Seasonal and Long-Term Changes in the Number of Waterfowl Wintering on Lake Żarnowieckie, Northern Poland
Abstract
1. Introduction
2. Materials and Methods
2.1. Study Area
2.2. Field Study
2.3. Weather Conditions
2.4. Data Analysis
3. Results
3.1. Intra-Seasonal Changes in Bird Numbers During the Period 1986–1990
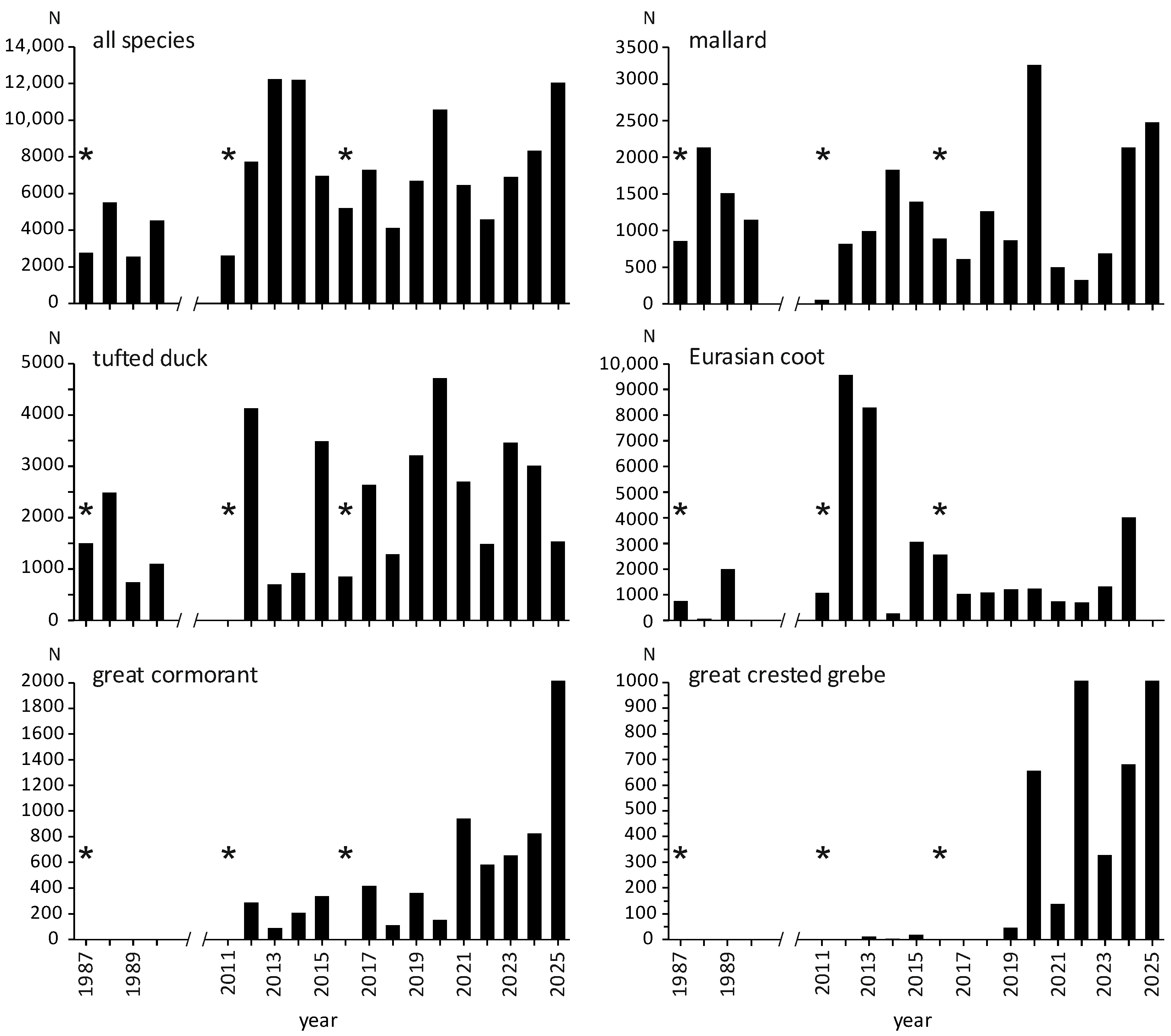
3.2. Long-Term Mid-Winter Changes in Bird Numbers According to January Counts
4. Discussion
Funding
Data Availability Statement
Acknowledgments
Conflicts of Interest
References
- De Leeuw, J. Food intake rates and habitat segregation of tufted duck Aythya fuligula and scaup Aythya marila exploiting zebra mussels Dreissena polymorpha. Ardea 1999, 87, 15–31. [Google Scholar]
- Schwab, A.; Bornhauser-Sieber, U.; Keller, V. Entwicklung der Wasservogelbeständr im Luzerner Seebecken (Vierwaldstättersee) von 1954/55 bis 2000/2001. Ornithol. Beob. 2001, 98, 179–208. [Google Scholar]
- Nilsson, L.; Haas, F. Distribution and numbers of wintering waterbirds in Sweden in 2015 and changes during the last fifty years. Ornis Svec. 2016, 26, 3–54. [Google Scholar] [CrossRef]
- Marchowski, D.; Jankowiak, Ł.; Wysocki, D.; Ławicki, Ł.; Girjatowicz, J. Ducks change wintering patterns due to changing climate in the important wintering waters of the Odra River Estuary. PeerJ 2017, 5, e3604. [Google Scholar] [CrossRef] [PubMed]
- Meissner, W.; Janczyszyn, A.; Kośmicki, A.; Trzeciak, H. Waterbird abundance in the Gulf of Gdańsk in the period September 2023–April 2024. Ornis Pol. 2024, 65, 161–170, (In Polish with English Summary). [Google Scholar]
- Struwe-Juhl, B. Zur Bedeutung ausgewählter Gewässer des östlichen Schleswig-Holstein für rastende Wasservögel—Vergleichende Auswertung der Ergebnisse der Internationalen Wasservogelzählung aus den Jahren 1966/67–1995/96. Corax 2000, 18, 1–240. [Google Scholar]
- Hansen, J.E.; Sato, M.; Simons, L.; Nazarenko, L.S.; Sangha, I.; Kharecha, P.; Zachos, J.C.; von Schuckmann, K.; Loeb, N.G.; Osman, M.B.; et al. Global warming in the pipeline. Oxf. Open Clim. Change 2023, 3, kgad008. [Google Scholar] [CrossRef]
- Lehikoinen, A.; Jaatinen, K.; Vähätalo, A.V.; Clausen, P.; Crowe, O.; Deceuninck, B.; Hearn, R.; Holt, C.A.; Hornman, M.; Keller, V.; et al. Rapid climate driven shifts in wintering distributions of three common waterbird species. Glob. Change Biol. 2013, 19, 2071–2081. [Google Scholar] [CrossRef]
- Minchin, D.; Lucy, F.; Sullivan, M. Zebra Mussel: Impacts and spread. In Invasive Aquatic Species of Europe: Distribution, Impacts and Management; Leppäkoski, E., Gollasch, S., Olenin, S., Eds.; Kluwer Academic Publishers: Dordreicht, The Netherlands, 2002; pp. 135–146. [Google Scholar]
- Kinzelbach, R. The main features of the phylogeny and dispersal of the zebra mussel Dreissena polymorpha. In The Zebra Mussel Dreissena Polymorpha, Ecology, Biological Monitoring and First Applications in Water Quality Management; Neuman, D., Jenner, H.A., Eds.; Gustav Fisher: Stuttgart, Germany, 1992; pp. 5–17. [Google Scholar]
- Wormington, A.; Leach, J.H. Concentrations of migrant diving ducks at Point Pelee National Park, Ontario, in response to invasion of zebra mussels, Dreissena polymorpha. Can. Field-Nat. 1992, 106, 376–380. [Google Scholar] [CrossRef]
- Werner, S.; Mörtl, M.; Bauer, H.-G.; Rothhaupt, K.-O. Strong impact of wintering waterbirds on zebra mussel (Dreissena polymorpha) populations at Lake Constance, Germany. Freshw. Biol. 2005, 50, 1412–1426. [Google Scholar] [CrossRef]
- Wetlands International. Waterbird Population Estimates. Available online: http://wpe.wetlands.org/2025 (accessed on 31 January 2025).
- Gaget, E.; Pavón-Jordán, D.; Johnston, A.; Lehikoinen, A.; Hochachka, W.M.; Sandercock, B.K.; Soultan, A.; Soultan, H.; Bendjedda, N.; Bino, T.; et al. Benefits of protected areas for nonbreeding waterbirds adjusting their distributions under climate warming. Conserv. Biol. 2021, 35, 834–845. [Google Scholar] [CrossRef]
- Gaget, E.; Johnston, A.; Pavón-Jordán, D.; Lehikoinen, A.S.; Sandercock, B.K.; Soultan, A.; Božič, L.; Clausen, P.; Devos, K.; Domsa, C.; et al. Protected area characteristics that help waterbirds respond to climate warming. Conserv. Biol. 2022, 36, e13877. [Google Scholar] [CrossRef]
- Ridgill, S.C.; Fox, A.D. Cold Weather Movements of Waterfowl in Western Europe. IWRB Special Publication 13; International Waterfowl and Wetlands Research Bureau: Slimbridge, UK, 1990. [Google Scholar]
- Suter, W. Die Bedeutung von Untersee-Ende/Hochrhein (Bodensee) als wichtiges Überwinterungsgewässer für Tauchenten (Aythya, Bucephala) und Blässhuhn (Fulica atra). Ornithol. Beob. 1982, 79, 73–96. [Google Scholar]
- Lovvorn, J.R. Distributional response of Canvasback Ducks to weather and habitat change. J. Appl. Ecol. 1989, 26, 113–130. [Google Scholar] [CrossRef]
- Dyrcz, A.; Kołodziejczyk, P.; Martini, K.; Martini, M. Birds of the Mietków Reservoir. Ptaki Śląska 1998, 12, 17–80, (In Polish with English Summary). [Google Scholar]
- Ciach, M.; Mężyk, M. Sex ratio of non-breeding flocks of the Teal Anas crecca, Mallard Anas platyrhynchos and Pochard Aythya ferina. Kulon 2007, 12, 19–30, (In Polish with English Summary). [Google Scholar]
- Niggeler, E.; Keller, V. Wintering waterbirds at the Ramsar site Stausee Niederried (canton of Berne, Switzerland) 1951/52–2005/06. Ornithol. Beob. 2007, 104, 279–300. [Google Scholar]
- Wilniewczyc, P. Bird migration and wintering in the river valleys of the Świętokrzyskie Mountains. Naturalia 2020, 6, 3–37, (In Polish with English Summary). [Google Scholar]
- Neubauer, G.; Meissner, W.; Chylarecki, P.; Chodkiewicz, T.; Sikora, A.; Pietrasz, K.; Cenian, Z.; Betleja, J.; Gaszewski, K.; Kajtoch, Ł.; et al. Bird Monitoring of Poland in 2013–2015. Biul. Monit. Przyr. 2015, 13, 1–92. (In Polish) [Google Scholar]
- Chodkiewicz, T.; Neubauer, G.; Sikora, A.; Ławicki, Ł.; Meissner, W.; Bobrek, R.; Cenian, Z.; Bzoma, S.; Betleja, J.; Kuczyński, L.; et al. Bird Monitoring of Poland in 2016–2018. Biul. Monit. Przyr. 2018, 17, 1–90. (In Polish) [Google Scholar]
- Hamilton, D.J.; Ankney, C.D.; Bailey, R.C. Predation of zebra mussel by diving ducks: An exclosure study. Ecology 1994, 75, 521–531. [Google Scholar] [CrossRef]
- Yamamuro, M.; Oka, N.; Hiratsuka, J. Predation by diving ducks on the biofouling mussel Musculista senhousia in a eutrophic estuarine lagoon. Mar. Ecol. Prog. Ser. 1998, 174, 101–106. [Google Scholar] [CrossRef]
- Choiński, A. Catalogue of Lakes in Poland. Part One—Pomeranian Lakeland; Adam Mickiewicz University in Poznań: Poznań, Poland, 1991. (In Polish) [Google Scholar]
- Majewski, W. The development of hydro power in Poland. The most important hydro engineering facilities. Acta Energetica 2013, 3, 45–59. [Google Scholar] [CrossRef]
- Majewski, W. Studies of Lake Żarnowieckie for design and operational purposes of the nuclear power plant and pumped storage power plant. Energetyka Wodna 2021, 40, 39–46. (In Polish) [Google Scholar]
- Majewski, W. Studies of Lake Żarnowieckie for the Needs of the Nuclear and Pumped Storage Power Plant; State Scientific Publishers Institute: Warsaw, Poland, 1983. (In Polish) [Google Scholar]
- Majewski, W. The Condition of Lake Żarnowieckie after 10 Years of Operation of the Pumped Storage Power Plant; Publishing House of the Warsaw University of Technology: Warsaw, Poland, 1996. (In Polish) [Google Scholar]
- Wiktor, J. The biology of Dreissena polymorpha (Pall.) and its ecological importance in the Firth of Szczecin. Stud. Mat. Morsk. Inst. Ryb. Gdyn. Ser. A 1969, 5, 1–88, (In Polish with English Summary). [Google Scholar]
- Kajak, Z.; Dusoge, K.; Lewandowski, K.; Panter, M.; Stańczykowska, R.; Wiśniewski, R.J.; Preis, K. Benthos and bottom sediments. In Studies of Lake Żarnowieckie for the Needs of the Nuclear and Pumped Storage Power Plant; Majewski, W., Ed.; Publishing House of the Warsaw University of Technology: Warsaw, Poland, 1983; pp. 125–134. (In Polish) [Google Scholar]
- Zawisza, J.; Ciepielewski, W.; Grzywacz, J.; Nagięć, G.; Waluś, T. Environmental and Fisheries Assumptions for the Management of Lake Żarnowieckie After the Launch of the “Żarnowiec” Pumped Storage Power Plant; Inland Fisheries Institute: Olsztyn, Poland, 1968. (In Polish) [Google Scholar]
- Afanasjew, S.A.; Protasow, A.A.; Zdanowski, B. The composition and structure of zoobenthos in the littoral zone of the lake and in the channel and upper reservoir of the power plant. In The condition of Lake Żarnowieckie After 10 Years of Operation of the Pumped Storage Power Plant; Majewski, W., Ed.; Publishing House of the Warsaw University of Technology: Warsaw, Poland, 1996. (In Polish) [Google Scholar]
- Świerzowski, A. Fisheries characteristics. In The Condition of Lake Żarnowieckie After 10 Years of Operation of the Pumped Storage Power Plant; Majewski, W., Ed.; Publishing House of the Warsaw University of Technology: Warsaw, Poland, 1996; pp. 133–158, (In Polish with English Summary). [Google Scholar]
- Anonymus. Northern Kashubia in Four Seasons; Tourist Association “Northern Kashubia”: Puck, Poland, 2018. (In Polish) [Google Scholar]
- Klein Tank, A.M.G.; Wijngaard, J.B.; Können, G.P.; Böhm, R.; Demarée, G.; Gocheva, A.; Mileta, M.; Pashiardis, S.; Hejkrlik, L.; Kern-Hansen, C.; et al. Daily dataset of 20th-centurysurface air temperature and precipitation series for the European Climate Assessment. Intern. J. Climatol. 2002, 22, 1441–1453. [Google Scholar] [CrossRef]
- Cramp, S. The Birds of the Western Palearctic; Simmons, K.E.L., Ed.; Oxford University Press: Oxford, UK, 1977; Volume 1. [Google Scholar]
- Szlama, D.; Ostański, M.; Profus, P. The avifauna of the Dzierżno Duże Retention Reservoir in the Upper Silesia. Part 3. The importance of the reservoir and its surroundings for migrating and wintering birds. Chrońmy Przyr. Ojcz. 2008, 64, 3–48, (In Polish with English Summary). [Google Scholar]
- Meissner, W.; Typiak, J.; Bzoma, S. Numbers of waterbirds on the Bay of Gdańsk in September 2009–April 2010. Ornis Pol. 2010, 51, 310–313, (In Polish with English Summary). [Google Scholar]
- Gwiazda, R.; Profus, P.; Flis, A.; Bisztyga, A.; Baran, M. Condition, structure and abundance of birds on the Goczałkowice Reservoir after dam renovation and habitat changes. Chrońmy Przyr. Ojcz. 2014, 70, 483–509, (In Polish with English Summary). [Google Scholar]
- Bezzel, E.; Hashmi, D. Dynamik binnenländischer Rastbestände von Schwimmvögeln: Indextrends von Stockente, Reiherente und Bläßhuhn (Anas platyrhynchos, Aythya fuligula, Fulica atra) in Südbayern. J. Orn. 1989, 130, 35–48. [Google Scholar] [CrossRef]
- Bordjan, D. The Mallard Anas platyrhynchos in Slovenia: A review with an estimation of its current population. Acrocephalus 2020, 41, 69–118. [Google Scholar] [CrossRef]
- Jorde, D.G.; Krapu, G.L.; Crawford, R.D. Feeding ecology of mallards in Nebraska. J. Wildl. Manage 1983, 47, 1044–1053. [Google Scholar] [CrossRef]
- Delnicki, D.; Reinecke, K.J. Mid-winter food use and body weights of Mallards and Wood Ducks in Mississippi. J. Wildl. Manage. 1986, 50, 43–51. [Google Scholar] [CrossRef]
- Bauer, K.M.; Glutz von Blotzheim, U.N. Handbuch der Vögel Mitteleuropas. 1; Akademische Verlagsgesellschaft: Frankfurt am Main, Germany, 1968. [Google Scholar]
- Guillemain, M.; Pöysä, H.; Fox, A.D.; Arzel, C.; Dessborn, L.; Ekroos, J.; Gunnarsson, G.; Holm, T.E.; Christensen, T.K.; Lehikoinen, A.; et al. Effects of climate change on European ducks: What do we know and what do we need to know? Wildl. Biol. 2013, 19, 404–419. [Google Scholar] [CrossRef] [PubMed]
- Stańczykowska, A.; Zyska, P.; Dombrowski, A.; Kot, H.; Zyska, E. The distribution of waterfowl in relation to mollusc populations in the man-made Lake Zegrzyńskie. Hydrobiologia 1990, 191, 233–240. [Google Scholar] [CrossRef]
- Cervencl, A.; Alvarez Fernandez, S. Winter distribution of Greater Scaup Aythya marila in relation to available food resources. J. Sea Res. 2012, 73, 41–48. [Google Scholar] [CrossRef]
- Strayer, D.L.; Malcom, H.M. Long-term demography of a zebra mussel (Dreissena polymorpha) population. Freshw. Biol. 2006, 51, 117–130. [Google Scholar] [CrossRef]
- Jones, T.S.; Montz, G.R. Population increase and associated effects of zebra mussels Dreissena polymorpha in Lake Mille Lacs, Minnesota, U.S.A. Bioinvasions Rec. 2020, 9, 772–792. [Google Scholar] [CrossRef]
- Lacy, A.; Jin, Y.; Strayer, D.; Lenhart, S. Modeling the population dynamics and movement of Zebra mussels. J. Differ. Equ. Appl. 2024, 30, 1117–1146. [Google Scholar] [CrossRef]
- Kirk, M.; Esler, D.; Iverson, S.A.; Boyd, W.S. Movements of wintering surf scoters: Predator responses to different prey landscapes. Oecologia 2008, 155, 859–867. [Google Scholar] [CrossRef]
- Frenzel, P.; Schneider, M. Ökologische Untersuchungen an überwinternden Wasservögeln im Ermatinger Becken (Bodensee): Die Auswirkungen von Jagd, Schiffahrt und Freizeitaktivitäten. Orn. Jh. Bad. Württ. 1987, 3, 53–79. [Google Scholar]
- Meissner, W. Variation in timing of the Siberian Knot Calidris c. canutus autumn migration in the Puck Bay region (southern Baltic). Acta Ornithol. 2005, 40, 95–101. [Google Scholar] [CrossRef]
- Herrmann, C.; Bregnballe, T.; Larsson, K.; Leivits, M.; Rusanen, P. Population Development of Baltic Bird Species: Great Cormorant (Phalacrocorax carbo sinesis)—Update; HELCOM Baltic Sea Environment Fact Sheet. 2018. Available online: www.helcom.fi/baltic-sea-trends/environment-fact-sheets (accessed on 31 January 2025).
- Bregnballe, T.; Lynch, J.; Parz-Gollner, R.; Marion, L. Breeding Numbers of Great Cormorants Phalacrocorax Carbo in the Western Palearctic, 2012–2013; Volponi, S., Paquet, J.-Y., Carss, D.N., van Eerden, M.R., Eds.; IUCN-Wetlands International Cormorant Research Group Report: Aarhus, Denmark, 2014. [Google Scholar]
- Strebel, N. Wintering Waterbirds in Switzerland: Results of the Swiss Waterbird Monitoring 2014/2015 and 2015/2016; Swiss Ornithological Institute: Sempach, Switzerland, 2016. [Google Scholar]
- Woodward, I.D.; Calbrade, N.A.; Birtles, G.A.; Feather, A.; Peck, K.; Wotton, S.R.; Shaw, J.M.; Balmer, D.E.; Frost, T.M. Waterbirds in the UK 2022/23. The Wetland Bird Survey and Goose & Swan Monitoring Programme; British Trust for Ornithology: Thetford, UK, 2024. [Google Scholar]
- Pavón-Jordán, D.; Fox, A.D.; Clausen, P.; Dagys, M.; Deceuninck, B.; Devos, K.; Hearn, R.D.; Holt, C.A.; Hornman, M.; Keller, V.; et al. Climate-driven changes in winter abundance of a migratory waterbird in relation to EU protected areas. Divers. Distrib. 2015, 21, 571–582. [Google Scholar] [CrossRef]
- Frost, T.M.; Calbrade, N.A.; Birtles, G.A.; Hall, C.; Robinson, A.E.; Wotton, S.R.; Balmer, D.E.; Austin, G.E. Waterbirds in the UK 2019/20: The Wetland Bird Survey; British Trust for Ornithology: Thetford, UK, 2021. [Google Scholar]





| Species | Period | r | p |
|---|---|---|---|
| mallard | 1986–1990, 2011–2025 | 0.57 | 0.011 |
| tufted duck | 1986–1990, 2011–2025 | 0.46 | 0.047 |
| Eurasian coot | 1986–1990, 2011–2025 | 0.10 | 0.698 |
| great cormorant | 2011–2025 | 0.15 | 0.588 |
| great crested grebe | 2019–2025 | −0.08 | 0.859 |
Disclaimer/Publisher’s Note: The statements, opinions and data contained in all publications are solely those of the individual author(s) and contributor(s) and not of MDPI and/or the editor(s). MDPI and/or the editor(s) disclaim responsibility for any injury to people or property resulting from any ideas, methods, instructions or products referred to in the content. |
© 2025 by the author. Licensee MDPI, Basel, Switzerland. This article is an open access article distributed under the terms and conditions of the Creative Commons Attribution (CC BY) license (https://creativecommons.org/licenses/by/4.0/).
Share and Cite
Meissner, W. Seasonal and Long-Term Changes in the Number of Waterfowl Wintering on Lake Żarnowieckie, Northern Poland. Water 2025, 17, 1209. https://doi.org/10.3390/w17081209
Meissner W. Seasonal and Long-Term Changes in the Number of Waterfowl Wintering on Lake Żarnowieckie, Northern Poland. Water. 2025; 17(8):1209. https://doi.org/10.3390/w17081209
Chicago/Turabian StyleMeissner, Włodzimierz. 2025. "Seasonal and Long-Term Changes in the Number of Waterfowl Wintering on Lake Żarnowieckie, Northern Poland" Water 17, no. 8: 1209. https://doi.org/10.3390/w17081209
APA StyleMeissner, W. (2025). Seasonal and Long-Term Changes in the Number of Waterfowl Wintering on Lake Żarnowieckie, Northern Poland. Water, 17(8), 1209. https://doi.org/10.3390/w17081209

