Abstract
Traditional bioretention systems have limited nitrogen and phosphorus removal capacity and insufficient operational stability. To address this issue, this study developed an iron-carbon bioretention system (IB) with varying submerged zone heights. The system’s performance in removing pollutants was systematically evaluated under different rainfall intensities, influent pollutant concentrations, and antecedent drying durations. In addition, the potential nitrification ability (PNA) of the substrate, denitrifying enzyme activity (DEA), and phosphorus species were analyzed to reveal the mechanisms responsible for its efficient nitrogen and phosphorus removal. The results showed that a submerged zone height of 400 mm enabled the IB system to achieve removal rates of 98.05% for -N and 91.67% for total nitrogen (TN). The removal rates of total phosphorus (TP) and chemical oxygen demand (COD) remained stable at over 91% and 92%, respectively. The submerged zone also created a stable anoxic environment, while the iron-carbon micro-electrolysis process continually consumed dissolved oxygen and provided Fe2+ as an electron donor, enhancing both the denitrification process and chemical phosphorus removal. Furthermore, the IB system demonstrated superior stability when dealing with high hydraulic and pollutant loads, as well as varying dry periods, with the effluent iron concentration maintained at low levels. This study confirms that iron-carbon micro-electrolysis and the incorporation of a submerged zone can significantly enhance the removal performance of bioretention systems, offering a reference for addressing nitrogen and phosphorus pollution in urban stormwater runoff.
1. Introduction
With the rapid development of urbanization, large areas of impervious surfaces have replaced the original underlying surfaces, resulting in increased surface runoff volume [1]. Simultaneously, during rainfall events, the surface runoff carries a significant amount of pollutants, forming initial stormwater runoff with substantial pollution loads [2]. Studies have shown that nitrogen and phosphorus are the main contributors to stormwater runoff pollution [3,4]. Excessive concentrations of nitrogen and phosphorus can lead to water eutrophication, odor problems, and other water quality issues [3,4]. To effectively control stormwater runoff and its pollution at the source, low-impact development concepts and technologies have been widely promoted and applied both domestically and internationally [5]. Bioretention systems, with their flexible design, relatively small footprint, high landscape integration, and ability to simultaneously control runoff volume and improve water quality, have become an essential component of urban stormwater management systems [6,7].
Although bioretention systems are effective in removing suspended solids and some heavy metals, their removal of dissolved pollutants such as nitrogen and phosphorus is unstable, and their performance is susceptible to external environmental factors [6,8]. In terms of nitrogen removal, traditional systems primarily operate in aerobic conditions, which favor the nitrification of ammonia nitrogen to nitrate nitrogen. However, the lack of a stable and sustained anoxic environment prevents the reduction of nitrate nitrogen to nitrogen gas through denitrification, leading to the accumulation of nitrate nitrogen, which is then discharged with the effluent. This results in a reduced total nitrogen removal rate and, in some cases, even a “nitrate leaching” phenomenon, where the effluent concentration exceeds the influent concentration [9]. Regarding phosphorus removal, the process mainly relies on the limited adsorption and coordination reactions of the substrate (e.g., sand, soil) with phosphate. However, the adsorption capacity can become saturated, leading to unstable phosphorus removal efficiency during long-term operation and the potential risk of phosphorus desorption and release [10].
To overcome these limitations, researchers have sought to enhance the removal performance of bioretention systems through substrate modification and structural optimization [2,3,4,11]. Substrate modification aims to improve system performance by incorporating functional materials. For instance, zero-valent iron (ZVI) has been introduced as an electron donor to promote denitrification [12]. Biochar, with its high specific surface area and porous structure, can enhance pollutant adsorption and provide a carrier for microbial biofilms [13]. In terms of structural optimization, studies have shown that incorporating an internal submerged zone at the bottom of the system is an effective strategy to enhance denitrification [3]. Zhang et al. reported that bioretention systems equipped with a submerged zone significantly improved -N removal [14]. Palmer et al. observed that introducing a submerged zone in bioretention cells increased nitrate removal efficiency from 33% to 71% [15]. Similarly, Wang et al. found that under a 600 mm submerged zone, -N removal increased from −23% to 62% [16]. The submerged zone creates a stable anoxic and anaerobic environment in the middle and lower parts of the system, which is essential for driving the denitrification process. Additionally, the submerged zone prolongs hydraulic retention time, providing a longer window for sufficient contact between pollutants and substrates as well as for microbial metabolism.
However, bioretention systems face complex and variable rainfall conditions, and their treatment efficiency is significantly influenced by factors such as rainfall intensity, influent pollutant concentration, and antecedent drying duration [17]. These conditions can affect the interactions between pollutants, substrates, and microorganisms, reducing pollutant removal efficiency and increasing the production of by-products. For example, longer antecedent drying durations may lead to the leaching of organic matter and phosphorus from woodchip-based bioretention systems [18,19]. Heavy rainfall may reduce the contact time between pollutants, media, and microorganisms, thereby affecting pollutant treatment [19,20]. Previous studies have found that adding pyrite and biochar can mitigate the impact of rainfall conditions on bioretention facilities [21,22]. However, research on the interaction between these factors and the flooded zone remains scarce. If the height is insufficient, a stable anoxic zone cannot be formed. If the height is too high, it may excessively inhibit aerobic nitrification in the upper layers and result in increased risks of secondary pollution due to excessive anaerobic conditions. Therefore, studying the impact of submerged zone height on system performance under actual rainfall conditions is essential for optimizing the bioretention system.
In recent years, micro-electrolysis technology using iron-carbon as a medium has garnered significant attention. Iron-carbon micro-electrolysis (Fe/C-ME) spontaneously generates hydroxyl radicals, atomic hydrogen, and iron (II) within iron and carbon, forming numerous microscopic galvanic cells that can stably and rapidly supply electrons to denitrifying bacteria [23,24]. Numerous studies have employed Fe/C-ME to accelerate [H]/H2 and Fe2+ production, thereby enhancing autotrophic denitrification processes involving H2 and Fe2+ [25,26]. Furthermore, the incorporation of biochar not only reduces dissolved oxygen (DO) levels but also improves water retention capacity, pollutant retention efficiency, and increases both the contact time and surface area between pollutants and the substrate [27]. In summary, iron-carbon micro-electrolysis technology has demonstrated promising results in studies on nitrogen and phosphorus removal.
Therefore, this study aims to investigate the impact of submerged zone height on the overall performance of iron-carbon bioretention systems in treating typical urban stormwater runoff. The focus will be on examining the system’s adaptability and stability under varying rainfall intensities, influent concentrations, and antecedent drying duration conditions. Additionally, the study will analyze nitrogen transformation in the substrate (including potential nitrification ability and denitrifying enzyme activity) and phosphorus species conversion. The findings will systematically elucidate the synergistic mechanism between submerged zone height and iron-carbon substrate, providing scientific evidence and practical guidance for the design and optimization of bioretention systems.
2. Materials and Methods
2.1. Establishment of Bioretention System
The gravel, zeolite, and quartz sand used in the experiment were purchased from Shengfeng Environmental Technology Co., Ltd. in Nanjing, Jiangsu, China. The natural river sand was sourced from a local building materials market, with a particle size distribution is 1–5 mm. The biochar selected was bamboo charcoal, purchased from Runjia Water Treatment Materials Co., Ltd. in Gongyi City, Henan Province, China. The particle size is 2–5 mm, with a specific surface area of 450 m2/g, a cation exchange capacity of 65.34 cmol/kg, and an organic carbon content of 81.36%. The iron material used was waste iron filings, the iron content is more than 95%, the average length is 5–10 mm, and the width is 1–3 mm. The soil used was sandy soil from the campus.
Acrylic cylindrical columns were selected as the main structure for the bioretention system experimental devices. Three types of column-based bioretention systems were set up: iron-carbon-based bioretention system (IB), traditional sand-based bioretention system (TB), and biochar-based bioretention system (CB). A schematic diagram of the bioretention system is shown in Figure 1. The main structure of the device consists of an organic glass cylindrical column with an inner diameter of 200 mm and a height of 1000 mm, with a wall thickness of 5 mm. The inner surface of the column was roughened to prevent wall flow phenomena. The overall structure of the device, from bottom to top, includes a 100 mm drainage layer, a 50 mm transition layer, a 500 mm media layer, a 250 mm planting soil layer, a 50 mm water storage layer, and a 50 mm excess-height layer. To prevent soil and media material from seeping downward, zeolite is added above and below the media layer. The structure and substrate composition of the bioretention system are detailed in Table S1. Geotextiles were placed in each layer to prevent the loss of substrates, which could affect effluent water quality. A perforated collection pipe was placed at the bottom of the drainage layer to facilitate drainage, with hole diameters of 2 mm. The effluent pipe extends upward to form an outlet, creating submerged zones of varying heights. A PVC perforated pipe with a height of 75 cm and a diameter of 4 cm was placed in the center of the device for collecting samples from different substrate layers. Four sampling ports were set along the vertical direction of the external wall of each device for substrate sampling.
Figure 1.
Schematic diagram of the three bioretention systems and their structures. IB stands for iron-carbon-based bioretention system. TB stands for traditional sand-based bioretention system. CB stands for biochar-based bioretention system. A, B, C, and D represent the drainage layer, transition layer, media layer, and planting soil layer, respectively. 1#, 2#, 3#, and 4# are the four sampling ports located on the sides of the system.
After the installation of the bioretention columns, a preliminary flushing was conducted using tap water for 3 h daily over a period of 2 weeks to wash off any residual impurities from the surface of the substrates. To accelerate the maturation of microorganisms in the system and stabilize its performance, activated sludge from the secondary settling tank of the Xigu Sewage Treatment Plant in Lanzhou was used for a 3-month inoculation and cultivation process. During the inoculation period, the bioretention systems were fed with pre-configured rainwater for 6 h each day, and effluent water quality was monitored. It was observed that a biofilm had formed on the surface of the substrate, and the effluent water quality remained stable, indicating successful microbial inoculation and enabling subsequent stormwater runoff experiments [28].
2.2. Simulated Stormwater Runoff
The total simulated stormwater runoff calculation is given by Equation (1):
where is the facility’s flooded area in m2, which is 0.628 m2; is the runoff coefficient, set at 0.9; and is the rainfall depth. Detailed calculations and explanations related to stormwater runoff are provided in Text S1.
NH4Cl, KNO3, KH2PO4, and C6H12O6 were used to prepare the stormwater runoff concentrations. The concentrations of stormwater runoff pollutants may be influenced by factors such as the underlying surface type and air quality. In this study, based on previous research [29,30,31], three concentration gradients, low, medium, and high, were selected for the stormwater runoff concentrations, as shown in Table 1. Prior to each experiment, 150 L of tap water was added to a PE plastic barrel and allowed to stand for more than 24 h to eliminate residual chlorine that could potentially affect the microorganisms. One hour before the experiment, the tap water was stirred to simulate the high dissolved oxygen (DO) concentrations typically found in real stormwater runoff. The prepared pollutant stock solution was then added and stirred to ensure uniform mixing [21]. The prepared stormwater was delivered through a peristaltic pump and evenly distributed onto the top of the bioretention columns using a water distribution nozzle. When the influent flow rate changed according to rainfall conditions, the peristaltic pump was recalibrated.
Table 1.
The three influent pollutant concentrations designed in this study.
2.3. Experimental Process and Sampling
2.3.1. Experimental Process
The submerged zone heights of the device were set to 0, 250, and 400 mm, as shown in Figure 1. For each submerged zone height, three different rainfall conditions were designed, considering varying rainfall intensities, influent concentrations, and antecedent drying durations. For rainfall intensity, three different intensities were applied: 6.97 mm/h, 13.29 mm/h, and 16.22 mm/h. To assess the tolerance of the bioretention columns under different pollutant concentrations, four sets of bioretention columns were operated under low, medium, and high concentrations, respectively. To investigate the effect of antecedent drying duration (ADD) on the bioretention columns, three drying periods were designed: 1 day, 3 days, and 10 days (i.e., the duration from the end of the previous simulated rainfall event to the start of the next). Under each submerged zone, each system underwent 9 rainfall events under three different rainfall conditions, with three replicates for each event. Each system conducted a total of 81 experiments across the three submerged zones. Detailed experimental information for each submerged zone is provided in Table 2. When altering the stormwater runoff experimental conditions, the bioretention system was run 3 times prior to the next rainfall event to stabilize the system. The systems used batch influent, meaning that inflow and outflow occurred simultaneously during each batch, and no drainage was conducted until the next batch of inflow.
Table 2.
The simulated rainfall event under each submerged zone.
2.3.2. Water and Media Sampling
A 30 L water bucket was connected to the effluent outlet of each device to collect the effluent water quality. When the rainfall duration was reached, the pump was stopped. After observing no significant outflow, the effluent in the bucket was mixed uniformly, and 250 mL of the effluent was collected for water quality analysis.
For substrate sampling, after the rainfall experiments in each submerged zone, all bioretention systems were run for 3 days under the conditions of a rainfall intensity of 13.29 mm/h, a rainfall duration of 120 min, and an antecedent drying duration of 3 days to ensure system stability. Substrate samples were then collected. For each set of systems, the mixed media from media layers #1 and #2 are designated as upper layer samples (IB1, TB1, CB1), while those from layers #3 and #4 are designated as lower layer samples (IB2, TB2, CB2). Three replicate samples were collected from each sampling port. Three replicate samples were collected from each sampling port. Three samples were collected at each sampling port. To ensure uniformity in sampling, substrate samples were taken from the same height at different sampling ports using the central sampling tube, and the samples were then mixed into the corresponding sample containers. After collection, the samples were processed and analyzed within 24 h following different pretreatment methods.
2.4. Water and Media Analysis
Water samples were filtered through a 0.22 µm filter membrane and analyzed within 24 h. ORP was measured using a multifunctional pH meter (PHSJ-6L, Shanghai Yidian Scientific Instrument Co., Ltd., Shanghai, China). DO was determined using a multifunctional dissolved oxygen meter (HQ30d, Hach Water Quality Analysis Instrument Co., Ltd., Shanghai, China). -N was measured using the Nessler’s reagent spectrophotometric method. -N was analyzed using UV spectrophotometry. -N was determined using the N-(1-naphthyl)-ethylenediamine colorimetric method. Total Fe (TFe) and Fe2+ were measured using the o-phenanthroline spectrophotometric method. COD was determined by rapid digestion with a COD digester (LH-A66, Beijing Lianhua Yongxing Technology Development Co., Ltd., Beijing, China) and spectrophotometry. TN was measured using alkaline potassium persulfate digestion followed by UV spectrophotometry. TP was analyzed using ammonium molybdate spectrophotometry. All of these pollutants were measured using a UV-1800 UV spectrophotometer (UV-1800, Shimadzu Corporation, Tokyo, Japan).
The collected substrate samples were further homogenized and divided for the measurement of the potential nitrification ability (PNA), denitrifying enzyme activity (DEA), and phosphorus content under different submerged zone conditions. The method for determining potential nitrification ability is provided in Supplementary Materials Text S2, the method for measuring denitrifying enzyme activity is given in Supplementary Materials Text S3, and the method for determining the phosphorus content in different substrate types is outlined in Supplementary Materials Text S4.
2.5. Data Statistics and Analysis
When measuring water samples, if any measured parameter value is below the detection limit, half of the detection limit is taken as the test value. Any calculated parameter value less than 0 is recorded as 0. The average removal concentration of pollutants from the three replicates for each rainfall event was calculated, and the average concentration was used to determine the pollutant removal rate. Data analysis was performed using IMB SPSS Statistics 27 software (version 27.0) with t-tests and one-way ANOVA to statistically analyze the differences between water quality parameters. A p-value of <0.05 was considered statistically significant. Graphs were generated using Origin Pro 2021 software.
3. Results and Discussion
3.1. The Effect of Rainfall Conditions on Pollutant Removal Efficiency
3.1.1. Effect of Rainfall Intensity
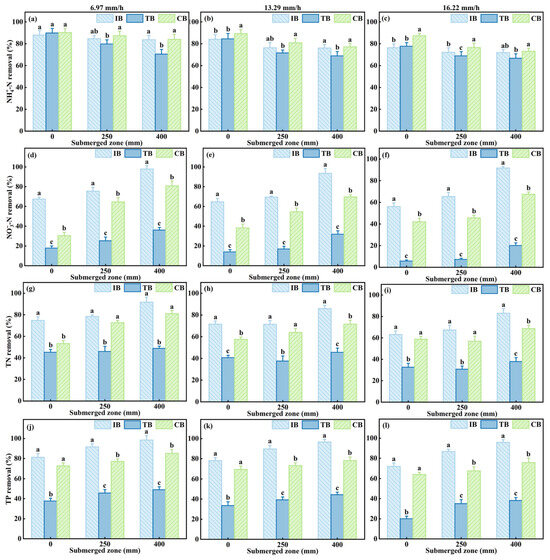
The removal efficiency of soluble pollutants by the three bioretention systems under different submerged zone heights is shown in Figure 2. Under all conditions, the three bioretention systems exhibited high removal rates for -N (Figure 2a–c). The removal rates for the IB, TB, and CB systems are 71.94–87.92%, 66.71–89.84%, and 73.12–90.24%, respectively. Compared to the 0 mm submerged zone, the TB system showed a significant decrease in ammonia nitrogen removal, dropping from 89.84% (0.41 mg/L) at 0 mm submerged zone to 66.71% (1.35 mg/L) at 400 mm submerged zone, while the other two systems maintained relatively stable removal performance. Additionally, as the rainfall intensity increased, the removal rates for IB, TB, and CB decreased by 11.72%, 12.13%, and 10.92%, respectively, with no significant decrease observed for CB at the 0 mm submerged zone (0.40–0.50 mg/L). At the 0 mm submerged zone, the system exhibited good permeability, and the substrate contained sufficient oxygen (Figure S3a). However, as the rainfall intensity and hydraulic load increased, the -N adsorbed by the substrate was flushed out, leading to a decrease in removal efficiency. In the 250 mm and 400 mm submerged zones, the oxygen content in the substrate remained relatively high (Figure S3a), and at this point, -N was converted to -N through adsorption and microbial nitrification. This result is consistent with previous studies [32]. Figure 2d–f show the -N removal rates under different rainfall conditions. For all systems, increasing the submerged zone height significantly improved the -N removal rate, and this trend was consistent across different rainfall intensities. The IB system showed the most significant improvement. Under the highest rainfall intensity (16.22 mm/h), its removal rate increased from 56.11% (2.66 mg/L) to 91.66% (0.50 mg/L). With the optimized design of IB at 400 mm submerged zone, when the rainfall intensity increased from 6.97 mm/h to 16.22 mm/h, the removal rate decreased by only 6.4%, demonstrating a high resistance to hydraulic load. The TB system showed an improvement, but its removal rate remained relatively low. Under a rainfall intensity of 16.22 mm/h, as the submerged zone increased from 0 mm to 400 mm, the removal rate only increased by 14.37%, much lower than the other two systems. The IB system, through the synergistic effect of iron-carbon micro-electrolysis, continuously consumed dissolved oxygen and maintained anoxic conditions under high water flow impact. Furthermore, the Fe2+ produced by micro-electrolysis acted as an efficient and resistant electron donor, directly participating in the denitrification process. This is also reflected in the effluent ORP (Figure S4a), where the ORP values of all systems gradually decreased with the increase in submerged zone height, and the IB system showed the lowest effluent ORP. This indicates a higher reduction capacity, which enhanced the denitrification ability of the system. The primary function of the submerged zone is to create and maintain a stable anoxic environment for the denitrification process [33]. The higher submerged zone (400 mm) effectively isolates atmospheric reoxygenation through the water layer, significantly extending the hydraulic retention time and providing a favorable environment for denitrification. Meanwhile, the saturated environment promotes the mineralization and release of endogenous organic carbon in the substrate, providing a stable electron donor for the denitrifying microbial community. Additionally, the formation of an anoxic environment by biochar facilitates microbial attachment and proliferation, while also providing a carbon source for denitrification, further promoting heterotrophic denitrification by microorganisms.
Figure 2.
Removal rate of (a–c) -N, (d–f) -N, (g–i) TN, and (j–l) TP by bioretention systems under different submerged zone depths and rainfall intensities. If three error bars beneath each submerged zone display different letters, this indicates significant differences (p < 0.05) between groups.
The removal of TN by the three systems under all rainfall intensities followed a trend similar to that of -N, with the removal efficiency increasing as the submerged zone depth increased (Figure 2g–i). Under the 400 mm submerged zone condition, the IB system maintained a high removal rate, which decreased only from 91.67% to 83.07%, demonstrating a strong resistance to hydraulic load impacts. The CB system, at the 250 mm submerged zone, showed a considerable fluctuation in removal efficiency, with its removal rate decreasing from 72.62% to 56.91% as rainfall intensity increased, indicating that its performance was more susceptible to hydraulic load impacts. The TB system exhibited the lowest and continually decreasing removal rates, remaining relatively low under all rainfall conditions. The removal of TN is the result of the combined actions of nitrification, denitrification, and adsorption. With the increase in submerged zone height, nitrification capacity weakened, while denitrification capacity improved, leading to an enhancement in TN removal performance. This indicates that denitrification plays a greater role in nitrogen removal compared to nitrification. Therefore, during the nitrogen removal process in bioretention systems, more attention should be given to the denitrification of -N. The 400 mm submerged zone significantly improved TN removal, which is consistent with the results for -N removal.
Figure 2j–l show the removal efficiency of TP under different rainfall intensities. In the IB system, the removal rate increased significantly with the submerged zone depth, outperforming the other two systems at all intensities. Under the optimized 400 mm submerged zone condition, the removal rate decreased slightly from 98.48% (0.03 mg/L) to 95.84% (0.08 mg/L). Under high rainfall intensity, the removal rate improved dramatically, increasing from 71.90% at 0 mm to 95.84% at 400 mm, significantly higher than the other systems. As the submerged zone depth increased, the facility’s water retention capacity improved, while permeability decreased, which favored the proliferation of phosphorus-accumulating bacteria, thus enhancing phosphorus removal [34]. Fe(OH)3 and Fe(OH)2 generated by iron reactions adsorbed phosphorus in the influent, and Fe3+ further formed complexes with phosphorus, precipitating it. The presence of biochar strengthened phosphorus adsorption. A deeper submerged zone (400 mm) provided longer reaction times and a more stable environment, increasing the contact opportunities between phosphorus and biochar, thereby facilitating the complete removal of phosphorus.
Increasing the height of the submerged zone significantly affects the COD removal efficiency of the bioretention system (Figure S1a–c). The IB exhibited the highest removal efficiency, with a removal rate of 91.26% (5.61 mg/L). In comparison, the COD removal rates for the CB and TB systems were 64.04% and 50.07%, respectively. As rainfall intensity increased, all three systems showed varying degrees of decline. Under non-submerged conditions, the IB system’s removal rate decreased by 16.72%, the CB system dropped by 22.16%, and the TB system decreased by 16.10%. Notably, under a 400 mm submerged zone depth, the IB system’s removal rate remained relatively stable, with only an 8.67% decline, demonstrating its excellent resistance to shock loading. The increased submerged zone depth extended the hydraulic retention time, providing more time for microbial degradation and chemical oxidation, while also promoting the formation of alternating anaerobic and aerobic environments, which enhances the synergistic action of various microorganisms. The increased hydraulic load caused by higher rainfall intensity not only shortened the effective reaction time but may also have washed away adsorbed organic matter and biofilms, thereby reducing treatment efficiency. The IB, due to its chemical and biological synergistic effects, displayed better adaptability to changes in hydraulic conditions. Regarding the effluent UV254 (Figure S2a), when no submerged zone or a low submerged zone height was present, the UV254 values were relatively low. In this case, the organic matter in the effluent likely consisted mainly of untreated COD from the influent, which was released during discharge. As the submerged zone height increased, microbial activity was stimulated, accelerating microbial metabolism, and resulting in the release of organic matter from microbial metabolism and cell death. Additionally, biochar itself may release carbon sources, leading to an increase in UV254 in the effluent. It is noteworthy that the IB consistently maintained lower effluent UV254 values, likely due to the dominance of autotrophic denitrification in the denitrification process.
3.1.2. Effect of Influent Concentration
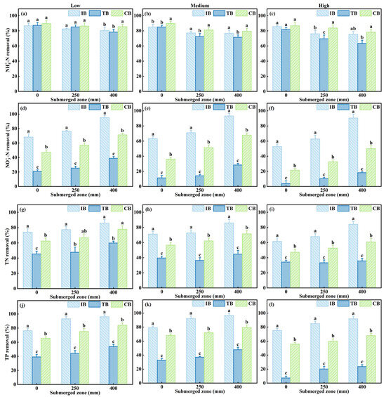
Due to variations in climate, land cover, and initial rainfall wash-off effects across different regions, the concentration of pollutants in stormwater can fluctuate. Therefore, we set up rainwater runoff with different influent concentrations to investigate the impact on the performance of bioretention systems under various submerged zone depths. The pollutant removal efficiency of bioretention systems at different submerged zone depths under varying influent concentrations is shown in Figure 3.
Figure 3.
Removal rate of (a–c) -N, (d–f) -N, (g–i) TN, and (j–l) TP by the bioretention system under different submerged zone depths and influent concentrations. If three error bars beneath each submerged zone display different letters, this indicates significant differences (p < 0.05) between groups.
As shown in Figure 3a–c, for the IB group, the -N removal rate slightly decreased with increasing influent concentration when the submerged zone was at 0 mm (from 86.64% to 85.63%). As the submerged zone depth increased, the removal rate significantly declined, especially at medium and high influent concentrations. The TB group exhibited the highest removal rate (87.16% (0.27 mg/L)) under no submerged zone (0 mm), but the rate sharply decreased as the submerged zone height increased, dropping to 63.43% (2.96 mg/L) at high influent concentrations. The CB group demonstrated the most stable performance among the three systems, particularly under the 0 mm and 250 mm submerged zone depths, where the removal rate remained above 80%. Under the 400 mm submerged zone and high influent concentrations, the removal rate was still maintained at 78.23% (1.76 mg/L), outperforming the IB and TB groups. With increasing influent concentration and submerged zone depth, the effluent dissolved oxygen (DO) decreased (Figure S3b). At low to medium concentrations, the influent DO was sufficient to support nitrification, while at high concentrations, oxygen supply was insufficient, leading to reduced microbial nitrification activity [35]. Furthermore, at high loads, the substrate quickly adsorbed N -N and reached saturation, thereby reducing the adsorption capacity of the system. As the influent concentration increased, the reaction between iron filings and -N favored the formation of N2 [36], thus enhancing -N removal, which allowed the IB system to maintain a high removal rate at high influent concentrations. Additionally, studies have shown that Fe(OH)3, generated by the oxidation of zero-valent iron, can adsorb -N [37]. Moreover, the unique porous structure of biochar provides an excellent environment for microbial growth, promoting the growth of nitrifying bacteria.
As shown in Figure 3d–f, the -N removal rate of the IB group increased sharply with the submerged zone depth. At low influent concentrations, the removal rate rose from 68.37% (0.95 mg/L) at 0 mm to 95.24% (0.15 mg/L) at 400 mm. At medium and high concentrations, the removal rates also increased from 63.27% and 52.77% to 93.21% and 90.47%, respectively. In contrast, the TB group exhibited overall lower removal rates compared to the IB facilities, although the removal rate increased with increasing submerged zone depth. The CB group’s removal rate was intermediate between the IB and TB groups. Under low influent concentration conditions, the removal rate increased from 47.17% (1.59 mg/L) at 0 mm to 71.41% (0.88 mg/L) at 400 mm. However, under high influent concentrations, the removal rate only increased from 21.46% (9.46 mg/L) to 50.16% 90 (5.99 mg/L). The presence of the submerged zone creates a barrier to atmospheric oxygen, establishing a stable anoxic or even anaerobic environment within the substrate (Figure S3), which is necessary for the growth and metabolism of denitrifying bacteria [38]. The higher the submerged zone, the more stable and larger the anoxic environment, promoting more complete denitrification. Denitrification requires sufficient organic carbon sources as electron donors. As influent concentration increases, the dissolved organic carbon carried by the influent is insufficient, leading to a shortage of carbon sources necessary for denitrification within the system. This results in incomplete reduction of high concentrations of -N, especially in the TB and CB systems. In the IB group, during the iron-carbon micro-electrolysis reaction, Fe0 serves as an electron donor and can directly or indirectly provide electrons to denitrifying bacteria, enhancing the system’s redox capacity (Figure S4b) and promoting -N reduction [39]. This effectively addresses the carbon source deficiency in the system. Additionally, the corrosion of iron consumes dissolved oxygen in the water (Figure S3b), accelerating the maintenance of the anaerobic environment required in the submerged zone and promoting denitrification. The biochar in the IB and CB groups, with its high specific surface area and porosity, can adsorb and concentrate organic molecules and microorganisms, which delays the loss of carbon sources and provides a favorable habitat for denitrifying bacteria [40,41].
Figure 3g–i show the removal efficiency of TN under different influent concentrations. The TN removal efficiency exhibited a pattern similar to that of -N. At low to medium concentrations, the TN removal rate increased, while at high concentrations, the removal efficiency decreased. In this study, TN refers to the sum of -N, -N, and other forms of nitrogen, with -N and -N constituting the majority. Therefore, the removal of TN is primarily influenced by the removal of -N and -N. As the submerged zone was established, although it may have partially inhibited the nitrification rate in the upper layer of the substrate, it created a stable anoxic zone in the lower substrate, promoting denitrification and converting the accumulated nitrate nitrogen into N2. The IB system formed aerobic and anaerobic microenvironmental zones, while its iron-carbon micro-electrolysis process effectively supported simultaneous nitrification-denitrification, achieving efficient coupling of both processes.
As shown in Figure 3j–l, the IB group exhibited a significant increase in removal efficiency with increasing submerged zone depth, with influent concentration having relatively little impact. Under high influent concentrations, the removal rate increased from 75.40% (0.98 mg/L) to 91.87% (0.32 mg/L). The TB group had the lowest and most unstable overall removal rate. While its removal rate did improve with increased submerged zone depth, it was heavily influenced by influent concentration, with a mere 23.68% (3.04 mg/L) improvement under high concentrations. The CB group’s removal efficiency was between the IB and TB groups. Its removal rate increased with the submerged zone depth but decreased as influent concentration increased. For the IB group, the anoxic environment may promote the corrosion of zero-valent iron (Fe0), generating more Fe2+ and Fe3+ ions. These ions react with phosphate ions () in the water, forming stable iron phosphate precipitates, thereby increasing its removal rate [42]. Additionally, a deeper submerged zone increased the facility’s retention time, allowing more interaction between phosphorus and the substrate, thereby enhancing adsorption and precipitation efficiency. For the CB group, the extended hydraulic retention time increased the diffusion and adsorption of phosphorus within the biochar’s pores [43]. In the TB group, phosphorus removal primarily depended on limited surface adsorption sites, which quickly became saturated as influent phosphorus concentrations increased, leading to reduced adsorption capacity and, consequently, a decrease in removal efficiency.
The removal of COD under different influent concentrations is shown in Figure S1d–f. For the IB group, the removal rate increased with the submerged zone depth. Under a 400 mm submerged zone, the removal rate was consistently above 87% (3.53–10.04 mg/L). The CB group was significantly inhibited by increased influent concentration. The TB group exhibited generally low removal rates, which were notably lower than the other two systems under high influent concentrations (28.43%). Additionally, the effluent UV254 values for all systems increased with both the submerged zone depth and influent concentration (Figure S2b). The deepened submerged zone enhanced the micro-electrolysis reaction, and the strong reductive environment generated promoted COD transformation. Biochar, with its high specific surface area and porous structure, has a strong adsorption capacity for various organic compounds, providing a longer retention time and a more stable microenvironment for microbial degradation [44,45]. Furthermore, the submerged zone extended the hydraulic retention time, promoting the completeness of biodegradation. However, high influent concentrations can accelerate the saturation of adsorption sites, causing some organic matter to pass through prematurely, leading to a decrease in removal efficiency as concentration increases.
3.1.3. Effect of Antecedent Drying Duration
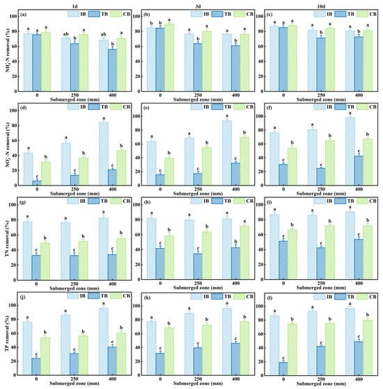
Compared to other rainfall conditions, the antecedent drying duration had a more significant impact on the pollutant removal efficiency of the bioretention system. The removal rates of various pollutants by different bioretention systems are shown in Figure 4.
Figure 4.
Removal rate of (a–c) -N, (d–f) -N, (g–i) TN, and (j–l) TP by the bioretention system under different submerged zone depths and antecedent drying durations. If three error bars beneath each submerged zone display different letters, this indicates significant differences (p < 0.05) between groups.
The removal efficiency of -N by the three bioretention systems under different antecedent drying durations is shown in Figure 4a–c. As the number of dry days increased, the removal efficiency of -N exhibited a continuous upward trend in all three systems. For the IB group, under non-submerged conditions, the removal rate is 76.89–86.76% (0.53–0.95 mg/L). However, under submerged conditions (250 mm and 400 mm), the removal rates were generally lower than those under non-submerged conditions, especially after a 1-day drying period, where the removal rate in the 400 mm submerged zone was only 68.55% (1.28 mg/L). For the TB group, as the submerged zone depth increased from 0 mm to 400 mm, the removal rate significantly decreased, while the CB group exhibited a smaller and more stable decline. The extended antecedent drying duration led to an increase in the dissolved oxygen concentration in the pore water of the system (Figure S3c), providing more time for the nitrifying bacteria to proliferate and adapt, which facilitated their growth and metabolism, thereby promoting the conversion of ammonia nitrogen to nitrate nitrogen [35]. However, under submerged conditions, the system transitioned to an anaerobic state, inhibiting nitrification, which relies on oxygen as an electron acceptor. This also likely diluted the influent -N concentration, hindering the contact between ammonia nitrogen and the substrate and reducing removal efficiency. The IB system provided some electron donors through micro-electrolysis, promoting partial -N conversion, but it was still affected by anoxic conditions under high submerged zones. The TB group, with low substrate porosity and specific surface area, easily formed an anaerobic environment under submerged conditions and had limited adsorption capacity for -N, making it more sensitive to the submerged zone depth. In contrast, the biochar in the CB group, with its high specific surface area and well-developed pore structure, effectively adsorbed -N and provided attachment sites for microorganisms [44,45]. As a result, the CB group maintained relatively high removal efficiency even under submerged conditions.
As shown in Figure 4d–f, the removal of -N by the three bioretention systems under different antecedent drying durations is presented. The increase in submerged zone depth improved the removal efficiency of the bioretention systems, especially for the IB group, which reached a removal rate of 98.05% (0.12 mg/L) under a 400 mm submerged zone, significantly higher than the other two systems. The removal rates for the TB and CB groups increased with the submerged zone depth and antecedent drying duration, with maximum removal rates of 42.60% and 69.82%, respectively. The submerged zone created an anoxic environment for the bioretention systems (Figure S3c) and extended the hydraulic retention time, allowing for the accumulation and slow release of organic carbon in the substrate, which provided essential electron donors for the denitrification process [46,47,48]. A longer antecedent drying duration (10 days) promoted nitrification in the IB group, converting more ammonia nitrogen to nitrate nitrogen, thereby providing electron acceptors for subsequent denitrification in the submerged zone. Additionally, the iron-carbon micro-electrolysis process and changes in iron valence enhanced the system’s reductive capacity (Figure S4c), reducing nitrate nitrogen to nitrogen gas under anoxic conditions. Furthermore, the porous structure of biochar provided excellent attachment sites for denitrifying microorganisms, forming a stable biofilm. Extending the drying period favored microbial growth and metabolism, and when the submerged zone provided an anaerobic environment, high removal efficiency was achieved. In contrast, the TB group, with a poor sand substrate porosity, was prone to short-circuiting, lacked effective electron donors, and therefore limited the denitrification process. The TN removal efficiency for all systems showed an upward trend with increasing submerged zone depth and antecedent drying duration (Figure 4g–i). TN removal is the result of the combined removal of -N and -N, and its removal efficiency mirrored that of -N removal. Although the TB group had a higher removal rate for -N, it exhibited secondary pollution during -N removal. In contrast, the other two systems maintained stable -N removal without secondary pollution, while ensuring high removal efficiency for -N, especially the IB group.
The phosphorus removal efficiency (TP) of the three bioretention systems under different antecedent drying durations is shown in Figure 4j–l. The IB group demonstrated significant phosphorus removal performance, with removal rates consistently above 75%. These rates increased significantly with the submerged zone depth, reaching 95.70–96.86% (0.06–0.09 mg/L) under a 400 mm submerged zone, which was higher than the other submerged zones. The TB group showed much lower removal efficiency compared to the other two systems, with a decrease in removal rate from 31.84% (1.37 mg/L) to 18.84% (1.68 mg/L) under a 0 mm submerged zone. In other submerged zones, the removal rate continued to increase with the extension of the antecedent drying duration. The CB group exhibited relatively stable removal efficiency, with removal rates reaching 79.80% as submerged zone depth and drying days increased, though still lower than the IB group. Zero-valent iron or iron ions in the iron-carbon media gradually release Fe2+/Fe3+, especially in micro-aerobic or anaerobic environments created by submersion. These iron ions react with phosphate ions () in the water, forming insoluble iron phosphate precipitates, thus achieving stable phosphorus removal [49,50,51]. As the submerged zone depth increases, the hydraulic retention time lengthens, allowing more complete iron dissolution and precipitation reactions. Additionally, the high specific surface area and porous structure of biochar enable the adsorption of phosphorus and ligand exchange. The metal oxides present in the biochar can also bind with phosphorus, thereby enhancing phosphorus removal efficiency [52]. In contrast, the sand substrate relies on physical filtration and weak adsorption on the filler surface to intercept phosphorus, but its adsorption capacity is low and easily saturated, resulting in weaker phosphorus removal performance in the TB group. The IB and CB systems benefited from the submerged zone, which promoted full contact between the filler and phosphorus, thereby enhancing the adsorption and precipitation of phosphorus. The extended antecedent drying duration provided ample time for the recovery of adsorption sites on the substrate.
As shown in Figure S1g–i, the COD removal efficiency of the three bioretention systems under different antecedent drying durations is presented. The IB group demonstrated the best COD removal performance, with its removal rate reaching 92.19% (4.69 mg/L) as both submerged zone depth and antecedent drying duration increased. The TB group exhibited the lowest removal efficiency, with a maximum removal rate of only 42.70% (34.42 mg/L). The CB group showed some improvement in removal efficiency, but it still remained lower than the IB group, with the highest removal rate being 55.90% (26.49 mg/L). In the anoxic submerged zone, the iron-carbon media form numerous micro-galvanic cells in the water, and the generated [H] and Fe2+ can directly degrade organic matter, converting it into easily biodegradable small molecules. The deeper submerged zones provided more time for microbial adsorption and degradation reactions of organic matter [21]. Additionally, organic matter adsorbed within the biochar pores provided a stable and rich carbon source for the attached microorganisms. In contrast, the microbial structure on the sand substrate is simpler and lacks the diversity of organic matter degradation seen in the IB and CB groups, resulting in lower removal efficiency and causing an increase in effluent UV254 (Figure S2c). For longer antecedent drying durations (e.g., 10 days), microbial carbon sources are insufficient. During the subsequent rainfall event, the rapid replenishment of carbon sources in the influent COD improves the removal efficiency of the system.
3.2. Effluent Iron Concentration of IB Under Different Rainfall Conditions
To further clarify the removal of nitrogen and phosphorus and the changes in effluent iron concentration in iron-carbon bioretention system, this study analyzed the effluent iron concentrations under different submerged zone depths and rainfall conditions, as shown in Figure 5.
Figure 5.
Changes in total iron and ferrous iron concentrations in the effluent of iron-carbon bioretention systems with different submerged zone depths under (a) rainfall intensity, (b) influent concentration, and (c) antecedent drying duration. The four axes from left to right represent inundation zone height, iron morphology, rainfall conditions, and effluent iron concentration.
Under different rainfall conditions, both total iron and ferrous iron concentrations gradually increased. In the 250 mm submerged zone, total iron increased from 0.063 mg/L to 0.160 mg/L, while ferrous iron increased from 0.040 mg/L to 0.146 mg/L. Under varying influent concentrations, the highest iron release occurred at medium influent concentrations. Its effluent concentration is below the limit value (0.3 mg/L) specified in the Chinese Surface Water Environmental Quality Standards (GB 3838-2002) [53]. As the antecedent drying duration increased from 1 day to 10 days, both total iron and ferrous iron concentrations in the effluent increased. However, as the submerged zone depth increased from 0 mm to 400 mm, both total iron and ferrous iron concentrations in the effluent showed a clear decreasing trend.
The presence of the submerged zone creates an oxygen gradient from the top to the bottom of the system. The surface influent is in contact with air and has a higher dissolved oxygen (DO) concentration, while the lower layers tend to become anoxic or even anaerobic. A higher submerged zone (400 mm) means a thicker water layer and a longer oxygen diffusion path, leading to a more complete anaerobic environment at the bottom of the iron-carbon bioretention system. In the iron-carbon micro-electrolysis reaction, oxygen acts as the electron acceptor. Under anaerobic conditions, the cathodic reaction is weakened, thus inhibiting the dissolution of Fe0. Although the high submerged zone suppresses the rate of iron dissolution, the anaerobic environment it creates is conducive to the reduction of Fe3+ to Fe2+, and the kinetics of Fe2+ reacting with phosphate ions to form iron phosphate precipitates (Fe3(PO4)4) are faster. At the same time, a longer hydraulic retention time ensures that the iron-phosphate precipitation reaction is more complete. This effectively explains the higher (TP) removal rate in the higher submerged zone. Moreover, the high submerged zone creates the necessary anoxic environment for denitrification. The continuously released trace amounts of Fe2+ can serve as additional electron donors for denitrifying bacteria, enhancing the removal of -N.
As rainfall intensity increases, the hydraulic load on the influent rises, leading to the washout of iron that was trapped and adsorbed in the IB system’s substrate, thereby increasing the effluent concentration. Longer dry periods expose the iron-carbon media to air, promoting the formation of a thicker oxide layer on the surface of Fe0. When rainfall occurs, the oxide layer reacts, consuming H+ and releasing iron. Therefore, the dry period serves to activate the surface of the media and enhance its subsequent reactivity, resulting in higher iron release concentrations after a longer dry period. If the influent concentration is too low, there may be insufficient electrolytes to effectively drive the galvanic cell reaction, leading to low iron dissolution. Conversely, when the influent concentration increases, a precipitate or adsorption layer may quickly form on the surface of the iron-carbon particles in the substrate, passivating the media surface and suppressing the continued dissolution of iron.
3.3. N and P Transformation in the Substrate Under Different Submerged Zone
3.3.1. PNA and DEA of Substrate
The potential nitrification ability (PNA) and denitrification enzyme activity (DEA) of the three bioretention systems under different submerged zone depths are shown in Figure 6a,b. It can be observed that the upper layer of the filler in all systems exhibited high potential nitrification capacity, which decreased with increasing submerged zone depth. The CB group maintained a high nitrification capacity in the upper filler, with a potential nitrification rate of 57.84 µg /(g filler·h) under a 0 mm submerged zone. In contrast, the IB group had the weakest nitrification capacity (20.14–23.69 µg /(g filler·h)). In the lower layer of the filler, the IB group maintained stable nitrification capacity (16.09–18.49 µg /(g filler·h)). For the TB and CB groups, as the submerged zone depth increased, their nitrification capacities significantly decreased to 15.2 µg /(g filler·h) and 22.39 µg /(g filler·h), respectively. Regarding denitrification potential, the lower layer of the filler in all systems exhibited higher denitrification potential than the upper layer, and this potential increased with the submerged zone depth. The IB group showed significantly higher denitrification potential than the TB and CB groups, especially in the lower layer. Under a 400 mm submerged zone, the denitrification potential in the IB group reached 64.52 µg/g·h−1.
Figure 6.
(a) PNA, (b) DEA, and (c) TP Content, (d) AP Content, (e) BP Content, and (f) LAP Content in the upper and lower layers of the substrate of bioretention systems under different submerged zone depths. TP represents the total phosphorus content in the substrate, AP represents the inorganic phosphorus content in the substrate, BP is the bioavailable phosphorus content, and LAP is the difference between AP and BP, representing the content of low activity inorganic phosphorus. The four axes from left to right represent submerged zone height, bioretention system, media layer, and PAN, DEA, and phosphorus content.
In the upper layer of the filler, due to its greater exposure to atmospheric oxygen and oxygen brought in by rainfall, the aerobic environment promotes the activity of ammonia-oxidizing bacteria and nitrifying bacteria, resulting in a higher potential nitrification capacity. As the submerged zone depth increases, the water retention time is extended, further promoting the transformation of nitrification substrates [16,46,47]. In contrast, in the lower layer of the filler, the environment is relatively anoxic or anaerobic, especially under higher submerged zone conditions where oxygen diffusion is limited, inhibiting nitrification and resulting in lower potential nitrification capacity. This anoxic environment, however, promotes the activity of denitrifying bacteria, particularly when carbon sources and electron donors are present, significantly enhancing denitrification potential [21]. Additionally, the biochar in the IB and CB groups has a high moisture content, which promotes nitrification in the substrate. However, in the IB group, as the submerged zone depth increases, the presence of iron filings leads to competition between iron and -N for oxygen, weakening nitrification. This is consistent with the lower -N removal results mentioned earlier. Furthermore, the iron-carbon micro-electrolysis reaction not only affects the redox potential in the substrate but also may couple the iron and nitrogen cycles, promoting denitrification through the reduction of iron, thus forming a synergistic nitrification-denitrification nitrogen removal pathway in different soil layers. In the TB group, as the substrate depth increases, oxygen decreases, and the substrate’s ability to adsorb -N is weak, leading to a decline in potential nitrification capacity.
Overall, a higher submerged zone can maintain a saturated state for a longer period after rainfall, creating a stable anoxic zone that enhances nitrification in the upper layer and denitrification in the lower layer. The strong nitrification capacity in the upper layer converts ammonium nitrogen into nitrate nitrogen, while the high denitrification potential in the lower layer further reduces nitrate nitrogen to N2 or N2O, achieving complete nitrogen removal. The increase in submerged zone depth promotes the synergistic pollutant removal between the upper and lower layers of the substrate, contributing to the overall improvement of the system’s nitrogen removal efficiency.
3.3.2. P Content of Different Types in the Substrate
The phosphorus content of different types in the substrate of the three bioretention systems under different submerged zone depths is shown in Figure 6c–f. In all systems, under different submerged conditions, the TP, AP, and LAP contents in the lower layer of the filler were higher than those in the upper layer. The TP content in all systems significantly increased with the submerged zone depth. In the IB group, under a 400 mm submerged zone, the TP content in the upper and lower layers of the filler was 41.76 mg P/(kg filler) and 52.33 mg P/(kg filler), respectively, which was much higher than in the other systems. AP is the main component of TP, and its trend closely followed that of TP. The AP content in the IB group was much higher than in the other two systems, indicating that phosphorus in the filler primarily existed in the form of inorganic phosphorus. Regarding bioavailable phosphorus, the TB group had a higher content than the IB group, reaching a maximum of 8.81 mg P/(kg filler). The IB group had the highest LAP content compared to the other two systems, especially in the lower layer, where under a 400 mm submerged zone, the LAP content reached 43.79 mg P/(kg filler).
The higher submerged zone depth extended the water retention time, not only increasing the external phosphorus load from the influent but more importantly creating an anoxic environment. Under anoxic conditions, iron oxides (such as Fe(III)) are reduced to soluble Fe(II), causing phosphorus that was originally adsorbed or co-precipitated with iron oxides to be released. This released phosphorus, when migrating downward with the water flow, can be re-adsorbed and fixed by the lower layer of the filler (especially the iron-carbon in the IB group), leading to the formation of a “phosphorus sink” in the lower layer and an increase in TP, AP, and LAP. In the IB group, the aerobic environment in the upper layer facilitates the oxidation of Fe2+ to form Fe(III) oxides, while the anaerobic environment in the lower layer reduces some Fe(III), briefly releasing phosphorus. However, the phosphorus in the influent quickly reacts with Fe2+/Fe3+ ions released from the iron-carbon, forming stable iron phosphate precipitates. These precipitates are considered low-activity inorganic phosphorus (LAP), which is chemically stable and difficult to release again, thus achieving long-term stable fixation of phosphorus. The biochar in the CB group has a porous structure and surface functional groups, which can adsorb and fix some phosphorus through physical adsorption and ion exchange, making its phosphorus removal ability superior to that of the TB group. In summary, the IB group, by setting a 400 mm submerged zone and adding iron-carbon media, most effectively converts phosphorus in the water into stable LAP forms, fixing it within the system and achieving efficient and long-lasting phosphorus removal.
4. Conclusions
This study systematically explored the impact of submerged zone depth on the pollutant removal efficiency and stability of iron-carbon bioretention systems in treating simulated stormwater runoff. The specific conclusions are as follows:
- (1)
- Under 400 mm submerged zone conditions, the iron-carbon bioretention system demonstrated optimal removal performance, achieving a maximum -N removal rate of 97.91% and maintaining a TN removal rate consistently above 83%.
- (2)
- Under the anoxic conditions provided by iron-carbon materials in the submerged zone, continuous micro-electrolysis enables the iron-carbon biological retention system to maintain consistently high and stable pollutant removal rates across varying rainfall conditions.
- (3)
- The elevated submerged zone (400 mm) prolongs hydraulic retention time, increasing phosphorus contact with the media. The release of Fe2+/Fe3+ from the iron-carbon media reacts with phosphate ions to form stable iron phosphate precipitates, enabling the bioretention system to achieve over 95% TP removal efficiency.
- (4)
- An oxygen gradient has formed within the bioretention system, with the upper layer maintaining high potential nitrification capacity to convert ammonia nitrogen into nitrate nitrogen, while the lower layer exhibits significantly increased denitrification enzyme activity to reduce nitrate nitrogen.
However, due to limitations in experimental conditions and the research period, this study has some shortcomings. Based on the current research, future work will focus on optimizing the modification process and composition of iron-carbon media, investigating strategies for controlling iron leaching, exploring synergistic combinations of the bioretention system with other LID measures, and using microbiomics and micro-characterization techniques to deeply analyze the coupling mechanisms of carbon, nitrogen, phosphorus, and iron cycles, as well as the evolution patterns of functional microbial communities within the system.
Supplementary Materials
The following supporting information can be downloaded at: https://www.mdpi.com/article/10.3390/w18020200/s1, Figure S1: COD removal efficiency of bioretention systems with different submerged zone depths under (a–c) rainfall intensity, (b) influent concentration, and (c) antecedent drying duration. If three error bars beneath each submerged zone display different letters, this indicates significant differences (p < 0.05) between groups; Figure S2: Effluent UV254 of bioretention systems with different submerged zone depths under (a) rainfall intensity, (b) influent concentration, and (c) antecedent drying duration for three rainfall conditions; Figure S3: Changes in effluent dissolved oxygen concentration of bioretention systems with different submerged zone depths under (a) rainfall intensity, (b) influent concentration, and (c) antecedent drying duration for three rainfall conditions; Figure S4: Changes in effluent redox potential of bioretention systems with different submerged zone depths under (a) rainfall intensity, (b) influent concentration, and (c) antecedent drying duration for three rainfall conditions Table S1: Structure and composition of the bioretention system and filler; Text S1: Calculation of simulated stormwater parameters and explanation of related terms; Text S2: Calculation method and process of the Substrate’s potential nitrification ability; Text S3: Calculation method and process for the denitrifying enzyme activity of the substrate; Text S4: Determination of phosphorus content in the substrate [21,54,55,56,57,58,59].
Author Contributions
Conceptualization, C.Y., J.Z., T.Z. and B.W.; Investigation, C.Y., J.Z., X.S. and Y.Z.; Methodology, C.Y., J.Z., X.W. and J.Q.; Writing—original draft, C.Y., J.Z., J.H. and Y.X.; Supervision, T.Z. and B.W.; Writing—review and editing, T.Z. and B.W. All authors have read and agreed to the published version of the manuscript.
Funding
This research was funded by the Department of Education of Gansu Province: Major cultivation project of scientific research innovation platform in university (2025CYZC-24), Department of Education of Gansu Province: Major cultivation project of scientific research innovation platform in university (2024CXPT-14), Lanzhou Jiaotong University Youth Research Fund (2024062).
Data Availability Statement
The original contributions presented in this study are included in the article. Further inquiries can be directed to the corresponding authors.
Conflicts of Interest
The authors declare that they have no known competing financial interests or personal relationships that could have appeared to influence the work reported in this paper.
Abbreviations
The following abbreviations are used in this manuscript:
| IB | Iron-carbon-based bioretention system |
| TB | Traditional sand-based bioretention system |
| CB | Biochar-based bioretention system |
| PNA | Potential nitrification ability |
| DEA | Denitrifying enzyme activity |
| TN | Total nitrogen |
| TP | Total phosphorus |
| AP | Inorganic phosphorus |
| BP | Bioavailable phosphorus |
| LAP | Low activity inorganic phosphorus |
| COD | Chemical oxygen demand |
| -N | Ammonia nitrogen |
| -N | Nitrate nitrogen |
| -N | Nitrite nitrogen |
| ZVI | Zero-valent iron |
| ADD | Antecedent drying duration |
| ORP | Redox potential |
| DO | Dissolved oxygen |
References
- Jian, M.; Che, Y.; Gao, M.; Zhang, X.; Zhang, Z.; Tan, C.; Li, H. Migration of naphthalene in a biochar-amended bioretention facility based on HYDRUS-1D analysis. J. Environ. Manag. 2024, 369, 122383. [Google Scholar] [CrossRef]
- Zhuo, M.; Zhou, J.; Xiong, J. Bioretention cells filled with epoxy resin-modified loess for stormwater purification. Sep. Purif. Technol. 2025, 354, 129319. [Google Scholar] [CrossRef]
- Wang, X.; Ma, H.; Huang, C.; Xu, Z.; Wang, Y.; Yang, Y.; Xiao, H.; Zhi, Y.; Chen, L.; Chai, H. Investigation of pollutants accumulation in the submerged zone for pyrite-based bioretention facilities under continuous rainfall events. J. Environ. Manag. 2024, 364, 121448. [Google Scholar] [CrossRef] [PubMed]
- Kong, Z.; Shao, Z.; Shen, Y.; Zhang, X.; Chen, M.; Yuan, Y.; Li, G.; Wei, Y.; Hu, X.; Huang, Y.; et al. Comprehensive evaluation of stormwater pollutants characteristics, purification process and environmental impact after low impact development practices. J. Clean. Prod. 2021, 278, 123509. [Google Scholar] [CrossRef]
- Yin, D.; Chen, Y.; Jia, H.; Wang, Q.; Chen, Z.; Xu, C.; Li, Q.; Wang, W.; Yang, Y.; Fu, G.; et al. Sponge city practice in China: A review of construction, assessment, operational and maintenance. J. Clean. Prod. 2021, 280, 124963. [Google Scholar] [CrossRef]
- Osman, M.; Wan Yusof, K.; Takaijudin, H.; Goh, H.W.; Abdul Malek, M.; Azizan, N.A.; Ghani, A.A.; Sa’id Abdurrasheed, A. A Review of Nitrogen Removal for Urban Stormwater Runoff in Bioretention System. Sustainability 2019, 11, 5415. [Google Scholar] [CrossRef]
- Spraakman, S.; Van Seters, T.; Drake, J.; Passeport, E. How has it changed? A comparative field evaluation of bioretention infiltration and treatment performance post-construction and at maturity. Ecol. Eng. 2020, 158, 106036. [Google Scholar] [CrossRef]
- Goh, H.W.; Lem, K.S.; Azizan, N.A.; Chang, C.K.; Talei, A.; Leow, C.S.; Zakaria, N.A. Correction to: A review of bioretention components and nutrient removal under different climates—Future directions for tropics. Environ. Sci. Pollut. Res. 2023, 30, 103365. [Google Scholar] [CrossRef]
- Blecken, G.-T.; Zinger, Y.; Muthanna, T.M.; Deletic, A.; Fletcher, T.D.; Viklander, M. The influence of temperature on nutrient treatment efficiency in stormwater biofilter systems. Water Sci. Technol. 2007, 56, 83–91. [Google Scholar] [CrossRef]
- Peng, J.; Cao, Y.; Rippy, M.A.; Afrooz, A.R.M.N.; Grant, S.B. Indicator and Pathogen Removal by Low Impact Development Best Management Practices. Water 2016, 8, 600. [Google Scholar] [CrossRef]
- He, K.; Qin, H.; Wang, F.; Ding, W.; Yin, Y. Importance of the Submerged Zone During Dry Periods to Nitrogen Removal in a Bioretention System. Water 2020, 12, 876. [Google Scholar] [CrossRef]
- Yang, L.; Yu, H.; Peng, Z.; Tian, X.; Cheng, S.; Yang, Y.; Zhang, Z.; Zhao, C. Application of iron-manganese oxide fillers in bioretention facility: Enhanced removal of antibiotics and conventional contaminants. J. Environ. Chem. Eng. 2024, 12, 112744. [Google Scholar] [CrossRef]
- Xu, M.; Zhi, Y.; Kong, Z.; Ma, H.; Shao, Z.; Chen, L.; Chen, H.; Yuan, Y.; Liu, F.; Xu, Y.; et al. Enhancing nitrogen and phosphorus removal in plant-biochar-pyrite stormwater bioretention systems: Impact of temperature and high-frequency heavy rainfall. Environ. Res. 2024, 262, 119926. [Google Scholar] [CrossRef] [PubMed]
- Zhang, Z.; Rengel, Z.; Liaghati, T.; Antoniette, T.; Meney, K. Influence of plant species and submerged zone with carbon addition on nutrient removal in stormwater biofilter. Ecol. Eng. 2011, 37, 1833–1841. [Google Scholar] [CrossRef]
- Palmer, E.T.; Poor, C.J.; Hinman, C.; Stark, J.D. Nitrate and phosphate removal through enhanced bioretention media: Mesocosm study. Water Environ. Res. 2013, 85, 823–832. [Google Scholar] [CrossRef]
- Wang, C.; Wang, F.; Qin, H.; Zeng, X.; Li, X.; Yu, S.-L. Effect of Saturated Zone on Nitrogen Removal Processes in Stormwater Bioretention Systems. Water 2018, 10, 162. [Google Scholar] [CrossRef]
- Zhang, K.; Manuelpillai, D.; Raut, B.; Deletic, A.; Bach, P.M. Evaluating the reliability of stormwater treatment systems under various future climate conditions. J. Hydrol. 2019, 568, 57–66. [Google Scholar] [CrossRef]
- Teixidó, M.; Charbonnet, J.A.; LeFevre, G.H.; Luthy, R.G.; Sedlak, D.L. Use of pilot-scale geomedia-amended biofiltration system for removal of polar trace organic and inorganic contaminants from stormwater runoff. Water Res. 2022, 226, 119246. [Google Scholar] [CrossRef]
- Berger, A.W.; Valenca, R.; Miao, Y.; Ravi, S.; Mahendra, S.; Mohanty, S.K. Biochar increases nitrate removal capacity of woodchip biofilters during high-intensity rainfall. Water Res. 2019, 165, 115008. [Google Scholar] [CrossRef]
- Valenca, R.; Le, H.; Zu, Y.; Dittrich, T.M.; Tsang, D.C.W.; Datta, R.; Sarkar, D.; Mohanty, S.K. Nitrate removal uncertainty in stormwater control measures: Is the design or climate a culprit? Water Res. 2021, 190, 116781. [Google Scholar] [CrossRef]
- Kong, Z.; Song, Y.; Shao, Z.; Chai, H. Biochar-pyrite bi-layer bioretention system for dissolved nutrient treatment and by-product generation control under various stormwater conditions. Water Res. 2021, 206, 117737. [Google Scholar] [CrossRef] [PubMed]
- Kong, Z.; Song, Y.; Xu, M.; Yang, Y.; Wang, X.; Ma, H.; Zhi, Y.; Shao, Z.; Chen, L.; Yuan, Y.; et al. Multi-media interaction improves the efficiency and stability of the bioretention system for stormwater runoff treatment. Water Res. 2024, 250, 121017. [Google Scholar] [CrossRef] [PubMed]
- Yang, Z.; Ma, Y.; Liu, Y.; Li, Q.; Zhou, Z.; Ren, Z. Degradation of organic pollutants in near-neutral pH solution by Fe-C micro-electrolysis system. Chem. Eng. J. 2017, 315, 403–414. [Google Scholar] [CrossRef]
- Zhao, Z.; Hao, Q.; Ma, R.; Chen, X.; Xiong, Y.; Hu, J.; Zhang, G.; Jiang, C. Ferric-carbon micro-electrolysis and zeolite reduce CH4 and N2O emissions from the aerated constructed wetland. J. Clean. Prod. 2022, 342, 130946. [Google Scholar] [CrossRef]
- Deng, S.; Li, D.; Yang, X.; Xing, W.; Li, J.; Zhang, Q. Biological denitrification process based on the Fe(0)–carbon micro-electrolysis for simultaneous ammonia and nitrate removal from low organic carbon water under a microaerobic condition. Bioresour. Technol. 2016, 219, 677–686. [Google Scholar] [CrossRef]
- Zheng, X.; Jin, M.; Zhou, X.; Chen, W.; Lu, D.; Zhang, Y.; Shao, X. Enhanced removal mechanism of iron carbon micro-electrolysis constructed wetland on C, N, and P in salty permitted effluent of wastewater treatment plant. Sci. Total Environ. 2019, 649, 21–30. [Google Scholar] [CrossRef]
- Ashoori, N.; Teixido, M.; Spahr, S.; LeFevre, G.H.; Sedlak, D.L.; Luthy, R.G. Evaluation of pilot-scale biochar-amended woodchip bioreactors to remove nitrate, metals, and trace organic contaminants from urban stormwater runoff. Water Res. 2019, 154, 1–11. [Google Scholar] [CrossRef]
- Dong, L.; Lu, J.; Dong, Y.; Guo, Z.; Wu, S.; Zhang, J.; Wu, H. Iron-scrap and pyrite mediated autotrophic denitrification in constructed wetland for enhancing nitrate-polluted groundwater remediation: Performance and mechanism. Process Saf. Environ. Prot. 2024, 187, 83–90. [Google Scholar] [CrossRef]
- Guo, J.; Pan, Y.; Chen, R.; He, S.; Qi, W.; Yang, H.; Wang, L. Tracing nitrogen and phosphorus pollution in urban runoff: Insights from isotopic tracers and SWMM modeling. J. Clean. Prod. 2024, 472, 143513. [Google Scholar] [CrossRef]
- Zhang, X.; Mahmoud, S.H.; Wang, H.; Gao, L.; Langford, M.; Zhang, W. Predicting stormwater nitrogen loads from a cold-region urban catchment in year 2050 under the impacts of climate change and urban densification. Water Res. 2023, 245, 120576. [Google Scholar] [CrossRef]
- Wang, S.; Ma, Y.; Zhang, X.; Shen, Z. Transport and sources of nitrogen in stormwater runoff at the urban catchment scale. Sci. Total Environ. 2022, 806, 150281. [Google Scholar] [CrossRef]
- Cho, K.W.; Song, K.G.; Cho, J.W.; Kim, T.G.; Ahn, K.H. Removal of nitrogen by a layered soil infiltration system during intermittent storm events. Chemosphere 2009, 76, 690–696. [Google Scholar] [CrossRef] [PubMed]
- Payne, E.G.I.; Fletcher, T.D.; Cook, P.L.M.; Deletic, A.; Hatt, B.E. Processes and Drivers of Nitrogen Removal in Stormwater Biofiltration. Crit. Rev. Environ. Sci. Technol. 2014, 44, 796–846. [Google Scholar] [CrossRef]
- Davis, A.P.; Shokouhian, M.; Sharma, H.; Minami, C. Water quality improvement through bioretention media: Nitrogen and phosphorus removal. Water Environ. Res. 2006, 78, 284–293. [Google Scholar] [CrossRef] [PubMed]
- Fan, J.; Wang, W.; Zhang, B.; Guo, Y.; Ngo, H.H.; Guo, W.; Zhang, J.; Wu, H. Nitrogen removal in intermittently aerated vertical flow constructed wetlands: Impact of influent COD/N ratios. Bioresour. Technol. 2013, 143, 461–466. [Google Scholar] [CrossRef]
- Ruiz, G.; Jeison, D.; Chamy, R. Development of denitrifying and methanogenic activities in USB reactors for the treatment of wastewater: Effect of COD/N ratio. Process Biochem. 2006, 41, 1338–1342. [Google Scholar] [CrossRef]
- Liu, H.; Chen, Z.; Guan, Y.; Xu, S. Role and application of iron in water treatment for nitrogen removal: A review. Chemosphere 2018, 204, 51–62. [Google Scholar] [CrossRef]
- Ge, X.; Cao, X.; Song, X.; Wang, Y.; Si, Z.; Zhao, Y.; Wang, W.; Tesfahunegn, A.A. Bioenergy generation and simultaneous nitrate and phosphorus removal in a pyrite-based constructed wetland-microbial fuel cell. Bioresour. Technol. 2020, 296, 122350. [Google Scholar] [CrossRef]
- Jia, L.; Liu, H.; Kong, Q.; Li, M.; Wu, S.; Wu, H. Interactions of high-rate nitrate reduction and heavy metal mitigation in iron-carbon-based constructed wetlands for purifying contaminated groundwater. Water Res. 2020, 169, 115285. [Google Scholar] [CrossRef]
- Chen, J.; Xie, Y.; Sun, S.; Zhang, M.; Yan, P.; Xu, F.; Tang, L.; He, S. Efficient nitrogen removal through coupling biochar with zero-valent iron by different packing modes in bioretention system. Environ. Res. 2023, 223, 115375. [Google Scholar] [CrossRef]
- Wang, J.; Wang, Y.; Bai, J.; Liu, Z.; Song, X.; Yan, D.; Abiyu, A.; Zhao, Z.; Yan, D. High efficiency of inorganic nitrogen removal by integrating biofilm-electrode with constructed wetland: Autotrophic denitrifying bacteria analysis. Bioresour. Technol. 2017, 227, 7–14. [Google Scholar] [CrossRef]
- Deng, S.; Li, D.; Yang, X.; Zhu, S.; Xing, W. Advanced low carbon-to-nitrogen ratio wastewater treatment by electrochemical and biological coupling process. Environ. Sci. Pollut. Res. 2016, 23, 5361–5373. [Google Scholar] [CrossRef] [PubMed]
- Deng, S.; Li, D.; Yang, X.; Xing, W.; Li, J.; Zhang, Q. Iron [Fe(0)]-rich substrate based on iron–carbon micro–electrolysis for phosphorus adsorption in aqueous solutions. Chemosphere 2017, 168, 1486–1493. [Google Scholar] [CrossRef] [PubMed]
- Rahman, M.Y.A.; Nachabe, M.H.; Ergas, S.J. Biochar amendment of stormwater bioretention systems for nitrogen and Escherichia coli removal: Effect of hydraulic loading rates and antecedent dry periods. Bioresour. Technol. 2020, 310, 123428. [Google Scholar] [CrossRef] [PubMed]
- Tian, J.; Miller, V.; Chiu, P.C.; Maresca, J.A.; Guo, M.; Imhoff, P.T. Nutrient release and ammonium sorption by poultry litter and wood biochars in stormwater treatment. Sci. Total Environ. 2016, 553, 596–606. [Google Scholar] [CrossRef]
- Yang, R.; Zheng-rong, F.; Man-ying, M.; Xian, L. Enhancing nitrate and phosphorus removal from stormwater in a fold-flow bioretention system with saturated zones. Water Sci. Technol. 2021, 84, 2079–2092. [Google Scholar] [CrossRef]
- Li, L.; Yang, J.; Davis, A.P.; Liu, Y. Dissolved Inorganic Nitrogen Behavior and Fate in Bioretention Systems: Role of Vegetation and Saturated Zones. J. Environ. Eng. 2019, 145, 04019074. [Google Scholar] [CrossRef]
- William, F.; Hunt, I.; Jarrett, A.R.; Smith, J.T. Optimizing Bio-retention Design to Improve Denitrification in Commercial Site Runoff. In Proceedings of the World Water & Environmental Resources Congress 2003, Philadelphia, PA, USA, 23–26 June 2003; pp. 1–10. [Google Scholar]
- Hu, Y.; Wu, G.; Li, R.; Xiao, L.; Zhan, X. Iron sulphides mediated autotrophic denitrification: An emerging bioprocess for nitrate pollution mitigation and sustainable wastewater treatment. Water Res. 2020, 179, 115914. [Google Scholar] [CrossRef]
- Ge, Z.; Wei, D.; Zhang, J.; Hu, J.; Liu, Z.; Li, R. Natural pyrite to enhance simultaneous long-term nitrogen and phosphorus removal in constructed wetland: Three years of pilot study. Water Res. 2019, 148, 153–161. [Google Scholar] [CrossRef]
- Li, R.; Morrison, L.; Collins, G.; Li, A.; Zhan, X. Simultaneous nitrate and phosphate removal from wastewater lacking organic matter through microbial oxidation of pyrrhotite coupled to nitrate reduction. Water Res. 2016, 96, 32–41. [Google Scholar] [CrossRef]
- Chai, H.; Ma, J.; Ma, H.; Cheng, H.; Weng, Z.; Kong, Z.; Shao, Z.; Yuan, Y.; Xu, Y.; Ni, Q.; et al. Enhanced nutrient removal of agricultural waste-pyrite bioretention system for stormwater pollution treatment. J. Clean. Prod. 2023, 395, 136457. [Google Scholar] [CrossRef]
- GB 3838-2002; Surface Water Environmental Quality Standards. The Ministry of Ecology and Environment of the People’s Republic of China: Beijing, China, 2002.
- Hsieh, C.H.; Davis, A.P.; Needelman, B.A. Bioretention column studies of phosphorus removal from urban stormwater runoff. Water Environ. Res. 2007, 79, 177–184. [Google Scholar] [CrossRef]
- Fan, F.; Zhang, F.; Lu, Y. Linking plant identity and interspecific competition to soil nitrogen cycling through ammonia oxidizer communities. Soil Biol. Biochem. 2011, 43, 46–54. [Google Scholar] [CrossRef]
- Sun, J.; Chen, L.; Rene, E.R.; Hu, Q.; Ma, W.; Shen, Z. Biological nitrogen removal using soil columns for the reuse of reclaimed water: Performance and microbial community analysis. J. Environ. Manag. 2018, 217, 100–109. [Google Scholar] [CrossRef]
- Aspila, K.I.; Agemian, H.; Chau, A.S.Y. A semi-automated method for the determination of inorganic, organic and total phosphate in sediments. Analyst 1976, 101, 187–197. [Google Scholar] [CrossRef]
- Bray, R.H.; Kurtz, L.T. Determination of total, orginic, and available forms of phosphorus in soils. Soil Sci. 1945, 59, 39–46. [Google Scholar] [CrossRef]
- Fowdar, H.S.; Hatt, B.E.; Cresswell, T.; Harrison, J.J.; Cook, P.L.M.; Deletic, A. Phosphorus Fate and Dynamics in Greywater Biofiltration Systems. Environ. Sci. Technol. 2017, 51, 2280–2287. [Google Scholar] [CrossRef] [PubMed]
Disclaimer/Publisher’s Note: The statements, opinions and data contained in all publications are solely those of the individual author(s) and contributor(s) and not of MDPI and/or the editor(s). MDPI and/or the editor(s) disclaim responsibility for any injury to people or property resulting from any ideas, methods, instructions or products referred to in the content. |
© 2026 by the authors. Licensee MDPI, Basel, Switzerland. This article is an open access article distributed under the terms and conditions of the Creative Commons Attribution (CC BY) license.





