Next Article in Journal
Comparison of Satellite-Derived Vegetation Indices for Assessing Vegetation Dynamics in Central Asia
Next Article in Special Issue
Simultaneous Heterotrophic Nitrification and Aerobic Denitrification of High C/N Wastewater in a Sequencing Batch Reactor
Previous Article in Journal
The Effects of Xanthan Gum as a Synergistic Delivery Reagent on Perchloroethylene Remediation in Lower-Permeability Zones of Aquifers
Previous Article in Special Issue
Design and Application of an Integrated Landscape Water Purification Device: Long-Term Performance in Nitrogen and Phosphorus Removal
 
 
Font Type:
Arial Georgia Verdana
Font Size:
Aa Aa Aa
Line Spacing:
Column Width:
Background:
Article

Optimizing Nitrogen Removal Through Coupled Simultaneous Nitrification-Denitrification and Sulfur Autotrophic Denitrification: Microbial Community Dynamics and Functional Pathways in Mariculture Tailwater Treatment

1
School of Resources, Environment and Materials, Guangxi University, Nanning 530004, China
2
School of Environmental and Life Science, Nanning Normal University, Nanning 530100, China
3
Guangxi Bossco Environmental Protection Technology Co., Ltd., Nanning 530007, China
4
School of Light Industry and Food Engineering, Guangxi University, Nanning 530004, China
*
Authors to whom correspondence should be addressed.
These authors contributed equally to this work.
Water 2025, 17(5), 683; https://doi.org/10.3390/w17050683
Submission received: 24 January 2025 / Revised: 19 February 2025 / Accepted: 24 February 2025 / Published: 26 February 2025
(This article belongs to the Special Issue Advances in Biological Technologies for Wastewater Treatment)

Abstract

This study investigates the nitrogen removal pathways and microbial community dynamics in a novel system coupling simultaneous nitrification and denitrification (SND) with sulfur autotrophic denitrification (SAD) for the treatment of mariculture tailwater. High-throughput sequencing and predictive functional analysis were employed to examine microbial compositions and their functional roles across varying carbon-to-nitrogen (C/N) ratios. The results revealed that SND occurred in the aerobic stage, with Nitrosomonas and Nitrospira facilitating nitrification, while Denitromonas and Paracoccus drove denitrification. In the anaerobic stage, SAD was the primary nitrogen removal process, with sulfur metabolism supported by Thiobacillus and Desulfobacteria. Increasing C/N ratios enriched denitrifying bacteria, enhancing nitrogen removal performance, but reduced nitrifying activity. Functional gene analysis demonstrated the upregulation of denitrification genes (napAB, nirS, norBC, nosZ) with higher carbon inputs, while sulfur metabolism genes (sqr, soxB, dsrAB) confirmed the critical role of sulfur cycling in SAD. The integration of SND and SAD pathways, supported by carbon addition, achieved efficient nitrogen removal, while promoting sulfur bioavailability. Under C/N ratios of 1.2, the nitrate nitrogen (NO3-N) removal efficiencies reached 93.48%, respectively, while the total nitrogen (TN) removal efficiencies were 95.06%. Ammonia nitrogen (NH4+-N) removal efficiency consistently exceeded 95%, stabilizing at 99.00% in the steady-state operation. This research provides a comprehensive understanding of the microbial and functional mechanisms underlying SND–SAD systems, offering an innovative solution for sustainable mariculture tailwater management.

Graphical Abstract

1. Introduction

The rapid development of the marine aquaculture industry has brought significant environmental challenges, particularly due to nitrogen pollution from aquaculture tailwater. Elevated nitrogen concentrations—primarily from uneaten feed and fish excretion in Southeast Asian fish pond aquaculture systems, with TN levels fluctuating between 4–30 mg/L [1], showing a significant correlation with water exchange frequency and feed quality—have been identified as major contributors to water eutrophication [2]. This pollution disrupts aquatic ecosystems, adversely affecting the growth and reproduction of aquatic organisms and impairing ecosystem functionality [3]. Therefore, effective nitrogen removal from aquaculture wastewater is an urgent environmental need.
Biological nitrogen removal processes are widely regarded as efficient and eco-friendly due to their cost-effectiveness [4], minimal environmental footprint, and lack of secondary pollution. Traditional biological nitrogen removal involves two distinct processes: nitrification and denitrification [5]. Nitrification oxidizes ammonia nitrogen (NH4+-N) to nitrate nitrogen (NO3-N) in aerobic conditions, while denitrification reduces NO3-N to nitrogen gas (N2) through microbial activity under anoxic conditions [6]. Although effective, conventional methods face challenges, such as high costs, poor salt tolerance, large spatial requirements, and limited efficiency under low carbon-to-nitrogen (C/N) ratios.
Simultaneous nitrification and denitrification (SND) has emerged as a promising alternative to conventional nitrogen removal techniques [7]. By combining nitrification and denitrification in a single reactor under controlled oxygen conditions, SND reduces spatial and operational requirements [8]. Moreover, SND systems are known for their reduced dependence on external carbon sources and lower investment costs [9]. For example, an aeration sequencing batch biofilm reactor operating under oxygen-limited conditions achieved a maximum SND efficiency of 81.23%, with NH4+-N and TN removal efficiencies of 76.91% and 70.23%, respectively [10]. SND has high salt tolerance and can efficiently remove nitrogen at a salinity of 3% [11].Despite these advantages, SND systems face challenges in maintaining stable and efficient nitrogen removal due to the complexity of operational conditions.
The performance of SND is significantly influenced by the C/N ratio. High C/N ratios typically enhance denitrification efficiency and improve TN removal [12]. However, in wastewater with low C/N ratios, carbon limitation becomes a critical bottleneck. To address this issue, external carbon sources, such as sodium acetate [13], methanol [14], and glucose [15], are commonly used to enhance denitrification. Nevertheless, these approaches are not always sustainable due to the high costs and potential depletion of carbon sources, which restricts denitrification efficiency.
To mitigate carbon dependency, autotrophic denitrification (AD) has gained attention as a complementary strategy to SND [16]. SAD, in particular, utilizes reduced sulfur compounds as electron donors, enabling efficient nitrogen removal even under low C/N conditions [17]. Coupling SAD with SND creates a synergistic pathway for nitrogen removal, leveraging the advantages of both processes. For instance, simultaneous partial nitrification–denitrification coupled with SAD has been shown to enhance nitrogen removal efficiency by shortening the nitrogen cycle and reducing energy inputs [18]. Furthermore, the integration of SND and SAD offers a promising route to optimize nitrogen removal systems, while reducing operational costs [19].
Although various nitrogen removal strategies have been explored, the nitrogen transformation pathways in SND–SAD systems remain inadequately understood. In particular, the interactions between carbon and sulfur cycles, the microbial community dynamics, and the functional gene mechanisms underlying the synergistic effects of SND and SAD require further investigation. Clarifying these mechanisms is essential for optimizing the performance and scalability of SND–SAD systems in practical applications.
This study aims to address these gaps by investigating the feasibility of an innovative SND–SAD coupled biofilm reactor for nitrogen removal from aquaculture wastewater. Specifically, the objectives are as follows: (1) Evaluate the impact of C/N ratios on the nitrogen removal performance of the SND–SAD system. (2) Examine microbial community dynamics and functional gene expression to elucidate the nitrogen removal mechanisms. (3) Confirm the role of sulfur metabolism in enhancing nitrogen removal through SAD. (4) Propose an integrated nitrogen removal pathway combining SND and SAD for sustainable aquaculture wastewater treatment.
By advancing our understanding of the SND–SAD process, this study aims to provide a foundation for developing cost-effective and sustainable nitrogen removal technologies suitable for low C/N wastewater scenarios.

2. Materials and Methods

2.1. Experimental Setup and Operational Strategies

A biofilter reactor with a working volume of 10 L was employed to investigate the nitrogen removal performance of the SND–SAD system. The schematic diagram of the reactor is shown in Figure 1. The reactor consisted of an influent tank, air pump, water pump, aerobic sponge segment, anaerobic sulfur segment, and effluent tank arranged sequentially. The reactor column was designed with the following dimensions: height 1000 mm, inner diameter 110 mm, outer diameter 120 mm, and three sampling ports spaced 250 mm apart. The influent inlet was positioned 140 mm from the top, while the effluent outlet was located 20 mm from the bottom. The reactor operated in a top-to-bottom flow mode.
The study was conducted in three operational phases, each corresponding to a different C/N ratio: Phase I (C/N = 0.4), Phase II (C/N = 0.8), and Phase III (C/N = 1.2). Each phase lasted for 25 days. The reactor was operated with a hydraulic retention time (HRT) of 6 h under consistent dissolved oxygen (DO) conditions of 6–7 mg L−1. Detailed operating parameters for each phase are summarized in Table 1.

2.2. Experimental Materials

Elemental sulfur (S0) and calcium carbonate (CaCO3) were procured from Shanghai Hutai Essence Science and Technology Research Institute. CaCO3 (purity ≥ 95.0%) was used to maintain pH balance, while S0 (purity ≥ 99.6%) served as an electron donor. Particles of S0 with a sieve size of 2–5 mm were selected for the column experiments.
Polyurethane sponge, used as the biofilm carrier, was supplied by Shandong Banghe Environmental Protection Technology Co., Ltd. (Linyi, China). The sponge carriers were 1 cm3 cubes with a porosity of 98%, wet density of 1.01–1.02 g/cm3, water absorption capacity of 422.2%, retention rate of 100%, specific surface area of 4000 cm2/cm3, and an average pore size of 40 PPI. Artificial seawater salt was purchased from Jiangxi Yantong Technology Co., Ltd. (Ji’an, China)

2.3. Seed Sludge and Synthetic Wastewater

Seed activated sludge was obtained from the Ximingjiang Sewage Plant in Nanning, Guangxi, China, and was pre-aerated for two days prior to use. Synthetic wastewater was prepared based on data collected from a mariculture wastewater treatment plant in Qinzhou, Guangxi, China, and was configured using tap water. The wastewater contained 1 mg L−1 phosphate (PO43−-P) and had a salinity of 2.5%, adjusted using artificial seawater salt.Sodium acetate (CH3COONa) was used as the organic carbon source, with concentrations of 12 mgC L−1, 24 mgC L−1, and 36 mgC L−1 for Phases I, II, and III, respectively. Sodium bicarbonate (NaHCO3) was added as an inorganic carbon source at a fixed concentration of 30 mgC L−1. Ammonium nitrogen (NH4+-N) and nitrate nitrogen (NO3-N) were used as nitrogen sources, with concentrations of 20 mgN L−1 and 10 mgN L−1, respectively.Trace elements were added to the synthetic wastewater, including KI (0.03 g L−1), ZnCl2 (0.12 g L−1), H3BO3 (0.15 g L−1), CoCl2·6H2O (0.03 g L−1), and MnCl2·4H2O (0.99 g L−1). A 1 mL aliquot of the trace element solution was added per liter of synthetic wastewater.

2.4. Analytical Methods

Water samples were collected daily and filtered using 0.22 μm membrane filters before analysis. Concentrations of SO42−, NH4+-N, NO2-N, and NO3-N were measured following standard analytical procedures [20]. TN was calculated as the sum of NH4+-N, NO2-N, and NO3-N concentrations. DO and pH were measured using a multi-parameter water quality analyzer. Salinity was determined using a handheld optical salinometer (range: 0–100%, ATC, Dongguan, China).

2.5. Microbial Community Analysis

Biofilm samples were collected on days 25, 50, and 75, and stored at −80°C for subsequent microbial community analysis. DNA was extracted using the E.Z.N.A.® Soil DNA Kit (Omega Bio-tek, Norcross, GA, USA). Polymerase chain reaction (PCR) amplification of the 16S rRNA gene was performed using primers targeting the V3–V4 region: 338F (5′-ACTCCTACGGGAGGCAGCAG-3′) and 806R (5′-GGACTACHVGGGTWTCTAAT-3′) [21].Illumina MiSeq sequencing was conducted by Meiji Biomedical Technology Co. (Shanghai, China). Data analysis focused on microbial community composition and functional genes associated with nitrogen and sulfur metabolism. All microbial abundance data were calculated as mean values from triplicate experiments, with standard deviations (SD) indicated in the figures and tables.

3. Results and Discussion

3.1. Operation of the SND–SAD Coupled System

As shown in Figure 2A, the average influent concentration of ammonia was 20 mgN/L. With the increase in the carbon-to-nitrogen (C/N) ratio, the ammonia removal efficiency consistently remained above 95%, stabilizing at 99.00% after the steady-state operation. Figure 2B illustrates that the average influent concentration of NO3-N was 10 mgN/L. At C/N ratios of 0.4, 0.8, and 1.2, the effluent NO3-N concentrations were 7.51 mgN/L, 3.87 mgN/L, and 0.64 mgN/L, respectively, corresponding to removal efficiencies of 35.9%, 64.89%, and 93.48%. Figure 2C indicates that the TN removal efficiency increased with the C/N ratio, reaching 69.95%, 83.84%, and 95.06% at C/N ratios of 0.4, 0.8, and 1.2, respectively, with effluent nitrite(NO2-N) concentrations consistently below the detection limit. Regarding sulfate (SO42−) production, Figure 2D presents the theoretical values for C/N ratios of 0.4 and 1.2. However, at a C/N ratio of 0.8, the sulfate yield was lower than expected.
Under the conditions of sufficient aeration, ammonia-oxidizing bacteria (AOB) may compete with heterotrophic denitrifying bacteria (HDB), potentially reducing ammonia removal efficiency [22]. Nonetheless, due to the relatively low C/N ratios used in this study, the impact on ammonia removal was minimal, resulting in high removal efficiency. Microorganisms could utilize carbon sources as electron donors to perform heterotrophic denitrification. Compared to autotrophic denitrification, heterotrophic denitrification is a faster nitrogen removal process, making it a rapid ammonia removal biotechnology [23]. The rapid denitrification rate of HDB allows nitrite, produced from the oxidation of ammonia by AOB, to be directly reduced to nitrogen gas or partially oxidized to nitrate by nitrite-oxidizing bacteria (NOB). The reduction in the TN concentration with increasing C/N ratios can be attributed to the carbon source providing electron donors for bacteria, thereby enhancing heterotrophic denitrification and reducing nitrate content in marine aquaculture wastewater.
At a C/N ratio of 0.8, the addition of carbon sources might have led to competition between sulfur-based autotrophic denitrification (SAD) and heterotrophic denitrification microorganisms, preventing SAD bacteria from becoming the dominant group. In contrast, at a C/N ratio of 1.2, the predominance of HDB in the nitrification section might have resulted in only a small amount of carbon source reaching the SAD section, allowing the SAD bacteria to form a dominant group and achieve theoretical sulfate yields. The decrease in sulfate production may also be due to the increase in carbon sources, which promotes sulfur metabolism and leads to the reduction in sulfate to hydrogen sulfide gas, thus reducing sulfate production.
A previous study demonstrated that the SND–SAD process achieved a TN removal efficiency of 98% [19]. This study introduces an innovative biofilm coupling technology, exploring its application in marine aquaculture tailwater for nitrogen removal, providing a novel approach for this purpose. It also confirms that the SND–SAD process can efficiently remove nitrogen from marine aquaculture tailwater at low C/N ratios.

3.2. Spatial Height Analysis

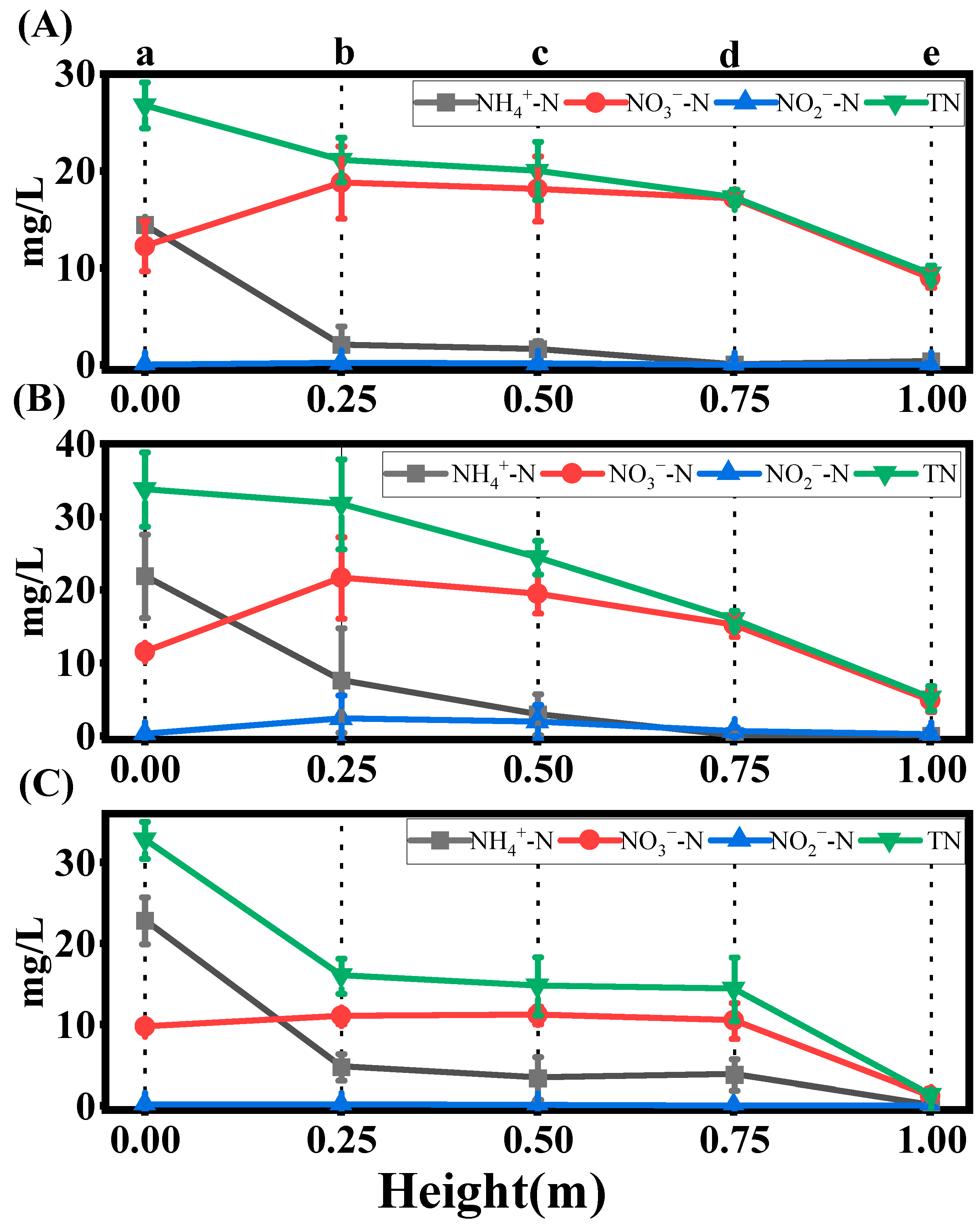
To further confirm the nitrogen removal pathway of the SND–SAD system, samples were taken from sampling ports a to e in the reactor, as shown in Figure 1. The concentrations of nitrate, ammonia, nitrite, and total nitrogen were measured to understand the nitrogen removal pathway.

3.2.1. Aerobic Sponge Section

As illustrated in Figure 3A–C, in the aerobic section, after adding carbon sources, most ammonia was oxidized to nitrate or nitrite at sampling port b. By the time the water reached sampling port c, nearly all the ammonia had been oxidized. No nitrite accumulation was observed under different C/N ratios. From sampling ports a to b, nitrate increased to approximately 20 mgN/L, and only a small reduction in nitrate was observed at port c. The average TN removal rates in the aerobic section (a–c) in Figure 3 were 25.23%, 31.07%, and 54.88% at C/N ratios of 0.4, 0.8, and 1.2, respectively.
Ammonia-oxidizing bacteria (AOB) are autotrophic bacteria and can use inorganic carbon as a carbon source, allowing rapid ammonia oxidation [24]. The ammonia removal efficiency was only affected when the C/N ratio reached 9, possibly due to the oxidation of ammonia to nitrite, followed by the further oxidation of nitrite to nitrate, resulting in nitrate accumulation [25]. The small reduction in nitrate at port c could be attributed to the limited carbon source between ports b and c, leading to insufficient electron donors for denitrification and poor nitrate removal in the aerobic section [26]. The absence of nitrite accumulation in the water suggests that any nitrite not fully oxidized was reduced to nitrogen gas, aided by the presence of organic carbon sources.
The TN removal efficiency improved with the increase in carbon sources, likely due to enhanced heterotrophic denitrification, which reduced nitrate and nitrite to nitrogen gas, thereby decreasing TN concentrations [27]. These observations confirm that, in the aerobic section, ammonia is rapidly oxidized, and TN removal efficiency increases with carbon source addition, supporting the SND nitrogen removal pathway.

3.2.2. Anaerobic Sulfur Section

After the aerobic section, the influent nitrate concentrations in the anaerobic sulfur section (c–e) in Figure 3 were 18.16 mgN/L, 19.45 mgN/L, and 11.22 mgN/L at C/N ratios of 0.4, 0.8, and 1.2, respectively, with removal efficiencies of 50.46%, 74.70%, and 90.81%. The TN removal efficiency was highest at 95.06% when C/N was 1.2 (Figure 3C).
The increase in carbon sources likely allowed the aerobic SND to reduce most of the nitrate and nitrite, alleviating the pressure on the SAD process. However, at C/N ratios of 0.4 and 0.8, the limited availability of organic carbon led to less nitrate reduction and subsequent nitrate accumulation in the effluent. These results suggest that the SAD process enhances the TN removal efficiency of SND. Increasing carbon sources improves nitrogen removal, and excessive carbon addition may result in complete TN removal in the aerobic section alone [12]. Thus, at a C/N ratio of 1.2, the SND–SAD coupling achieved effective nitrogen removal from marine aquaculture tailwater.
In conclusion, the SND–SAD process efficiently removes nitrogen under low carbon source conditions. This coupled system effectively reduces dependence on organic carbon sources, while achieving high nitrogen removal efficiency.

3.3. Microbial Community Composition

3.3.1. Alpha Diversity of Microbial Communities

The microbial communities in both aerobic and anaerobic stages were analyzed using high-throughput sequencing at different C/N ratios (0.4, 0.8, and 1.2) (Table S1). Sponge samples were collected at water depths of 0.25 m and 0.5 m on days 25, 50, and 75 and were labeled as C25-1, C25-2, C50-1, C50-2, C75-1, and C75-2, respectively. Sulfur section samples were collected at depths of 0.75 m and 1.00 m on the same days and were labeled as C25-3, C25-4, C50-3, C50-4, C75-3, and C75-4, respectively.
The Good’s coverage for all samples exceeded 99.60%, indicating that the microbial diversity was effectively captured by the sequencing libraries. The richness and diversity of the microbial communities were assessed using the Chao, ACE, Shannon, and Simpson indices, as presented in the Supplementary Material (Table S1).
As the C/N ratio increased, both the Chao and ACE indices for the sponge and sulfur samples decreased, suggesting a reduction in the total number of microbial species and a narrowing of the microbial community. This trend was further reflected in the Shannon and Simpson diversity indices, which indicated a decline in microbial diversity over time as the microbial communities in both sponge and sulfur samples acclimated. Notably, at a C/N ratio of 1.2, both microbial diversity and abundance were at their lowest. These results suggest that, at this C/N ratio, the system was dominated by a small number of highly functional bacterial species, likely reflecting the selection of key microorganisms involved in nitrogen removal processes.

3.3.2. Analysis of the Microbial Community in Phylum Level

The ten most abundant phyla were selected and presented in Figure 4. As shown in the Supplementary Material (Figure S1a), the mean relative abundance of dominant phyla across triplicate experiments exhibited low variability (standard deviation < 5%), confirming the reproducibility of microbial community structure under different C/N ratios. In the aerobiotic sponge stage (Figure 4A), the dominant phyla included Proteobacteria (60.50% ± 5.2%), Bacteroidota (20.10% ± 3.8%), and Nitrospirota (3.72 ± 1.1%), which are primarily involved in the removal of nitrogen and organic matter, and are commonly found in sewage treatment plants [28]. From a spatial perspective, the abundance of Proteobacteria remained above 50.00%, with its abundance increasing from 60.50 ± 5.2% to 72.10 ± 4.5%,as the organic carbon source was added. Similarly, the abundance of Bacteroidota rose from 20.10 ± 3.8% to 33.00 ± 4.1%, and Nitrospirota increased from 3.72 ± 1.1% to 7.58 ± 1.6%, which is linked to the SND process [29]. Nitrospirota is the primary group of nitrifying bacteria, responsible for oxidizing NO2-N to NO3-N [30].The complex bacterial community structure in the aerobic segment ensures stable and efficient nitrogen removal from SND.
In the anaerobic S0-based sulfur autotrophic denitrification stage (Figure 4B), the dominant phyla displayed distinct trends with carbon addition (Figure S1b). Proteobacteria (55.20% ± 6.3%), Bacteroidota (18.50% ± 3.2%), and Desulfobacterota (10.30% ± 2.7%), which are involved in nitrogen and organic matter degradation, were enriched. As the carbon source increased, the abundance of Proteobacteria slightly decreased. However, when the C/N ratio was 0.8, a significant decrease in Proteobacteria abundance was observed, while the abundance of Bacteroidota increased notably. This could be attributed to the increased carbon source. The abundance of Desulfobacterota was also enriched, indicating an increase in sulfate-reducing bacteria. This suggests that sulfate reduction plays a role in sulfur metabolism [31], potentially contributing to improved SAD performance.
Overall, Proteobacteria and Bacteroidota were abundantly detected in both the aerobic and anaerobic stages, highlighting their importance in nitrogen removal. In the aerobic stage, Nitrospirota served as the primary nitrifying bacteria, indicating nitrification. The presence of Desulfobacteria in the anaerobic stage suggests that sulfate might be involved in sulfur metabolism during SAD, contributing to the nitrogen removal process.

3.3.3. Microbial Community Analysis at the Genus Level

The horizontal genera analysis provided a more detailed insight into the microbial composition (Figure 5). As provided in the Supplementary Material (Figure S2), the relative abundance of dominant genera in both aerobic and anaerobic stages exhibited low variability across triplicate experiments (standard deviation < 6%), supporting the robustness of genus-level community dynamics under varying C/N ratios. The top 15 bacterial genera identified in the aerobic stage are shown in Figure 5A. Genera such as Denitromonas, Vitellibacter, Paracoccus, Nitrospira, Marinobacter, Nitrosomonas, Gelidibacter, Pseudomonas, and Nitratireductor each constituted more than 1% of the microbial population and played significant roles in nitrogen removal within the system. Notably, twonitrifying genera, Nitrosomonas(1.10% ± 0.4% to 7.20% ± 1.2%) and Nitrospira(3.70% ± 0.8% to 8.10% ± 1.1%),both of which are capable of oxidizing NH4+-N to NO3N, showed lower variability [24]. Several denitrifying bacteria, including Denitromonas (13.41–54.60%) [32], Vitellibacter (5.88–14.72%) [33], Paracoccus (2.87–12.65%) [34], Pseudomonas (0.54–0.62%) [35], and Gelidibacter (1.00–4.50%) [36], were also present as heterotrophic denitrifiers. Additionally, Marinobacter (1.3–12.7%) was identified as an aerobic denitrifier, and Nitratireductor (1.1–3.8%) was observed as a seawater-associated denitrifier [37].
As illustrated in Figure 5A, the abundance of denitrifying bacteria increased with the carbon source. At C/N ratios of 0.4, 0.8, and 1.2, the denitrifying bacteria accounted for 56.38%, 62.33%, and 74.00% of the population, respectively, while nitrifying bacteria decreased from 10.05% to 7.93%. The observed increase in denitrifying bacteria and the concurrent decrease in nitrifying bacteria with increasing carbon sources indicate the coexistence of nitrifying and denitrifying bacteria in the aerobic stage, further corroborating the occurrence of simultaneous nitrification–denitrification (SND). Thus, the primary nitrogen removal pathway in the aerobic stage was SND.
In the anaerobic stage, the top 25 bacterial genera are presented in Figure 5B. Dominant denitrifying bacteria included norank_o__1013-28-CG33 (20.56–74.20%), Thiobacillus (0.73–24.86%) [38], Vitellibacter (3.60–21.50%), and Nitratireductor (0.80–6.93%). Heterotrophic denitrifying bacteria, such as Paracoccus and Defluviimonas [39], initially increased before declining, with Vitellibacter being the most abundant denitrifier at C/N = 0.8 (7.8–21.50%). This increase was likely due to the incomplete consumption of carbon sources in the aerobic stage, coupled with insufficient hydraulic retention time (HRT). As the carbon sources increased, competition between heterotrophic denitrifying bacteria and sulfur autotrophic denitrifying bacteria led to a less favorable environment for sulfur-reducing bacteria [40]. The increase in Thiobacillus can be attributed to the depletion of carbon sources in the aerobic stage, leading to its dominance at the C/N = 1.2 stage. The competitive dynamics between heterotrophic and autotrophic denitrifiers under varying carbon availability were further validated by the stability of Thiobacillus abundance at high C/N ratios (Figure S2b).
As shown in Figure 5B, at a C/N ratio of 0.4, the abundance of autotrophic denitrifiers (AD) and heterotrophic denitrifiers (HD) was 12.16% and 8.22%, respectively. At C/N = 0.8, AD and HD accounted for 0.8% and 42.8%, respectively, while at C/N = 1.2, AD and HD were 24.85% and 6.7%, respectively. These findings suggest that, at C/N = 1.2, a small amount of carbon source remained available for sulfur autotrophic denitrification (SAD). Consequently, SAD dominated the nitrogen removal process in the anaerobic stage, supplemented by heterotrophic denitrification. The presence of Desulfobacteria (1.5% at C/N = 1.2) further supports the involvement of sulfate in sulfur metabolism during SAD.
In conclusion, nitrifying and denitrifying bacteria constituted a stable nitrogen removal system. In the aerobic stage, Denitromonas, Vitellibacter, and Paracoccus were the main denitrifying bacteria, while Nitrospira and Nitrosomonas were the primary nitrification, forming the SND system. In the anaerobic stage, Thiobacillus was the key autotrophic denitrifier, and Vitellibacter was the principal heterotrophic denitrification. Therefore, the aerobic stage primarily relied on SND for nitrogen removal, while the anaerobic stage was dominated by SAD, supplemented by heterotrophic denitrification, with sulfate playing a role in sulfur metabolism.

3.4. Microbial Spearman Correlation Analysis

The Spearman correlation results further confirmed that the enrichment of genera associated with SND and SAD functions, following the addition of carbon sources, was highly correlated with the nitrogen removal performance of the full-size SND–SAD treatment system (Figure 6).
In the SND stage (Figure 6A), the primary denitrification bacteria, including Denitromonas, Vitellibacter, and Paracoccus, showed a significant correlation with the increasing C/N ratio. This suggests that with the increase in carbon sources, denitrification bacteria continued to proliferate, thereby enhancing the denitrification capacity in the aerobiotic stage. Notably, the effluent total nitrogen (TN) concentration was negatively correlated with Denitromonas, Vitellibacter, and Paracoccus, indicating that these denitrifying bacteria played a crucial role in nitrogen removal during the aerobiotic phase.
In the SAD stage (Figure 6B), the main denitrification bacteria were Thiobacillus, with Vitellibacter also playing a significant role. Both of these genera showed a strong correlation with the C/N ratio, further highlighting that the increase in carbon source promoted denitrification performance. This reinforces the occurrence of a denitrification system in the anaerobic stage, where SAD served as the primary nitrogen removal process, supported by the auxiliary HD denitrification system.

3.5. Evidence for Simultaneous Nitrification and Denitrification

The relative abundance of functional genes in nitrogen-metabolizing microorganisms was predicted using PICRUSt2(v2.2.0-b) (Figure 7). The addition of carbon sources led to an increase in the relative abundance of key nitrogen cycle genes—napAB, nirS, norBC, and nosZ—indicating an enhanced role of SND within the microbial community. This trend suggests that carbon sources promote denitrification activity within the system [41,42]. Notably, the introduction of acetate resulted in a significant increase in the abundance of denitrification genes [43].
As shown in Figure 7A, when the C/N ratio reached 1.2, the abundance of napAB, nirS, norBC, and nosZ genes increased by 2.5-fold, 1.4-fold, 1.5-fold, and 1.4-fold, respectively, compared to a C/N ratio of 0.4. Relative to a C/N ratio of 0.8, these genes increased by 2.8-fold, 1.7-fold, 1.4-fold, and 1.3-fold, respectively. These results indicate that denitrification efficiency was maximized at a C/N ratio of 1.2. The increase in carbon source concentration correspondingly elevated the abundance of denitrification genes, underscoring the heightened activity of denitrifying microorganisms.
Conversely, the relative abundance of amoA, hao, and nxrAB genes, associated with nitrification, decreased by 38% to 50% following the addition of carbon sources. Despite the reduced abundance of nitrification genes, the system maintained efficient NH4+-N removal. This suggests that the carbon sources suppressed nitrification activity without significantly affecting ammonium removal efficiency, even at higher C/N ratios. Previous studies have shown that NH4+-N removal efficiency can reach 100% in systems with a C/N ratio of 8 and salinity of 3% [44]. In conclusion, the addition of carbon in the aerobic stage shifted the nitrogen removal pathway towards SND.

3.6. Role of Polysulfide Formation in Sulfur Autotrophic Denitrification

The functional genes associated with sulfur transformation were predicted and are shown in Figure 7B. Upon carbon source addition, genes such as sqr and soxB became predominant in the anaerobic stage, corroborating the formation of sulfur autotrophic denitrification (SAD) and polysulfides. Polysulfides play a pivotal role in enhancing sulfur bioavailability within sulfur metabolism [45]. In the presence of carbon sources, sulfate-reducing bacteria convert sulfate into dissolved sulfide, thereby facilitating the sulfur cycle.
As depicted in Figure 5B, Desulfobacteria were observed at a C/N ratio of 1.2, indicating sulfate reduction. The dsrA/dsrB gene pair, key indicators of sulfate reduction, also displayed high abundance [46]. Although the sir gene, which aids in the conversion of sulfur to sulfate, was present, its abundance declined with increasing carbon resources, suggesting active involvement of sulfate in sulfur metabolism.
Reduced sulfate forms dissolved sulfide (HS), which reacts under alkaline conditions to form long-chain polysulfides (HSn2−). These long-chain polysulfides can further react with HS ions to produce short-chain dissolved sulfides, which act as electron donors for NO3-N. These short-chain sulfides are then oxidized to sulfate, completing the sulfur cycle and significantly enhancing sulfur bioavailability [47]. This sulfur cycle promotes sulfur dissolution and improves both sulfur and nitrogen utilization, thereby augmenting the system’s nitrogen removal efficiency.
Thus, at a C/N ratio of 1.2, sulfate reduction plays a critical role in sulfur metabolism during the nitrogen removal process. This is further corroborated by the high abundance of dsrAB, sqr, and soxB genes, which validate the formation of polysulfides and their involvement in SAD.
The specific biochemical pathway for nitrogen removal is illustrated in Figure 7C. NH4+-N is initially oxidized to NH2OH and NO2-N. Some NO2-N is further oxidized to NO3-N, while the remainder is progressively reduced to nitrogen gas. Due to limited carbon sources, some NO3-N lacks sufficient reducing power for denitrification, initiating SAD, where NO3-N is gradually reduced to N2. During this process, long-chain polysulfides enhance the SAD process and facilitate sulfur (S0) utilization.
In conclusion, carbon addition not only drives SND during the aerobic stage but also supports SAD in the anaerobic stage, thereby enhancing the overall nitrogen removal performance. The nitrogen removal pathway in this system is characterized by the integration of SND and SAD, with carbon source supplementation significantly improving system efficiency. The SND–SAD system represents a paradigm shift in nitrogen removal technology, offering a cost-effective and sustainable solution for aquaculture wastewater. By bridging microbial ecology with process engineering, this study lays the groundwork for next-generation bioremediation strategies, poised to mitigate eutrophication and support global aquaculture sustainability.

4. Conclusions

This study explored the impact of carbon source addition on microbial communities and nitrogen removal performance in a coupled simultaneous nitrification and denitrification (SND) and sulfur autotrophic denitrification (SAD) system. The results showed that carbon sources promoted the enrichment of key nitrogen-removing bacteria, including Denitromonas, Vitellibacter, and Paracoccus, enhancing the denitrification process. In the aerobic stage, nitrifying bacteria like Nitrosomonas and Nitrospira contributed to SND, while, in the anaerobic stage, sulfur-reducing bacteria, such as Thiobacillus, facilitated SAD. Gene analysis confirmed the simultaneous occurrence of SND and SAD, with increased denitrification gene abundance as the C/N ratio rose. The addition of carbon sources improved nitrogen removal performance by enhancing both SND and SAD processes. This study highlights the potential of optimizing nitrogen removal in mariculture tailwater treatment by coupling SND and SAD with carbon source modulation.

Supplementary Materials

The following supporting information can be downloaded at: https://www.mdpi.com/article/10.3390/w17050683/s1, Table S1. Microbial diversity and abundance. Figure S1. Mean and standard deviation of the abundance of dominant phyla in thecommunity; (a): the aerobiotic sponge stage under different carbon to nitrogenratios; (b): theanaerobic sulfur stage under different carbon to nitrogen ratios. Figure S2. Mean and standard deviation of the abundance of dominant genera in thecommunity; (a): the aerobiotic sponge stage under different carbon to nitrogenratios; (b): theanaerobic sulfur stage under different carbon to nitrogen ratios.

Author Contributions

Formal analysis, Z.L.; Resources, J.X.; Data curation, S.J. and H.H.; Writing—original draft, S.J.; Writing—review & editing, S.J.; Funding acquisition, Y.C. and S.W. All authors have read and agreed to the published version of the manuscript.

Funding

This research was funded by Guangxi Science and Technology Base and Talent Project (No. GuiKe AD23026330); Nanning Key R&D Plan: Construction of China–Asian water environment Technology Innovation Platform (20225060).

Data Availability Statement

Data will be made available on request.

Conflicts of Interest

Author Shuangfei Wang was employed by the company Guangxi Bossco Environmental Protection Technology Co., Ltd. The remaining authors declare that the research was conducted in the absence of any commercial or financial relationships that could be construed as a potential conflict of interest.

References

  1. FAO. The State of World Fisheries and Aquaculture; FAO: Rome, Italy, 2022. [Google Scholar]
  2. Wang, X.X.; Olsen, L.M.; Reitan, K.I.; Olsen, Y. Discharge of nutrient wastes from salmon farms: Environmental effects, and potential for integrated multi-trophic aquaculture. Aquac. Environ. Interact. 2012, 2, 267–283. [Google Scholar] [CrossRef]
  3. Zhang, Y.; Sun, S.; Gu, X.; Yu, Q.; He, S. Role of hydrophytes in constructed wetlands for nitrogen removal and greenhouse gases reduction. Bioresour. Technol. 2023, 388, 129759. [Google Scholar] [CrossRef]
  4. Zhang, J.; Fan, C.; Zhao, M.; Wang, Z.; Jiang, S.; Jin, Z.; Bei, K.; Zheng, X.; Wu, S.; Lin, P.; et al. A comprehensive review on mixotrophic denitrification processes for biological nitrogen removal. Chemosphere 2023, 313, 137474. [Google Scholar] [CrossRef]
  5. Tang, S.; Liao, Y.; Xu, Y.; Dang, Z.; Zhu, X.; Ji, G. Microbial coupling mechanisms of nitrogen removal in constructed wetlands: A review. Bioresour. Technol. 2020, 314, 123759. [Google Scholar] [CrossRef]
  6. Hu, K.Y.; Li, W.X.; Wang, Y.N.; Wang, B.; Mu, H.; Ren, S.; Zeng, K.X.; Zhu, H.J.; Liang, J.M.; Wang, Y.E.; et al. Novel biological nitrogen removal process for the treatment of wastewater with low carbon to nitrogen ratio: A review. J. Water Process. Eng. 2023, 53, 25. [Google Scholar] [CrossRef]
  7. Wang, Q.K.; He, J.Z. Complete nitrogen removal via simultaneous nitrification and denitrification by a novel phosphate accumulating Thauera sp. strain SND5. Water Res. 2020, 185, 9. [Google Scholar] [CrossRef] [PubMed]
  8. Zou, L.Z.; Zhou, M.; Qin, C.A.; Luo, Z.W.; Zhang, H.L.; Yang, Z.; Cheng, H.; Li, R.J.; He, Q.; Ai, H.N. Improving the performance of coupled solid carbon source biofilm carriers through pore-forming methods. Chemosphere 2022, 308, 11. [Google Scholar] [CrossRef] [PubMed]
  9. Zhao, J.; Feng, L.J.; Yang, G.F.; Dai, J.C.; Mu, J. Development of simultaneous nitrification-denitrification (SND) in biofilm reactors with partially coupled a novel biodegradable carrier for nitrogen-rich water purification. Bioresour. Technol. 2017, 243, 800–809. [Google Scholar] [CrossRef] [PubMed]
  10. Ma, W.W.; Han, Y.X.; Ma, W.C.; Han, H.J.; Zhu, H.; Xu, C.Y.; Li, K.; Wang, D.X. Enhanced nitrogen removal from coal gasification wastewater by simultaneous nitrification and denitrification (SND) in an oxygen-limited aeration sequencing batch biofilm reactor. Bioresour. Technol. 2017, 244, 84–91. [Google Scholar] [CrossRef]
  11. Xia, Z.G.; Wang, Q.; She, Z.L.; Gao, M.C.; Zhao, Y.G.; Guo, L.; Jin, C.J. Nitrogen removal pathway and dynamics of microbial community with the increase of salinity in simultaneous nitrification and denitrification process. Sci. Total Environ. 2019, 697, 10. [Google Scholar] [CrossRef] [PubMed]
  12. Bao, R.L.; Zheng, Y.L.; Ma, C.; Xue, L.Q.; Cheng, W.; Ruan, A.D.; Li, X. A comparative study of algal-bacterial granular sludges and aerobic granular sludge at different C/N ratio: Granule characteristics, SND progress and Microbial community. J. Environ. Chem. Eng. 2024, 12, 10. [Google Scholar] [CrossRef]
  13. Zhang, Y.J.; Su, Y.; Wang, F.; Feng, L.Y.; Wang, X.J.; Mustafa, A.M. Food Waste Fermentation Liquid as a Supplementary Carbon Source for Enhanced Biological Nitrogen Removal from Rural Wastewater. Water 2024, 16, 3191. [Google Scholar] [CrossRef]
  14. Arun, S.; Manikandan, N.A.; Pakshirajan, K.; Pugazhenthi, G. Novel shortcut biological nitrogen removal method using an algae-bacterial consortium in a photo-sequencing batch reactor: Process optimization and kinetic modelling. J. Environ. Manag. 2019, 250, 10. [Google Scholar] [CrossRef] [PubMed]
  15. Qin, Y.J.; Cao, Y.; Ren, J.Y.; Wang, T.Y.; Han, B. Effect of glucose on nitrogen removal and microbial community in anammox-denitrification system. Bioresour. Technol. 2017, 244, 33–39. [Google Scholar] [CrossRef] [PubMed]
  16. Sun, X.B.; Du, L.F.; Hou, Y.Q.; Cheng, S.J.; Zhang, X.X.; Liu, B. Endogenous influences on anammox and sulfocompound-oxidizing autotrophic denitrification coupling system (A/SAD) and dynamic operating strategy. Bioresour. Technol. 2018, 264, 253–260. [Google Scholar] [CrossRef]
  17. Wang, S.Q.; Gao, B.; Liu, S.F.; Chen, N.; Ma, W.J.; Wang, R.; Wu, J.Z.; Yu, Y.L. Nitrogen removal performance and bacterial flora analysis of a nitrification-sulphur autotrophic denitrification coupled with permeable reaction wall (NSAD plus PRW) treating rare earth mine groundwater. J. Water Process. Eng. 2023, 55, 12. [Google Scholar] [CrossRef]
  18. Liu, H.M.; Liu, D.J.; Huang, Z.Y.; Chen, Y.C. Bioaugmentation reconstructed nitrogen metabolism in full-scale simultaneous partial nitrification-denitrification, anammox and sulfur-dependent nitrite/nitrate reduction (SPAS). Bioresour. Technol. 2023, 367, 10. [Google Scholar] [CrossRef]
  19. Gao, J.; Wu, J.Y.; Chen, S.Y.; Chen, Y.C. Nitrogen removal from pharmaceutical wastewater using simultaneous nitrification-denitrification coupled with sulfur denitrification in full-scale system. Bioresour. Technol. 2024, 393, 11. [Google Scholar] [CrossRef] [PubMed]
  20. APHA. Standard Methods for the Examination of Water and Wastewater; American Public Health Association: Washington, DC, USA, 2012. [Google Scholar]
  21. Liu, C.S.; Zhao, D.F.; Ma, W.J.; Guo, Y.D.; Wang, A.J.; Wang, Q.L.; Lee, D.J. Denitrifying sulfide removal process on high-salinity wastewaters in the presence of Halomonas sp. Appl. Microbiol. Biotechnol. 2016, 100, 1421–1426. [Google Scholar] [CrossRef] [PubMed]
  22. Zhang, S.H.; Huang, Z.J.; Lu, S.J.; Zheng, J.; Zhang, X.X. Nutrients removal and bacterial community structure for low C/N municipal wastewater using a modified anaerobic/anoxic/oxic (mA2/O) process in North China. Bioresour. Technol. 2017, 243, 975–985. [Google Scholar] [CrossRef] [PubMed]
  23. Li, Y.Y.; Liu, L.; Wang, H.J. Mixotrophic denitrification for enhancing nitrogen removal of municipal tailwater: Contribution of heterotrophic/sulfur autotrophic denitrification and bacterial community. Sci. Total Environ. 2022, 814, 9. [Google Scholar] [CrossRef]
  24. Soliman, M.; Eldyasti, A. Ammonia-Oxidizing Bacteria (AOB): Opportunities and applications-a review. Rev. Environ. Sci. Bio-Technol. 2018, 17, 285–321. [Google Scholar] [CrossRef]
  25. Saha, S.; Gupta, R.; Sethi, S.; Biswas, R. Enhancing the efficiency of nitrogen removing bacterial population to a wide range of C:N ratio (1.5:1 to 14:1) for simultaneous C & N removal. Front. Env. Sci. Eng. 2022, 16, 15. [Google Scholar] [CrossRef]
  26. Li, J.; Hu, Z.; Li, F.Z.; Fan, J.L.; Zhang, J.; Li, F.M.; Hu, H.Y. Effect of oxygen supply strategy on nitrogen removal of biochar-based vertical subsurface flow constructed wetland: Intermittent aeration and tidal flow. Chemosphere 2019, 223, 366–374. [Google Scholar] [CrossRef]
  27. Subtil, E.L.; Silva, M.V.; Lotto, B.A.; Moretto, M.R.D.; Mierzwa, J.C. Pilot-scale investigation on the feasibility of simultaneous nitrification and denitrification (SND) in a continuous flow single-stage membrane bioreactor. J. Water Process. Eng. 2019, 32, 8. [Google Scholar] [CrossRef]
  28. Zhang, S.S.; Gao, J.L.; Cai, C.Y.; Chen, J.J.; Li, Y.L.; Su, X.M.; Sun, F.Q.; Ye, W.J.; Zhang, M.; Wu, S.W.; et al. Advanced nitrogen removal of sulfur-driven autotrophic denitrification from landfill leachate after partial nitrification and denitrification pretreatment. J. Environ. Manag. 2024, 366, 8. [Google Scholar] [CrossRef]
  29. Zou, L.Z.; Zhou, M.; Luo, Z.W.; Zhang, H.L.; Yang, Z.; Cheng, H.; Li, R.J.; He, Q.; Ai, H.N. Selection and synthesization of multi-carbon source composites to enhance simultaneous nitrification-denitrification in treating low C/N wastewater. Chemosphere 2022, 288, 10. [Google Scholar] [CrossRef]
  30. Guo, Y.F.; Cheng, S.L.; Fang, H.J.; Geng, J.; Li, Y.A.; Shi, F.Y.; Wang, H.; Chen, L.; Zhou, Y. Copper and cadmium co-contamination increases the risk of nitrogen loss in red paddy soils. J. Hazard. Mater. 2024, 479, 10. [Google Scholar] [CrossRef]
  31. Liu, X.Z.; Zhao, C.S.; Xu, T.T.; Liu, W.; Chen, Q.F.; Li, L.Z.; Tan, Y.; Wang, X.K.; Dong, Y.N. Pyrite and sulfur-coupled autotrophic denitrification system for efficient nitrate and phosphate removal. Bioresour. Technol. 2023, 384, 9. [Google Scholar] [CrossRef]
  32. Miao, Y.; Wang, Z.; Liao, R.H.; Shi, P.; Li, A.M. Assessment of phenol effect on microbial community structure and function in an anaerobic denitrifying process treating high concentration nitrate wastewater. Chem. Eng. J. 2017, 330, 757–763. [Google Scholar] [CrossRef]
  33. Han, F.; Li, X.; Zhang, M.R.; Liu, Z.; Han, Y.F.; Li, Q.; Zhou, W.Z. Solid-phase denitrification in high salinity and low-temperature wastewater treatment. Bioresour. Technol. 2021, 341, 9. [Google Scholar] [CrossRef] [PubMed]
  34. Jing, J.W.; Sun, L.; Chen, Z.; Guo, X.Y.; Qu, Y.Y. Simultaneous selenite reduction and nitrogen removal using Paracoccus sp.: Reactor performance, microbial community, and mechanism. Environ. Res. 2024, 240, 10. [Google Scholar] [CrossRef] [PubMed]
  35. Yi, M.M.; Wang, H.; Ma, X.A.; Wang, C.; Wang, M.; Liu, Z.G.; Lu, M.X.; Cao, J.M.; Ke, X.L. Efficient nitrogen removal of a novel Pseudomonas chengduensis strain BF6 mainly through assimilation in the recirculating aquaculture systems. Bioresour. Technol. 2023, 379, 11. [Google Scholar] [CrossRef]
  36. Lo Giudice, A.; Caruso, C.; Mangano, S.; Bruni, V.; De Domenico, M.; Michaud, L. Marine Bacterioplankton Diversity and Community Composition in an Antarctic Coastal Environment. Microb. Ecol. 2012, 63, 210–223. [Google Scholar] [CrossRef] [PubMed]
  37. Ruan, Y.J.; Awasthi, M.K.; Cai, L.; Lu, H.F.; Xu, X.Y.; Li, W.B. Simultaneous aerobic denitrification and antibiotics degradation by strain Marinobacter hydrocarbonoclasticus RAD-2. Bioresour. Technol. 2020, 313, 10. [Google Scholar] [CrossRef]
  38. Han, F.; Zhang, M.R.; Shang, H.G.; Liu, Z.; Zhou, W.Z. Microbial community succession, species interactions and metabolic pathways of sulfur-based autotrophic denitrification system in organic -limited nitrate wastewater. Bioresour. Technol. 2020, 315, 9. [Google Scholar] [CrossRef] [PubMed]
  39. Zhu, L.; Huang, C.H.; Li, W.; Wu, W.X.; Tang, Z.R.; Tian, Y.; Xi, B.D. Ammonia assimilation is key for the preservation of nitrogen during industrial-scale composting of chicken manure. Waste Manag. 2023, 170, 50–61. [Google Scholar] [CrossRef]
  40. Wang, S.S.; Cheng, H.Y.; Zhang, H.; Su, S.G.; Sun, Y.L.; Wang, H.C.; Han, J.L.; Wang, A.J.; Guadie, A. Sulfur autotrophic denitrification filter and heterotrophic denitrification filter: Comparison on denitrification performance, hydrodynamic characteristics and operating cost. Environ. Res. 2021, 197, 7. [Google Scholar] [CrossRef] [PubMed]
  41. Yuan, D.D.; Zheng, L.; Tan, Q.Y.; Wang, X.; Xing, Y.Z.; Wang, H.P.; Wang, S.Y.; Zhu, G.B. Comammox activity dominates nitrification process in the sediments of plateau wetland. Water Res. 2021, 206, 11. [Google Scholar] [CrossRef] [PubMed]
  42. Zhang, Q.; Xu, X.J.; Zhang, R.C.; Shao, B.; Fan, K.L.; Zhao, L.; Ji, X.M.; Ren, N.Q.; Lee, D.J.; Chen, C. The mixed/mixotrophic nitrogen removal for the effective and sustainable treatment of wastewater: From treatment process to microbial mechanism. Water Res. 2022, 226, 17. [Google Scholar] [CrossRef]
  43. Wu, X.S.; Yu, Z.; Yuan, S.S.; Tawfik, A.; Meng, F.G. An ecological explanation for carbon source-associated denitrification performance in wastewater treatment plants. Water Res. 2023, 247, 10. [Google Scholar] [CrossRef]
  44. Silva, L.C.F.; Lima, H.S.; Mendes, T.A.D.; Sartoratto, A.; Sousa, M.D.; de Souza, R.S.; de Paula, S.O.; de Oliveira, V.M.; da Silva, C.C. Heterotrophic nitrifying/aerobic denitrifying bacteria: Ammonium removal under different physical-chemical conditions and molecular characterization. J. Environ. Manag. 2019, 248, 9. [Google Scholar] [CrossRef]
  45. Li, W.; Gao, J.; Zhuang, J.L.; Yao, G.J.; Zhang, X.; Liu, Y.D.; Liu, Q.K.; Shapleigh, J.P.; Ma, L. Metagenomics and metatranscriptomics uncover the microbial community associated with high S0 production in a denitrifying desulfurization granular sludge reactor. Water Res. 2021, 203, 9. [Google Scholar] [CrossRef]
  46. Wang, W.; Zhao, L.; Ni, B.J.; Yin, T.M.; Zhang, R.C.; Yu, M.; Shao, B.; Xu, X.J.; Xing, D.F.; Lee, D.J.; et al. A novel sulfide-driven denitrification methane oxidation (SDMO) system: Operational performance and metabolic mechanisms. Water Res. 2022, 222, 11. [Google Scholar] [CrossRef]
  47. Mol, A.R.; Pruim, S.D.; de Korte, M.; Meuwissen, D.J.M.; van der Weijden, R.D.; Klok, J.B.M.; Keesman, K.J.; Buisman, C.J.N. Removal of small elemental sulfur particles by polysulfide formation in a sulfidic reactor. Water Res. 2022, 227, 9. [Google Scholar] [CrossRef] [PubMed]
Figure 1. SND–SAD schematic diagram. (a) Water inlet. (b) Air intake and sampling ports. (c) and (d) Sampling ports. (e) Effluent sampling port. The volume ratio of sulfur to limestone is 1:1 mixed. The ratio of sponge volume to sulfur limestone mixture volume is 1:1.
Figure 1. SND–SAD schematic diagram. (a) Water inlet. (b) Air intake and sampling ports. (c) and (d) Sampling ports. (e) Effluent sampling port. The volume ratio of sulfur to limestone is 1:1 mixed. The ratio of sponge volume to sulfur limestone mixture volume is 1:1.
Water 17 00683 g001
Figure 2. Nitrogen removal efficiency under different C/N conditions. (A) Removal efficiency of ammonia nitrogen. (B) Removal efficiency of nitrate nitrogen. (C) Removal efficiency of nitrite and TN. (D) The amount of SO42− produced.
Figure 2. Nitrogen removal efficiency under different C/N conditions. (A) Removal efficiency of ammonia nitrogen. (B) Removal efficiency of nitrate nitrogen. (C) Removal efficiency of nitrite and TN. (D) The amount of SO42− produced.
Water 17 00683 g002
Figure 3. Nitrogen effluent concentration at different spatial heights. (A) Nitrogen spatial change at C/N = 0.4. (B) Nitrogen spatial change at C/N = 0.8. (C) Nitrogen spatial change at C/N = 1.2. The (a) (b) (c) (d) (e) in the figure are described in detail in Figure 1. (a)–(c) is the aerobic sponge segment, and the (c)–(e) is the anaerobic sulfur segment.
Figure 3. Nitrogen effluent concentration at different spatial heights. (A) Nitrogen spatial change at C/N = 0.4. (B) Nitrogen spatial change at C/N = 0.8. (C) Nitrogen spatial change at C/N = 1.2. The (a) (b) (c) (d) (e) in the figure are described in detail in Figure 1. (a)–(c) is the aerobic sponge segment, and the (c)–(e) is the anaerobic sulfur segment.
Water 17 00683 g003
Figure 4. Analysis of phyla level. (A) The aerobiotic sponge stage under different carbon-to-nitrogen ratios. (B) The anaerobic sulfur stage under different carbon-to-nitrogen ratios.
Figure 4. Analysis of phyla level. (A) The aerobiotic sponge stage under different carbon-to-nitrogen ratios. (B) The anaerobic sulfur stage under different carbon-to-nitrogen ratios.
Water 17 00683 g004
Figure 5. Level analysis of genera. (A) The aerobiotic sponge stage under different carbon-to-nitrogen ratios (B) The anaerobic sulfur stage under different carbon-to-nitrogen ratios.
Figure 5. Level analysis of genera. (A) The aerobiotic sponge stage under different carbon-to-nitrogen ratios (B) The anaerobic sulfur stage under different carbon-to-nitrogen ratios.
Water 17 00683 g005
Figure 6. Spearman analysis. (A) The main functional bacteria for the aerobic stage. (B) The main functional bacteria in the anaerobic stage. Red circles indicate positive correlation, blue circles indicate negative correlation, large circles indicate high correlation, and small circles indicate low correlation.
Figure 6. Spearman analysis. (A) The main functional bacteria for the aerobic stage. (B) The main functional bacteria in the anaerobic stage. Red circles indicate positive correlation, blue circles indicate negative correlation, large circles indicate high correlation, and small circles indicate low correlation.
Water 17 00683 g006
Figure 7. PICRUSt2 (v2.2.0-b) functional gene prediction. (A) The main functional gene of nitrogen removal in the aerobic segment. (B) The main functional gene of nitrogen removal in the anaerobic segment. (C) Proposed pathways of nitrogen and sulfur metabolism in the SND–SAD system.
Figure 7. PICRUSt2 (v2.2.0-b) functional gene prediction. (A) The main functional gene of nitrogen removal in the aerobic segment. (B) The main functional gene of nitrogen removal in the anaerobic segment. (C) Proposed pathways of nitrogen and sulfur metabolism in the SND–SAD system.
Water 17 00683 g007
Table 1. Operational parameters of the long-term experiments for each phase.
Table 1. Operational parameters of the long-term experiments for each phase.
Time/(d)StageC/NHRT (h)Temp (°C)DO (mg L−1)
1–25Phase I0.46256–7
26–50Phase II0.86
51–75PhaseIII1.26
Disclaimer/Publisher’s Note: The statements, opinions and data contained in all publications are solely those of the individual author(s) and contributor(s) and not of MDPI and/or the editor(s). MDPI and/or the editor(s) disclaim responsibility for any injury to people or property resulting from any ideas, methods, instructions or products referred to in the content.

Share and Cite

MDPI and ACS Style

Jiang, S.; Huang, H.; Chen, Y.; Xiong, J.; Lin, Z.; Wang, S. Optimizing Nitrogen Removal Through Coupled Simultaneous Nitrification-Denitrification and Sulfur Autotrophic Denitrification: Microbial Community Dynamics and Functional Pathways in Mariculture Tailwater Treatment. Water 2025, 17, 683. https://doi.org/10.3390/w17050683

AMA Style

Jiang S, Huang H, Chen Y, Xiong J, Lin Z, Wang S. Optimizing Nitrogen Removal Through Coupled Simultaneous Nitrification-Denitrification and Sulfur Autotrophic Denitrification: Microbial Community Dynamics and Functional Pathways in Mariculture Tailwater Treatment. Water. 2025; 17(5):683. https://doi.org/10.3390/w17050683

Chicago/Turabian Style

Jiang, Shuaifeng, Haoran Huang, Yongli Chen, Jianhua Xiong, Ziyuan Lin, and Shuangfei Wang. 2025. "Optimizing Nitrogen Removal Through Coupled Simultaneous Nitrification-Denitrification and Sulfur Autotrophic Denitrification: Microbial Community Dynamics and Functional Pathways in Mariculture Tailwater Treatment" Water 17, no. 5: 683. https://doi.org/10.3390/w17050683

APA Style

Jiang, S., Huang, H., Chen, Y., Xiong, J., Lin, Z., & Wang, S. (2025). Optimizing Nitrogen Removal Through Coupled Simultaneous Nitrification-Denitrification and Sulfur Autotrophic Denitrification: Microbial Community Dynamics and Functional Pathways in Mariculture Tailwater Treatment. Water, 17(5), 683. https://doi.org/10.3390/w17050683

Note that from the first issue of 2016, this journal uses article numbers instead of page numbers. See further details here.

Article Metrics

Back to TopTop