hook angle) exhibits the highest intensity and widest distribution of turbulent kinetic energy. The energy is concentrated over a large area within the recirculation zone, and its decay with downstream distance is relatively slow. This indicates that the L-shaped spur dike induces strong vortices in the recirculation zone, fully exciting turbulence generation and turbulent kinetic energy propagation. The turbulent kinetic energy is not only widely distributed but also of high intensity, suggesting more vigorous fluid disturbance under this condition, allowing turbulence to persist over a longer distance. In contrast, Case 4 (120° hook angle) shows a reduction in turbulent kinetic energy intensity compared to Case 1, along with a contraction of its distribution. Although turbulent kinetic energy is still present, its spread is limited, and its generation in the recirculation zone becomes less pronounced. This suggests that a larger hook angle begins to suppress the generation and expansion of turbulent kinetic energy, gradually weakening fluid disturbance and reducing its propagation capacity within the recirculation zone. In Case 7 (150° hook angle), the intensity of turbulent kinetic energy is the lowest, and it hardly extends to the middle and lower parts of the recirculation zone. The turbulent kinetic energy remains confined near the entrance of the recirculation zone and decays rapidly, and almost no energy is transmitted to the downstream part of the flow field. The larger hook angle leads to a further reduction in disturbance after the flow passes the bend, significantly inhibiting turbulence generation and preventing effective propagation of turbulent kinetic energy within the recirculation zone. The decay rate of turbulent kinetic energy increases, fluid mixing capacity declines noticeably, and energy transfer in the recirculation zone is suppressed.
Figure 9a shows the lateral distribution of E* at Y = 0.5 m for different hook angles. The peak E* occurs near the center of the recirculation zone (X < 0.3), corresponding to the location of the strongest vortical motion, whereas E* remains relatively stable in the mainstream region (X > 0.3). The mean E* is highest for α = 90° and decreases as the hook angle increases, indicating that a sharper bend promotes stronger separation and turbulence production downstream of the dike.

4.4. Influence of Hook Length on Turbulent Kinetic Energy Downstream of the Dike

Figure 8 (Cases 4–6) and Figure 9b illustrate how hook length affects turbulent kinetic energy in the downstream recirculation zone under a constant hook angle of 120°.
As observed in Cases 4, 5, and 6 in Figure 8, the intensity of turbulent kinetic energy in the recirculation zone gradually increases as the hook length decreases. Concurrently, the spatial extent of this energy expands.
Case 4 (Hook-length ratio L/D = 1/2): In this scenario, the intensity of turbulent kinetic energy is the weakest, and its distribution within the recirculation zone is the most confined. The longer hook length restricts the generation and spread of turbulent kinetic energy, resulting in a narrower spatial distribution in the recirculation zone. As the flow passes the longer hook, turbulence generation is suppressed, leading to relatively poor mixing capability in this zone.
Case 5 (Hook-length ratio L/D = 1/3): Compared to the 1/2 ratio, the intensity of turbulent kinetic energy is somewhat enhanced, and its distribution range is expanded. Although the distribution remains somewhat limited, the intensity is increased. The shorter hook length provides more space for turbulent kinetic energy generation, allowing it to spread within the recirculation zone with a marked increase in strength.
Case 6 (Hook-length ratio L/D = 1/4): Under this condition, the turbulent kinetic energy intensity is the strongest, and its distribution within the recirculation zone is the most extensive. The shortest hook length offers the greatest space for generation, enabling turbulent kinetic energy to fully develop and propagate throughout the recirculation zone. The intensity is highest and almost uniformly distributed, indicating that a shorter hook length significantly enhances both the generation and spread of turbulent kinetic energy.
Comparing the average turbulent kinetic energy across this cross-section, when the hook-length ratio is 1/2, the mean E* decreases by 3.46% and 9.35% compared to the ratios of 1/3 and 1/4, respectively. As the hook length decreases from 1/2 to 1/4, both the intensity and spatial distribution of turbulent kinetic energy in the recirculation zone increase substantially. Shorter hook lengths provide more space for turbulent kinetic energy to fully generate and expand, enhancing both its intensity and the fluid mixing capacity. Conversely, longer hook lengths constrain the generation and spread of turbulent kinetic energy, resulting in weaker turbulence in the recirculation zone. This clearly demonstrates the positive role of the hook structure in regulating flow stability downstream of the spur dike.

5. Conclusions

This study used three-dimensional numerical simulations to investigate how the hook angle and hook length of a hooked-head spur dike affect the mainstream velocity and turbulent kinetic energy distributions. The main findings are summarized as follows:
(1)
The hook angle exerts a significant influence on the mainstream velocity. When the hook angle α = 120°, flow separation is effectively delayed, reducing energy loss. Based on Bernoulli’s principle, the flow contraction toward the channel center is optimized, resulting in an average dimensionless velocity V* that is 4.26% and 9.09% higher than those for α = 90° and 150°, respectively. For cases where α ≥ 90°, increasing the hook angle leads to a reduction in mainstream velocity. Under a fixed hook angle (α = 120%), increasing the hook length enhances the mainstream velocity: when the length-to-width ratio L/D = 1/2, the average V* increases by 10.58% and 14.64% compared to cases with L/D = 1/3 and 1/4, respectively.
(2)
The turbulent kinetic energy within the downstream recirculation zone decreases with an increase in either the hook angle or the hook length. When the hook angle α = 90°, the average dimensionless turbulent kinetic energy E* is 8.80% and 10.65% higher than that when α = 120° and 150°, respectively. Under the condition of α = 120°, the average E* of a length-to-width ratio L/D = 1/2 is reduced by 3.46% and 9.35% compared to that of L/D = 1/3 and 1/4, respectively. As the hook angle increases or the length-to-width ratio rises, the suppression of vortex generation in the recirculation zone leads to a weakening of turbulence intensity.
(3)
Along the streamwise direction, mainstream velocity generally increases to a peak and then decreases downstream. The maximum velocity occurs approximately 1.5 m downstream of the dike, followed by a gradual decay and a minor secondary increase. Turbulent kinetic energy is primarily generated within the downstream recirculation zone, and its maximum occurs near the vortex core, whereas turbulent kinetic energy in the mainstream region remains relatively stable.
Finally, this study has provided a systematic analysis of the hydrodynamic effects of hooked-head spur dikes, yet certain limitations should be acknowledged. The primary constraints involve the simplification of sediment transport processes, which were not included in the numerical model, and the focused range of geometric parameters (hook angles of 90°, 120° and 150°; hook-length ratios L/D of 1/2, 1/3 and 1/4). While these choices enabled a controlled investigation of the fundamental flow mechanisms, they restrict the direct assessment of long-term morphological changes and may not encompass the full spectrum of configurations encountered in specialized river training scenarios.
Notwithstanding these limitations, the present work establishes a crucial hydrodynamic baseline and a validated numerical framework. The insights into velocity and turbulent kinetic energy distributions offer key inputs for subsequent studies. Future research should prioritize integrating sediment transport modules to quantify scour and deposition patterns. Furthermore, extending the parameter space to include acute angles, larger length ratios, and a wider range of hydraulic conditions would greatly enhance the generalizability and practical impact of the findings for river management applications.

Author Contributions

Conceptualization, Y.Q. and Y.L.; methodology, C.N.; software, C.N. and Y.Q.; validation, C.N. and Y.Q.; formal analysis, L.L. and Y.L.; data curation, C.N. and Y.Q.; writing—original draft preparation, C.N.; writing—review and editing, L.L. and Y.Q.; supervision, L.L. All authors have read and agreed to the published version of the manuscript.

Funding

This research was partially funded by National Natural Science Foundation of China (Grant No. 51969028) and the Major Science and Technology Research Project of Xinjiang Production and Construction Corps (Grant No. 2018AA003).

Data Availability Statement

The data used in this study are available upon request from the corresponding author.

Acknowledgments

The constructive comments and suggestions of the anonymous reviewers and the editors are gratefully acknowledged.

Conflicts of Interest

The authors declare no conflicts of interest.

Abbreviations

Vlocal flow velocity with the dike
V0mean inlet velocity in the stabilized region
Elocal turbulent kinetic energy after the dike is installed
E0mean turbulent kinetic energy in the stabilized inlet flow
V*The ratio of the local flow velocity at the measurement point to the mean inlet velocity in the stabilized region
E*The ratio of the local turbulent kinetic energy at the measurement point to the mean inlet turbulent kinetic energy in the stabilized region

References

  1. Nandhini, D.; Murali, K.; Harish, S.; Schüttrumpf, H.; Heins, K.; Gries, T. A state-of-the-art review of normal and extreme flow interaction with spur dikes and its failure mechanism. Phys. Fluids 2024, 36, 051301. [Google Scholar] [CrossRef]
  2. Patel, H.K.; Arora, S.; Lade, A.D.; Kumar, B.; Azamathulla, H.M. Flow behaviour concerning bank stability in the presence of spur dike–A review. Water Supply 2023, 23, 237–258. [Google Scholar] [CrossRef]
  3. Hu, X.Y.; Liao, Y.D. Channel Regulation, 2nd ed.; People’s Communication Press: Beijing, China, 2017. [Google Scholar]
  4. Pandey, M.; Ahmad, Z.; Sharma, P.K. Scour around impermeable spur dikes: A review. ISH J. Hydraul. Eng. 2018, 24, 25–44. [Google Scholar] [CrossRef]
  5. Acharya, A.; Duan, J.G. Three dimensional simulation of flow field around series of spur dikes. In Proceedings of the World Environmental and Water Resources Congress: Bearing Knowledge for Sustainability, Palm Springs, CA, USA, 22–26 May 2011; pp. 2085–2094. [Google Scholar]
  6. Safarzadeh, A.; Salehi, N.; Seyed, A.A.; Zarrati, A.R. Experimental investigation on 3D turbulent flow around straight and T-shaped groynes in a flat bed channel. J. Hydraul. Eng. 2016, 142, 04016021. [Google Scholar] [CrossRef]
  7. Misuriya, G.; Eldho, T.I.; Mazumder, B.S. Turbulent flow field around a cylindrical pier on a gravel bed. J. Hydraul. Eng. 2023, 149, 04023040. [Google Scholar] [CrossRef]
  8. Cheng, C.H.; Liu, J.X. The Influence of Spur Length Ratio on the Scouring and Deposition Characteristics at the Dam Head. J. Chongqing Jiaotong Univ. 1994, 3, 75–82. [Google Scholar]
  9. Fan, X.; Li, Z.; Pang, C.; Hou, H.; Cheng, Y. Research on the effects of hook-angle and length on the structure of water flow around permeable spur dike. Adv. Eng. Sci. 2026, 58, 57–67. [Google Scholar] [CrossRef]
  10. Kang, J.; Yeo, H.; Kim, S.; Ji, U. Permeability effects of single groin on flow characteristics. J. Hydraul. Res. 2011, 49, 728–735. [Google Scholar] [CrossRef]
  11. Zhang, K. Study on Flow Characteristics of Different Structural Types of Spur Dikes. Ph.D. Thesis, Chongqing Jiaotong University, Chongqing, China, 2012. [Google Scholar]
  12. Jiang, H.L.; Zhang, J.; Zeng, L.; Zhu, Y.; Zhou, J.X.; Zhao, H.X. Experimental study on hydraulic characteristics of flowing water under different flow-around structures. J. Hydrodyn. Res. Prog. (Ser. A) 2019, 34, 637–644. [Google Scholar]
  13. Jeon, J.; Lee, J.Y.; Kang, S. Experimental investigation of three-dimensional flow structure and turbulent flow mechanisms around a nonsubmerged spur dike with a low length-to-depth ratio. Water Resour. Res. 2018, 54, 3530–3556. [Google Scholar] [CrossRef]
  14. Gupta, L.K.; Eldho, T.I.; Raj, P.A. Temporal evolution of scour depth and hydrodynamics around T-shaped spur dikes. Phys. Fluids 2025, 37, 086626. [Google Scholar] [CrossRef]
  15. Tripathi, R.P.; Pandey, K.K. Numerical investigation of flow field around T-shaped spur dyke in a reverse-meandering channel. Water Supply 2022, 22, 574–588. [Google Scholar] [CrossRef]
  16. Akbari, M.; Vaghefi, M.; Chiew, Y.M. Effect of T-shaped spur dike length on mean flow characteristics along a 180-degree sharp bend. J. Hydrol. Hydromech. 2021, 69, 98–107. [Google Scholar] [CrossRef]
  17. Kumar, A.; Ojha, C.S.P. Effect of different compositions in unsubmerged L-head groynes to mean and turbulent flow characteristics. KSCE J. Civ. Eng. 2019, 23, 4327–4338. [Google Scholar] [CrossRef]
  18. Patel, H.K.; Qi, M.; Kumar, B. Downward seepage effects on flow near a L-shape spur dike and bed morphology. Int. J. Sediment Res. 2024, 39, 194–208. [Google Scholar] [CrossRef]
  19. Wei, W.L.; Shao, S.P.; Liu, Y.L. Three-dimensional large eddy simulation of hydraulic characteristics of L-shaped spur dike flow. J. Wuhan Univ. (Eng. Ed.) 2015, 48, 145–151. [Google Scholar]
  20. Ren, J.; Zhuang, T.; Wang, F.; Dai, J.; Wang, J. Hyporheic exchange law driven by spur dikes: Numerical modeling. J. Hydrol. 2023, 618, 129203. [Google Scholar] [CrossRef]
  21. Giglou, A.N.; Mccorquodale, J.A.; Solari, L. Numerical study on the effect of the spur dikes on sedimentation pattern. Ain Shams Eng. J. 2018, 9, 2057–2066. [Google Scholar] [CrossRef]
  22. Xu, X.Y.; Xia, J.Q.; Zhou, M.R.; Li, D.Y. Calculation of flow characteristics around non-submerged spur dike groups. China Rural. Water Conserv. Hydropower 2025, 1–15, in press. [Google Scholar]
  23. Gupta, L.K.; Pandey, M.; Raj, P.A. Numerical modeling of scour and erosion processes around spur dike. CLEAN–Soil Air Water 2023, 53, 230–235. [Google Scholar] [CrossRef]
  24. Chen, Y.H.; Lu, Y.; Yang, S.T.; Mao, J.Q.; Gong, Y.Q.; Muhammad, W.I.; Yin, S.D. Numerical investigation of flow structure and turbulence characteristic around a spur dike using large-eddy simulation. Water 2022, 14, 3158. [Google Scholar] [CrossRef]
  25. Li, Y.T.; Wai, W.H.O.; Zhan, J.M.; Hu, W.Q.; Yan, X.F. Evolution of three-dimensional flow field and vortex structures around a single spur dike during the scouring process. J. Hydraul. Eng. 2024, 150, 04023057. [Google Scholar] [CrossRef]
  26. Koken, M.; Gogus, M. Effect of spur dike length on the horseshoe vortex system and the bed shear stress distribution. J. Hydraul. Res. 2015, 53, 196–206. [Google Scholar] [CrossRef]
  27. Gu, Z.; Cao, X.; Jiao, Y.; Lu, W.Z. Appropriate CFD models for simulating flow around spur dike group along urban riverways. Water Resour. Manag. 2016, 30, 4559–4570. [Google Scholar] [CrossRef]
  28. Hirt, C.W.; Nichols, B.D. Volume of fluid (VOF) method for the dynamics of free boundaries. J. Comput. Phys. 1981, 39, 201–225. [Google Scholar] [CrossRef]
  29. Gholami, A.; Akbar Akhtari, A.; Minatour, Y.; Bonakdari, H.; Javadi, A.A. Experimental and numerical study on velocity fields and water surface profile in a strongly-curved 90 open channel bend. Eng. Appl. Comput. Fluid Mech. 2014, 8, 447–461. [Google Scholar] [CrossRef]
  30. Salaheldin, T.M.; Imran, J.; Chaudhry, M.H. Numerical modeling of three-dimensional flow field around circular piers. J. Hydraul. Eng. 2004, 130, 91–100. [Google Scholar] [CrossRef]
  31. Daneshfaraz, R.; Ghaderi, A.; Azali, A.; Kuriqi, A. Enhancing hydraulic efficiency in Denil fishway: Impact of baffle configurations on flow. ACS EST Water 2025, 5, 1295–1309. [Google Scholar] [CrossRef]
  32. Ahmadi, M.; Kuriqi, A.; Nezhad, H.M.; Ghaderi, A.; Mohammadi, M. Innovative configuration of vertical slot fishway to enhance fish swimming conditions. J. Hydrodyn. 2022, 34, 917–933. [Google Scholar] [CrossRef]
  33. Mirkhorli, P.; Ghaderi, A.; Sanami, F.A.; Mohammadi, M.; Kuriqi, A.; Kisi, O. An investigation on hydraulic aspects of rectangular labyrinth pool and weir fishway using FLOW-3D. Arab. J. Sci. Eng. 2024, 49, 6061–6087. [Google Scholar] [CrossRef]
  34. Xie, Y.; Batlle-Aguilar, J. Limits of heat as a tracer to quantify transient lateral river-aquifer exchanges. Water Resour. Res. 2017, 53, 7740–7755. [Google Scholar] [CrossRef]
  35. Quinino, R.C.; Reis, E.A.; Bessegato, L.F. Using the coefficient of determination R2 to test the significance of multiple linear regression. Teach. Stat. 2013, 35, 84–88. [Google Scholar] [CrossRef]
Figure 1. Plan view of the computational domain.
Figure 1. Plan view of the computational domain.
Water 18 00522 g001
Figure 2. Schematic diagram of the flume and spur dike model.
Figure 2. Schematic diagram of the flume and spur dike model.
Water 18 00522 g002
Figure 3. Layout of velocity monitoring points in the physical experiment.
Figure 3. Layout of velocity monitoring points in the physical experiment.
Water 18 00522 g003
Figure 4. Comparison of measured and simulated velocity distributions: (a) Comparison of velocity profiles; (b) Comparison of turbulent kinetic energy distributions.
Figure 4. Comparison of measured and simulated velocity distributions: (a) Comparison of velocity profiles; (b) Comparison of turbulent kinetic energy distributions.
Water 18 00522 g004
Figure 5. Error metrics (RMSE and R2) for the five monitoring sections: (a) Error analysis of simulated velocities; (b) Error analysis of simulated turbulent kinetic energy.
Figure 5. Error metrics (RMSE and R2) for the five monitoring sections: (a) Error analysis of simulated velocities; (b) Error analysis of simulated turbulent kinetic energy.
Water 18 00522 g005
Figure 6. Longitudinal velocity distribution in a typical near-bed cross-section (Z = 0.11 m) under different conditions.
Figure 6. Longitudinal velocity distribution in a typical near-bed cross-section (Z = 0.11 m) under different conditions.
Water 18 00522 g006
Figure 7. Dimensionless streamwise velocity V* at X = 0.5 m: (a) effect of hook angle at L/D = 1/2; (b) effect of hook length at α = 120°.
Figure 7. Dimensionless streamwise velocity V* at X = 0.5 m: (a) effect of hook angle at L/D = 1/2; (b) effect of hook length at α = 120°.
Water 18 00522 g007
Figure 8. Distribution of turbulent kinetic energy in typical cross-sections under different conditions.
Figure 8. Distribution of turbulent kinetic energy in typical cross-sections under different conditions.
Water 18 00522 g008
Figure 9. Lateral distribution of dimensionless turbulent kinetic energy E* at Y = 0.5 m: (a) effect of hook angle at L/D = 1/2; (b) effect of hook length at α = 120°.
Figure 9. Lateral distribution of dimensionless turbulent kinetic energy E* at Y = 0.5 m: (a) effect of hook angle at L/D = 1/2; (b) effect of hook length at α = 120°.
Water 18 00522 g009
Table 1. Operating conditions for the numerical simulations.
Table 1. Operating conditions for the numerical simulations.
CaseHook Angle (α, °)Hook-Length Ratio (L/D)Hook Length, L (m)Main Dike Length, D (m)
1901/20.150.3
2901/30.10.3
3901/40.0750.3
41201/20.120.24
51201/30.0860.257
61201/40.0670.267
71501/20.1050.209
81501/30.0780.233
91501/40.0620.247
Table 2. Grid-independence results.
Table 2. Grid-independence results.
Grid Size (m)Number of CellsHead LossError Rate (%)
0.019577,3320.1703
0.017825,2400.1654−2.94
0.0151,182,6000.1612−2.65
0.0131,823,4200.16643.13
0.0112,944,8000.1575−5.63
Disclaimer/Publisher’s Note: The statements, opinions and data contained in all publications are solely those of the individual author(s) and contributor(s) and not of MDPI and/or the editor(s). MDPI and/or the editor(s) disclaim responsibility for any injury to people or property resulting from any ideas, methods, instructions or products referred to in the content.

Share and Cite

MDPI and ACS Style

Ning, C.; Li, L.; Qian, Y.; Lu, Y. Effects of Hook Angle and Length on Flow Dynamics in Hooked-Head Spur Dikes: A Numerical Study. Water 2026, 18, 522. https://doi.org/10.3390/w18040522

AMA Style

Ning C, Li L, Qian Y, Lu Y. Effects of Hook Angle and Length on Flow Dynamics in Hooked-Head Spur Dikes: A Numerical Study. Water. 2026; 18(4):522. https://doi.org/10.3390/w18040522

Chicago/Turabian Style

Ning, Congyi, Lin Li, Yuhao Qian, and Yongxin Lu. 2026. "Effects of Hook Angle and Length on Flow Dynamics in Hooked-Head Spur Dikes: A Numerical Study" Water 18, no. 4: 522. https://doi.org/10.3390/w18040522

APA Style

Ning, C., Li, L., Qian, Y., & Lu, Y. (2026). Effects of Hook Angle and Length on Flow Dynamics in Hooked-Head Spur Dikes: A Numerical Study. Water, 18(4), 522. https://doi.org/10.3390/w18040522

Note that from the first issue of 2016, this journal uses article numbers instead of page numbers. See further details here.

Article Metrics

Back to TopTop