Understanding the Relationship Between Water Quality and Soil Nutrient Dynamics in Qinghai Lake Through Statistical and Regression Models
Abstract
1. Introduction
2. Materials and Methods
2.1. Study Area
2.2. Sampling and Analysis
2.2.1. Sample Collection
2.2.2. Chemical Analysis of Water Samples
2.2.3. Chemical Analysis of Soil Samples
2.3. Multiple Linear Regression Analysis
3. Results and Discussion
3.1. Statistical Description of Water Quality Parameters
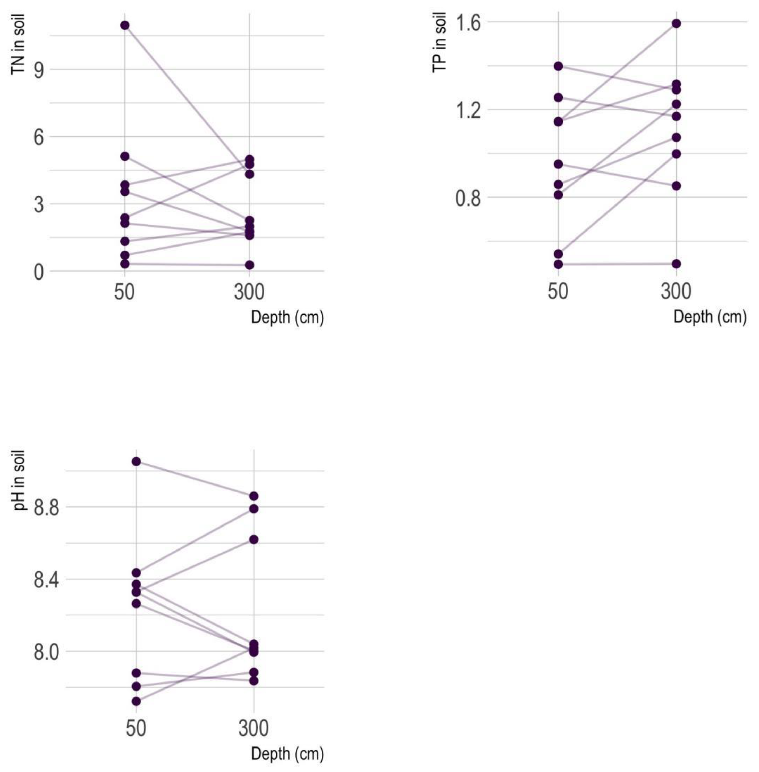
3.2. Statistical Description of Soil Characterization
3.3. Correlation Analysis
3.4. Principal Component Analysis
3.5. Regression Model Results
4. Limitations and Further Research
5. Conclusions
Supplementary Materials
Author Contributions
Funding
Data Availability Statement
Acknowledgments
Conflicts of Interest
References
- Zeng, J.; Jiao, C.; Zhao, D.; Xu, H.; Huang, R.; Cao, X.; Yu, Z.; Wu, Q.L. Patterns and assembly processes of planktonic and sedimentary bacterial community differ along a trophic gradient in freshwater lakes. Ecol. Indic. 2019, 106, 105491. [Google Scholar] [CrossRef]
- Obiero, K.; Lawrence, T.; Ives, J.; Smith, S.; Njaya, F.; Kayanda, R.; Waidbacher, H.; Olago, D.; Miriti, E.; Hecky, R.E. Advancing Africa’s great lakes research and academic potential: Answering the call for harmonized, long-term, collaborative networks and partnerships. J. Great Lakes Res. 2020, 46, 1240–1250. [Google Scholar] [CrossRef]
- Hirji, R.F.; Duda, A. Integrated management of lakes, reservoirs, and their basins is critical for a climate-resilient planet: An urgent wake-up call from collective amnesia. Water Policy 2024, 27, wp2024296. [Google Scholar] [CrossRef]
- Biggs, E.M.; Bruce, E.; Boruff, B.; Duncan, J.M.; Horsley, J.; Pauli, N.; McNeill, K.; Neef, A.; Van Ogtrop, F.; Curnow, J.; et al. Sustainable development and the water–energy–food nexus: A perspective on livelihoods. Environ. Sci. Policy 2015, 54, 389–397. [Google Scholar] [CrossRef]
- Li, Q.; Dai, J.; Zhang, H.; Wan, Z.; Xu, J. Potentially toxic elements in lake sediments in China: Spatial distribution, ecological risks, and influencing factors. Sci. Total Environ. 2023, 868, 161596. [Google Scholar] [CrossRef]
- Qin, B.; Zhang, Y.; Zhu, G.; Gao, G. Eutrophication control of large shallow lakes in China. Sci. Total Environ. 2023, 881, 163494. [Google Scholar] [CrossRef]
- Chen, Y.; Wang, Y. Qionghai Lake, Sichuan, China: Environmental degradation and the need for multidimensional management. Mt. Res. Dev. 2003, 23, 65–72. [Google Scholar]
- Nieder, R.; Benbi, D.K.; Reichl, F.X.; Nieder, R.; Benbi, D.K.; Reichl, F.X. Reactive water-soluble forms of nitrogen and phosphorus and their impacts on environment and human health. In Soil Components and Human Health; Springer: Dordrecht, The Netherlands, 2018; pp. 223–255. [Google Scholar]
- Zaldívar, J.M.; Viaroli, P.; Newton, A.; De Wit, R.; Ibañez, C.; Reizopoulou, S.; Somma, F.; Razinkovas, A.; Basset, A.; Holmer, M.; et al. Eutrophication in transitional waters: An overview. Trans. Waters Monogr. 2008, 2, 1–78. [Google Scholar] [CrossRef]
- Paerl, H.W.; Scott, J.T.; McCarthy, M.J.; Newell, S.E.; Gardner, W.S.; Havens, K.E.; Hoffman, D.K.; Wilhelm, S.W.; Wurtsbaugh, W.A. It takes two to tango: When and where dual nutrient (N & P) reductions are needed to protect lakes and downstream ecosystems. Environ. Sci. Technol. 2016, 50, 10805–10813. [Google Scholar] [CrossRef]
- Mohamed, M.N.; Wellen, C.; Parsons, C.T.; Taylor, W.D.; Arhonditsis, G.; Chomicki, K.M.; Boyd, D.; Weidman, P.; Mundle, S.O.; Cappellen, V.; et al. Understanding and managing the re-eutrophication of Lake Erie: Knowledge gaps and research priorities. Freshw. Sci. 2019, 38, 675–691. [Google Scholar] [CrossRef]
- Ayele, H.S.; Atlabachew, M. Review of characterization, factors, impacts, and solutions of Lake eutrophication: Lesson for lake Tana, Ethiopia. Environ. Sci. Pollut. Res. 2021, 28, 14233–14252. [Google Scholar] [CrossRef]
- Suresh, K.; Tang, T.; Van Vliet, M.T.; Bierkens, M.F.; Strokal, M.; Sorger-Domenigg, F.; Wada, Y. Recent advancement in water quality indicators for eutrophication in global freshwater lakes. Environ. Res. Lett. 2023, 18, 063004. [Google Scholar] [CrossRef]
- Piacente, J.N.; Milanovich, J.R.; Berg, M.B.; Hoellein, T.J.; Muñoz, A.G.; Cann, A.A.; Lentini, I.S. Characterizing lentic habitats in golf courses and adjacent green spaces: Water quality, water chemistry, pesticide concentrations, and algal concentrations. J. Freshw. Ecol. 2020, 35, 507–522. [Google Scholar] [CrossRef]
- Hampton, S.E.; McGowan, S.; Ozersky, T.; Virdis, S.G.; Vu, T.T.; Spanbauer, T.L.; Kraemer, B.M.; Swann, G.; Mackay, A.W.; Powers, S.M.; et al. Recent ecological change in ancient lakes. Limnol. Oceanogr. 2018, 63, 2277–2304. [Google Scholar] [CrossRef]
- Best, J. Anthropogenic stresses on the world’s big rivers. Nat. Geosci. 2019, 12, 7–21. [Google Scholar] [CrossRef]
- Geider, R.J.; Delucia, E.H.; Falkowski, G.; Finzi, A.C.; Grime, J.P.; Grace, J.; Kana, T.M.; La Roche, J.; Long, S.P.; Osborne, B.A.; et al. Primary productivity of planet earth: Biological determinants and physical constraints in terrestrial and aquatic habitats. Glob. Change Biol. 2001, 7, 849–882. [Google Scholar] [CrossRef]
- LeBauer, D.S.; Treseder, K.K. Nitrogen limitation of net primary productivity in terrestrial ecosystems is globally distributed. Ecology 2008, 89, 371–379. [Google Scholar] [CrossRef] [PubMed]
- Sun, H.; Han, C.; Liu, Z.; Wei, Y.; Ma, S.; Bao, Q.; Zhang, Y.; Yan, H. Nutrient limitations on primary productivity and phosphorus removal by biological carbon pumps in dammed karst rivers: Implications for eutrophication control. J. Hydrol. 2022, 607, 127480. [Google Scholar] [CrossRef]
- Longhi, D.; Bartoli, M.; Nizzoli, D.; Laini, A.; Viaroli, P. Do oxic–anoxic transitions constrain organic matter mineralization in eutrophic freshwater wetlands? Hydrobiologia 2016, 774, 81–92. [Google Scholar] [CrossRef]
- Liu, X.; Li, Y.; Shen, R.; Zhang, M.; Chen, F. Reducing nutrient increases diatom biomass in a subtropical eutrophic lake, China–Do the ammonium concentration and nitrate to ammonium ratio play a role? Water Res. 2022, 218, 118493. [Google Scholar] [CrossRef]
- Ventura, M.; Liboriussen, L.; Lauridsen, T.; Søndergaard, M.; Søndergaard, M.; Jeppesen, E. Effects of increased temperature and nutrient enrichment on the stoichiometry of primary producers and consumers in temperate shallow lakes. Freshw. Biol. 2008, 53, 1434–1452. [Google Scholar] [CrossRef]
- Elser, J.J.; Andersen, T.; Baron, J.S.; Bergström, A.K.; Jansson, M.; Kyle, M.; Nydick, K.R.; Steger, L.; Hessen, D.O. Shifts in lake N: P stoichiometry and nutrient limitation driven by atmospheric nitrogen deposition. Science 2009, 326, 835–837. [Google Scholar] [CrossRef]
- Kuhn, D.D.; Drahos, D.D.; Marsh, L.; Flick Jr, G.J. Evaluation of nitrifying bacteria product to improve nitrification efficacy in recirculating aquaculture systems. Aquacult. Eng. 2010, 43, 78–82. [Google Scholar] [CrossRef]
- Moss, B.; Jeppesen, E.; Søndergaard, M.; Lauridsen, T.L.; Liu, Z. Nitrogen, macrophytes, shallow lakes and nutrient limitation: Resolution of a current controversy? Hydrobiologia 2013, 710, 3–21. [Google Scholar] [CrossRef]
- Moloantoa, K.M.; Khetsha, Z.P.; Van Heerden, E.; Castillo, J.C.; Cason, E.D. Nitrate water contamination from industrial activities and complete denitrification as a remediation option. Water 2022, 14, 799. [Google Scholar] [CrossRef]
- Liu, T.; Yuan, J.; Dong, W.; Wu, H.; Wang, H. Effects on inorganic nitrogen compounds release of contaminated sediment treatment with in situ calcium nitrate injection. Environ. Sci. Pollut. Res. 2015, 22, 1250–1260. [Google Scholar] [CrossRef]
- Pinheiro, J.P.S.; Windsor, F.M.; Wilson, R.W.; Tyler, C.R. Global variation in freshwater physico-chemistry and its influence on chemical toxicity in aquatic wildlife. Biol. Rev. 2021, 96, 1528–1546. [Google Scholar] [CrossRef] [PubMed]
- Qin, B.; Zhou, J.; Elser, J.J.; Gardner, W.S.; Deng, J.; Brookes, J.D. Water depth underpins the relative roles and fates of nitrogen and phosphorus in lakes. Environ. Sci. Technol. 2020, 54, 3191–3198. [Google Scholar] [CrossRef]
- Conley, D.J.; Paerl, H.W.; Howarth, R.W.; Boesch, D.F.; Seitzinger, S.P.; Havens, K.E.; Lancelot, C.; Likens, G.E. Controlling eutrophication: Nitrogen and phosphorus. Science 2009, 323, 1014–1015. [Google Scholar] [CrossRef]
- Dodds, W.K.; Smith, V.H. Nitrogen, phosphorus, and eutrophication in streams. Inland Waters 2016, 6, 155–164. [Google Scholar] [CrossRef]
- Carpenter, S.R.; Caraco, N.F.; Correll, D.L.; Howarth, R.W.; Sharpley, A.N.; Smith, V.H. Nonpoint pollution of surface waters with phosphorus and nitrogen. Ecol. Appl. 1998, 8, 559–568. [Google Scholar] [CrossRef]
- Solovchenko, A.; Verschoor, A.M.; Jablonowski, N.D.; Nedbal, L. Phosphorus from wastewater to crops: An alternative path involving microalgae. Biotechnol. Adv. 2016, 34, 550–564. [Google Scholar] [CrossRef]
- Fan, C.; Song, C.; Li, W.; Liu, K.; Cheng, J.; Fu, C.; Chen, T.; Ke, L.; Wang, J. What drives the rapid water-level recovery of the largest lake (Qinghai Lake) of China over the past half century? J. Hydrol. 2021, 593, 125921. [Google Scholar] [CrossRef]
- Bernhardt, E.S.; Band, L.E.; Walsh, C.J.; Berke, E. Understanding, managing, and minimizing urban impacts on surface water nitrogen loading. Ann. N. Y. Acad. Sci. 2008, 1134, 61–96. [Google Scholar] [CrossRef]
- HJ 1147-2020; Water Quality-Determination of Nitrite Nitrogen—Spectrophotometric Method. Environmental Protection Standard of the People’s Republic of China: Beijing, China, 2020.
- HJ 535-2009; Water Quality-Determination of Ammonia Nitrogen: Nesslerreagent Spectrophotometry. Environmental Protection Standard of the People’s Republic of China: Beijing, China, 2009.
- GB/T 7480-1987; Water Quality-Determination of Nitrate—Spectrophotometric Method with Phenol Disulfonic Acid. China National Standards: Beijing, China, 1987.
- GB 7493-87; Water Quality-Determination of Nitrogen (Nitrite)-Spectrophotometric Method. China National Standards: Beijing, China, 1987.
- GB 7489-87; Water Guality-Determination of Dissolved Oxygen-Iodometric Method. China National Standards: Beijing, China, 1987.
- GB 11893-89; Water Quality-Determination of Nitrogen (Nitrite)-Spectrophotometric Method. China National Standards: Beijing, China, 1989.
- HJ 636-2012; Water Quality-Determination of Total Nitrogen: Alkaline Potassium Persulfate Digestion UV Spectrophotometric Method. Environmental Protection Standard of the People’s Republic of China: Beijing, China, 2012.
- HJ 717-2014; Soil Quality-Determination of Total Nitrogen: Modified Kjeldahlmethod. Environmental Protection Industry Standard: Beijing, China, 2014.
- LY/T 1232-2015; Phosphorus Determination Methods of Forest Soils. Forestry Industry Standard: Beijing, China, 2015.
- HJ 962-2018; Soil–Determination of pH–Potentiometry. Environmental Protection Standard of the People’s Republic of China: Beijing, China, 2018.
- Nasir, M.F.M.; Samsudin, M.S.; Mohamad, I.; Awaluddin, M.R.A.; Mansor, M.A.; Juahir, H.; Ramli, N. River water quality modeling using combined principle component analysis (PCA) and multiple linear regressions (MLR): A case study at Klang River, Malaysia. World Appl. Sci. J. 2011, 14, 73–82. [Google Scholar]
- Matli, C.S. Water quality modelling of river mahanadi using principal component analysis (PCA) and multiple linear regression (MLR). Int. J. Environ. 2021, 10, 83–98. [Google Scholar] [CrossRef]
- Li, X.; Huang, T.; Ma, W.; Sun, X.; Zhang, H. Effects of rainfall patterns on water quality in a stratified reservoir subject to eutrophication: Implications for management. Sci. Total Environ. 2015, 521, 27–36. [Google Scholar] [CrossRef]
- Zhou, N.; Liu, Z.; Liu, K.; Li, X.; Lock, T.R.; Kallenbach, R.L.; Yuan, Z. Carbon, nitrogen, and phosphorus dynamics in China’s lakes: Climatic and geographic influences. Environ. Monit. Assess. 2023, 195, 113. [Google Scholar] [CrossRef]
- Van Groenigen, J.W.; Huygens, D.; Boeckx, P.; Kuyper, T.W.; Lubbers, I.M.; Rütting, T.; Groffman, M. The soil N cycle: New insights and key challenges. Soil 2015, 1, 235–256. [Google Scholar] [CrossRef]
- Kopcicek, J.; Prochazkova, L.; Stuchlik, E.; Blazka, P. The nitrogen phosphorus relationship in mountain lakes: Influence of atmospheric input, watershed, and pH. Limnol. Oceanogr. 1995, 40, 930–937. [Google Scholar] [CrossRef]
- Albina, P.; Durban, N.; Bertron, A.; Albrecht, A.; Robinet, J.C.; Erable, B. Influence of hydrogen electron donor, alkaline pH, and high nitrate concentrations on microbial denitrification: A review. Int. J. Mol. Sci. 2019, 20, 5163. [Google Scholar] [CrossRef]
- Lee, J.; Lee, S.; Yu, S.; Rhew, D. Relationships between water quality parameters in rivers and lakes: BOD5, COD, NBOPs, and TOC. Environ. Monit. Assess. 2016, 188, 252. [Google Scholar] [CrossRef]
- Liu, Y.; Wu, Z.; Lv, Y.; Jiang, L.; Wei, Y.; Li, Y.Y.; Liu, J. Recovery of an acidified food waste anaerobic digestion reactor via NH4+-N and trace metals addition: Performance, microbial community response, and mechanisms. J. Clean. Prod. 2023, 425, 138978. [Google Scholar] [CrossRef]
- Downing, J.A.; Watson, S.B.; McCauley, E. Predicting cyanobacteria dominance in lakes. Can. J. Fish. Aquat. Sci. 2001, 58, 1905–1908. [Google Scholar] [CrossRef]
- Paerl, H.W.; Otten, T.G. Harmful cyanobacterial blooms: Causes, consequences, and controls. Microb. Ecol. 2013, 65, 995–1010. [Google Scholar] [CrossRef]
- Tyson, R.V.; Simonne, E.H.; White, J.M.; Lamb, E.M. Reconciling water quality parameters impacting nitrification in aquaponics: The pH levels. Proc. Fla. State Hortic. Soc. 2004, 117, 79–83. [Google Scholar]
- Howarth, R.W.; Chan, F.; Swaney, D.P.; Marino, R.M.; Hayn, M. Role of external inputs of nutrients to aquatic ecosystems in determining prevalence of nitrogen vs. phosphorus limitation of net primary productivity. Biogeochemistry 2021, 154, 293–306. [Google Scholar] [CrossRef]
- Allan, D.J. Stream Ecology: Structure and Function of Running Waters; Chapman and Hall: New York, NY, USA, 1995. [Google Scholar]
- Valiela, I.; Bowen, J.L. Nitrogen sources to watersheds and estuaries: Role of land cover mosaics and losses within watersheds. Environ. Pollut. 2002, 118, 239–248. [Google Scholar] [CrossRef] [PubMed]
- Khatri, N.; Tyagi, S. Influences of natural and anthropogenic factors on surface and groundwater quality in rural and urban areas. Front. Life Sci. 2015, 8, 23–39. [Google Scholar] [CrossRef]
- Bechmann, M.E.; Berge, D.; Eggestad, H.O.; Vandsemb, S.M. Phosphorus transfer from agricultural areas and its impact on the eutrophication of lakes—Two long-term integrated studies from Norway. J. Hydrol. 2005, 304, 238–250. [Google Scholar] [CrossRef]
- Álvarez, X.; Valero, E.; Santos, R.M.; Varandas, S.G.P.; Fernandes, L.S.; Pacheco, F.A.L. Anthropogenic nutrients and eutrophication in multiple land use watersheds: Best management practices and policies for the protection of water resources. Land Use Policy 2017, 69, 1–11. [Google Scholar] [CrossRef]
- You, R.; Wang, S.; Wan, L.; Dong, F. Towards the development of a ‘land-river-lake’two-stage deep learning model for water quality prediction and its application in a large plateau lake. J. Hydrol. 2024, 645, 132173. [Google Scholar] [CrossRef]
- Dai, L.; Zhang, B.; Liao, X.; Wang, L.; Zhang, Q.; Tian, S.; Liang, T.; O’Connor, D.; Rinklebe, J. Catchment land use effect on mercury concentrations in lake sediments: A high-resolution study of Qinghai Lake. Sci. Total Environ. 2024, 916, 170260. [Google Scholar] [CrossRef] [PubMed]
- Wang, J.; Guan, Y.; Wang, H.; Zhang, H.; Zhou, W. Evaluation of farmland production potential in key agricultural production areas on the Qinghai-Tibet Plateau under multi-scenario simulation. Sci. Total Environ. 2024, 951, 175741. [Google Scholar] [CrossRef]
- Han, J.; Xin, Z.; Shan, G.; Liu, Y.; Xu, B.; Zhang, Q.; Zhang, C. Developing nutrient pollution management strategies on a watershed scale under climate change. Ecol. Indic. 2024, 159, 111691. [Google Scholar] [CrossRef]
- Tarabih, O.M.; Arias, M.E.; Santos, A.L.; Hua, J.; Cooper, R.Z.; Khanal, A.; Dang, T.D.; Khare, Y.P.; Charkhgard, H.; Rains, M.C.; et al. Effects of the spatial distribution of best management practices for watershed wide nutrient load reduction. Ecol. Eng. 2024, 201, 107211. [Google Scholar] [CrossRef]
- Liu, X.; Wu, Y.; Sun, R.; Hu, S.; Qiao, Z.; Wang, S.; Mi, X. NH4+-N/NO3−-N ratio controlling nitrogen transformation accompanied with NO2−-N accumulation in the oxic-anoxic transition zone. Environ. Res. 2020, 189, 109962. [Google Scholar] [CrossRef]
- Jiang, Q.; Jin, G.; Tang, H.; Xu, J.; Jiang, M. Ammonium (NH4+) transport processes in the riverbank under varying hydrologic conditions. Sci. Total Environ. 2022, 826, 154097. [Google Scholar] [CrossRef]
- Ignatius, A.R.; Rasmussen, T.C. Small reservoir effects on headwater water quality in the rural-urban fringe, Georgia Piedmont, USA. J. Hydrol. Reg. Stud. 2016, 8, 145–161. [Google Scholar] [CrossRef]
- Zhang, D.; Wang, P.; Cui, R.; Yang, H.; Li, G.; Chen, A.; Wang, H. Electrical conductivity and dissolved oxygen as predictors of nitrate concentrations in shallow groundwater in Erhai Lake region. Sci. Total Environ. 2022, 802, 149879. [Google Scholar] [CrossRef]
- Wu, S.; Wu, Z.; Liang, Z.; Liu, Y.; Wang, Y. Denitrification and the controlling factors in Yunnan Plateau Lakes (China): Exploring the role of enhanced internal nitrogen cycling by algal blooms. J. Environ. Sci. 2019, 76, 349–358. [Google Scholar] [CrossRef]
- Zhang, X.; Mei, X.; Gulati, R.D.; Liu, Z. Effects of N and P enrichment on competition between phytoplankton and benthic algae in shallow lakes: A mesocosm study. Environ. Sci. Pollut. Res. 2015, 22, 4418–4424. [Google Scholar] [CrossRef] [PubMed]
- Zhou, Z.; Liu, Y.; Wang, S.; Xiao, J.; Cao, X.; Zhou, Y.; Song, C. Interactions between phosphorus enrichment and nitrification accelerate relative nitrogen deficiency during cyanobacterial blooms in a large shallow eutrophic lake. Environ. Sci. Technol. 2023, 57, 2992–3001. [Google Scholar] [CrossRef]
- Liu, X.; Hu, S.; Sun, R.; Wu, Y.; Qiao, Z.; Wang, S.; Zhang, Z.; Cui, C. Dissolved oxygen disturbs nitrate transformation by modifying microbial community, co-occurrence networks, and functional genes during aerobic-anoxic transition. Sci. Total Environ. 2021, 790, 148245. [Google Scholar] [CrossRef]
- Elser, J.J.; Bracken, M.E.; Cleland, E.E.; Gruner, D.S.; Harpole, W.S.; Hillebrand, H.; Ngai, J.T.; Seabloom, E.W.; Shurin, J.B.; Smith, J.E. Global analysis of nitrogen and phosphorus limitation of primary producers in freshwater, marine and terrestrial ecosystems. Ecol. Lett. 2007, 10, 1135–1142. [Google Scholar] [CrossRef]
- Vitousek, M.; Porder, S.; Houlton, B.Z.; Chadwick, O.A. Terrestrial phosphorus limitation: Mechanisms, implications, and nitrogen–phosphorus interactions. Ecol. Appl. 2010, 20, 5–15. [Google Scholar] [CrossRef]
- Issaka, S.; Ashraf, M.A. Impact of soil erosion and degradation on water quality: A review. Geol. Ecol. Landsc. 2017, 1, 1–11. [Google Scholar] [CrossRef]
- Decau, M.L.; Simon, J.C.; Jacquet, A. Nitrate leaching under grassland as affected by mineral nitrogen fertilization and cattle urine. J. Environ. Qual. 2004, 33, 637–644. [Google Scholar] [CrossRef] [PubMed]
- Laubel, A.; Kronvang, B.; Hald, A.B.; Jensen, C. Hydromorphological and biological factors influencing sediment and phosphorus loss via bank erosion in small lowland rural streams in Denmark. Hydrol. Process. 2003, 17, 3443–3463. [Google Scholar] [CrossRef]
- Iqbal, J.; Su, C.; Abbas, H.; Jiang, J.; Han, Z.; Baloch, M.Y.J.; Xie, X. Prediction of Nitrate Concentration and the Impact of Land Use Types on Groundwater in the Nansi Lake Basin. J. Hazard. Mater. 2025, 487, 137185. [Google Scholar] [CrossRef]
- Abell, J.M.; Özkundakci, D.; Hamilton, D.P.; Miller, S.D. Relationships between land use and nitrogen and phosphorus in New Zealand lakes. Mar. Freshw. Res. 2011, 62, 162–175. [Google Scholar] [CrossRef]
- Kosten, S.; Huszar, V.L.; Mazzeo, N.; Scheffer, M.; Sternberg, L.D.S.; Jeppesen, E. Lake and watershed characteristics rather than climate influence nutrient limitation in shallow lakes. Ecol. Appl. 2009, 19, 1791–1804. [Google Scholar] [CrossRef]
- Olsen, S.; Jeppesen, E.; Moss, B.; Özkan, K.; Beklioğlu, M.; Feuchtmayr, H.; Gonzalez Sagrario, M.; Wei, L.; Larsen, S.; Lauridsen, T.S.; et al. Factors influencing nitrogen processing in lakes: An experimental approach. Freshw. Biol. 2015, 60, 646–662. [Google Scholar] [CrossRef]
- Zhao, H.; Zhang, L.; Wang, S.; Jiao, L. Features and influencing factors of nitrogen and phosphorus diffusive fluxes at the sediment-water interface of Erhai Lake. Environ. Sci. Pollut. Res. 2018, 25, 1933–1942. [Google Scholar] [CrossRef] [PubMed]
- Smith, J.; Wagner-Riddle, C.; Dunfield, K. Season and management related changes in the diversity of nitrifying and denitrifying bacteria over winter and spring. Appl. Soil Ecol. 2010, 44, 138–146. [Google Scholar] [CrossRef]
- Anderson, T.R.; Goodale, C.L.; Groffman, M.; Walter, M.T. Assessing denitrification from seasonally saturated soils in an agricultural landscape: A farm-scale mass-balance approach. Agric. Ecosyst. Environ. 2014, 189, 60–69. [Google Scholar] [CrossRef]





| n = 17 | TN (mg/L) (n = 16) | TP (mg/L) | NO3−-N (mg/L) | NH4+-N (mg/L) | NO2−-N (mg/L) | DO (mg/L) | COD (mg/L) | BOD5 (mg/L) | pH | Electrical Conductivity (ms/cm) |
|---|---|---|---|---|---|---|---|---|---|---|
| mean | 0.963 | 0.073 | 0.0189 | 0.112 | 0.595 | 6.059 | 3.025 | 3.123 | 7.92 | 29.23 |
| SD | 0.379 | 0.058 | 0.0133 | 0.047 | 0.608 | 0.389 | 1.559 | 1.617 | 0.23 | 8.48 |
| min | 0.54 | 0.03 | 0.0038 | 0.065 | 0.027 | 5.400 | 0.896 | 1.030 | 7.28 | 6.87 |
| max | 1.9 | 0.26 | 0.0401 | 0.219 | 2.153 | 6.800 | 5.760 | 6.270 | 8.09 | 41.1 |
| TN | TP | |||||
|---|---|---|---|---|---|---|
| min–max | mean | SD | min–max | mean | SD | |
| China | 0.16–4.40 | 1.55 | 0.92 | 0.01–0.52 | 0.11 | 0.11 |
| Northeastern lakes in China | 0.72–1.75 | 1.08 | 0.31 | 0.03–0.12 | 0.07 | 0.03 |
| Eastern lakes in China | 1.37–2.47 | 1.83 | 0.46 | 0.07–0.19 | 0.09 | 0.02 |
| Southern lakes in China | 0.16–4.40 | 1.87 | 1.41 | 0.01–0.52 | 0.19 | 0.18 |
| Qinghai–Tibet Plateau lakes | 0.29–1.19 | 0.62 | 0.43 | 0.01–0.09 | 0.06 | 0.02 |
| Regression Model | NH4+-N~TN_Water + TP_Water + pH_Water + DO_Water + COD_Water + BOD5_Water + EC_Water + pH_Soil + TN_Soil + TP_Soil | ||
|---|---|---|---|
| Estimate | Pr(>|t|) | ||
| X | (Intercept) | 278.05291 | 0.000220 *** |
| TN_water | −11.19570 | 0.002272 ** | |
| TP_water | −83.16141 | 7.77 × 10−5 *** | |
| pH_water | −59.27882 | 0.031971 * | |
| DO_water | 42.44300 | 0.003746 ** | |
| COD_water | 3.40049 | 0.001000 *** | |
| BOD5_water | −26.66948 | 0.000446 *** | |
| EC_water | −9.24314 | 6.60 × 10−5 *** | |
| pH_soil | −5.16923 | 0.030122 * | |
| TN_soil | 4.72128 | 0.031085 * | |
| TP_soil | 0.13728 | 0.003140 ** | |
| Multiple R-squared | 0.9621 | ||
| p-value | 0.001699 | ||
| F-statistic | 15.23 on 10 and 6 DF | ||
| Regression model | NH4+-N~TP_water + pH_water + DO_water + COD_water + BOD5_water + EC_water + pH_soil + TN_soil + TP_soil | ||
| Estimate | Pr(>|t|) | ||
| X | (Intercept) | 117.50798 | 0.00945 ** |
| TP_water | −56.33430 | 0.00683 ** | |
| pH_water | −57.35929 | 0.24702 | |
| DO_water | 6.17665 | 0.63731 | |
| COD_water | 2.14801 | 0.09090 | |
| BOD5_water | −8.94504 | 0.03535 * | |
| EC_water | −7.17670 | 0.00556 ** | |
| pH_soil | −6.38111 | 0.14264 | |
| TN_soil | 6.26084 | 0.11953 | |
| TP_soil | 0.09680 | 0.14549 | |
| Multiple R-squared | 0.7992 | ||
| p-value | 0.07513 | ||
| F-statistic | 3.097 on 9 and 7 DF | ||
| Regression Model | NO3−-N~TN_Water + TP_Water + pH_Water + DO_Water + COD_Water + BOD5_Water + EC_Water + pH_Soil + TN_Soil + TP_Soil | ||
|---|---|---|---|
| Estimate | Pr(>|t|) | ||
| X | (Intercept) | −12.09524 | 0.20852 |
| TN_water | 0.76114 | 0.20621 | |
| TP_water | 11.16173 | 0.00195 ** | |
| pH_water | 8.22324 | 0.16434 | |
| DO_water | −2.46537 | 0.31601 | |
| COD_water | −0.50681 | 0.01075 * | |
| BOD5_water | 2.04257 | 0.07201 | |
| EC_water | 0.63933 | 0.03218 * | |
| pH_soil | 0.17742 | 0.70424 | |
| TN_soil | −0.15211 | 0.72364 | |
| TP_soil | −0.02950 | 0.00572 ** | |
| Multiple R-squared | 0.9033 | ||
| p-value | 0.02346 | ||
| F-statistic | 5.606 on 10 and 6 DF | ||
| Regression model | NO3−-N~TP_water + pH_water + DO_water + COD_water + BOD5_water + EC_water + pH_soil + TN_soil + TP_soil | ||
| Estimate | Pr(>|t|) | ||
| X | (Intercept) | −1.1806435 | 0.77945 |
| TP_water | 9.3378997 | 0.00135 ** | |
| pH_water | 8.0927435 | 0.18835 | |
| DO_water | 0.0001814 | 0.99991 | |
| COD_water | −0.4216638 | 0.01625 * | |
| BOD5_water | 0.8375771 | 0.08660 | |
| EC_water | 0.4988465 | 0.05979 | |
| pH_soil | 0.2598150 | 0.59948 | |
| TN_soil | −0.2567742 | 0.57078 | |
| TP_soil | −0.0267433 | 0.00765 ** | |
| Multiple R-squared | 0.871 | ||
| p-value | 0.01991 | ||
| F-statistic | 5.25 on 9 and 7 DF | ||
| Regression Model | NO2−-N~TN_Water + TP_Water + pH_Water + DO_Water + COD_Water + BOD5_Water + EC_Water + pH_Soil + TN_Soil + TP_Soil | ||
|---|---|---|---|
| Estimate | Pr(>|t|) | ||
| X | (Intercept) | 30.731405 | 0.0995 |
| TN_water | −1.449307 | 0.1926 | |
| TP_water | −9.209244 | 0.0572 | |
| pH_water | −9.174459 | 0.3736 | |
| DO_water | 4.305010 | 0.3389 | |
| COD_water | 0.439945 | 0.1359 | |
| BOD5_water | −3.123548 | 0.1197 | |
| EC_water | −0.591746 | 0.2118 | |
| pH_soil | 0.058529 | 0.9454 | |
| TN_soil | −0.113551 | 0.8853 | |
| TP_soil | 0.008705 | 0.5257 | |
| Multiple R-squared | 0.5082 | ||
| p-value | 0.7598 | ||
| F-statistic | 0.62 on 10 and 6 DF | ||
| Regression model | NO2−-N~TP_water + pH_water + DO_water + COD_water + BOD5_water + EC_water + pH_soil + TN_soil + TP_soil | ||
| Estimate | Pr(>|t|) | ||
| X | (Intercept) | 9.948519 | 0.228 |
| TP_water | −5.736417 | 0.133 | |
| pH_water | −8.925971 | 0.415 | |
| DO_water | −0.389746 | 0.895 | |
| COD_water | 0.277809 | 0.301 | |
| BOD5_water | −0.829082 | 0.323 | |
| EC_water | −0.324240 | 0.458 | |
| pH_soil | −0.098352 | 0.914 | |
| TN_soil | 0.085749 | 0.918 | |
| TP_soil | 0.003466 | 0.803 | |
| Multiple R-squared | 0.3316 | ||
| p-value | 0.9077 | ||
| F-statistic | 0.3859 on 9 and 7 DF | ||
Disclaimer/Publisher’s Note: The statements, opinions and data contained in all publications are solely those of the individual author(s) and contributor(s) and not of MDPI and/or the editor(s). MDPI and/or the editor(s) disclaim responsibility for any injury to people or property resulting from any ideas, methods, instructions or products referred to in the content. |
© 2025 by the authors. Licensee MDPI, Basel, Switzerland. This article is an open access article distributed under the terms and conditions of the Creative Commons Attribution (CC BY) license (https://creativecommons.org/licenses/by/4.0/).
Share and Cite
Li, G.; Zhou, J.; Deng, D.; Du, M.; Meng, Y.; Dai, L.; Peng, Q.; Wang, L. Understanding the Relationship Between Water Quality and Soil Nutrient Dynamics in Qinghai Lake Through Statistical and Regression Models. Water 2025, 17, 472. https://doi.org/10.3390/w17040472
Li G, Zhou J, Deng D, Du M, Meng Y, Dai L, Peng Q, Wang L. Understanding the Relationship Between Water Quality and Soil Nutrient Dynamics in Qinghai Lake Through Statistical and Regression Models. Water. 2025; 17(4):472. https://doi.org/10.3390/w17040472
Chicago/Turabian StyleLi, Guangying, Jinhan Zhou, Deling Deng, Minjie Du, Yingyi Meng, Lijun Dai, Qin Peng, and Lingqing Wang. 2025. "Understanding the Relationship Between Water Quality and Soil Nutrient Dynamics in Qinghai Lake Through Statistical and Regression Models" Water 17, no. 4: 472. https://doi.org/10.3390/w17040472
APA StyleLi, G., Zhou, J., Deng, D., Du, M., Meng, Y., Dai, L., Peng, Q., & Wang, L. (2025). Understanding the Relationship Between Water Quality and Soil Nutrient Dynamics in Qinghai Lake Through Statistical and Regression Models. Water, 17(4), 472. https://doi.org/10.3390/w17040472

