Mechanisms and Implications of Phosphate Retention in Soils: Insights from Batch Adsorption Experiments and Geochemical Modeling
Abstract
1. Introduction
2. Materials and Methods
2.1. Sample Collection and Preprocessing
2.2. Analytical Properties Analysis
2.3. Adsorption Batch Experiment
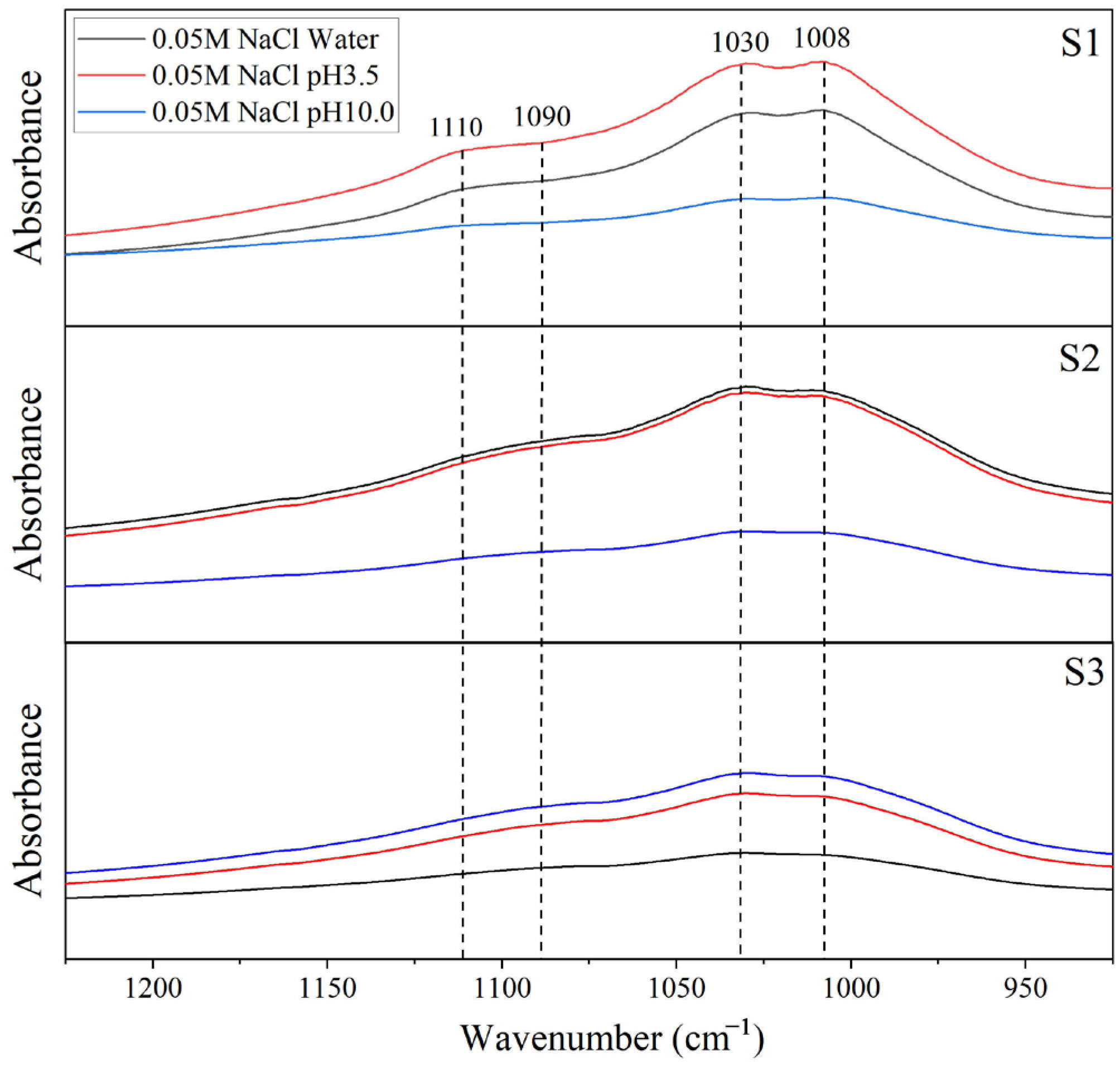
2.4. Characterization of the Adsorption Mechanism
2.5. Geochemical Model
3. Results
3.1. Soil Characteristics
3.2. Adsorption Kinetics
3.3. Isothermal Adsorption
3.4. Adsorption Thermodynamics
3.5. Desorption
3.6. Effect of Soil Dose on Phosphate Adsorption
3.7. Effect of pH and Ionic Strength on Phosphate Adsorption
4. Discussion
4.1. Target Mineral Phase for Phosphate Adsorption
4.2. Mechanisms of Phosphate Retention in Soil at Alkaline Condition
4.3. Retention Distribution of Phosphate in Soil
4.4. Environmental Implication
5. Conclusions
- Phosphate adsorption in soil follows the intra-particle diffusion model, reaching equilibrium approximately 750 min after initiation. The adsorption capacity ranges from 0.193 to 0.217 mg/g. Phosphate adsorption is characterized by spontaneous endothermic reactions and partial desorption. An increase in pH typically inhibits phosphate adsorption, though it is enhanced under alkaline conditions in soils containing vermiculite. Ionic strength generally does not affect phosphate adsorption, but enhances adsorption in vermiculite-containing samples under alkaline conditions.
- Phosphate is predominantly adsorbed on iron oxides in the form of inner-sphere surface complexes (approximately 80–90%) under acidic and neutral conditions. Aluminum oxides, due to their low content, smaller specific surface area, and lower surface site density, contribute only about 10% to the adsorbed phosphate in soil.
- Under alkaline conditions, the affinity of iron/aluminum oxides for phosphate decreases, and layered silicate minerals become the primary contributors to phosphate retention. Specifically, the release of exchangeable Ca2+ from the interlayer spaces of vermiculite and biotite induces the precipitation of hydroxyapatite.
- The critical pH for the transition of adsorption mechanisms decreases with the increasing content of vermiculite in soil and the concentration of cations in solution, and may also be potentially influenced by the type of cations present.
- Given that soil serves as a primary barrier to phosphate entering into groundwater, it is recommended to select sites that are mineralogically favorable and align with the pH characteristics of the wastewater for phosphate-related factories, thereby minimizing the environmental risks to groundwater and downstream surface water. Incorporation of a specified quantity of vermiculite into soils effectively mitigates groundwater phosphate contamination and demonstrates significant cost-effectiveness in both industrial and agricultural applications.
Supplementary Materials
Author Contributions
Funding
Data Availability Statement
Conflicts of Interest
References
- Wang, Y.; Yuan, S.; Shi, J.; Ma, T.; Xie, X.; Deng, Y.; Du, Y.; Gan, Y.; Guo, Z.; Dong, Y.; et al. Groundwater Quantity and Health: Making the Invisible Visible. Environ. Sci. Technol. 2023, 57, 5125–5136. [Google Scholar] [PubMed]
- Warrack, J.; Kang, M.; von Sperber, C. Groundwater phosphorus concentrations: Global trends and links with agricultural and oil and gas activities. Environ. Res. Lett. 2022, 17, 014014. [Google Scholar]
- Huang, G.; Liu, C.; Zhang, Y.; Chen, Z. Groundwater is important for the geochemical cycling of phosphorus in rapidly urbanized areas: A case study in the Pearl River Delta. Environ. Pollut. 2020, 260, 114079. [Google Scholar] [PubMed]
- Chen, Y.; Ma, T.; Chen, L.; Liu, W.; Zhang, M.; Shang, R. Multimedia Nitrogen and Phosphorus Migration and Source Control Using Multivariate Analysis and XGBoost: The Case Study in a Typical Agricultural Basin, Danjiangkou Reservoir. Water 2024, 16, 1936. [Google Scholar] [CrossRef]
- Meinikmann, K.; Hupfer, M.; Lewandowski, J. Phosphorus in groundwater discharge—A potential source for lake eutrophication. J. Hydrol. 2015, 524, 214–226. [Google Scholar]
- Schoumans, O.F.; Chardon, W.J. Phosphate saturation degree and accumulation of phosphate in various soil types in The Netherlands. Geoderma 2015, 237–238, 325–335. [Google Scholar]
- Boschetti, T.; Hamed, Y.; Hadji, R.; Barbieri, M.; Gentilucci, M.; Rossi, M.; Khalil, R.; Khan, S.D.; Asghar, B.; Al-Omran, A.; et al. Using principal component analysis to distinguish sources of radioactivity and nitrates contamination in Southern Tunisian groundwater samples. J. Geochem. Explor. 2025, 271, 107670. [Google Scholar]
- Millán-Becerro, R.; Pérez-López, R.; Cánovas, C.R.; Macías, F.; León, R. Phosphogypsum weathering and implications for pollutant discharge into an estuary. J. Hydrol. 2023, 617, 128943. [Google Scholar]
- Melki, S.; El Asmi, A.M.; Gueddari, M. Inferred Industrial and Agricultural Activities Impact on Groundwater Quality of Skhira Coastal Phreatic Aquifer in Southeast of Tunisia (Mediterranean Region). Geofluids 2019, 1, 9465498. [Google Scholar]
- Melki, S.; Asmi, A.M.E.; Sy, M.; Gueddari, M.J.E.E.S. A geochemical assessment and modeling of industrial groundwater contamination by orthophosphate and fluoride in the Gabes-North aquifer, Tunisia. Environ. Earth Sci. 2020, 79, 1–20. [Google Scholar]
- Ahmed, A.A.; Morshedizad, M.; Kühn, O.; Leinweber, P. Deciphering competitive interactions: Phosphate and organic matter binding on goethite through experimental and theoretical insights. Sci. Total Environ. 2024, 940, 173510. [Google Scholar] [PubMed]
- Abdelwaheb, M.; Jebali, K.; Dhaouadi, H.; Dridi-Dhaouadi, S. Adsorption of nitrate, phosphate, nickel and lead on soils: Risk of groundwater contamination. Ecotoxicol. Environ. Saf. 2019, 179, 182–187. [Google Scholar] [PubMed]
- Haile, A.M.; Abera, T.; Molla, B.D.; Tamiru, A.A.; Oddvar, R. Surface-complexation modelling for describing adsorption of phosphate on hydrous ferric oxide surface. Water SA 2015, 41, 157–166. [Google Scholar]
- Sarkar, B.; Mukhopadhyay, R.; Ramanayaka, S.; Bolan, N.; Ok, Y.S. The role of soils in the disposition, sequestration and decontamination of environmental contaminants. Philos. Trans. R. Soc. B-Biol. Sci. 2021, 376, 20200177. [Google Scholar]
- Ahmed, A.A.; Leinweber, P.; Kühn, O. Advances in understanding the phosphate binding to soil constituents: A Computational Chemistry perspective. Sci. Total Environ. 2023, 887, 163692. [Google Scholar] [CrossRef]
- Rout, P.R.; Bhunia, P.; Dash, R.R. A mechanistic approach to evaluate the effectiveness of red soil as a natural adsorbent for phosphate removal from wastewater. Desalin. Water Treat. 2015, 54, 358–373. [Google Scholar]
- Mª García-López, A.; Delgado, A.; Plassard, C. Kinetics of phytate adsorption and response of phosphorus forms initially present in alkaline soils. Geoderma 2024, 443, 116800. [Google Scholar]
- Huang, J.; Huang, X.; Jiang, D. Phosphorus can effectively reduce selenium adsorption in selenium-rich lateritic red soil. Sci. Total Environ. 2024, 906, 167356. [Google Scholar]
- Amarh, F.; Voegborlo, R.B.; Essuman, E.K.; Agorku, E.S.; Tettey, C.O.; Kortei, N.K. Effects of soil depth and characteristics on phosphorus adsorption isotherms of different land utilization types: Phosphorus adsorption isotherms of soil. Soil Tillage Res. 2021, 213, 105139. [Google Scholar]
- Wang, Y.; Jiang, J.; Xu, R.K.; Tiwari, D. Phosphate adsorption at variable charge soil/water interfaces as influenced by ionic strength. Aust. J. Soil Res. 2009, 47, 529–536. [Google Scholar] [CrossRef]
- Geng, Y.; Pan, S.; Zhang, L.; Qiu, J.; He, K.; Gao, H.; Li, Z.; Tian, D. Phosphorus biogeochemistry regulated by carbonates in soil. Environ. Res. 2022, 214, 113894. [Google Scholar] [CrossRef]
- Gustafsson, J.P.; Mwamila, L.B.; Kergoat, K. The pH dependence of phosphate sorption and desorption in Swedish agricultural soils. Geoderma 2012, 189–190, 304–311. [Google Scholar]
- Tuntrachanida, J.; Wisawapipat, W.; Aramrak, S.; Chittamart, N.; Klysubun, W.; Amonpattaratkit, P.; Duboc, O.; Wenzel, W.W. Combining spectroscopic and flux measurement techniques to determine solid-phase speciation and solubility of phosphorus in agricultural soils. Geoderma 2022, 410, 115677. [Google Scholar]
- Zhao, W.; Gu, C.; Zhu, M.; Yan, Y.; Liu, Z.; Feng, X.; Wang, X. Chemical speciation of phosphorus in farmland soils and soil aggregates around mining areas. Geoderma 2023, 433, 116465. [Google Scholar]
- Pechenyuk, S.I.; Semushina, Y.P.; Kuz’mich, L.F. Adsorption affinity of anions on metal oxyhydroxides. Russ. J. Phys. Chem. A 2013, 87, 490–496. [Google Scholar]
- Gérard, F. Clay minerals, iron/aluminum oxides, and their contribution to phosphate sorption in soils—A myth revisited. Geoderma 2016, 262, 213–226. [Google Scholar]
- Jin, J.; Xiong, J.; Liang, Y.; Wang, M.; Huang, C.; Koopal, L.; Tan, W. Generic phosphate affinity constants of the CD-MUSIC-eSGC model to predict phosphate adsorption and dominant speciation on iron (hydr)oxides. Water Res. 2024, 264, 122194. [Google Scholar]
- Nam, G.; Choi, Y.H.; Lee, N.; Ahn, J.W. Effect by Alkaline Flocculation of Algae and Phosphorous from Water Using a Calcined Waste Oyster Shell. Water 2017, 9, 661. [Google Scholar] [CrossRef]
- Fan, B.; Ding, J.; Fenton, O.; Daly, K.; Chen, Q. Understanding phosphate sorption characteristics of mineral amendments in relation to stabilising high legacy P calcareous soil. Environ. Pollut. 2020, 261, 114175. [Google Scholar]
- Sø, H.U.; Postma, D.; Jakobsen, R.; Larsen, F. Sorption of phosphate onto calcite; results from batch experiments and surface complexation modeling. Geochim. Cosmochim. Acta 2011, 75, 2911–2923. [Google Scholar]
- Antelo, J.; Fiol, S.; Pérez, C.; Mariño, S.; Arce, F.; Gondar, D.; López, R. Analysis of phosphate adsorption onto ferrihydrite using the CD-MUSIC model. J. Colloid Interface Sci. 2010, 347, 112–119. [Google Scholar] [CrossRef] [PubMed]
- Laiti, E.; Persson, P.; Öhman, L.O. Balance between Surface Complexation and Surface Phase Transformation at the Alumina/Water Interface. Langmuir 1998, 14, 825–831. [Google Scholar] [CrossRef]
- Bullen, J.C.; Landa-Cansigno, O.; Weiss, D.J. Teaching Adsorption Chemistry by Constructing Surface Complexation Models (SCM) in PHREEQC. J. Chem. Educ. 2024, 101, 1914–1924. [Google Scholar] [CrossRef]
- Huang, L.; Fang, H.; Reible, D. Mathematical model for interactions and transport of phosphorus and sediment in the Three Gorges Reservoir. Water Res. 2015, 85, 393–403. [Google Scholar] [CrossRef]
- Davis, J.A.; Coston, J.A.; Kent, D.B.; Fuller, C.C. Application of the surface complexation concept to complex mineral assemblages. Environ. Sci. Technol. 1998, 32, 2820–2828. [Google Scholar] [CrossRef]
- HJ 889-2017; Soil Quantity—Determination of Cation Exchange Capacity (CEC)—Hexamminecobalt Trichloride Solution-Spectrophotometric Method. Ministry of Ecology and Environment of China: Beijing, China, 2017.
- Chi, Z.; Xie, X.; Pi, K.; Wang, Y. Mineralogical controls on arsenite adsorption onto soils: Batch experiments and model-based quantification. Sci. Total Environ. 2021, 767, 144920. [Google Scholar] [CrossRef]
- Pérez, C.; Antelo, J.; Fiol, S.; Arce, F. Modeling oxyanion adsorption on ferralic soil, part 1: Parameter validation with phosphate ion. Environ. Toxicol. Chem. 2014, 33, 2208–2216. [Google Scholar] [CrossRef]
- Wang, J.; Guo, X. Adsorption kinetic models: Physical meanings, applications, and solving methods. J. Hazard. Mater. 2020, 390, 122156. [Google Scholar] [CrossRef]
- Qing, Z.; Wang, L.; Liu, X.; Song, Z.; Qian, F.; Song, Y. Simply synthesized sodium alginate/zirconium hydrogel as adsorbent for phosphate adsorption from aqueous solution: Performance and mechanisms. Chemosphere 2022, 291, 133103. [Google Scholar] [CrossRef]
- Kalam, S.; Abu-Khamsin, S.A.; Kamal, M.S.; Patil, S. Surfactant Adsorption Isotherms: A Review. ACS Omega 2021, 6, 32342–32348. [Google Scholar] [CrossRef]
- Samimi, M.; Zakeri, M.; Alobaid, F.; Aghel, B. A Brief Review of Recent Results in Arsenic Adsorption Process from Aquatic Environments by Metal-Organic Frameworks: Classification Based on Kinetics, Isotherms and Thermodynamics Behaviors. Nanomaterials 2023, 13, 60. [Google Scholar] [CrossRef] [PubMed]
- Qiu, T.; Zeng, Y.; Ye, C.; Tian, H. Adsorption Thermodynamics and Kinetics of p-Xylene on Activated Carbon. J. Chem. Eng. Data 2012, 57, 1551–1556. [Google Scholar] [CrossRef]
- Oh, Y.M.; Hesterberg, D.L.; Nelson, P.V.; Niedziela, C.E., Jr. Desorption Characteristics of Three Mineral Oxides and a Non-crystalline Aluminosilicate for Supplying Phosphate in Soilless Root Media. Commun. Soil Sci. Plant Anal. 2016, 47, 753–760. [Google Scholar] [CrossRef]
- Wang, F.; Xu, J.; Xu, Y.; Chen, H.; Liang, Y.; Xiong, J. Face-dependent phosphate speciation on goethite: CD-MUSIC modeling and ATR-FTIR/2D-COS study. Sci. Total Environ. 2024, 915, 169970. [Google Scholar] [CrossRef]
- Ioannou, A.; Dimirkou, A. Phosphate Adsorption on Hematite, Kaolinite, and Kaolinite–Hematite (k–h) Systems As Described by a Constant Capacitance Model. J. Colloid Interface Sci. 1997, 192, 119–128. [Google Scholar] [CrossRef]
- Chi, Z.; Xie, X.; Pi, K.; Wu, Y.; Wang, Y. Spectroscopic and modeling approaches of arsenic (III/V) adsorption onto Illite. J. Hazard. Mater. 2024, 477, 135284. [Google Scholar]
- Gustafsson, J.P.; Barbi, F.; Braun, S.; Klysubun, W.; Börjesson, G. Where does all the phosphorus go? Mass balance modelling of phosphorus in the Swedish long-term soil fertility experiments. Geoderma 2023, 440, 116727. [Google Scholar] [CrossRef]
- Liang, H.; Liu, J.; Wei, Y.; Guo, X. Evaluation of phosphorus removal from wastewater by soils in rural areas in China. J. Environ. Sci. 2010, 22, 15–22. [Google Scholar] [CrossRef]
- Tao, Y.; Du, Y.; Deng, Y.; Huang, Y.; Leng, Z.; Ma, T.; Wang, Y. Carbon and iron isotope approach elucidates the enrichment of geogenic phosphorus in alluvial-lacustrine sedimentary aquifers. J. Hydrol. 2022, 607, 127517. [Google Scholar] [CrossRef]
- Edzwald, J.K.; Toensing, D.C.; Leung, M.C.Y. Phosphate adsorption reactions with clay minerals. Environ. Sci. Technol. 1976, 10, 485–490. [Google Scholar] [CrossRef]
- do Nascimento, F.H.; Masini, J.C. Vermiculite Modified with Fe3+ Polyhydroxy Cations Is a Low-Cost and Highly Available Adsorbent for the Removal of Phosphate Ions. Minerals 2022, 12, 1033. [Google Scholar] [CrossRef]
- Kyllönen, J.; Hakanen, M.; Lindberg, A.; Harjula, R.; Vehkamäki, M.; Lehto, J. Modeling of cesium sorption on biotite using cation exchange selectivity coefficients. Radiochim. Acta 2014, 102, 919–929. [Google Scholar]
- Krumina, L.; Kenney, J.P.L.; Loring, J.S.; Persson, P. Desorption mechanisms of phosphate from ferrihydrite and goethite surfaces. Chem. Geol. 2016, 427, 54–64. [Google Scholar]
- Huang, Y.; Zhang, Z. Ion exchange selectivity (Mg2+, Ca2+ and K+) in hydrated Na-montmorillonite: Insights from molecular dynamic simulations. Mol. Simul. 2023, 49, 223–232. [Google Scholar]
- Zhang, H.; Yao, Y. Vermiculite addition to soil decreases N water pollution by over 30%. Environ. Chem. Lett. 2017, 15, 507–513. [Google Scholar]
- Kremenetskaya, I.; Tereshchenko, S.; Alekseeva, S.; Mosendz, I.; Slukovskaya, M.; Ivanova, L.; Mikhailova, I. Vermiculite-lizardite ameliorants from mining waste. IOP Conf. Ser. Earth Environ. Sci. 2019, 368, 012027. [Google Scholar]









| Temperature (°C) | Time (h) | Solid to Liquid Ratio (g/mL) | Electrolyte Backgrounds (M NaCl) | Initial pH | Initial Phosphate Concentration (mg/L) | |
|---|---|---|---|---|---|---|
| Adsorption kinetic | 25 | 0–33 | 40:500 | 0.01 | 7.0 | 50 |
| Adsorption isotherm | 25 | 24 | 2:25 | 0.01 | 7.0 | 5/15/30/45/70/100 |
| Adsorption Thermodynamics | 45 | 24 | 2:25 | 0.01 | 7.0 | 5/15/30/45/70/100 |
| 60 | 24 | 2:25 | 0.01 | 7.0 | 5/15/30/45/70/100 | |
| Desorption | 25 | 12 | 2:25/31.25/41.67/62.5 | 0.01 | 7 | 125 |
| Adsorbent dose | 25 | 24 | 0.5/1/1.5/2/3:25 | 0.01 | 7.0 | 100 |
| Adsorption edge | 25 | 24 | 2:25 | 0.01 | 2.5–12 | 100 |
| 25 | 24 | 2:25 | 0.1 | 2.5–12 | 100 |
| Kinetic Model | Parameters | Soil Sample | ||
|---|---|---|---|---|
| S1 | S2 | S3 | ||
| Pseudo-first-order | K1 (1/min) | 0.0326 | 0.0102 | 0.0554 |
| Qmax (mg/g) | 0.0619 | 0.1336 | 0.0740 | |
| R2 | 0.810 | 0.778 | 0.666 | |
| Pseudo-second-order | K2 [g/(mg·min)] | 0.6715 | 0.0986 | 0.9210 |
| Qmax (mg/g) | 0.0659 | 0.1441 | 0.0769 | |
| R2 | 0.919 | 0.892 | 0.820 | |
| Intra-particle diffusion | Kd1 [mg/(g·min1/2)] | 0.0267 | 0.0250 | 0.0108 |
| R2 | 0.949 | 0.999 | 0.999 | |
| Kd2 [mg/(g·min1/2)] | 0.0078 | 0.0225 | 0.0117 | |
| R2 | 0.998 | 1.000 | 1.000 | |
| Kd3 [mg/(g·min1/2)] | 0.0059 | 0.0145 | 0.0031 | |
| R2 | 0.007 | 0.985 | 0.744 | |
| T (°C) | ΔG0 (KJ/mol) | ΔS0 (KJ/mol/K) | ΔH0 (KJ/mol) | |
|---|---|---|---|---|
| S1 | 25 | −10.370 | 0.153 | 35.18 |
| 45 | −13.577 | 0.153 | ||
| 60 | −15.696 | 0.153 | ||
| S2 | 25 | −8.42 | 0.149 | 14.61 |
| 45 | −10.50 | 0.147 | ||
| 60 | −11.04 | 0.142 | ||
| S3 | 25 | −10.49 | 0.156 | 3.93 |
| 45 | −13.12 | 0.155 | ||
| 60 | −11.94 | 0.144 |
| Minerals | Site Density | Surface Area | Surface Complexation Reactions | Log K |
|---|---|---|---|---|
| Fe minerals | 3.45 site/nm2 | 300 m2/g | Fe_sOH + H+ = Fe_sOH2+ | 2.80 |
| Fe_sOH = Fe_sO− + H+ | −10.40 | |||
| 2Fe_sOH + 3H+ + PO43− = Fe_s2HPO4 + 2H2O | 28.50 | |||
| 2Fe_sOH + 2H+ + PO43− = Fe_s2PO4− + 2H2O | 23.20 | |||
| Fe_sOH + H+ + PO43− = Fe_sPO42− + H2O | 14.80 | |||
| Al minerals | 2.00 site/nm2 | 100 m2/g | Al_sOH + H+ = Al_sOH2+ | 3.20 |
| Al_sOH = Al_sO− + H+ | −9.05 | |||
| Al_sOH + 2H+ + PO43− = Al_sHPO4− + H2O | 24.90 | |||
| Al_sOH + H+ + PO43− = Al_sPO42− + H2O | 16.80 |
Disclaimer/Publisher’s Note: The statements, opinions and data contained in all publications are solely those of the individual author(s) and contributor(s) and not of MDPI and/or the editor(s). MDPI and/or the editor(s) disclaim responsibility for any injury to people or property resulting from any ideas, methods, instructions or products referred to in the content. |
© 2025 by the authors. Licensee MDPI, Basel, Switzerland. This article is an open access article distributed under the terms and conditions of the Creative Commons Attribution (CC BY) license (https://creativecommons.org/licenses/by/4.0/).
Share and Cite
Tang, Z.; Chi, Z.; Jiang, F.; Zhao, M.; Fu, S.; Wei, L.; Feng, Q.; Wu, Y.; Xu, N. Mechanisms and Implications of Phosphate Retention in Soils: Insights from Batch Adsorption Experiments and Geochemical Modeling. Water 2025, 17, 998. https://doi.org/10.3390/w17070998
Tang Z, Chi Z, Jiang F, Zhao M, Fu S, Wei L, Feng Q, Wu Y, Xu N. Mechanisms and Implications of Phosphate Retention in Soils: Insights from Batch Adsorption Experiments and Geochemical Modeling. Water. 2025; 17(7):998. https://doi.org/10.3390/w17070998
Chicago/Turabian StyleTang, Zhi, Zeyong Chi, Fengcheng Jiang, Mingzhe Zhao, Shengbo Fu, Lingqiao Wei, Qingsheng Feng, Yongming Wu, and Nuchao Xu. 2025. "Mechanisms and Implications of Phosphate Retention in Soils: Insights from Batch Adsorption Experiments and Geochemical Modeling" Water 17, no. 7: 998. https://doi.org/10.3390/w17070998
APA StyleTang, Z., Chi, Z., Jiang, F., Zhao, M., Fu, S., Wei, L., Feng, Q., Wu, Y., & Xu, N. (2025). Mechanisms and Implications of Phosphate Retention in Soils: Insights from Batch Adsorption Experiments and Geochemical Modeling. Water, 17(7), 998. https://doi.org/10.3390/w17070998

