Abstract
The contamination of water by heavy metals is among the main ecological challenges of society due to industrialization and urbanization. To overcome this issue, various treatment processes have been developed. Phycoremediation is considered a promising strategy offering advantages in terms of cost-effectiveness. The present work aims to investigate the cellular responses of an isolated green microalga strain (Chlamydomonas sp.) to chromium (Cr) and copper (Cu) exposure in single and bimetallic systems. At ½ IC50 concentration, the metal removal efficiencies were reported: up to 58.11 ± 0.979% for Cu and 41.4 ± 0.870% for Cr in single systems. When both metals were combined, Cr removal efficiency improved to 57.71 ± 0.832%, whereas Cu removal efficiency showed minimal variation, reaching 58.43 ± 1.059%. Furthermore, Cu and Cr appeared to have a negative effect on cell growth and photosynthetic pigment accumulation. An enhancement in lipid content for microalgae cells after Cu and/or Cr exposure, particularly C14:0, C16:0, C20:0, C18:0, C16:1, C18:1, and C20:1, as well as polysaccharides, was detected, whereas the protein content decreased. FTIR analysis showed that several functional groups could be involved in the phycoremediation process.
1. Introduction
One of the main ecological challenges nowadays is the pollution of water by heavy metals [1,2]. Heavy metals are non-biodegradable elements defined according to their high atomic weight or relatively high density compared to water [3,4]. Based on their toxicity, metals are classified into two groups: essential metals or trace elements and non-essential metals [5]. Copper (Cu) is an essential micronutrient that represents the 25th most abundant component of the earth’s crust and is the third most used metal in the world [6]. It is essential for different living beings in small quantities and is involved in many physiological and biochemical processes [7,8,9]. Cu has two oxidation states, Cu1+ and Cu2+ [10]. Cu2⁺ is a highly toxic and carcinogenic species responsible for health problems. Copper occurs naturally in rocks, water, and air, while its main anthropogenic sources include industrial activities such as metallurgy, the production of fertilizer and fungicides, and the manufacture of printed circuits [6]. US Environmental Protection Agency (EPA) statistics indicate that the maximum allowable level of Cu(II) in industrial effluents is 1.3 mg/L [11]. Chromium (Cr) is considered the seventh most common element on earth [12,13]. It has different oxidation states, ranging from Cr(II) to Cr(VI), but the two most common and stable are trivalent Cr(III) and hexavalent Cr(VI) [14]. Cr(VI) is toxic even at very low concentrations due to its carcinogenic and mutagenic properties. Being less toxic than Cr(VI), Cr(III) is known to cause cancer, respiratory disorders, and allergic skin reactions in case of chronic exposure [15,16]. Cr is widely used in various industrial sectors, such as metallurgy, the production of paints and pigments, wood preservation, and pulp production. The extensive use of Cr has resulted in its discharge into surface and groundwater, subsequently exerting adverse effects on both flora and fauna [12]. Moreover, permissible concentrations of Cu in drinking water vary according to regulatory standards. The US EPA limits Cu levels to 1.0 mg/L, while the European Community sets a higher threshold at 3 mg/L. WHO (World Health Organization) water regulations recommend a lower limit of 0.01 mg/L. On the other hand, authorized concentrations for Cr differ slightly: the US EPA caps Cr at 0.1 mg/L, while the European Community authorizes it up to 0.5 mg/L. WHO water regulations are more closely aligned with US EPA standards, authorizing Cr levels of up to 0.1 mg/L [17].
Due to the growing awareness of the health and ecological problems caused by heavy metals, many solutions have been developed to better manage our environment, such as coagulation/flocculation, adsorption, and membrane technologies [18,19]. Unfortunately, their low efficiency and high maintenance costs make them unappealing. Microalgae-based wastewater treatment has been shown to be a cost-effective and sustainable solution due to its low energy requirements [20,21].
Some microalgae have the ability to form complexes between their cellular components and heavy metals, which are then stored in vacuoles or thylakoids, thereby regulating and limiting their toxic effects [22]. Exposure to heavy metals triggers the synthesis of metal-binding peptides, notably genetically encoded metallothioneins (MTs) and enzymatically produced phytochelatins (PCs), which effectively bind and detoxify heavy metals [23]. These sophisticated defense mechanisms underline the adaptability of microalgae to thrive in metal-contaminated environments.
This study aimed to assess the capability of Chlamydomonas sp. to tolerate and remove Cu and Cr. Cellular responses triggered by exposure to these metals were also investigated.
2. Materials and Methods
All experimental procedures and protocols are summarized in Figure 1.
2.1. Microalga Strain and Cultivation Conditions
The green microalga Chlamydomonas sp. belong to the microalgae collection of the Algae Biotechnology Unit, National School of Engineers of Sfax [24]. The seawater sample, from which the microalga strain was isolated, was first filtered through a membrane with a pore size of 60 μm. The filtrate was then transferred to sterile flasks containing F/2 medium [25]. These cultures were incubated under 150 μmol·photon·s−1·m−2 continuous light and at a temperature of 25 °C until significant growth developed [26]. An aliquot of each flask was then spread onto a sterile agar plate and incubated under the same conditions until significant growth was observed. A single colony was then aseptically transferred to a sterile F/2 liquid medium. After 72 h, the cultures were examined under an inverted microscope (Motic microscope AE, 2000, Barcelona, Spain). Phylogenetic analysis of the 18S rRNA gene confirmed that this isolate belongs to the genus Chlamydomonas [27].
Microalgae cells were grown and maintained in 250 mL Erlenmeyer flasks containing 100 mL of modified F/2 culture medium [28] at 25 °C, under a continuous light intensity of 150 μmol·photon·s−1·m−2 [20].
2.2. Sedimentation Efficiency
Decantation of Chlamydomonas sp. culture suspension was monitored in the dark at 682 nm (Thermo Fisher Scientific GENESYS 50 UV-Vis, Waltham, MA, USA) every 30 min at room temperature. The sediment yield (SE, %) was calculated based on the Equation (1) [20,21,22,23,24,25,26,27,28,29]:
where Abs0 and Abs correspond, respectively, to the absorbance of the suspension at t0 and the absorbance at time t.
SE = 1 − Abs/Abs0 × 100
2.3. IC50 Estimation
The assessment of Cu and Cr toxicity in microalga cells involved the calculation of the median inhibitory concentration (IC50), which is the initial metal concentration that generates a 50% decrease in the microorganisms’ growth compared to a control [20]. Analytical grade salts, copper sulfate pentahydrate (CuSO4-5H2O), and potassium chromate (K2CrO4) were dissolved in distilled water to prepare metal stock solutions. These stock solutions were then introduced into 10 mL of F/2 culture medium to obtain different concentrations of Cu and Cr, ranging from 1 to 500 mg/L. The starting cell density was maintained at 106 cells/mL. Each concentration, as well as the control, was performed in 3 trials. During the exposure period, the samples were maintained at 25 °C under 100 μmol·photon·s−1·m−2 and were shaken every 24 h to avoid cell clumping. After 96 h of exposure, cell density was determined by counting using a Malassez cell and an inverted microscope (Motic microscope AE 2000, Barcelona, Spain) after fixing the cells with Lugol’s iodine every 48 h [30]. The IC50 values were estimated by the AAT Bioquest IC50 calculator software (https://www.aatbio.com/tools/ic50-calculator 2 February 2025).
2.4. Impact of Cu and Cr on Growth and Pigment Accumulation
The growth of microalgae in the presence of Cu and Cr, at concentrations equal to half IC50 for each metal, was assessed by determining the evolution of the cell number over time using an inverted microscope (Motic microscope AE 2000, Spain) and conducting counts after fixing the cells with Lugol’s iodine every 48 h. When the stationary phase of growth was reached, the cultures were stopped.
The pigment content was estimated through spectrophotometry, with absorbance readings taken at 666, 653, and 470 nm using the formulas previously reported [31,32]:
[Chlorophyll a] (mg/L) = 15.65 × A₆₆₆ − 7.340 × A₆₅₃
[Chlorophyll b] (mg/L) = 27.05 × A₆₅₃ − 11.21 × A₆₆₆
[Total Chlorophyll] (mg/L) = [Chlorophyll a] + [Chlorophyll b]
[Carotenoids] (mg/L) = (1000 × A470) − 2.860 × [chlorophyll a] − 85.9 × ([Chlorophyll b])/245
2.5. Lipid Content
Total lipid extraction was performed from dried biomass, as described by Abdelkafi et al. [33], with slight modifications.
The microalgae biomass was taken from 20 mL of fresh culture and dried at 55 °C. The dry matter obtained was suspended in 1 mL of sterile distilled water; then, 1 mL of the mixture chloroform/methanol at the ratio (2:1) was added. The resulting mixture was stirred (vortexed) and incubated in a sonication bath at 65 °C and treated by 6 cycles of 5 min each at a frequency of 40 kHz, with a rest period of 1 min between cycles. The mixture was centrifuged for 10 min at 8000 rpm, and the organic phase was recovered, dried, and weighed. The lipid content was calculated by the Equation (6):
where ML is the mass of lipids and MS is the mass of dry algal biomass.
Lipid content (%) = ML/MS × 100
2.6. Fatty Acids Methyl Esters Analysis by Gas Chromatography
Transformation of the fatty acids into fatty acid methyl esters (FAMEs) methyl esters was achieved by transmethylation reaction [34]. The lipid extract was solubilized in 1 mL of a methanolic solution supplemented with 5% H2SO4, resulting in a final concentration of 0.05% (v/v). The mixture was then heated for 90 min at 85 °C in a water bath and supplemented with 1.5 mL of sodium chloride solution (0.9%) and 1 mL of n-hexane. The mixture was stirred for 30 s and then centrifuged at 4000 rpm for 2 min. The organic layer obtained was transferred to a vial and then analyzed by capillary gas chromatography (GC) equipped with a highly polar cyanopropyl polysiloxane stationary phase and flame ionization detection (FID) [34]. The capillary column used for the analysis was an Agilent CP-Sil88 column, measuring 50 m in length, with an internal diameter of 0.25 mm and a film thickness of 0.20 μm. FAMEs were analyzed using an Auto System gas chromatograph equipped with a flame ionization detector (FID) from Agilent (Palo Alto, CA, USA) model HP6890 N. To verify the identity of each FAME, its retention time is compared to known standards analyzed under similar conditions. The quantity of each FAME was calculated by determining the ratio between the surface area of each peak and the total surface area of all the peaks. The gas chromatography (GC) experiment was conducted using the following parameters: an injection volume of 1 μL, a 50:1 split ratio at an injector temperature of 250 °C, an initial oven temperature of 165 °C for 25 min, followed by a temperature ramp up to 195 °C at a rate of 5 °C per minute (with a 3 min hold at 195 °C). Helium gas was used as the carrier with a constant flow rate of 1 mL/min, and the detector was operated at a temperature of 250 °C.
2.7. Carbohydrate Assays
The total sugar content was determined according to the method of Dubois et al. [35], using D-glucose as a standard. From 1.5 mL of culture, the microalgal biomass was collected by centrifugation at 12,000 rpm for 10 min. The resulting pellet was weighed and dissolved in 100 μL of PBS (1x). The obtained mixture was transferred to a glass hemolysis tube. Then, 100 μL of 5% (v/v) phenol was added. The mixture was incubated on ice for 5 min. Then, 500 μL of concentrated sulfuric acid was added. The mixture was stirred (vortex) and incubated for 5 min at 100 °C in darkness. After shelling, the A492 was measured using a Thermo Fisher Scientific GENESYS 50 UV-Vis Spectrophotometer (Waltham, MA, USA).
2.8. Proteins Contents
Proteins were extracted from fresh microalgae biomass according to the protocol detailed by Rausch et al. [36]. Microalgae were collected from 4.5 mL of 15-day-old culture by centrifugation for 5 min at 10,000 rpm. The resulting pellet was dissolved in 1 mL of NaOH (0.5 M). The mixture was then incubated at 80 °C for 10 min and then in ice for 10 min. This heating-cooling step was repeated 3 times. Then, the mixture was centrifuged for 10 min at 6000 rpm, and the supernatant was recovered. The concentration of soluble proteins in the supernatant was determined by the Bradford method [37] using bovine serum albumin as a standard [38].
Figure 1.
Summary of experimental procedures and protocols [33,35,36].
Figure 1.
Summary of experimental procedures and protocols [33,35,36].

2.9. Metal Analysis
Following 15 days of cultivation, the microalgae culture was centrifuged at 6000 rpm for 8 min to collect the supernatant, which was used for the determination of residual Cr and Cu concentrations. Subsequently, the supernatants were filtered through nitrocellulose filters (0.45 μm) and treated with 1 mL of HCl (12 M) to quantify extracellular Cu and Cr concentrations.
Metal concentrations were measured using atomic absorption spectrophotometry (AAS) (Thermo Fisher Scientific iCE 3000, Waltham, MA, USA) at 324.8 and 357.9 nm for Cu (II) and Cr (VI), respectively. Results are reported as the mean of the two replicates.
2.10. Fourier Transform Infrared Spectroscopy (FTIR)
Fourier transform infrared (FTIR) spectroscopy analysis was used to determine and identify changes in specific functional groups in the freeze-dried biomass Chlamydomonas sp. before and after contact with metals. The infrared spectrum was acquired using an Agilent Technologies spectrometer (Cory 630 FTIR, Santa Clara, CA, USA) in the range 600 to 4000 cm−1 at room temperature. The measurement was carried out with 10 scans and a resolution of 4 cm−1.
2.11. Statistical Analysis
Differences between treatments and controls were assessed using a one-way ANOVA with a significance level of p < 0.05. The results were presented as mean ± standard deviation.
3. Results and Discussion
The study focuses on the cellular responses of Chlamydomonas sp. to exposure to copper (Cu) and chromium (Cr) in individual and combined systems. Chlamydomonas as microalga was chosen because of its remarkable adaptability and efficiency in eliminating metals, making it an ideal candidate for phycoremediation research [39]. It is essential to place this study in the Mediterranean context, as this region is facing major environmental challenges, in particular heavy metal pollution, underlining the relevance of local solutions to mitigate contamination.
3.1. IC50 Estimation and Sedimentation Efficiency
Chlamydomonas sp. was chosen to study its tolerance capacities toward Cr and Cu. The IC50 values were estimated to be 57.24 ± 0.779 mg/L and 115.22 ± 6.86 mg/L for Cr and Cu, respectively. Previous studies reported lower IC50 values of microalgae such as Pavlova sp., Chaetoceros gracilis, Isochrysis sp., and Scenedesmus obliquus against Cu [40,41,42] and Pseudokirchneriella subcapitata against Cr [43]. A recent study [44] found IC50 values of 4.507 ± 0.135 mg/L for Cu and 58.09 ± 2.323 mg/L for Cr in Dunaliella sp. AL-1, which provides additional insights into the sensitivity of microalgae to these metals.
Sedimentation is a straightforward, energy-efficient technique that requires no specialized equipment [45]. It is particularly advantageous for large-scale applications because of its low operational costs and minimal energy consumption compared with more complex harvesting methods such as centrifugation or filtration [46].
Chlamydomonas sp. achieved a sedimentation efficiency of 90.42% after 2 h at a neutral pH. This efficiency is in line with the performance observed in other research, where Tetraselmis marina AC16-MESO showed a commendable sedimentation efficiency of 95.6% over a longer period of 5 h. However, compared to Muriellopsis sp., which achieved a sedimentation efficiency of 71.3%, and Nannochloropsis gaditana, with a significantly lower efficiency of 18.2%, the green microalga Chlamydomonas sp. appeared to be effective for use in water treatment applications [29].
3.2. Effects of Metals Exposure on Chlamydomonas sp. Growth
The impact of the ½ IC50 concentration of Cu and/or Cr on the growth kinetics was assessed (Figure 2).
Figure 2.
Effects of Cr and Cu on Chlamydomonas sp. growth dynamics.
During the first 48 h, the metal-treated cells showed a drop in growth, which may be due to stress induced by the sudden exposure to the metals. However, it increased after 4 days, revealing an adaptation to culture conditions. The growth rates determined on the exponential phase in the control and metal-supplemented cultures (Table 1) provided valuable insights into the impact of metal exposure on microalgal growth dynamics.
Table 1.
The growth rate of Chlamydomonas sp. under metals exposure.
In the control culture, a growth rate of 0.19 ± 0.007 day−1 was recorded, indicating robust growth under normal conditions. However, the addition of metals, Cu, Cr, and a combination of Cu and Cr, led to a marked reduction in growth rates (0.07 ± 0.009, 0.14 ± 0.003, and 0.11 ± 0.022 day−1, respectively) compared to the untreated control. The variation in growth rates between the different metal treatments highlighted the differential sensitivity of Chlamydomonas sp. to metals (Table 1).
The presence of elevated concentrations of Cu and/or Cr in the environment can affect microalgae growth (Figure 2). It hinders their ability to multiply, reducing their growth rate, as previously reported for Chlamydomonas reinhardtii, Scenedesmus quadricauda, Chlamydomonas acidophila, and Chlorella vulgaris [47,48,49,50]. All these studies highlighted the adverse impacts of Cu and Cr toxicity, with Cu inducing oxidative stress, impairing photosynthesis, and disrupting enzyme activity, while Cr causes DNA damage, inhibiting mitochondrial complexes and interfering with nutrient absorption.
3.3. Pigment Contents
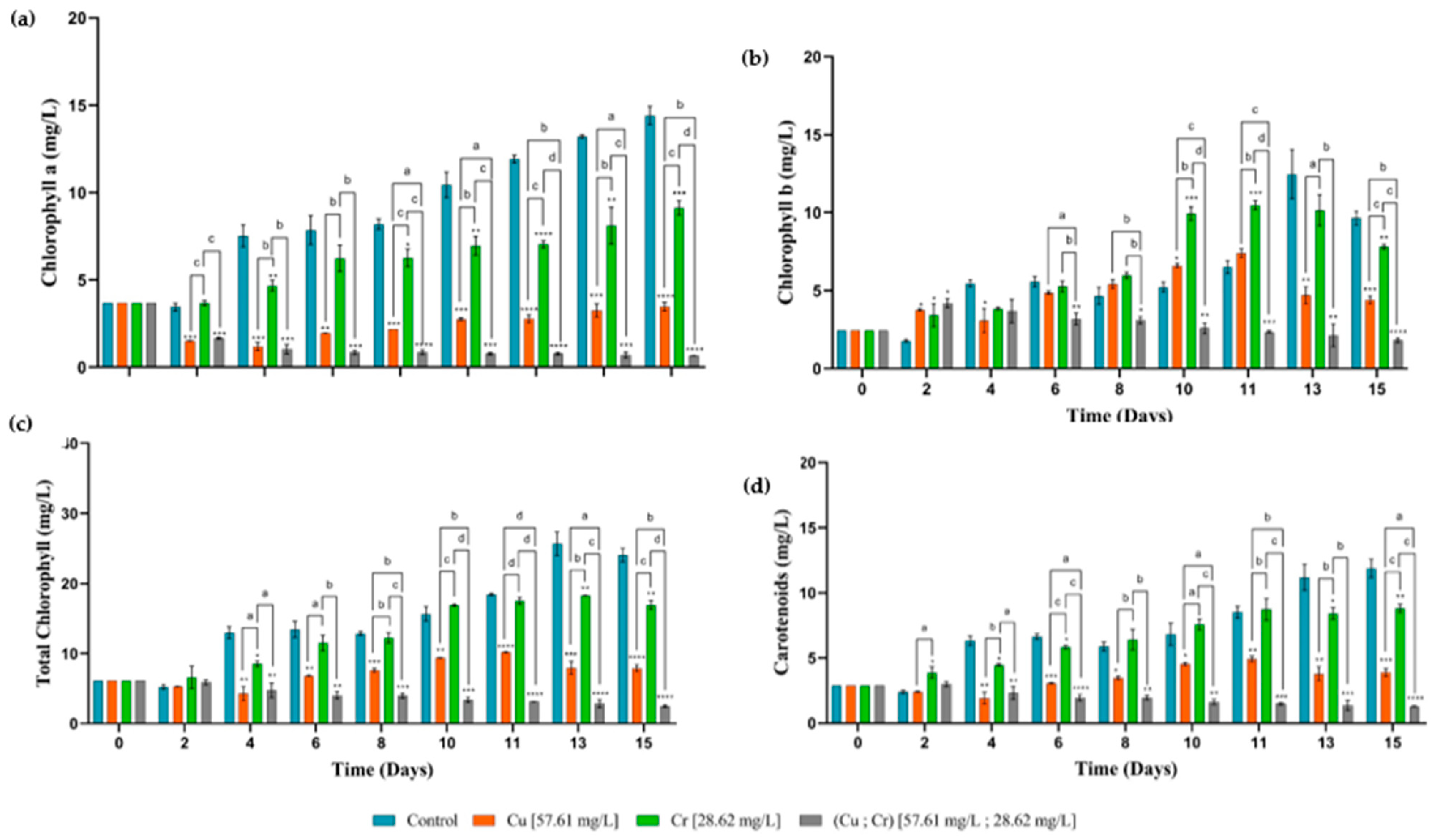
Pigment contents (chlorophylls and carotenoids) were assessed over 15 days of Chlamydomonas sp. growth in the presence of metals (Figure 3).
Figure 3.
Effect of Cu and Cr in single and bimetallic systems on the pigment content in Chlamydomonas sp. after 15 days of exposure: (a) chlorophyll a, (b) chlorophyll b, (c) total chlorophyll, (d) Carotenoids. Data are presented as means ± SD. Columns marked with asterisk (*) indicate statistically significant differences from control. Different lower-case letters indicate statistically significant differences between treatments (p < 0.05, one-way ANOVA).
The observed reduction in chlorophyll a (Figure 3a), chlorophyll b (Figure 3b), and carotenoids (Figure 3d) concentrations in the presence of metals, particularly Cu alone or in combination with Cr, and compared with the control culture, highlighted the harmful impact of Cu exposure on the pigment content of microalgae and on the photosynthesis efficiency. This may be due to the high applied concentration of Cu compared with Cr. It has been reported that Cu2+ ions have the potential to substitute Mg2+ in the chlorophyll center, resulting in the absence of chlorophyll fluorescence [9,47]. Chlorophylls a and b, along with carotenoids, play an essential role in the photosynthetic processes of microalgae, contributing to light absorption, energy transfer, and photoprotection [51]. The more pronounced reduction in pigment levels observed in the presence of Cu, alone or in combination with Cr, suggests that Cu may exert a stronger influence on pigment synthesis or stability than Cr. Ultimately, the impact of Cr and Cu on photosynthetic pigments leads to a reduction in photosynthesis efficiency, resulting in altered cell growth, reduced biomass production, and the possibility of long-term damage, as reported by Rodríguez et al. [52] and Cavalletti et al. [50].
3.4. Protein Contents
Soluble proteins produced by Chlamydomonas sp. were assessed on the 15th day of the culture (Figure 4).
Figure 4.
Protein contents produced by Chlamydomonas sp. under metallic stress. Data are presented as means ± SD. Columns marked with asterisk (*) indicate statistically significant differences from control. Different lower-case letters indicate statistically significant differences between treatments (p < 0.05, one-way ANOVA).
The obtained results showed a decrease in the concentrations of proteins produced by microalgae cells cultivated in the presence of Cu and/or Cr compared with the control culture. These results could be explained by the protein structure denaturation, replacement of essential elements, or damage to the algae oxidative balance following exposure to metals [12,53,54]. High levels of heavy metals can become hazardous to a variety of microalgae species once they exceed the physiological limits required for normal biological function. The severity of this toxicity often increases with metal concentration and duration of exposure, potentially exacerbated by nutrient deficiencies stimulating proteolysis [55].
3.5. Lipid Contents and Fatty Acid Profile
Total lipids contents were determined after 15 days of metal exposure (Figure 5).
Figure 5.
Effect of Cu and Cr single and bimetallic system exposure on lipid content. Data are presented as means ± SD. Columns marked with an asterisk (*) indicate statistically significant differences from control. Different lower-case letters indicate statistically significant differences between treatments (p < 0.05, one-way ANOVA).
The lipid amount per dry weight of biomass increased according to the metal treatment compared with the control. Similarly, it was shown in the study reported by Hedayatkhah et al. [56] that exposure of Phaeodactylum tricornutum and Navicula pelliculosa to hexavalent Cr promoted the accumulation of lipid reserves as a response to this metal stress. In addition, a previous study has shown that the presence of Cu also increased lipid synthesis in Chlorella vulgaris [54]. Therefore, under heavy metal stress, microalgae often shift their energy allocation from growth and reproduction to the synthesis of storage compounds like lipids, which can serve as an energy reserve and a protective agent against oxidative damage [57]. This metabolic shift could explain the observed lipid accumulation despite reduced photosynthetic activity [58,59]. Changes in Chlamydomonas sp. lipid composition have been evidenced through the analysis of fatty acids (Table 2).
Table 2.
Fatty acid profiles of lipids after Cu and Cr exposure.
Many fatty acids were detected, with a predominance of monounsaturated and saturated fatty acids, each accounting for around 40% of total fatty acids content. Exposure to Cu resulted in an increase in the percentage of fatty acids in most of the samples compared to the untreated sample. This is particularly pronounced for palmitic acid (C16:0) and oleic acid (C18:1), both of which showed substantial increases after exposure to Cu. Linoleic acid (C18:2) and linolenic acid (C18:3) showed decreases after exposure to Cu. As with Cu, exposure to Cr generally resulted in an increase in the percentages of most fatty acids compared to the untreated sample. Palmitic acid (C16:0) and oleic acid (C18:1) again showed substantial increases after exposure to Cr. Arachidic acid (C20:0) showed a decrease after Cr exposure, in contrast to its response to Cu. This indicates that the effects of Cr on fatty acid composition are different from those of Cu. Exposure to Cu and Cr induced significant increases in palmitic acid (C16:0) and oleic acid (C18:1) rates, indicating a synergistic effect of combined exposure to Cu and Cr. The total percentages of saturated, monounsaturated, and polyunsaturated fatty acids fluctuated depending on the treatment. Metals exposure generally leads to an increase in saturated and monounsaturated fatty acids and a corresponding decrease in polyunsaturated fatty acids. This preference for shorter-chain fatty acids such as myristic acid (C14:0) and palmitic acid (C16:0) enables microalgae cells to enhance their antioxidant defenses and protect against oxidative damage. Short-chain fatty acids can modulate the fluidity and permeability of cell membranes [60]. Furthermore, microalgae cells can increase the production of these shorter fatty acids to generate energy quickly and efficiently, helping them to adapt to stressful environments [61].
3.6. Carbohydrate Contents
The concentrations of carbohydrates produced by Chlamydomonas sp. cells were assessed on the last day of the culture (Figure 6).
Figure 6.
Carbohydrates produced by Chlamydomonas sp. after day 15 of exposure to Cu and Cr. Data are presented as means ± SD. Columns marked with asterisk (*) indicate statistically significant differences from control. Different lower-case letters indicate statistically significant differences between treatments (p < 0.05, one-way ANOVA).
The obtained results show that exposure to Cu and/or Cr resulted in a significant increase in total sugar content compared to the control. Higher concentrations of sugars were evident in cultures exposed to Cr alone or in combination with Cu compared to those exposed to Cu alone or to the control condition [62]. This indicates a distinct metabolic response of microalgae to Cr alone or in combination with Cu, resulting in an increased accumulation of sugars. These results underline the complex interaction between metal exposure and cellular carbohydrate metabolism [63,64] and highlight the potential synergistic effects of Cr and Cu on this metabolic pathway. The increase in total sugar content probably serves as a cellular defense strategy against the harmful effects of metal exposure. Given the well-established role of polysaccharides in sequestering heavy metals and reinforcing the cell wall, the observed increase in carbohydrate content is likely due to polysaccharide accumulation in the cell wall rather than intracellular carbohydrates, as previously reported [65]. This defense mechanism involves binding sugar molecules to metal ions, toxicity neutralizing, and contributing by sequestration to their elimination from the cellular environment [4,66].
3.7. Single and Binary Metal Ions Systems Remove
The residual concentrations of Cu and Cr metal ions in the medium after 15 days of culture were investigated. Metal removal efficiencies were reported: up to 58.11 ± 0.979% for Cu and 41.4 ± 0.870% for Cr, and for Cr and Cu combined, removal efficiencies reached 57.71 ± 0.832% and 58.43 ± 1.059%, respectively (Figure 7).
Figure 7.
Metal ions bioremoval capacities using Chlamydomonas sp. in single and binary metallic systems. Data are presented as means ± SD.
The study of Lu et al. [48] showed that the elimination efficiencies were only 15.5% and 4.4% for Cr at initial concentrations of 2 and 5 mg/L, respectively, using C. vulgaris. Rugnini et al. [67] showed that for Desmodesmus sp. and C. vulgaris, Cu removal rates were 43% and 39%, respectively.
3.8. FTIR Analysis
Analysis by Fourier transform infrared spectroscopy was carried out in order to identify the functional groups involved in Cu and Cr interaction (Figure 8).
Figure 8.
FTIR analysis of dry biomass of untreated Chlamydomonas sp. cells and cells treated with Cu and Cr in single and bimetallic systems.
A correspondence between the elimination of Cu and Cr and the shifts in the absorption bands of the hydroxyl, carboxylic acid, amine, phosphorus, and sulfate groups that are widespread on the cell surfaces of microalgae was identified [68]. Infrared bands at 3276, 2923, 1542, 1400, 1237,1148, 932 cm−1 were detected in all spectra (Figure 8). The wide band located in the region 3029–3639 cm−1 and 3100–3700 cm−1 are associated with the stretching vibrations of N-H and O-H bonds in compounds such as alcohols, phenols, and carboxylic acids, revealing the putative presence of carbohydrates (including polysaccharides) and proteins as well as residual water. Bands around 2809–2950 cm−1 are often attributed to the stretching vibrations of C-H bonds in aliphatic hydrocarbons. These bonds are often present in compounds such as alkanes and aliphatic groups that reveal the presence of lipids. The ranges 2913–1924 cm−1, 2856–1852 cm−1, and 2270–1950 cm−1 could include bands related to asymmetric stretching vibrations of C-H bonds in aliphatic hydrocarbons, such as alkanes. The bands located in the 1536–1658 cm−1 and 1585–1420 cm−1 ranges are often associated with the C=O, C-N stretching vibrations of the carbonyl groups that appear in ketones, esters and other compounds with a carbonyl function, showing the interaction of metal cations with the carboxyl groups of proteins. It is also interesting to note that the peaks located between 1330 and 1425 cm−1 characteristic of COO, P=O, and S=O stretching were preserved in all treatments, indicating the presence of membrane phospholipids, as were the peaks located in the 1191–1356 cm−1 interval associated with P=O, C=O stretching, which revealed the presence of phosphoryl, carboxyl groups, and nucleic acids. Finally, the peaks situated between 1200 and 800 cm−1, characteristic of polysaccharides, highlighted the importance of these compounds in metal adsorption [69]. In summary, the retention of heavy metals (Cu and Cr) on microalgal polymers involves key functional groups, including hydroxyl (–OH), carboxylic acid (–COOH), amine (–NH), phosphoryl (–P=O), and sulfate (–S=O) groups, as well as polysaccharides. These groups, identified through characteristic absorption bands (3029–3639 cm⁻1 for O–H/N–H, 1536–1658 cm⁻1 for C=O/C–N, and 1200–800 cm⁻1 for polysaccharides), interact with metal ions through electrostatic interactions, complexation, and coordination bonds [70,71].
3.9. Summary of Findings and Results
A comprehensive summary of the obtained results is presented in Table 3, highlighting the key findings from the study. Industrial wastewater from the textile and leather industry, containing Cu and Cr ions, enters the system and optionally undergoes pre-treatment (filtration or pH adjustment) before flowing into an open pond microalgae treatment tank (Figure 9). Here, Chlamydomonas sp., a mobile microalga, grows and absorbs heavy metals and nutrients during a culture aging phase, eliminating the need for mechanical mixing. The water then moves to a sedimentation tank, where microalgae biomass settles and is harvested for valorization, extracting lipids and fatty acids for biodiesel [72] and polysaccharides for bioplastics [73]. The treated water is discharged or reused, with components like flow control devices, aeration systems, and sensors ensuring optimal performance. The open pond system is cost-effective and scalable but requires significant space and careful management of environmental conditions (e.g., light, temperature) to maximize microalgae growth and heavy metal removal efficiency. Key parameters include footprint (space for ponds and processing equipment), energy consumption (aeration, harvesting, extraction, with potential integration of renewable energy), operational costs (nutrients, equipment, offset by revenue from valorized products), environmental impact (heavy metal removal, waste reduction, resource recovery), and scalability (modular designs for expansion) [74]. This approach provides a sustainable solution for wastewater treatment while enabling resource recovery and creating a revenue stream from high-value compounds, aligning with circular economy principles.
Table 3.
Summary of the key findings.
Figure 9.
Diagram of an integrated wastewater treatment process using microalgae.
4. Conclusions
In the present study, the Cu and Cr uptake capacity of Chlamydomonas sp. was studied. The effects of both metal ions on the growth and metabolic parameters of the microalgae were also evaluated. At ½ IC50 concentration, a promising metal removal efficiency was detected, achieving approximately 58.11% for Cu and 41.4% for Cr, and for both of them combined, the removal efficiency was increased to 57.71% and 58.43% for Cr and Cu, respectively but a negative effect on cell growth and photosynthetic pigment accumulation was revealed. An increase in lipid content was observed after exposure to Cu and/or Cr, as well as in saturated and monounsaturated fatty acids and carbohydrates. However, protein concentration decreased. FTIR analysis of the microalgae biomass after exposure to metals showed that several functional groups could be involved in the ion–metal interaction process, such as hydroxyl, carboxylic acid, amine, phosphorus, and sulfur groups, which are widespread on the surface of microalgae cells. To further develop this microalgae-based process, future work should focus on optimizing culture conditions to improve metal removal efficiency while minimizing negative effects on cell viability. Pilot-scale studies should be carried out to assess real applications in industrial wastewater treatment, particularly in Mediterranean coastal regions where metal contamination threatens aquatic ecosystems and sustainable aquaculture. In addition, the study of genetic or metabolic adaptations of Chlamydomonas sp. could improve its resilience and metal sequestration capacity. The integration of this biological treatment into existing wastewater management strategies should also be studied in order to improve scalability and feasibility. Ultimately, this research contributes to the development of ecological and cost-effective solutions for mitigating heavy metal pollution and restoring water quality in affected environments.
Author Contributions
Conceptualization, J.E., I.F. and S.A.; methodology, I.G., P.D. and J.E.; software, I.G.; validation, I.F., P.M. and S.A.; formal analysis, J.E.; investigation, I.G.; data curation, I.G.; writing—original draft preparation, I.G., P.D. and J.E.; writing—review and editing, J.E., I.F., P.M. and S.A.; supervision, I.F.; project administration, J.E., I.F. and S.A. All authors have read and agreed to the published version of the manuscript.
Funding
The Tunisian Ministry of higher education and scientific research for provide funding for this research.
Data Availability Statement
Data are contained within the article.
Conflicts of Interest
The authors declare no conflicts of interest.
References
- Hange, K.; Awofolu, O.R. Assessment of Anthropogenic Influence on the Level of Selected Heavy Metals (Cu, Zn, Cd and Pb) in Soil. J. Soil Sci. Environ. Manag. 2017, 8, 113–121. [Google Scholar] [CrossRef]
- Tumanyan, A.F.; Seliverstova, A.P.; Zaitseva, N.A. Effect of Heavy Metals on Ecosystems. Chem. Technol. Fuels Oils 2020, 56, 390–394. [Google Scholar] [CrossRef]
- Briffa, J.; Sinagra, E.; Blundell, R. Heavy Metal Pollution in the Environment and Their Toxicological Effects on Humans. Heliyon 2020, 6, e04691. [Google Scholar] [CrossRef] [PubMed]
- Leong, Y.K.; Chang, J.-S. Bioremediation of Heavy Metals Using Microalgae: Recent Advances and Mechanisms. Bioresour. Technol. 2020, 303, 122886. [Google Scholar] [CrossRef]
- Kim, J.-J.; Kim, Y.-S.; Kumar, V. Heavy Metal Toxicity: An Update of Chelating Therapeutic Strategies. J. Trace Elem. Med. Biol. 2019, 54, 226–231. [Google Scholar] [CrossRef]
- Shabbir, Z.; Sardar, A.; Shabbir, A.; Abbas, G.; Shamshad, S.; Khalid, S.; Natasha; Murtaza, G.; Dumat, C.; Shahid, M. Copper Uptake, Essentiality, Toxicity, Detoxification and Risk Assessment in Soil-Plant Environment. Chemosphere 2020, 259, 127436. [Google Scholar] [CrossRef]
- García-Niño, W.R.; Pedraza-Chaverrí, J. Protective Effect of Curcumin against Heavy Metals-Induced Liver Damage. Food Chem. Toxicol. 2014, 69, 182–201. [Google Scholar] [CrossRef]
- Nazir, F.; Hussain, A.; Fariduddin, Q. Hydrogen Peroxide Modulates Photosynthesis and Antioxidant Systems in Tomato (Solanum lycopersicum L.) Plants under Copper Stress. Chemosphere 2019, 230, 544–558. [Google Scholar] [CrossRef]
- Rocha, G.S.; Parrish, C.C.; Espíndola, E.L.G. Effects of Copper on Photosynthetic and Physiological Parameters of a Freshwater Microalga (Chlorophyceae). Algal Res. 2021, 54, 102223. [Google Scholar] [CrossRef]
- Kumar, D.; Khan, E.A. Remediation and Detection Techniques for Heavy Metals in the Environment. In Heavy Metals in the Environment; Elsevier: Amsterdam, The Netherlands, 2021; pp. 205–222. [Google Scholar] [CrossRef]
- Tavana, M.; Pahlavanzadeh, H.; Zarei, M.J. The Novel Usage of Dead Biomass of Green Algae Schizomeris leibleinii for Biosorption of Copper(II) from Aqueous Solutions: Equilibrium, Kinetics and Thermodynamics. J. Environ. Chem. Eng. 2020, 8, 104272. [Google Scholar] [CrossRef]
- Jaishankar, M.; Tseten, T.; Anbalagan, N.; Mathew, B.B.; Beeregowda, K.N. Toxicity, Mechanism and Health Effects of Some Heavy Metals. Interdiscip. Toxicol. 2014, 7, 60–72. [Google Scholar] [CrossRef] [PubMed]
- Jobby, R.; Jha, P.; Yadav, A.K.; Desai, N. Biosorption and Biotransformation of Hexavalent Chromium [Cr(VI)]: A Comprehensive Review. Chemosphere 2018, 207, 255–266. [Google Scholar] [CrossRef] [PubMed]
- Shokri Khoubestani, R.; Mirghaffari, N.; Farhadian, O. Removal of Trivalent and Hexavalent Chromium from Aqueous Solutions Using a Microalgae Biomass-Derived Biosorbent. Environ. Prog. Sustain. Energy 2015, 34, 949–956. [Google Scholar] [CrossRef]
- Kumar, A.; Usmani, Z.; Ahirwal, J.; Tripti; Rani, P. Phytomanagement of Chromium Contaminated Brown Fields. In Phytomanagement of Polluted Sites; Elsevier: Amsterdam, The Netherlands, 2019; pp. 447–469. [Google Scholar] [CrossRef]
- Vidyalaxmi; Kaushik, G.; Raza, K. Potential of Novel Dunaliella salina from Sambhar Salt Lake, India, for Bioremediation of Hexavalent Chromium from Aqueous Effluents: An Optimized Green Approach. Ecotoxicol. Environ. Saf. 2019, 180, 430–438. [Google Scholar] [CrossRef]
- Kannan, L.; Gokulprasath, M.; Gurusamy, R.; Selvam, R.; Palaniswamy, R.; Patel, C. Analysis of Heavy Metals Contamination in Water: A Review. SSRN Electron. J. 2021, 8, 201–213. [Google Scholar]
- Masindi, V.; Muedi, K.L. Environmental Contamination by Heavy Metals. In Heavy Metals; Saleh, H.E.-D.M., Aglan, R.F., Eds.; InTech: Houston, TX, USA, 2018. [Google Scholar] [CrossRef]
- Wei, H.; Gao, B.; Ren, J.; Li, A.; Yang, H. Coagulation/Flocculation in Dewatering of Sludge: A Review. Water Res. 2018, 143, 608–631. [Google Scholar] [CrossRef]
- Elleuch, J.; Ben Amor, F.; Chaaben, Z.; Frikha, F.; Michaud, P.; Fendri, I.; Abdelkafi, S. Zinc Biosorption by Dunaliella sp. AL-1: Mechanism and Effects on Cell Metabolism. Sci. Total Environ. 2021, 773, 145024. [Google Scholar] [CrossRef]
- Abdelfattah, A.; Ali, S.S.; Ramadan, H.; El-Aswar, E.I.; Eltawab, R.; Ho, S.-H.; Elsamahy, T.; Li, S.; El-Sheekh, M.M.; Schagerl, M.; et al. Microalgae-Based Wastewater Treatment: Mechanisms, Challenges, Recent Advances, and Future Prospects. Environ. Sci. Ecotech. 2023, 13, 100205. [Google Scholar] [CrossRef]
- Chugh, M.; Kumar, L.; Shah, M.P.; Bharadvaja, N. Algal Bioremediation of Heavy Metals: An Insight into Removal Mechanisms, Recovery of By-Products, Challenges, and Future Opportunities. Energy Nexus 2022, 7, 100129. [Google Scholar] [CrossRef]
- Balzano, S.; Sardo, A.; Blasio, M.; Chahine, T.B.; Dell’Anno, F.; Sansone, C.; Brunet, C. Microalgal Metallothioneins and Phytochelatins and Their Potential Use in Bioremediation. Front. Microbiol. 2020, 11, 517. [Google Scholar] [CrossRef]
- Ben Mohamed, J.; Elleuch, J.; Drira, M.; Esteban, M.Á.; Michaud, P.; Abdelkafi, S.; Fendri, I. Characterization and Biotechnological Potential of Two Native Marine Microalgae Isolated from the Tunisian Coast. Appl. Sci. 2021, 11, 5295. [Google Scholar] [CrossRef]
- Ben Amor, F.; Elleuch, F.; Ben Hlima, H.; Garnier, M.; Saint-Jean, B.; Barkallah, M.; Pichon, C.; Abdelkafi, S.; Fendri, I. Proteomic Analysis of the Chlorophyta Dunaliella New Strain AL-1 Revealed Global Changes of Metabolism during High Carotenoid Production. Mar. Drugs 2017, 15, 293. [Google Scholar] [CrossRef]
- Mehra, A.; Uz Zafar, S.; Jutur, P. Optimization of Biomass Production by Chlorella saccharophila UTEX 247 Employing Response Surface Methodology. Biomass Convers. Biorefin. 2024, 14, 8549–8561. [Google Scholar] [CrossRef]
- Chtourou, H.; Dahmen, I.; Hassairi, I.; Abdelkafi, S.; Sayadi, S.; Dhouib, A. Dunaliella Sp. a Wild Algal Strain Isolated from the Sfax-Tunisia Solar Evaporating Salt-Ponds, a High Potential for Biofuel Production Purposes. J. Biobased Mat. Bioenergy 2014, 8, 27–34. [Google Scholar] [CrossRef]
- Guillard, R.R.L. Culture of Phytoplankton for Feeding Marine Invertebrates. In Culture of Marine Invertebrate Animals; Smith, W.L., Chanley, M.H., Eds.; Springer: New York, NY, USA, 1975; pp. 29–60. [Google Scholar] [CrossRef]
- Cameron, H.; Mata, M.T.; Riquelme, C. The Effect of Heavy Metals on the Viability of Tetraselmis marina AC16-MESO and an Evaluation of the Potential Use of This Microalga in Bioremediation. PeerJ 2018, 6, e5295. [Google Scholar] [CrossRef]
- Rachlin, J.W.; Warkentine, B.; Jensen, T.E. The Growth Responses of Chlorella saccharophila, Navicula incerta, and Nitzschia closterium to Selected Concentrations of Cadmium. Bull. Torrey Bot. Club 1982, 109, 129. [Google Scholar] [CrossRef]
- Ponnuchamy, K.; Muthiah, R.; Kumaraguru, A. Solvent Extraction and Spectrophotometric Determination of Pigments of Some Algal Species from the Shore of Puthumadam, Southeast Coast of India. Int. J. Oceans Oceanogr. 2010, 1, 29–34. [Google Scholar]
- Elleuch, J.; Hmani, R.; Drira, M.; Michaud, P.; Fendri, I.; Abdelkafi, S. Potential of Three Local Marine Microalgae from Tunisian Coasts for Cadmium, Lead, and Chromium Removals. Sci. Total Environ. 2021, 799, 149464. [Google Scholar] [CrossRef]
- Abdelkafi, S.; Fouquet, B.; Barouh, N.; Durner, S.; Pina, M.; Scheirlinckx, F.; Villeneuve, P.; Carrière, F. In vitro comparisons between Carica papaya and pancreatic lipases during test meal lipolysis: Potential use of CPL in enzyme replacement therapy. Food Chem. 2009, 115, 488–494. [Google Scholar] [CrossRef]
- Rodriguez, J.A.; Ben Ali, Y.; Abdelkafi, S.; Leclaire, J.; Fotiadu, F.; Carrière, F.; Abousalham, A. In vitro stereoselective hydrolysis of diacylglycerols by hormone-sensitive lipase. BBA Mol. Cell Biol. Lipids 2010, 1801, 77–83. [Google Scholar] [CrossRef]
- Dubois, M.; Gilles, K.A.; Hamilton, J.K.; Rebers, P.A.; Smith, F. A Colorimetric Method for the Determination of Sugars. Nature 1951, 168, 167. [Google Scholar] [CrossRef]
- Rausch, T.; Butcher, D.N.; Hilgenberg, W. Nitrilase Activity in Clubroot Diseased Plants. Physiol. Plant. 1981, 52, 467–470. [Google Scholar] [CrossRef]
- Bradford, M.M. A Rapid and Sensitive Method for the Quantitation of Microgram Quantities of Protein Utilizing the Principle of Protein-Dye Binding. Anal. Biochem. 1976, 72, 248–254. [Google Scholar] [CrossRef]
- Elleuch, J.; Tounsi, S.; Belguith Ben Hassen, N.; Noël Lacoix, M.; Chandre, F.; Jaoua, S.; Zribi Zghal, R. Characterisation of Novel Bacillus thuringiensis Isolates against Aedes aegypti (Diptera: Culicidae) and Ceratitis capitata (Diptera: Tephridae). J. Invertebr. Pathol. 2015, 124, 90–97. [Google Scholar] [CrossRef]
- Chakravorty, M.; Nanda, M.; Bisht, B.; Sharma, R.; Kumar, S.; Mishra, A.; Vlaskin, M.S.; Chauhan, P.K.; Kumar, V. Heavy Metal Tolerance in Microalgae: Detoxification Mechanisms and Applications. Aquat. Toxicol. 2023, 260, 106555. [Google Scholar] [CrossRef]
- Purbonegoro, T.; Suratno; Puspitasari, R.; Husna, N.A. Toxicity of Copper on the Growth of Marine Microalgae Pavlova sp. and Its Chlorophyll-a. IOP Conf. Ser. Earth Environ. Sci. 2018, 118, 12060. [Google Scholar] [CrossRef]
- Suratno, S.; Puspitasari, R.; Purbonegoro, T.; Mansur, D. Copper and Cadmium Toxicity to Marine Phytoplankton, Chaetoceros gracilis and Isochrysis sp. Indones. J. Chem. 2015, 15, 172–178. [Google Scholar] [CrossRef]
- Sun, C.; Li, W.; Xu, Y.; Hu, N.; Ma, J.; Cao, W.; Sun, S.; Hu, C.; Zhao, Y.; Huang, Q. Effects of Carbon Nanotubes on the Toxicities of Copper, Cadmium, and Zinc Toward the Freshwater Microalgae Scenedesmus obliquus. Aquat. Toxicol. 2020, 224, 105504. [Google Scholar] [CrossRef]
- Giloni-Lima, P.C.; Delello, D.; Cremonez, M.L.M.; Éler, M.N.; Lima, V.A.; Espíndola, E.L.G. A Study of the Effects of Chromium Exposure on the Growth of Pseudokirchneriella subcapitata (Korshikov) Hindak Evaluated by Central Composite Design and Response Surface Methodology. Ecotoxicology 2010, 19, 1095–1101. [Google Scholar] [CrossRef]
- Elleuch, J.; Thabet, J.; Ghribi, I.; Jabeur, H.; Hernández, L.E.; Fendri, I.; Abdelkafi, S. Responses of Dunaliella Sp. AL-1 to Chromium and Copper: Biochemical and Physiological Studies. Chemosphere 2024, 364, 143133. [Google Scholar] [CrossRef]
- Leite, L.D.S.; Daniel, L.A. Optimization of Microalgae Harvesting by Sedimentation Induced by High pH. Water Sci. Technol. 2020, 82, 1227–1236. [Google Scholar] [CrossRef]
- Shaikh, S.M.R.; Hassan, M.K.; Nasser, M.S.; Sayadi, S.; Ayesh, A.I.; Vasagar, V. A Comprehensive Review on Harvesting of Microalgae Using Polyacrylamide-Based Flocculants: Potentials and Challenges. Sep. Purif. Technol. 2021, 277, 119508. [Google Scholar] [CrossRef]
- Nowicka, B.; Pluciński, B.; Kuczyńska, P.; Kruk, J. Physiological Characterization of Chlamydomonas reinhardtii Acclimated to Chronic Stress Induced by Ag, Cd, Cr, Cu, and Hg Ions. Ecotoxicol. Environ. Saf. 2016, 130, 133–145. [Google Scholar] [CrossRef]
- Lu, M.-M.; Gao, F.; Li, C.; Yang, H.-L. Response of Microalgae Chlorella vulgaris to Cr Stress and Continuous Cr Removal in a Membrane Photobioreactor. Chemosphere 2021, 262, 128422. [Google Scholar] [CrossRef]
- Tripathi, S.; Poluri, K.M. Heavy Metal Detoxification Mechanisms by Microalgae: Insights from Transcriptomics Analysis. Environ. Pollut. 2021, 285, 117443. [Google Scholar] [CrossRef]
- Cavalletti, E.; Romano, G.; Palma Esposito, F.; Barra, L.; Chiaiese, P.; Balzano, S.; Sardo, A. Copper Effect on Microalgae: Toxicity and Bioremediation Strategies. Toxics 2022, 10, 527. [Google Scholar] [CrossRef]
- Roca, M.; Pérez-Gálvez, A. Metabolomics of Chlorophylls and Carotenoids: Analytical Methods and Metabolome-Based Studies. Antioxidants 2021, 10, 1622. [Google Scholar] [CrossRef]
- Rodríguez, M.C.; Barsanti, L.; Passarelli, V.; Evangelista, V.; Conforti, V.; Gualtieri, P. Effects of Chromium on Photosynthetic and Photoreceptive Apparatus of the Alga Chlamydomonas reinhardtii. Environ. Res. 2007, 105, 234–239. [Google Scholar] [CrossRef]
- Zeraatkar, A.K.; Ahmadzadeh, H.; Talebi, A.F.; Moheimani, N.R.; McHenry, M.P. Potential Use of Algae for Heavy Metal Bioremediation: A Critical Review. J. Environ. Manag. 2016, 181, 817–831. [Google Scholar] [CrossRef]
- Silva, J.C.; Echeveste, P.; Lombardi, A.T. Higher Biomolecules Yield in Phytoplankton under Copper Exposure. Ecotoxicol. Environ. Saf. 2018, 161, 57–63. [Google Scholar] [CrossRef]
- El Agawany, N.; Kaamoush, M.; El-Zeiny, A.; Ahmed, M. Effect of Heavy Metals on Protein Content of Marine Unicellular Green Alga Dunaliella tertiolecta. Environ. Monit. Assess. 2021, 193, 584. [Google Scholar] [CrossRef]
- Hedayatkhah, A.; Cretoiu, M.S.; Emtiazi, G.; Stal, L.J.; Bolhuis, H. Bioremediation of chromium contaminated water by diatoms with concomitant lipid accumulation for biofuel production. J. Environ. Manag. 2018, 227, 313–320. [Google Scholar] [CrossRef]
- Mulgund, A. Increasing Lipid Accumulation in Microalgae through Environmental Manipulation, Metabolic and Genetic Engineering: A Review in the Energy NEXUS Framework. Energy Nexus 2022, 5, 100054. [Google Scholar] [CrossRef]
- He, Q.; Yang, H.; Wu, L.; Hu, C. Effect of Light Intensity on Physiological Changes, Carbon Allocation and Neutral Lipid Accumulation in Oleaginous Microalgae. Bioresour. Technol. 2015, 191, 219–228. [Google Scholar] [CrossRef]
- Yilancioglu, K.; Cokol, M.; Pastirmaci, I.; Erman, B.; Cetiner, S. Oxidative Stress Is a Mediator for Increased Lipid Accumulation in a Newly Isolated Dunaliella Salina Strain. PLoS ONE 2014, 9, e91957. [Google Scholar] [CrossRef]
- Danouche, M.; El Ghachtouli, N.; Aasfar, A.; Bennis, I.; El Arroussi, H. Pb(II)-Phycoremediation Mechanism Using Scenedesmus obliquus: Cells Physicochemical Properties and Metabolomic Profiling. Heliyon 2022, 8, e08967. [Google Scholar] [CrossRef]
- Olofsson, M.; Lamela, T.; Nilsson, E.; Bergé, J.P.; Del Pino, V.; Uronen, P.; Legrand, C. Seasonal Variation of Lipids and Fatty Acids of the Microalgae Nannochloropsis oculata Grown in Outdoor Large-Scale Photobioreactors. Energies 2012, 5, 1577–1592. [Google Scholar] [CrossRef]
- Miazek, K.; Iwanek, W.; Remacle, C.; Richel, A.; Goffin, D. Effect of Metals, Metalloids and Metallic Nanoparticles on Microalgae Growth and Industrial Product Biosynthesis: A Review. Int. J. Mol. Sci. 2015, 16, 23929–23969. [Google Scholar] [CrossRef]
- Kaur, M.; Saini, K.C.; Ojah, H.; Sahoo, R.; Gupta, K.; Kumar, A.; Bast, F. Abiotic Stress in Algae: Response, Signaling and Transgenic Approaches. J. Appl. Phycol. 2022, 34, 1843–1869. [Google Scholar] [CrossRef]
- Vieira, B.H.; Rodgher, S.; Haneda, R.N.; Lombardi, A.T.; Melão, M.d.G.G.; Daam, M.A.; Espíndola, E.L.G. Importance of Different Exposure Routes on the Toxicity of Chromium to Planktonic Organisms. Aquat. Ecol. 2023, 58, 175–189. [Google Scholar] [CrossRef]
- Kafil, M.; Berninger, F.; Koutra, E.; Kornaros, M. Utilization of the Microalga Scenedesmus quadricauda for Hexavalent Chromium Bioremediation and Biodiesel Production. Bioresour. Technol. 2022, 346, 126665. [Google Scholar] [CrossRef]
- Bauenova, M.O.; Sadvakasova, A.K.; Mustapayeva, Z.O.; Kokociński, M.; Zayadan, B.K.; Wojciechowicz, M.K.; Balouch, H.; Akmukhanova, N.R.; Alwasel, S.; Allakhverdiev, S.I. Potential of Microalgae Parachlorella kessleri Bh-2 as Bioremediation Agent of Heavy Metals Cadmium and Chromium. Algal Res. 2021, 59, 102463. [Google Scholar] [CrossRef]
- Rugnini, L.; Costa, G.; Congestri, R.; Bruno, L. Testing of Two Different Strains of Green Microalgae for Cu and Ni Removal from Aqueous Media. Sci. Total Environ. 2017, 601–602, 959–967. [Google Scholar] [CrossRef]
- Zhang, Y.; Vallin, J.R.; Sahoo, J.K.; Gao, F.; Boudouris, B.W.; Webber, M.J.; Phillip, W.A. High-Affinity Detection and Capture of Heavy Metal Contaminants Using Block Polymer Composite Membranes. ACS Cent. Sci. 2018, 4, 1697–1707. [Google Scholar] [CrossRef]
- Liu, J.; Mukherjee, J.; Hawkes, J.J.; Wilkinson, S.J. Optimization of Lipid Production for Algal Biodiesel in Nitrogen Stressed Cells of Dunaliella salina Using FTIR Analysis. J. Chem. Technol. Biotechnol. 2013, 88, 1807. [Google Scholar]
- Chandrashekharaiah, P.S.; Sanyal, D.; Dasgupta, S.; Banik, A. Cadmium Biosorption and Biomass Production by Two Freshwater Microalgae Scenedesmus acutus and Chlorella pyrenoidosa: An Integrated Approach. Chemosphere 2021, 269, 128755. [Google Scholar] [CrossRef]
- Tripathi, S.; Arora, N.; Gupta, P.; Pruthi, P.A.; Poluri, K.M.; Pruthi, V. Microalgae. In Advanced Biofuels; Elsevier: Amsterdam, The Netherlands, 2019; pp. 97–128. ISBN 978-0-08-102791-2. [Google Scholar]
- Razzak, S.A.; Lucky, R.A.; Hossain, M.M.; deLasa, H. Valorization of Microalgae Biomass to Biofuel Production: A Review. Energy Nexus 2022, 7, 100139. [Google Scholar] [CrossRef]
- Onen Cinar, S.; Chong, Z.K.; Kucuker, M.A.; Wieczorek, N.; Cengiz, U.; Kuchta, K. Bioplastic Production from Microalgae: A Review. Int. J. Environ. Res. Public Health 2020, 17, 3842. [Google Scholar] [CrossRef]
- Djamal, Z.; Henni, A. Outdoor Microalgae Cultivation for Wastewater Treatment. In Application of Microalgae in Wastewater Treatment: Volume 1: Domestic and Industrial Wastewater Treatment; Springer: Berlin/Heidelberg, Germany, 2019; pp. 81–99. ISBN 978-3-030-13912-4. [Google Scholar]
Disclaimer/Publisher’s Note: The statements, opinions and data contained in all publications are solely those of the individual author(s) and contributor(s) and not of MDPI and/or the editor(s). MDPI and/or the editor(s) disclaim responsibility for any injury to people or property resulting from any ideas, methods, instructions or products referred to in the content. |
© 2025 by the authors. Licensee MDPI, Basel, Switzerland. This article is an open access article distributed under the terms and conditions of the Creative Commons Attribution (CC BY) license (https://creativecommons.org/licenses/by/4.0/).







