Acidogenic Fermentation of Cassava Wastewater: Effect of the Substrate-to-Microorganism Ratio and Temperature on Volatile Fatty Acids Production
Abstract
1. Introduction
2. Materials and Methods
2.1. Substrate and Inoculum
2.2. Acidogenic Fermentation Assays
2.3. Experimental Design and Statistical Analyses
2.4. Analytical Methods
3. Results and Discussion
3.1. Physicochemical Characterization of CWW and Inoculum Solids Concentration
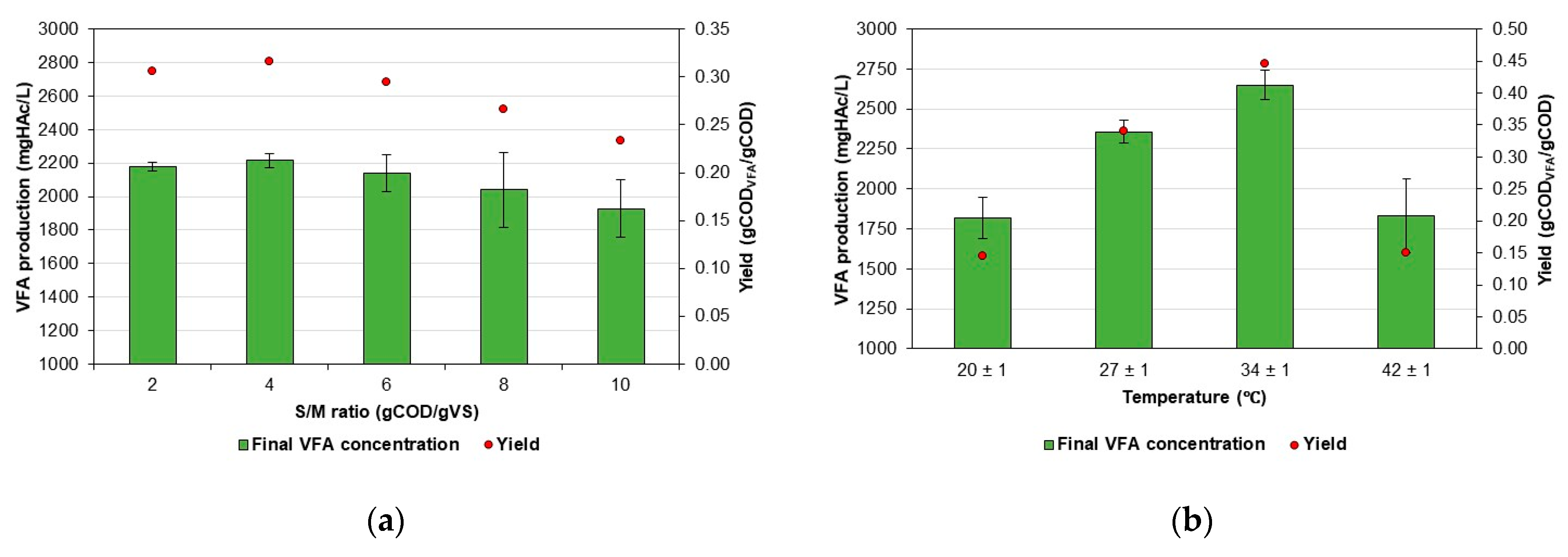
3.2. VFA Production, Yields, and Substrate Uptake from CWW
3.3. Distribution of VFAs Produced from CWW
4. Conclusions
Author Contributions
Funding
Data Availability Statement
Conflicts of Interest
References
- de Sousa e Silva, A.; Morais, N.W.S.; Coelho, M.M.H.; Pereira, E.L.; dos Santos, A.B. Potentialities of Biotechnological Recovery of Methane, Hydrogen and Carboxylic Acids from Agro-Industrial Wastewaters. Bioresour. Technol. Rep. 2020, 10, 100406. [Google Scholar] [CrossRef]
- Dahiya, S.; Lingam, Y.; Venkata Mohan, S. Understanding Acidogenesis towards Green Hydrogen and Volatile Fatty Acid Production—Critical Analysis and Circular Economy Perspective. Chem. Eng. J. 2023, 464, 141550. [Google Scholar] [CrossRef]
- Sanchez-Ledesma, L.M.; Ramírez-Malule, H.; Rodríguez-Victoria, J.A. Volatile Fatty Acids Production by Acidogenic Fermentation of Wastewater: A Bibliometric Analysis. Sustainability 2023, 15, 2370. [Google Scholar] [CrossRef]
- de Lemos Chernicharo, C.A. Anaerobic Reactors; IWA Publishing: Minas Gerais, Brazil, 2007; Volume 4, ISBN 9781843391647. [Google Scholar]
- Pavlostathis, S.G. Kinetics and Modeling of Anaerobic Treatment and Biotransformation Processes. In Comprehensive Biotechnology, 2nd ed.; Elsevier: Amsterdam, The Netherlands, 2011; Volume 6, pp. 385–397. ISBN 9780080885049. [Google Scholar]
- Atasoy, M.; Owusu-Agyeman, I.; Plaza, E.; Cetecioglu, Z. Bio-Based Volatile Fatty Acid Production and Recovery from Waste Streams: Current Status and Future Challenges. Bioresour. Technol. 2018, 268, 773–786. [Google Scholar] [CrossRef] [PubMed]
- Coelho, M.M.H.; Morais, N.W.S.; Pereira, E.L.; Leitão, R.C.; dos Santos, A.B. Potential Assessment and Kinetic Modeling of Carboxylic Acids Production Using Dairy Wastewater as Substrate. Biochem. Eng. J. 2020, 156, 107502. [Google Scholar] [CrossRef]
- Koottatep, T.; Khamyai, S.; Pussayanavin, T.; Kunsit, U.; Prapasriket, P.; Polprasert, C. Meso-Thermophilic Acidogenic Biotreatment of Mixed Wastewater from Toilets and Coffeeshop: Effect of Temperature on the Efficiency of Organic Removal and VFA Productions. Biomass Convers. Biorefinery 2022, 13, 12431–12436. [Google Scholar] [CrossRef]
- Morais, N.W.S.; Coelho, M.M.H.; de Sousa e Silva, A.; Pereira, E.L.; Leitão, R.C.; dos Santos, A.B. Kinetic Modeling of Anaerobic Carboxylic Acid Production from Swine Wastewater. Bioresour. Technol. 2020, 297, 122520. [Google Scholar] [CrossRef]
- Morais, N.W.S.; Coelho, M.M.H.; Ferreira, T.J.T.; Pereira, E.L.; Leitão, R.C.; dos Santos, A.B. A Kinetic Study on Carboxylic Acids Production Using Bovine Slaughterhouse Wastewater: A Promising Substrate for Resource Recovery in Biotechnological Processes. Bioprocess Biosyst. Eng. 2021, 44, 271–282. [Google Scholar] [CrossRef]
- Garcia-Aguirre, J.; Aymerich, E.; de Goñi, J.G.-M.; Esteban-Gutiérrez, M. Selective VFA Production Potential from Organic Waste Streams: Assessing Temperature and pH Influence. Bioresour. Technol. 2017, 244, 1081–1088. [Google Scholar] [CrossRef]
- Vilpoux, O.F.; Santos Silveira Junior, J.F. Global Production and Use of Starch. In Starchy Crops Morphology, Extraction, Properties and Applications. Vol 1: Underground Starchy Crops of South American Origin: Production, Processing, Utilization and Economic Perspectives; Elsevier: Amsterdam, The Netherlands, 2022; Volume 1, pp. 43–66. [Google Scholar] [CrossRef]
- Taborda-Andrade, L.A. Determinación y Análisis Integral de Impactos de La Agroindustria Rural de Almidón de Yuca En Cauca Colombia. Ph.D. Thesis, Universidad Nacional de Colombia, Palmira, Colombia, 2018. [Google Scholar]
- Canales, N.; Trujillo, M. La Red de Valor de La Yuca y Su Potencial En La Bioeconomía de Colombia; Stockholm Environment Institute: Estocolmo, Suecia, 2021. [Google Scholar]
- Howeler, R.H.; Oates, C.G.; Costa Allem, A. Strategic Environmental Assessment. An Assessment of the Impact of Cassava Production and Processing on the Environment and Biodiversity; Food and Agriculture Organization of the United Nations International Fund for Agricultural Development: Rome, Italy, 2001; Volume 5. [Google Scholar]
- Hasan, S.D.M.; Giongo, C.; Fiorese, M.L.; Gomes, S.D.; Ferrari, T.C.; Savoldi, T.E. Volatile Fatty Acids Production from Anaerobic Treatment of Cassava Waste Water: Effect of Temperature and Alkalinity. Environ. Technol. 2015, 36, 2637–2646. [Google Scholar] [CrossRef]
- Niz, M.Y.K.; Formagini, E.L.; Boncz, M.À.; Paulo, P.L. Acidogenic Fermentation of Cassava Wastewater for Volatile Fatty Acids Production. Int. J. Environ. Waste Manag. 2020, 25, 245–261. [Google Scholar] [CrossRef]
- Sanchez-Ledesma, L.M.; Rodríguez-Victoria, J.A.; Ramírez-Malule, H. Effect of Fermentation Time, PH, and Their Interaction on the Production of Volatile Fatty Acids from Cassava Wastewater. Water 2024, 16, 1514. [Google Scholar] [CrossRef]
- de Sousa e Silva, A.; Tavares Ferreira, T.J.; Sales Morais, N.W.; Lopes Pereira, E.; Bezerra dos Santos, A. S/X Ratio Impacts the Profile and Kinetics of Carboxylic Acids Production from the Acidogenic Fermentation of Dairy Wastewater. Environ. Pollut. 2021, 287, 117605. [Google Scholar] [CrossRef] [PubMed]
- Arevalo Ortiz, H.F.; Arias Arroyo, G.C. Determinación de La Concentración de Inoculo y Tiempo de Fermentacion, Utilizando Microbiota de Los Granos de Kefir Como Agente Biológico y Suero de Leche Como Sustrato. Cienc. Investig. 2008, 11, 16–22. [Google Scholar] [CrossRef]
- Pérez-Morales, J.; B.-Arroyo, C.; Morales-Zarate, E.; Hernández-García, H.; Méndez-Acosta, H.O.; Hernández-Martínez, E. Mathematical Modeling of Volatile Fatty Acids Production from Cheese Whey: Evaluation of PH and Substrate-Inoculum Ratio Effects. Fuel 2021, 287, 119510. [Google Scholar] [CrossRef]
- Vergine, P.; Sousa, F.; Lopes, M.; Silva, F.; Gameiro, T.; Nadais, H.; Capela, I. Synthetic Soft Drink Wastewater Suitability for the Production of Volatile Fatty Acids. Process Biochem. 2015, 50, 1308–1312. [Google Scholar] [CrossRef]
- Silva, F.C.; Serafim, L.S.; Nadais, H.; Arroja, L.; Capela, I. Acidogenic Fermentation towards Valorisation of Organic Waste Streams into Volatile Fatty Acids. Chem. Biochem. Eng. Q. 2013, 27, 467–476. [Google Scholar]
- Mañunga, T. Acople Entre Un Reactor Anaerobio de Medio Suspendido y Un Reactor Anaerobio de Crecimiento Adherido Para La Producción de Hidrógeno y Metano a Partir de Agua Residual Del Proceso de Extracción de Almidón de Yuca. Ph.D. Thesis, Universidad del Valle, Cali, Colombia, 2019. [Google Scholar]
- Bastidas-Oyanedel, J.-R.; Bonk, F.; Thomsen, M.H.; Schmidt, J.E. Dark Fermentation Biorefinery in the Present and Future (Bio)Chemical Industry. Rev. Environ. Sci. Biotechnol. 2015, 14, 473–498. [Google Scholar] [CrossRef]
- Wainaina, S.; Lukitawesa; Kumar Awasthi, M.; Taherzadeh, M.J. Bioengineering of Anaerobic Digestion for Volatile Fatty Acids, Hydrogen or Methane Production: A Critical Review. Bioengineered 2019, 10, 437–458. [Google Scholar] [CrossRef]
- Wang, J.; Wan, W. Effect of Temperature on Fermentative Hydrogen Production by Mixed Cultures. Int. J. Hydrogen Energy 2008, 33, 5392–5397. [Google Scholar] [CrossRef]
- Yu, H.Q.; Fang, H.H.P. Acidogenesis of Gelatin-Rich Wastewater in an Upflow Anaerobic Reactor: Influence of PH and Temperature. Water Res. 2003, 37, 55–66. [Google Scholar] [CrossRef] [PubMed]
- Fernández-Domínguez, D.; Astals, S.; Peces, M.; Frison, N.; Bolzonella, D.; Mata-Alvarez, J.; Dosta, J. Volatile Fatty Acids Production from Biowaste at Mechanical-Biological Treatment Plants: Focusing on Fermentation Temperature. Bioresour. Technol. 2020, 314, 123729. [Google Scholar] [CrossRef] [PubMed]
- Valentino, F.; Chitharanjan, A.; Micolucci, F.; Pavan, P.; Gottardo, M. Valuable Routes for Sewage Sludge Utilization: Effect of Temperature and Hydraulic Retention Time in the Acidogenic Fermentation Process. Chem. Eng. Trans. 2022, 93, 193–198. [Google Scholar] [CrossRef]
- Bolaji, I.O.; Dionisi, D. Acidogenic Fermentation of Vegetable and Salad Waste for Chemicals Production: Effect of PH Buffer and Retention Time. J. Environ. Chem. Eng. 2017, 5, 5933–5943. [Google Scholar] [CrossRef]
- APHA; AWWA; WEF. Standard Methods for the Examination of Water and Wastewater; Amer Public Health Assn: Washington, DC, USA, 2005. [Google Scholar]
- Dubois, M.; Gilles, K.; Hamilton, J.K.; Rebers, P.A.; Smith, F. A Colorimetric Method for the Determination of Sugars. Anal. Chem. 1956, 28, 350–356. [Google Scholar] [CrossRef]
- DiLallo, R.; Albertson, O. Volatile Acids by Direct Titration. Water Pollut. Control Fed. 1961, 33, 356–365. [Google Scholar]
- Wang, X.; Zhang, S.; Wang, J.; Yu, X.; Lu, X. Exploring Optimal Feed to Microbes Ratio for Anaerobic Acidogenic Fermentation of Cassava Residue from Brewery. Bioresources 2012, 7, 1111–1122. [Google Scholar] [CrossRef]
- Karaca, S.; Yagci, N.; Randall, C.W. Polyhydroxyalkanoate Production Using Enriched Biomass and Acidogenic Fermentation Products of Dairy Wastewater and Organic Food Waste. Desalin. Water Treat. 2021, 215, 388–397. [Google Scholar] [CrossRef]
- Casero-Díaz, T.; Castro-Barros, C.; Taboada-Santos, A.; Rodríguez-Hernández, L.; Mauricio-Iglesias, M.; Carballa, M. Turning Fish Canning Wastewater into Resources: Effluents and Operational Conditions Selection for Volatile Fatty Acids Production. J. Water Process Eng. 2024, 64, 2–9. [Google Scholar] [CrossRef]
- Liu, H.; Wang, F.; Wang, Z.; Wu, D.; Xing, T.; Kong, X.; Sun, Y. Impact of PH, Temperature, and Hydraulic Residence Time on the Acidogenic Fermentation of Fruit and Vegetable Waste and Microbial Community Analysis. J. Chem. Technol. Biotechnol. 2023, 98, 819–828. [Google Scholar] [CrossRef]
- Song, X.; Chen, G.; Wang, F.; Zhang, J.; Liu, Y.; Zhao, J. Potential of Volatile Fatty Acids Production from Banana Waste Juice: Impacts of Storage, Substrate Phase, Operation Conditions, and Microbial Community Analysis. Fuel 2024, 366, 131294. [Google Scholar] [CrossRef]
- Eng Sánchez, F.; Tadeu Fuess, L.; Soares Cavalcante, G.; Ângela Talarico Adorno, M.; Zaiat, M. Value-Added Soluble Metabolite Production from Sugarcane Vinasse within the Carboxylate Platform: An Application of the Anaerobic Biorefinery beyond Biogas Production. Fuel 2021, 286, 119378. [Google Scholar] [CrossRef]
- Pittmann, T.; Steinmetz, H. Influence of Operating Conditions for Volatile Fatty Acids Enrichment as a First Step for Polyhydroxyalkanoate Production on a Municipal Waste Water Treatment Plant. Bioresour. Technol. 2013, 148, 270–276. [Google Scholar] [CrossRef] [PubMed]
- Eng, F.; Fuess, L.T.; Bovio-Winkler, P.; Etchebehere, C.; Sakamoto, I.K.; Zaiat, M. Optimization of Volatile Fatty Acid Production by Sugarcane Vinasse Dark Fermentation Using a Response Surface Methodology. Links between Performance and Microbial Community Composition. Sustain. Energy Technol. Assess. 2022, 53, 102764. [Google Scholar] [CrossRef]
- Perez-Esteban, N.; Vives-Egea, J.; Peces, M.; Dosta, J.; Astals, S. Temperature-Driven Carboxylic Acid Production from Waste Activated Sludge and Food Waste: Co-Fermentation Performance and Microbial Dynamics. Waste Manag. 2024, 178, 176–185. [Google Scholar] [CrossRef]
- Jung, K.; Kim, W.; Park, G.W.; Seo, C.; Chang, H.N.; Kim, Y.C. Optimization of Volatile Fatty Acids and Hydrogen Production from Saccharina Japonica: Acidogenesis and Molecular Analysis of the Resulting Microbial Communities. Appl. Microbiol. Biotechnol. 2015, 99, 3327–3337. [Google Scholar] [CrossRef]
- Infantes, D.; Gonzáles del Campo, A.; Villaseñor, J.; Fernández, F.J. Kinetic Model and Study of the Influence of PH, Temperature and Undissociated Acids on Acidogenic Fermentation. Biochem. Eng. J. 2012, 66, 66–72. [Google Scholar] [CrossRef]
- Alibardi, L.; Cossu, R. Effects of Carbohydrate, Protein and Lipid Content of Organic Waste on Hydrogen Production and Fermentation Products. Waste Manag. 2016, 47, 69–77. [Google Scholar] [CrossRef]
- Castilla-Archilla, J.; Papirio, S.; Lens, P.N.L. Two Step Process for Volatile Fatty Acid Production from Brewery Spent Grain: Hydrolysis and Direct Acidogenic Fermentation Using Anaerobic Granular Sludge. Process Biochem. 2021, 100, 272–283. [Google Scholar] [CrossRef]
- Jiang, J.; Zhang, Y.; Li, K.; Wang, Q.; Gong, C.; Li, M. Volatile Fatty Acids Production from Food Waste: Effects of PH, Temperature, and Organic Loading Rate. Bioresour. Technol. 2013, 143, 525–530. [Google Scholar] [CrossRef]
- Wang, G.; Mu, Y.; Yu, H.Q. Response Surface Analysis to Evaluate the Influence of PH, Temperature and Substrate Concentration on the Acidogenesis of Sucrose-Rich Wastewater. Biochem. Eng. J. 2005, 23, 175–184. [Google Scholar] [CrossRef]
- Lee, H.S.; Salerno, M.B.; Rittmann, B.E. Thermodynamic Evaluation on H2 Production in Glucose Fermentation. Environ. Sci. Technol. 2008, 42, 2401–2407. [Google Scholar] [CrossRef] [PubMed]
- Zhou, M.; Zhou, J.; Tan, M.; Du, J.; Yan, B.; Wong, J.W.C.; Zhang, Y. Enhanced Carboxylic Acids Production by Decreasing Hydrogen Partial Pressure during Acidogenic Fermentation of Glucose. Bioresour. Technol. 2017, 245, 44–51. [Google Scholar] [CrossRef] [PubMed]
- Yan, Y.; Feng, L.; Zhang, C.; Wisniewski, C.; Zhou, Q. Ultrasonic Enhancement of Waste Activated Sludge Hydrolysis and Volatile Fatty Acids Accumulation at pH 10.0. Water Res. 2010, 44, 3329–3336. [Google Scholar] [CrossRef] [PubMed]
- Martinez-Burgos, W.J.; Sydney, E.B.; de Paula, D.R.; Medeiros, A.B.P.; de Carvalho, J.C.; Soccol, V.T.; de Souza Vandenberghe, L.P.; Woiciechowski, A.L.; Soccol, C.R. Biohydrogen Production in Cassava Processing Wastewater Using Microbial Consortia: Process Optimization and Kinetic Analysis of the Microbial Community. Bioresour. Technol. 2020, 309, 123331. [Google Scholar] [CrossRef]
- Ceron, C.; Andres, A.; Vidal, P.; Lozada, T.; Del, I.; La, Y.; En, A.; Tratamiento, E.L.; Las, A.D.E. Importancia Del PH y La Alcalinidad En El Tratamiento Anaerobio de Las Aguas Residuales Del Proceso de Extracción de Almidón de Yuca. Sci. Tech. 2005, 11, 243–248. [Google Scholar]
- Pabón Pereira, C.P.; Castañares, G.; Van Lier, J.B. An OxiTop® Protocol for Screening Plant Material for Its Biochemical Methane Potential (BMP). Water Sci. Technol. 2012, 66, 1416–1423. [Google Scholar] [CrossRef]
- Hilkiah Igoni, A.; Ayotamuno, M.J.; Eze, C.L.; Ogaji, S.O.T.; Probert, S.D. Designs of Anaerobic Digesters for Producing Biogas from Municipal Solid-Waste. Appl. Energy 2008, 85, 430–438. [Google Scholar] [CrossRef]
- Dahiya, S.; Sarkar, O.; Swamy, Y.V.; Venkata Mohan, S. Acidogenic Fermentation of Food Waste for Volatile Fatty Acid Production with Co-Generation of Biohydrogen. Bioresour. Technol. 2015, 182, 103–113. [Google Scholar] [CrossRef]
- Ramos-Suarez, M.; Zhang, Y.; Outram, V. Current Perspectives on Acidogenic Fermentation to Produce Volatile Fatty Acids from Waste. Rev. Environ. Sci. Bio/Technol. 2021, 20, 439–478. [Google Scholar] [CrossRef]
- Wu, H.; Scheve, T.; Dalke, R.; Holtzapple, M.; Urgun-Demirtas, M. Scaling up Carboxylic Acid Production from Cheese Whey and Brewery Wastewater via Methane-Arrested Anaerobic Digestion. Chem. Eng. J. 2023, 459, 140080. [Google Scholar] [CrossRef]
- Arslan, D.; Steinbusch, K.J.J.; Diels, L.; Hamelers, H.V.M.; Strik, D.P.B.T.B.; Buisman, C.J.N.; De Wever, H. Selective Short-Chain Carboxylates Production: A Review of Control Mechanisms to Direct Mixed Culture Fermentations. Crit. Rev. Environ. Sci. Technol. 2016, 46, 592–634. [Google Scholar] [CrossRef]
- Rafay, R.; Allegue, T.; Fowler, S.J.; Rodríguez, J. Exploring the Limits of Carbohydrate Conversion and Product Formation in Open Mixed Culture Fermentation. J. Environ. Chem. Eng. 2022, 10, 107513. [Google Scholar] [CrossRef]
- Agler, M.T.; Wrenn, B.A.; Zinder, S.H.; Angenent, L.T. Waste to Bioproduct Conversion with Undefined Mixed Cultures: The Carboxylate Platform. Trends Biotechnol. 2011, 29, 70–78. [Google Scholar] [CrossRef]





| Criteria | E1 | E2 |
|---|---|---|
| Variable evaluated | S/M ratio | Temperature |
| Evaluated conditions | 2, 4, 6, 8, and 10 gCOD/gVS | 20, 27, 34, and 42 ± 1 °C |
| Adjusted conditions | Fermentation time: 6 d | Fermentation time: 6 d |
| pH: 5.4 | pH: 5.4 | |
| T: 34 ± 1 °C | S/M: 4 gCOD/gVS | |
| Replicates | 3 | 3 |
| Parameter | Units | E1 | E2 |
|---|---|---|---|
| pH | --- | 4.48 | 4.71 |
| Total COD | mg/L | 4910.00 | 4480.00 |
| Soluble COD | mg/L | 4400.00 | 3870.00 |
| Total VFAs | mgHAc/L | 1116.01 | 1416.53 |
| Carbohydrates | mg/L | 2730.69 | 1107.22 |
| Total alkalinity | mgCaCO3/L | 30.19 | 223.96 |
| Bicarbonate alkalinity | mgCaCO3/L | 0 | 0 |
| Total acidity | mgCaCO3/L | 669.25 | 842.11 |
| TS | mg/L | 5040.00 | 5760.00 |
| VS | mg/L | 3805.00 | 4035.00 |
| Ammonia nitrogen | mgNH4+/L | 45.00 | 42.90 |
| Orthophosphates | mgPO43−/L | 1.01 | 0.74 |
| Parameter | Units | E1 | E2 |
|---|---|---|---|
| TS | g/L | 76.33 | 115.15 |
| VS | g/L | 49.02 | 47.34 |
| Source | df | Sum of Squares | Mean Square | F-Value | ρ-Value |
|---|---|---|---|---|---|
| Treatment | 4 | 161,436 | 40,359 | 2.1308 | 0.1514 |
| Residuals | 10 | 189,408 | 18,941 |
| Source | df | Sum of Squares | Mean Square | F-Value | ρ-Value |
|---|---|---|---|---|---|
| Treatment | 3 | 1,510,583 | 503,528 | 24.261 | 0.0002271 |
| Residuals | 8 | 166,037 | 20,755 |
Disclaimer/Publisher’s Note: The statements, opinions and data contained in all publications are solely those of the individual author(s) and contributor(s) and not of MDPI and/or the editor(s). MDPI and/or the editor(s) disclaim responsibility for any injury to people or property resulting from any ideas, methods, instructions or products referred to in the content. |
© 2024 by the authors. Licensee MDPI, Basel, Switzerland. This article is an open access article distributed under the terms and conditions of the Creative Commons Attribution (CC BY) license (https://creativecommons.org/licenses/by/4.0/).
Share and Cite
Sanchez-Ledesma, L.M.; Rodríguez-Victoria, J.A.; Ramírez-Malule, H. Acidogenic Fermentation of Cassava Wastewater: Effect of the Substrate-to-Microorganism Ratio and Temperature on Volatile Fatty Acids Production. Water 2024, 16, 3344. https://doi.org/10.3390/w16233344
Sanchez-Ledesma LM, Rodríguez-Victoria JA, Ramírez-Malule H. Acidogenic Fermentation of Cassava Wastewater: Effect of the Substrate-to-Microorganism Ratio and Temperature on Volatile Fatty Acids Production. Water. 2024; 16(23):3344. https://doi.org/10.3390/w16233344
Chicago/Turabian StyleSanchez-Ledesma, Lina Marcela, Jenny Alexandra Rodríguez-Victoria, and Howard Ramírez-Malule. 2024. "Acidogenic Fermentation of Cassava Wastewater: Effect of the Substrate-to-Microorganism Ratio and Temperature on Volatile Fatty Acids Production" Water 16, no. 23: 3344. https://doi.org/10.3390/w16233344
APA StyleSanchez-Ledesma, L. M., Rodríguez-Victoria, J. A., & Ramírez-Malule, H. (2024). Acidogenic Fermentation of Cassava Wastewater: Effect of the Substrate-to-Microorganism Ratio and Temperature on Volatile Fatty Acids Production. Water, 16(23), 3344. https://doi.org/10.3390/w16233344

