Estimation of Reclaimed Water Utilization Benefits in a Typical Coastal River Network
Abstract
1. Introduction
2. Field Monitoring and Materials
3. Numerical Model
3.1. Hydraulic Model and Water Quality Model
- Hydraulic model
- 2.
- Water quality model
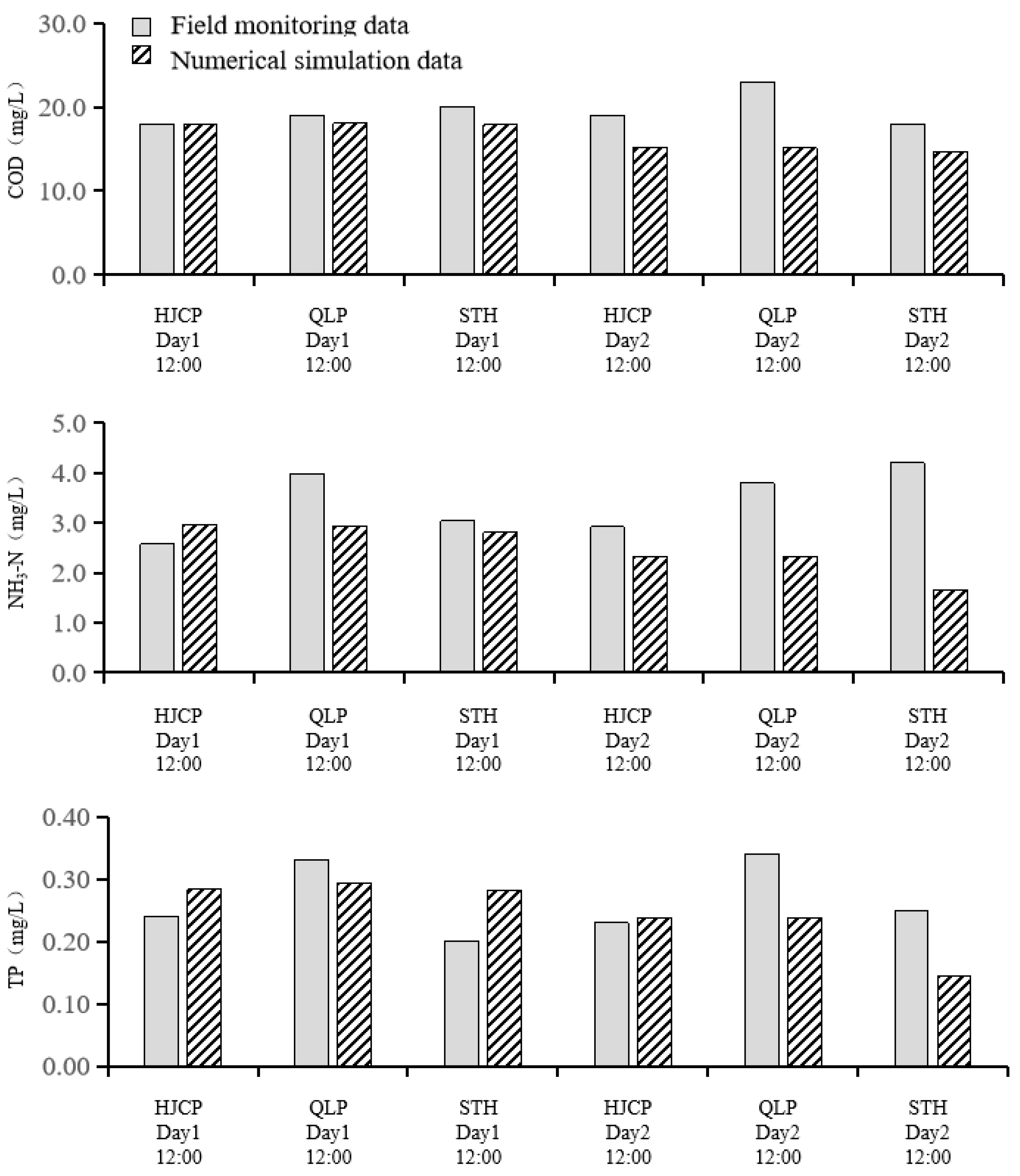
3.2. Model Verification
- Verification of the hydraulic model
- 2.
- Verification of the water quality model during the dry season
4. Simulation of the Reclaimed Water Diversion Project
4.1. Multi-Scheme Simulation and Analysis of Reclaimed Water Diversion and Distribution in the Nanguan River and the Qinglongpu River
4.2. Optimization Configuration Scheme of Yantou Gate Section Water Quality Improvement
5. Conclusions
Author Contributions
Funding
Data Availability Statement
Conflicts of Interest
References
- Ye, S.; Ge, Y.; Xu, S.; Ma, X. Measurement and prediction of coupling coordination level of economic development, social stability and ecological environment in Qinghai-Thoughts on sustainable societal safety. Sustainability 2022, 14, 10515. [Google Scholar] [CrossRef]
- Zeeman, G.; Sanders, W.; Letting, G. Feasibility of the on-site treatment of sewage and swill in large buildings. Water Sci. Technol. 2000, 41, 9–16. [Google Scholar] [CrossRef]
- Ahmed, S.A.; Tewfik, S.R.; Talaat, H.A. Development and verification of a decision support system for the selection of optimum water reuse schemes. Desalination 2002, 152, 339–352. [Google Scholar] [CrossRef]
- Watson, R.; Mukheibir, P.; Mitchell, C. Local recycled water in sydney: A policy and regulatory tug-of-war. J. Clean. Prod. 2017, 148, 583–594. [Google Scholar] [CrossRef]
- Zhu, C.; Fang, C.; Zhang, L. Analysis of the coupling coordinated development of the population-water-ecology-economy system in urban agglomerations and obstacle factors discrimination: A case study of the Tianshan North Slope Urban Agglomeration, China. Sustain. Cities Soc. 2022, 90, 104359. [Google Scholar] [CrossRef]
- Oron, G. Management modeling of integrative wastewater treatment and reuse systems. Water Sci. Technol. 1996, 33, 95–105. [Google Scholar] [CrossRef]
- Rice, J.; Wutich, A.; White, D.; Westerhoff, P. Comparing actual de facto wastewater reuse and its public acceptability: A three city case study. Sustain. Cities Soc. 2016, 27, 467–474. [Google Scholar] [CrossRef]
- Bishop, A.B.; Narayanan, R. Seasonal and stochastic factors in water planning. J. Hydraul. Eng. 1977, 103, 1159–1172. [Google Scholar] [CrossRef]
- Cuevas-Ferrando, E.; Sánchez, G.; Pérez-Cataluña, A. Exploring plant virus diversity in wastewater and reclaimed water through metagenomic analysis. Water Res. 2025, 270, 122827. [Google Scholar] [CrossRef]
- Dogan, S.; Ali Sina Azarm, S. Cost analysis and site selection for reclaimed water injection to enhance coastal aquifer sustainability. J. Water Process Eng. 2024, 68, 106551. [Google Scholar] [CrossRef]
- Asano, T.; Mill, R.A. Planning and analysis for water reuse project. J. Am. Water Work. Assoc. 1990, 82, 38–47. [Google Scholar] [CrossRef]
- Domínguez-García, P.; Aljabasini, O.; Barata, C.; Gómez-Canela, C. Environmental risk assessment of pharmaceuticals in wastewaters and reclaimed water from catalan main river basins. Sci. Total Environ. 2024, 949, 175020. [Google Scholar] [CrossRef]
- Aljanabi, A.; Mays, L.; Fox, P. Optimization model for agricultural reclaimed water allocation using mixed-integer nonlinear programming. Water 2018, 10, 1291. [Google Scholar] [CrossRef]
- Downs, T.J.; Mazari-hiriart, M.; Dominguez-mora, R.; Suffet, I.H. Sustainability of least cost policies for meeting Mexico City’s future water demand. Water Resour. Res. 2000, 36, 2321–2339. [Google Scholar] [CrossRef]
- Frijns, H.G.; Smith, H.M.; Brouwer, S.; Garnett, K.; Jeffrey, P. How governance regimes shape the implementation of water reuse schemes. Water 2016, 8, 605. [Google Scholar] [CrossRef]
- Amaral, A.L.; Martins, R.; Dias, L.C. Drivers of water utilities’ operational performance-An analysis from the Portuguese case. J. Clean. Prod. 2023, 389, 136004. [Google Scholar] [CrossRef]
- Bishop, A.B.; Hendrieks, D.W. Assessment analysis for water alternatives. Water Resour. Bull. 1971, 7, 542–553. [Google Scholar] [CrossRef]
- Galvis, A.; Jaramillo, M.F.; van der Stem, P.; Gijzen, H.J. Financial aspects of reclaimed wastewater irrigation in three sugarcane production areas in the upper cauca river basin, Colombia. Agric. Water Manag. 2018, 209, 102–110. [Google Scholar] [CrossRef]
- Giannoccaro, G.; Arborea, S.; Gennaro, B.C.D.; Iacobellis, V.; Piccinni, A.F. Assessing reclaimed urban wastewater for reuse in agriculture: Technical and economic concerns for mediterranean regions. Water 2019, 11, 1511. [Google Scholar] [CrossRef]
- Heres, D.R.; Kallbekken, S.; Galarraga, I. The role of budgetary information in the preference for externality correcting subsidies over taxes: A lab experiment on public support. Environ. Resour. Econ. 2015, 66, 1–15. [Google Scholar] [CrossRef]
- Beaudequin, D.; Harden, F.; Roiko, A.; Stratton, H.; Lemckert, C.; Mengersen, K. Wastewater reuse: Modelling microbial health risk of systems perspective. Environ. Int. 2015, 84, 131–141. [Google Scholar] [CrossRef]
- Jodicke, G.; Fischer, U. Wastewater reuse: A new approach to screen for designs with minimal total costs. Comput. Chem. Eng. 2001, 25, 203–215. [Google Scholar] [CrossRef]
- Joksimovic, D.; Kubik, J.; Hlavinek, P.; Savic, D.; Walters, G. Development of an integrated simulation model for treatment and distribution of reclaimed water. Desalination 2006, 188, 9–20. [Google Scholar] [CrossRef]
- Terpstra, P.M.J. Sustainable water usage systems: Models for the sustainable utilization of domestic water in urban areas. Water Sci. Technol. 1999, 39, 65–72. [Google Scholar] [CrossRef]
- Wang, C.; Wu, F.; Wang, R.; Zhang, L.; Wang, W. Shadow price estimation of reclaimed water: A nonlinear supply–demand coupled model considering market benefits norm. J. Hydrol. 2025, 656, 132995. [Google Scholar] [CrossRef]
- Kalboussi, N.; Biard, Y.; Pradeleix, L.; Rapaport, A.; Sinfort, C.; Ait-Mouheb, N. Life cycle assessment as decision support tool for water reuse in agriculture irrigation. Sci. Total Environ. 2022, 836, 155486. [Google Scholar] [CrossRef] [PubMed]
- Maestre-Valero, J.F.; Martin-Gorriz, B.; Alarcon, J.; Nicolás, E.; Martínez-Álvarez, V. Economic feasibility of implementing regulated deficit irrigation with reclaimed water in a grapefruit orchard. Agric. Water Manag. 2016, 178, 119–125. [Google Scholar] [CrossRef]
- Molina, A.; Melgarejo, J. Water policy in Spain:seeking a balance between transfers, desalination and wastewater reuse. Int. J. Water Resour. Dev. 2016, 32, 781–798. [Google Scholar] [CrossRef]
- Sano, D.; Amarasiri, M.; Hata, A.; Watanabe, T.; Katayama, H. Risk management of viral infectious diseases in wastewater reclamation and reuse: Review. Environ. Int. 2016, 91, 220–229. [Google Scholar] [CrossRef]
- Mulvihill, M.E.; Dracup, J.A. Optimal timing and sizing of a conjunetive urban water supply and wasterwater system with non-linear programming. Water Resour. Res. 1974, 10, 170–175. [Google Scholar] [CrossRef]
- Haruvy, N. Wastewater reuse-regional and economic considerations. Resour. Conserv. Recycl. 1998, 23, 57–66. [Google Scholar] [CrossRef]
- Navarro, T. Water reuse and desalination in Spain-Challenges and opportunities. J. Water Reuse Desalin. 2018, 8, 153–168. [Google Scholar] [CrossRef]
- Ocanas, G.; Mays, L.W. A model for water reuse planning. Water Resour. Res. 1981, 17, 25–32. [Google Scholar] [CrossRef]
- Sanchís, J.; Petrović, M.; José Farré, M. Emission of (chlorinated) reclaimed water into a Mediterranean River and its related effects to the dissolved organic matter fingerprint. Sci. Total Environ. 2021, 760, 143881. [Google Scholar] [CrossRef]
- Wang, C.; Yang, Q.; Wu, S. Coordinated development relationship between port cluster and its bin-terland economic system based on improved coupling coordination degree model: Empirical study from China’s port integration. Sustainability 2022, 14, 4963. [Google Scholar] [CrossRef]













| Sim Cases | Reclaimed Water Configuration | Concentration of COD | Concentration of NH3-N | Concentration of TP |
|---|---|---|---|---|
| 1-1 | Current case | / | / | / |
| 2-1 | Wastewater | 300 | 30 | 5 |
| 2-2 | Wastewater | 300 | 30 | 5 |
| 2-3 | Wastewater | 300 | 30 | 5 |
| 3-1 | High-quality reclaimed water, 20% load | 30 | 1.5 | 0.3 |
| 3-2 | High-quality reclaimed water, 40% load | 30 | 1.5 | 0.3 |
| 3-3 | High-quality reclaimed water, 60% load | 30 | 1.5 | 0.3 |
| 3-4 | High-quality reclaimed water, 80% load | 30 | 1.5 | 0.3 |
| 3-5 | High-quality reclaimed water, 100% load | 30 | 1.5 | 0.3 |
| 4-1 | Low-quality reclaimed water, 20% load | 60 | 8 | 1.0 |
| 4-2 | Low-quality reclaimed water, 60% load | 60 | 8 | 1.0 |
| 4-3 | Low-quality reclaimed water, 100% load | 60 | 8 | 1.0 |
| 5-1 | Reclaimed water plus wetland, 20% load | 20 | 1 | 0.2 |
| 5-2 | Reclaimed water plus wetland, 60% load | 20 | 1 | 0.2 |
| 5-3 | Reclaimed water plus wetland, 100% load | 20 | 1 | 0.2 |
| 5-4 | Reclaimed water plus wetland, 200% load | 20 | 1 | 0.2 |
Disclaimer/Publisher’s Note: The statements, opinions and data contained in all publications are solely those of the individual author(s) and contributor(s) and not of MDPI and/or the editor(s). MDPI and/or the editor(s) disclaim responsibility for any injury to people or property resulting from any ideas, methods, instructions or products referred to in the content. |
© 2025 by the authors. Licensee MDPI, Basel, Switzerland. This article is an open access article distributed under the terms and conditions of the Creative Commons Attribution (CC BY) license (https://creativecommons.org/licenses/by/4.0/).
Share and Cite
Fu, L.; Hu, R.; Wang, J.; Jin, Q.; Wang, S.; Jiang, C. Estimation of Reclaimed Water Utilization Benefits in a Typical Coastal River Network. Water 2025, 17, 1270. https://doi.org/10.3390/w17091270
Fu L, Hu R, Wang J, Jin Q, Wang S, Jiang C. Estimation of Reclaimed Water Utilization Benefits in a Typical Coastal River Network. Water. 2025; 17(9):1270. https://doi.org/10.3390/w17091270
Chicago/Turabian StyleFu, Lei, Rongxiang Hu, Junmin Wang, Qiaoqiao Jin, Shiwu Wang, and Chao Jiang. 2025. "Estimation of Reclaimed Water Utilization Benefits in a Typical Coastal River Network" Water 17, no. 9: 1270. https://doi.org/10.3390/w17091270
APA StyleFu, L., Hu, R., Wang, J., Jin, Q., Wang, S., & Jiang, C. (2025). Estimation of Reclaimed Water Utilization Benefits in a Typical Coastal River Network. Water, 17(9), 1270. https://doi.org/10.3390/w17091270
