Characterization and Quantification of Fracture Roughness for Groundwater Modeling in Fractures Generated with Weierstrass–Mandelbrot Approach
Abstract
1. Introduction
2. Methods
2.1. Fractal Dimension Determination
2.2. The Numerical Generation for Rough Surfaces of Fractures
3. Investigation Scenario Design and Experimental Setup
3.1. Investigation Scenario Design
3.1.1. Scenario Design for Preliminary Investigations
3.1.2. Orthogonal Experimental Design
3.2. Experimental Setup Design
3.2.1. 3D-Printed Physical Model Design
3.2.2. Validation Design for Hydrodynamic Experiments
4. Results and Analyses
4.1. Validating the Reliability of 3D W-M Surface Generation Through D-Value Comparison
4.2. Impacts of Individual Parameters on Fracture Roughness
4.2.1. Illustrations on Typical Scenarios of Rough Fracture Surfaces with Varying Different Influencing Factors
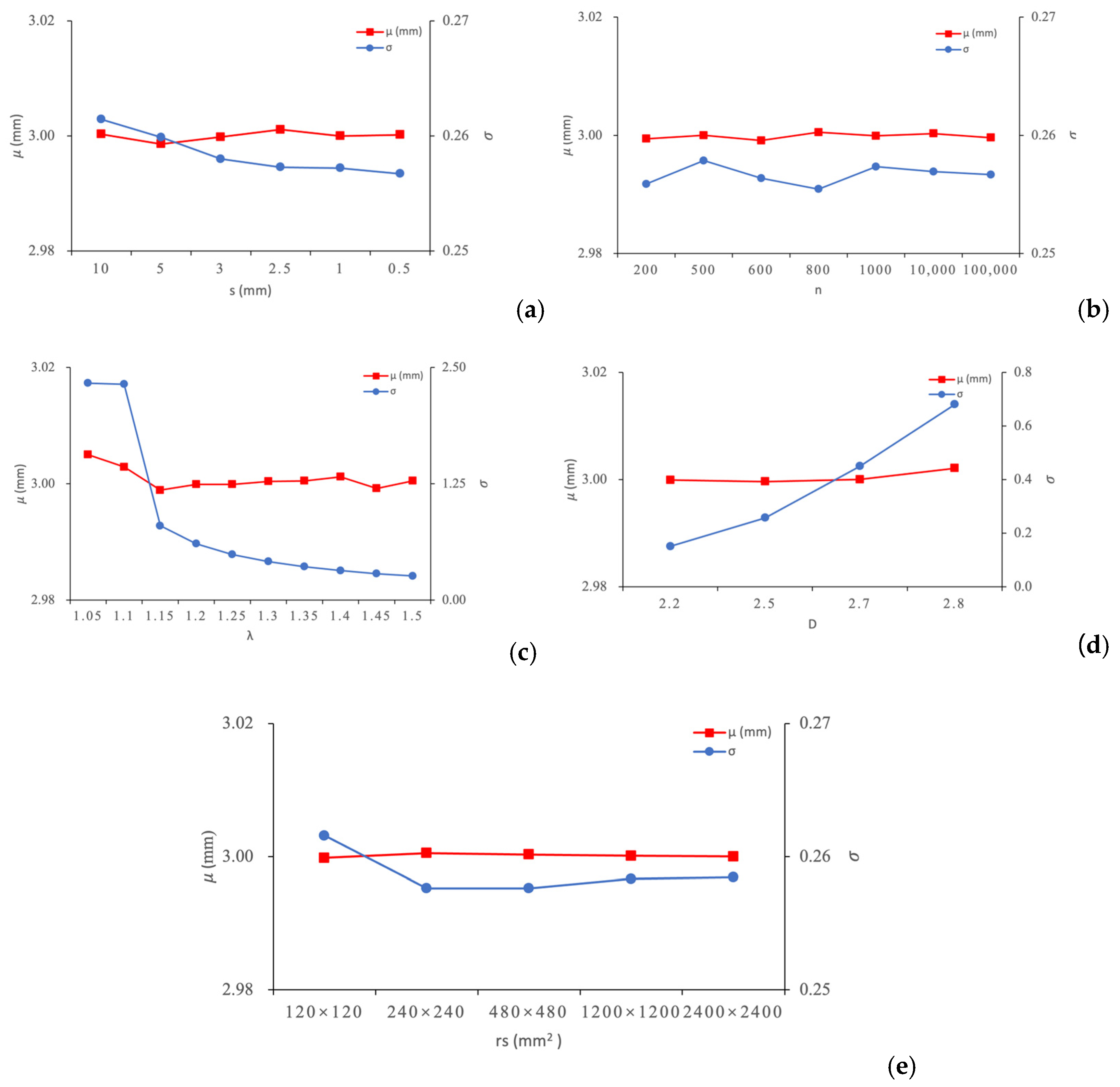
4.2.2. Effect of Segmentation on Roughness
4.2.3. Effect of Summation Number n on Roughness
4.2.4. Effect of λ Parameter on Roughness
4.2.5. Effect of D Parameter on Roughness
4.2.6. Effect of Investigation Sizes on Roughness
4.3. Regression Models for Impacts of Multiple Parameters on Roughness
4.4. Examinations on Impacts of Different Parameters by 3D-Printed Rough Fracture Experiments and Numerical Simulations
5. Conclusions
- (1)
- Based on the datasets of the rough surfaces of rock fractures generated using the 3D Weierstrass–Mandelbrot (W-M) approach, a univariate analysis of five factors including fractal dimension D, frequency density factor λ, segmentation accuracy s, summation number n, and investigation scale rs was conducted. It was found that s and n have a minor impact on roughness, exhibiting negligible effects when s ≤ 3 mm and n > 200. However, λ and D significantly affect the geometric heterogeneity of the fracture surface, while roughness remains largely unchanged when λ ≥ 1.3. When rs ≥ 240 × 240 mm2, fracture roughness does not significantly change with increases in rs, indicating a representative size for characterizing the considered fracture roughness.
- (2)
- With the representative investigation size of rs being 240 × 240 mm2, D, λ, n, and s were selected as controlling parameters using an orthogonal experimental design to generate representative fracture surface data. Based on these data, two multiple regression statistical models were established correlating aperture standard deviation σ with all influencing factors (D, λ, n, and s) and with the two key controlling factors (D and λ). Both models demonstrated excellent fitting (R2 = 0.97). When λ ≥ 1.3, D predominantly controls fracture roughness, consistent with the findings from the univariate analysis. The verification results confirm the reliability of these regression models.
- (3)
- The laboratory-scale rough rock specimens were generated using 3D printing technology under the conditions of s ≤ 3 mm, n > 200, λ ≥ 1.3, and rs ≥ 240 × 240 mm2. These samples facilitated hydrodynamic experimentation under saturated conditions. Empirical data confirmed the accuracy and reliability of numerical simulations, indicating that the constructed models effectively represent physical experiments. The groundwater flow simulations based on the physical model, in which these influencing factors s, n, λ, and D have been accounted for, demonstrated consistency with prior statistical analyses. It has been validated that s and n minimally effect roughness, particularly when s ≤ 3 mm and n > 200. In contrast, D and lower λ significantly affect the geometric heterogeneity of the fracture surface. The roughness can be controlled by D under the conditions of s ≤ 3 mm, n > 200, λ ≥ 1.3, and rs ≥ 240 × 240 mm2. This parametric sensitivity analysis empowers technicians to efficiently control surface roughness through the calibration of parameter D under the specified constraints, enabling precise replication of target conditions.
- (4)
- This study lays the foundation for accurately characterizing rough fracture surfaces and effectively constructing relevant experimental devices, providing technicians with a reliable approach for generating consistent rough fractures using the W-M method. The validated roughness characterization methodology enables a more accurate representation of fracture properties in groundwater models, improving the prediction accuracy of groundwater flow and contaminant transport in fractured aquifers, supporting more effective groundwater utilization and management. Specifically, an effective framework has been presented as a reference for various experimental and numerical investigations, along with practical applications such as groundwater seepage, solute transport, and multiphase flow including migrations of contaminants or petroleum NAPLs in rough fractures of fractured rocks. Despite its achievements, this study is limited to single-phase flow under laboratory conditions. Future research should focus on three key areas: (1) multiphase flow dynamics in rough fractures, especially gas–water or NAPL–water interactions relevant to contaminated aquifer remediation; (2) coupled thermo-hydro-mechanical-chemical processes, including mineral dissolution/precipitation that affect fracture morphology over time; and (3) the development of upscaling methods to apply laboratory results to field-scale fractured aquifer systems. Additionally, the W-M method could be extended to characterize fracture networks, improving our understanding of flow and transport in complex fractured media at watershed scales.
Author Contributions
Funding
Data Availability Statement
Conflicts of Interest
References
- Dou, Z.; Sleep, B.; Zhan, H.; Zhou, Z.; Wang, J. Multiscale Roughness Influence on Conservative Solute Transport in Self-Affine Fractures. Int. J. Heat Mass Transf. 2019, 133, 606–618. [Google Scholar] [CrossRef]
- Zou, L.; Jing, L.; Cvetkovic, V. Modeling of Flow and Mixing in 3D Rough-Walled Rock Fracture Intersections. Adv. Water Resour. 2017, 107, 1–9. [Google Scholar] [CrossRef]
- Zhang, Y.; Ye, J.; Li, P. Flow Characteristics in a 3D-Printed Rough Fracture. Rock Mech. Rock Eng. 2022, 55, 4329–4349. [Google Scholar] [CrossRef]
- Zandarin, M.T.; Alonso, E.; Olivella, S. A Constitutive Law for Rock Joints Considering the Effects of Suction and Roughness on Strength Parameters. Int. J. Rock Mech. Min. Sci. 2013, 60, 333–344. [Google Scholar] [CrossRef]
- Azinfar, M.J.; Ghazvinian, A.H.; Nejati, H.R. Assessment of Scale Effect on 3D Roughness Parameters of Fracture Surfaces. Eur. J. Environ. Civ. Eng. 2019, 23, 1–28. [Google Scholar] [CrossRef]
- Alberti, L.; Antelmi, M.; Oberto, G.; La Licata, I.; Mazzon, P. Evaluation of Fresh Groundwater Lens Volume and Its Possible Use in Nauru Island. Water 2022, 14, 3201. [Google Scholar] [CrossRef]
- Song, Z.; Wang, Y.; Wang, J.; Huan, H.; Li, H. Design of Pump-and-Treat Strategies for Contaminated Groundwater Remediation Using Numerical Modeling: A Case Study. Water 2024, 16, 3665. [Google Scholar] [CrossRef]
- Brinksmeier, E.; Riemer, O. Measurement of Optical Surfaces Generated by Diamond Turning. Int. J. Mach. Tools Manuf. 1998, 38, 699–705. [Google Scholar] [CrossRef]
- Deng, H.; Fitts, J.P.; Peters, C.A. Quantifying Fracture Geometry with X-Ray Tomography: Technique of Iterative Local Thresholding (TILT) for 3D Image Segmentation. Comput. Geosci. 2016, 20, 231–244. [Google Scholar] [CrossRef]
- Tian, Z.; Dai, C.; Zhao, Q.; Meng, Z.; Zhang, B. Experimental Study of Joint Roughness Influence on Fractured Rock Mass Seepage. Geofluids 2021, 2021, 8813743. [Google Scholar] [CrossRef]
- Phillips, T.; Bultreys, T.; Bisdom, K.; Kampman, N.; Offenwert, S.; Mascini, A.; Cnudde, V.; Busch, A. A Systematic Investigation Into the Control of Roughness on the Flow Properties of 3D-Printed Fractures. Water Resour. Res. 2021, 57, 25233. [Google Scholar] [CrossRef]
- Zhu, C.; Xu, X.; Wang, X.; Xiong, F.; Tao, Z.; Lin, Y.; Chen, J. Experimental Investigation on Nonlinear Flow Anisotropy Behavior in Fracture Media. Geofluids 2019, 2019, 5874849. [Google Scholar] [CrossRef]
- Cui, W.; Wang, L.; Luo, Y. Modeling of Three-Dimensional Single Rough Rock Fissures: A Study on Flow Rate and Fractal Parameters Using the Weierstrass-Mandelbrot Function. Comput. Geotech. 2022, 144, 104655. [Google Scholar] [CrossRef]
- Develi, K.; Babadagli, T. Quantification of Natural Fracture Surfaces Using Fractal Geometry. Math. Geol. 1998, 30, 971–998. [Google Scholar] [CrossRef]
- Chen, S.J.; Zhu, W.C.; Yu, Q.L.; Liu, X.G. Characterization of Anisotropy of Joint Surface Roughness and Aperture by Variogram Approach Based on Digital Image Processing Technique. Rock Mech. Rock Eng. 2016, 49, 855–876. [Google Scholar] [CrossRef]
- Ju, Y.; Ren, Z.; Zheng, J.; Gao, F.; Mao, L.; Chiang, F.; Xie, H. Quantitative Visualization Methods for Continuous Evolution of Three-Dimensional Discontinuous Structures and Stress Field in Subsurface Rock Mass Induced by Excavation and Construction—An Overview. Eng. Geol. 2020, 265, 105443. [Google Scholar] [CrossRef]
- Chen, Y.; Liang, W.; Lian, H.; Yang, J.; Nguyen, V.P. Experimental Study on the Effect of Fracture Geometric Characteristics on the Permeability in Deformable Rough-Walled Fractures. Int. J. Rock Mech. Min. Sci. 2017, 98, 121–140. [Google Scholar] [CrossRef]
- Zhang, X.; Jiang, Q.; Chen, N.; Wei, W.; Feng, X. Laboratory Investigation on Shear Behavior of Rock Joints and a New Peak Shear Strength Criterion. Rock Mech. Rock Eng. 2016, 49, 3495–3512. [Google Scholar] [CrossRef]
- Ge, Y.; Kulatilake, P.H.S.W.; Tang, H.; Xiong, C. Investigation of Natural Rock Joint Roughness. Comput. Geotech. 2014, 55, 290–305. [Google Scholar] [CrossRef]
- Kou, M.; Liu, X.; Tang, S.; Wang, Y. Experimental Study of the Prepeak Cyclic Shear Mechanical Behaviors of Artificial Rock Joints with Multiscale Asperities. Soil Dyn. Earthq. Eng. 2019, 120, 58–74. [Google Scholar] [CrossRef]
- Ishibashi, T.; Fang, Y.; Elsworth, D.; Watanabe, N.; Asanuma, H. Hydromechanical Properties of 3D Printed Fractures with Controlled Surface Roughness: Insights into Shear-Permeability Coupling Processes. Int. J. Rock Mech. Min. Sci. 2020, 128, 104271. [Google Scholar] [CrossRef]
- Mecholsky, J.J.; Passoja, D.E.; Feinberg-Ringel, K.S. Quantitative Analysis of Brittle Fracture Surfaces Using Fractal Geometry. J. Am. Ceram. Soc. 1989, 72, 60–65. [Google Scholar] [CrossRef]
- Rong, G.; Cheng, L.; He, R.; Quan, J.; Tan, J. Investigation of Critical Non-Linear Flow Behavior for Fractures with Different Degrees of Fractal Roughness. Comput. Geotech. 2021, 133, 104065. [Google Scholar] [CrossRef]
- Datseris, G.; Kottlarz, I.; Braun, A.P.; Parlitz, U. Estimating Fractal Dimensions: A Comparative Review and Open Source Implementations. Chaos Interdiscip. J. Nonlinear Sci. 2023, 33, 102101. [Google Scholar] [CrossRef]
- Li, G.; Zhang, K.; Gong, J.; Jin, X. Calculation Method for Fractal Characteristics of Machining Topography Surface Based on Wavelet Transform. Procedia CIRP 2019, 79, 500–504. [Google Scholar] [CrossRef]
- Zhang, X.; Xu, Y.; Jackson, R.L. An Analysis of Generated Fractal and Measured Rough Surfaces in Regards to Their Multi-Scale Structure and Fractal Dimension. Tribol. Int. 2017, 105, 94–101. [Google Scholar] [CrossRef]
- Ju, Y.; Zhang, Q.; Yang, Y.; Xie, H.; Gao, F.; Wang, H. An Experimental Investigation on the Mechanism of Fluid Flow through Single Rough Fracture of Rock. Sci. China Technol. Sci. 2013, 56, 2070–2080. [Google Scholar] [CrossRef]
- Jinguo, W.; Zhifang, Z. Simulation of Coupled Fluid Flow and Solute Transport in a Rough Fracture. In Elsevier Geo-Engineering Book Series; Stephanson, O., Ed.; Elsevier: Berlin/Heidelberg, Germany, 2004; Volume 2, pp. 565–570. ISBN 1571-9960. [Google Scholar]
- Li, N.; Yang, X.; Zhang, P. Numerical Simulation of the Morphology and the Geometric Characteristic of Rock Joints by Using GIS; CRC Press: Boca Raton, FL, USA, 2008. [Google Scholar]
- Yan, W.; Komvopoulos, K. Contact Analysis of Elastic-Plastic Fractal Surfaces. J. Appl. Phys. 1998, 84, 3617–3624. [Google Scholar] [CrossRef]









| Influences | Levels | Specific Values | Control Group | ESV |
|---|---|---|---|---|
| s (mm) | 6 | 10, 5, 3, 2.5, 1, 0.5 | 5 | 3 |
| n | 7 | 200, 500, 600, 800, 1000, 10,000, 100,000 | 5 | 800 |
| λ | 10 | 1.05, 1.1, 1.15, 1.2, 1.25, 1.3, 1.35, 1.4, 1.45, 1.5 | 5 | 1.5 |
| D | 4 | 2.2, 2.5, 2.7, 2.8 | 5 | 2.7 |
| rs (mm2) | 5 | 120 × 120, 240 × 240, 480 × 480, 1200 × 1200, 2400 × 2400 | 5 | 240 × 240 |
| Groups | n | D | λ and s |
|---|---|---|---|
| 1–4 | 200 | 2.2 | 1.15/5, 1.2/3, 1.3/1, 1.5/0.5 |
| 5–8 | 200 | 2.5 | 1.15/5, 1.2/3, 1.3/1, 1.5/0.5 |
| 9–12 | 200 | 2.7 | 1.15/3, 1.2/5, 1.3/0.5, 1.5/1 |
| 13–16 | 200 | 2.8 | 1.15/3, 1.2/5, 1.3/0.5, 1.5/1 |
| 17–20 | 1000 | 2.2 | 1.15/0.5, 1.2/1, 1.3/3, 1.5/5 |
| 21–24 | 1000 | 2.5 | 1.15/0.5, 1.2/1, 1.3/3, 1.5/5 |
| 25–28 | 1000 | 2.7 | 1.15/1, 1.2/0.5, 1.3/5, 1.5/3 |
| 29–32 | 1000 | 2.8 | 1.15/1, 1.2/0.5, 1.3/5, 1.5/3 |
| Group | rs (mm2) | λ | n | s (mm) | D |
|---|---|---|---|---|---|
| Experiments | 240 × 240 | 1.5 | 800 | 3 | 2.7 |
| S1 | 120 × 120 | 1.5 | 800 | 3 | 2.7 |
| S2 | 240 × 240 | 1.2 | 800 | 3 | 2.7 |
| S3 | 240 × 240 | 1.3 | 800 | 3 | 2.7 |
| S4 | 240 × 240 | 1.5 | 800 | 3 | 2.2 |
| S5 | 240 × 240 | 1.5 | 500 | 3 | 2.7 |
| S6 | 240 × 240 | 1.5 | 800 | 1 | 2.7 |
| S7 | 480 × 480 | 1.5 | 800 | 3 | 2.7 |
| Factor | Value | dmax (mm) | dmin (mm) | Zu (mm) | Zl (mm) | RDA | (mm) | |||
|---|---|---|---|---|---|---|---|---|---|---|
| s (mm) | 10 | 3.71 | 2.24 | 1.06 | 1.93 | −1.94 | −1.07 | 0.021% | 3.0003 | 0.2614 |
| 5 | 3.78 | 2.22 | 1.06 | 1.94 | −1.94 | −1.06 | 0.130% | 2.9986 | 0.2599 | |
| 3 | 3.81 | 2.20 | 1.06 | 1.94 | −1.94 | −1.06 | 0.053% | 2.9998 | 0.2580 | |
| 2.5 | 3.83 | 2.18 | 1.06 | 1.94 | −1.94 | −1.06 | 0.035% | 3.0011 | 0.2573 | |
| 1 | 3.85 | 2.14 | 1.06 | 1.94 | −1.94 | −1.06 | 0.002% | 3.0000 | 0.2572 | |
| 0.5 | 3.87 | 2.14 | 1.06 | 1.94 | −1.94 | 1.06 | 0.001% | 3.0002 | 0.2567 | |
| n | 200 | 3.852 | 2.134 | 1.06 | 1.94 | −1.94 | −1.06 | 0.057% | 2.9994 | 0.2559 |
| 500 | 3.849 | 2.145 | 1.06 | 1.94 | −1.94 | −1.06 | 0.026% | 3.0000 | 0.2579 | |
| 600 | 3.848 | 2.147 | 1.06 | 1.94 | −1.94 | −1.06 | 0.022% | 2.9991 | 0.2564 | |
| 800 | 3.854 | 2.143 | 1.06 | 1.94 | −1.94 | −1.06 | 0.019% | 3.0005 | 0.2554 | |
| 1000 | 3.858 | 2.144 | 1.06 | 1.94 | −1.94 | −1.06 | 0.011% | 2.9999 | 0.2573 | |
| 10,000 | 3.854 | 2.153 | 1.06 | 1.94 | −1.94 | −1.06 | 0.035% | 3.0003 | 0.2569 | |
| 100,000 | 3.857 | 2.140 | 1.06 | 1.94 | −1.94 | −1.06 | 0.034% | 2.9996 | 0.2567 | |
| λ | 1.05 | 10.79 | −4.79 | — | — | — | — | 0.361% | 3.0050 | 2.3326 |
| 1.1 | 6.91 | −0.95 | — | — | — | — | 0 | 3.0029 | 2.3199 | |
| 1.15 | 5.42 | 0.47 | 0.12 | 2.86 | −2.86 | −0.12 | 0.299% | 2.9839 | 0.7973 | |
| 1.2 | 5.01 | 1.00 | 0.45 | 2.55 | −2.55 | −0.45 | 0.074% | 2.9999 | 0.6045 | |
| 1.25 | 4.62 | 1.38 | 0.65 | 2.35 | −2.35 | −0.65 | 0.095% | 2.9999 | 0.4885 | |
| 1.3 | 4.37 | 1.63 | 0.79 | 2.2 | −2.2 | −0.79 | 0.060% | 3.0004 | 0.4136 | |
| 1.35 | 4.19 | 1.80 | 0.88 | 2.12 | −2.12 | −0.88 | 0.050% | 3.0005 | 0.3579 | |
| 1.4 | 4.06 | 1.94 | 0.95 | 2.04 | −2.04 | 0.95 | 0.051% | 3.0012 | 0.3160 | |
| 1.45 | 3.94 | 2.06 | 1.01 | 1.99 | −1.99 | −1.01 | 0.016% | 2.9992 | 0.2821 | |
| 1.5 | 3.85 | 2.13 | 1.06 | 1.94 | −1.94 | −1.06 | 0.020% | 3.0005 | 0.2574 | |
| D | 2.2 | 3.50 | 2.49 | 1.24 | 1.80 | −1.76 | −1.24 | 0.021% | 2.9999 | 0.1505 |
| 2.5 | 3.86 | 2.14 | 1.06 | 1.94 | −1.94 | −1.06 | 0.014% | 2.9996 | 0.2568 | |
| 2.7 | 4.50 | 1.53 | 0.73 | 2.27 | −2.27 | −0.73 | 0.019% | 3.0000 | 0.4492 | |
| 2.8 | 5.30 | 0.74 | 0.32 | 2.68 | −2.68 | −0.32 | 0.053% | 3.0021 | 0.6802 | |
| rs (mm2) | 3.83 | 2.18 | 1.06 | 1.94 | −1.94 | −1.06 | 0.037% | 2.9998 | 0.2593 | |
| 3.85 | 2.15 | 1.06 | 1.94 | −1.94 | −1.06 | 0.028% | 3.0005 | 0.2561 | ||
| 3.87 | 2.13 | 1.06 | 1.94 | −1.94 | −1.06 | 0.006% | 3.0003 | 0.2561 | ||
| 3.88 | 2.12 | 1.06 | 1.94 | −1.94 | −1.06 | 0.006% | 3.0001 | 0.2567 | ||
| 3.88 | 2.12 | 1.06 | 1.94 | −1.94 | −1.06 | 0.002% | 3.0000 | 0.2568 | ||
| Factors | ER | ES | S1 | S2 | S3 | S4 | S5 | S6 | S7 | |
|---|---|---|---|---|---|---|---|---|---|---|
| (1) | hin (mm) | 19.1 | ||||||||
| hout (mm) | 17 | 17.049 | 17 | 17.03 | 17.013 | 17.360 | 17.049 | 17.059 | 17.061 | |
| q (mL/s) | 0.51 | |||||||||
| dif | 0.288% | −0.29% | −0.11% | −0.21% | 1.82% | 0.00% | 0.06% | 0.07% | ||
| (2) | hin (mm) | 20.2 | ||||||||
| hout (mm) | 17 | 17.079 | 17.025 | 16.997 | 16.933 | 18.089 | 17.078 | 17.086 | 17.094 | |
| q (mL/s) | 1.36 | |||||||||
| dif | 0.465% | −0.58% | −0.48% | −0.86% | 5.91% | −0.01% | 0.04% | 0.09% | ||
| (3) | hin (mm) | 23.2 | ||||||||
| hout (mm) | 17 | 16.927 | 16.755 | 16.743 | 16.673 | 18.216 | 16.877 | 16.960 | 16.99 | |
| q (mL/s) | 2.65 | |||||||||
| dif | 1.012% | −1.02% | −1.09% | −1.50% | 7.62% | −0.30% | 0.20% | 0.37% | ||
Disclaimer/Publisher’s Note: The statements, opinions and data contained in all publications are solely those of the individual author(s) and contributor(s) and not of MDPI and/or the editor(s). MDPI and/or the editor(s) disclaim responsibility for any injury to people or property resulting from any ideas, methods, instructions or products referred to in the content. |
© 2025 by the authors. Licensee MDPI, Basel, Switzerland. This article is an open access article distributed under the terms and conditions of the Creative Commons Attribution (CC BY) license (https://creativecommons.org/licenses/by/4.0/).
Share and Cite
Xing, Y.; Wang, M. Characterization and Quantification of Fracture Roughness for Groundwater Modeling in Fractures Generated with Weierstrass–Mandelbrot Approach. Water 2025, 17, 982. https://doi.org/10.3390/w17070982
Xing Y, Wang M. Characterization and Quantification of Fracture Roughness for Groundwater Modeling in Fractures Generated with Weierstrass–Mandelbrot Approach. Water. 2025; 17(7):982. https://doi.org/10.3390/w17070982
Chicago/Turabian StyleXing, Yun, and Mingyu Wang. 2025. "Characterization and Quantification of Fracture Roughness for Groundwater Modeling in Fractures Generated with Weierstrass–Mandelbrot Approach" Water 17, no. 7: 982. https://doi.org/10.3390/w17070982
APA StyleXing, Y., & Wang, M. (2025). Characterization and Quantification of Fracture Roughness for Groundwater Modeling in Fractures Generated with Weierstrass–Mandelbrot Approach. Water, 17(7), 982. https://doi.org/10.3390/w17070982

