Abstract
In order to improve the accuracy of leakage detection in water pipelines, this paper proposes a novel method based on Transformer and transfer learning. A laboratory test platform was established to obtain datasets with rich leakage characteristics. An enhanced feature extraction technique using a shift window input method mapped the NPW sequences into embedding vectors, effectively capturing the fine-grained features while reducing the sequence length, thereby enhancing the Transformer’s retention of sequence details. An improved Transformer encoder was pre-trained on the Experimental pipeline dataset and refined with limited leakage data from real pipelines for accurate detection. Additionally, a novel signal difference-based method was introduced for precise leak localization. The pressure signal was denoised, and the inflection points were identified by subtracting two signals. The points between the inflection and lowest signal points were traversed, with slope calculations optimizing the time delay computations. A leakage simulation test was conducted on a section of a raw water pipeline in Shanghai, and the test results confirmed the effectiveness of these methods. A 100% detection rate, zero false alarms, and a relative positioning error of less than 3.14% were achieved on a test set of 45 instances.
1. Introduction
Water pipeline systems bear the heavy responsibility of supplying high-quality water to urban areas and some suburban waterworks. With the increase of water pipelines, the increase of pipeline service life, construction problems during installation, natural corrosion and aging of pipelines, and pipeline damage caused by human factors, the probability of the unsafe operation of pipelines is likely to increase. Once the water pipeline leaks, it will not only cause a waste of water resources but also affect the municipal water supply capacity and urban operation efficiency and even cause irreversible economic losses and environmental damage to the local area. Therefore, the research on the theoretical issues and implementation techniques of pipeline leakage detection is not only of great significance for the safe operation and management of pipelines but also has significant social and practical implications for the national economy and people’s livelihoods. However, several challenges impede the effective detection of leaks in water pipelines. One of the primary obstacles is the scarcity of real-world leakage data, as actual leak events are relatively infrequent, limiting the advancement of research in this area. Additionally, the inherent complexity and diversity of pipeline systems, characterized by varying structural designs and operational conditions, complicate the development of universally applicable detection methods. Achieving a high detection accuracy is imperative to minimize the false positives and negatives, thereby ensuring the reliability of the water supply system.
Nowadays, researchers have developed many pipeline leak detection methods based on a variety of technologies. Among them, the artificial listening method, flow balance method, and ground penetrating radar method [] were widely used in the early days, but with the rapid development of signal processing technology and computer technology, methods based on acoustic signals [], fiber optic signals [], and pressure signals [] have been widely studied. The negative pressure wave (NPW) pipeline leakage detection method based on pressure signals has been widely used in practical detection due to its advantages of low cost, short detection time, and long detection distance.
The real NPW signal exhibits nonlinear and non-stationary characteristics, and analyzing such signals remains a significant challenge. Recent studies have made notable progress in understanding nonlinear vibration signals. For instance, research on the fluid-induced transport dynamics and the vibration patterns of multiphase vortexes in critical transition states has shed light on the complex behaviors of these systems []. Li et al. [] proposed a fluid–structure mechanic optimization model to analyze multiphase vortex-induced vibration dynamics, revealing how flow the flux affects the vibration energy transfer at critical transition states. Despite these advancements, traditional signal processing techniques still face limitations in directly addressing leak detection tasks. Therefore, pattern recognition technologies have gained attention, particularly those based on machine learning (ML), which have shown rapid development over the past few decades, such as artificial neural networks (ANN) [] and support vector machines (SVM). Li et al. [] extracted leakage features from the acoustic emission signals of water supply pipelines and built a classifier for identifying leaks based on ANN. Yan et al. [] proposed an interpretable leak detection algorithm (PSLDA) based on Principal Component Analysis (PCA) and SVM. The algorithm leverages Synthetic Aperture Radar (SAR) data for feature extraction and classification, achieving a detection accuracy of 91.86%, but similar to traditional ML methods, the accuracy of leak recognition still depends on the quality of manually extracted features [].
Deep Learning (DL) is a new research direction in the field of ML. It solves many complex pattern recognition problems and makes significant advances in artificial intelligence-related technologies. Therefore, in recent years, DL has also been introduced into pipeline fault feature extraction technology []. The model can directly learn features from the original data, use it to learn the original data and output a nonlinear model, and perform an end-to-end classification of the leaked data. Zhang et al. [] combined an attention mechanism (AM) with a long short-term memory (LSTM) network to assign a higher attention weight to sensors near the leak location. Liu et al. [] proposed a leak detection method for water pipe networks based on LSTM–GAN. By generating synthetic leak signals to augment the dataset, the method effectively improves the detection performance under limited data conditions. Rajasekaran et al. [] proposed a unified architecture, DenseNet, based on a one-dimensional time-series that is capable of performing both leak detection and location using a single sensor without the need for denoising techniques. The model demonstrated a high accuracy of 99.08% under varying pressure conditions. Yan et al. [] introduced a multi-source, multi-modal feature fusion method that converts multi-sensor data into two-dimensional time–frequency images. Through a dual information fusion module and multi-scale convolutional module, the method significantly improved detection accuracy for small-scale leaks. Liang et al. [], by constructing a pipeline process model based on a supervisory control and data acquisition system, combined convolutional neural networks and bidirectional LSTM, achieving a substantial improvement in small-scale leak detection performance, with detection rates of 94.06% and 92.16% reported in the experimental results.
Despite significant advances in leak detection methods based on DL, there are still some drawbacks. For example, CNN performs well in feature extraction, but it has limitations in global context and location information, with limited perception range, poor location perception ability, and a large number of parameters, which lead to difficulties capturing key leakage features in some tasks []. Recurrent neural networks (RNNs) and LSTM have advantages in sequence data processing, but they suffer from issues such as sequence sensitivity, low computational efficiency, and long-term dependence. These issues limit the robustness and applicability of the models, especially in situations where real-time or high concurrent processing is required, and their performance may not meet the requirements []. Transformer [] has been proposed as an effective solution to solve the above problems. The model and AM based on the Transformer architecture showed remarkable effects in time series tasks. For the leak detection tasks, its global modeling capability enabled the model to better understand the global features in the signal, and it could achieve a high precision detection. For example, Li et al. [] applied the Transformer framework to the identification of leakage apertures in natural gas pipelines and achieved a satisfactory recognition rate.
In fact, the prerequisite for a model to learn effective features requires a large amount of data to support it, and in the actual production process, the data collected by the sensors often cannot meet this requirement. Therefore, researchers have proposed transfer learning (TL) models []. If the pre-trained model uses TL, then the requirement of data volume for feature extraction will be greatly reduced. Park et al. [] proposed an adaptive leak detection model based on spectral feature extraction and TL. By incorporating an autoencoder, the model achieved a high-accuracy leak detection even with limited data. The experimental results demonstrated a detection accuracy of up to 99.19%. At present, there are few literature reports on the use of Transformer for TL on the leakage data of raw water pipelines.
After a pipeline leak occurs, the NPW generated at the leakage point will propagate in the form of fluctuations upstream and downstream of the pipeline leak. The pressure sensor installed in the pipeline can detect the NPW signal and determine whether there is a leak in the pipeline. The point of sudden pressure drop caused by a leakage is commonly referred to as the inflection point. By determining the position of the inflection point, the time difference (also known as delay) of the NPW between the upstream sensor and the downstream sensor can be calculated, and then the location of the leakage point can be determined []. Liu et al. [] extracted the inflection point based on the maximum peak value with the VMD. Chen et al. [] employed fiber Bragg grating (FBG) strain sensing technology combined with empirical mode decomposition (EMD) for inflection point extraction. The experimental results indicated that the method achieved a location error range of 3.96% to 7.36%. The calculation of time delay relying solely on the inflection point information may result in significant positioning errors. Therefore, how to accurately extract the inflection point is also a challenge faced by leakage point localization.
To address the aforementioned issues, a pipeline leakage detection method based on Transformer and TL is proposed in this paper. Firstly, a shift window input method is introduced to improve Transformer to ensure the accuracy of the attention weight calculation. Secondly, an improved Transformer encoder is used to pre-train the experimental dataset with rich leakage characteristics, enabling the model to learn the basic features of pipeline leakage. Finally, the model is transferred to the real dataset from raw water pipelines for further learning and adjustment, enabling it to better adapt to the data characteristics of raw water pipelines. The combination of the above stages enables the model to obtain common features on the source task while also being customized with fine-tuning on the target task for better performance and generalization. At the same time as detecting leaks in pipelines, it is also very important to locate the leak point so that personnel can quickly respond to and prevent the further spread of the leak’s impact. In this paper, a method of leakage localization using a signal difference is designed. Firstly, the pressure signal is denoised and the inflection point is preliminarily selected. Then, considering that the time delay information contained in the NPW runs through the entire signal, this paper calculates the signal delay by traversing all the points from the inflection point to the lowest point of the signal and calculating the slope between them. Finally, the leakage point localization is realized. To verify the effectiveness of the proposed method, a leakage simulation experiment was conducted on a raw water pipeline in Shanghai. Under three different leakage area conditions, the leakage detection rate reaches 100% and the false alarm rate is 0. The relative error of leakage point localization is less than 3.14%. The maximum absolute value for leak localization is 294 m, and the minimum absolute value is 41 m. The results show that the method proposed in this paper meets the diversity of pipeline conditions in actual operation, improves the accuracy of pipeline leak fault detection and leak point localization, and is conducive to improving urban water supply capacity and urban operation efficiency.
The rest of this paper is organized as follows. In Section 2, this paper first constructs the real and experimental NPW signal datasets and then elaborates the leak identification model and localization method. In Section 3, the results of identification and localization by the proposed method are given, and the effectiveness of the proposed method is verified. Section 4 provides a discussion of the experimental results and outlines future research directions. Section 5 is the conclusion, which summarizes the work of this paper.
2. Materials and Methods
Figure 1 shows the outline of the whole processing flow in this paper.

Figure 1.
General framework diagram.
An experimental pipeline system is first constructed to collect a large amount of data with leak characteristics. These data provide rich input information for model training. Then, the pre-training phase is performed. In this process, Transformer is combined with a shift window input (SwinI) for feature extraction and preliminary learning of the data collected from the experimental pipeline. It is worth mentioning that the pre-training process allows the model to capture key features and potential anomaly patterns of pipeline data. Subsequently, we took into consideration that there are very little available data on the leakage of raw water pipelines during operation in reality. Therefore, to better adapt the model to the actual raw water pipeline data, fine-tuning was performed. After pre-training, the model’s ability to identify and respond to unknown leakage events is further improved by continuously learning data features. Once the model detects a leak, the signal difference localization method is used to locate the leak point. The technical details and implementation of each step are described in detail below.
2.1. NPW Dataset
2.1.1. Actual Running Raw Water Pipeline Dataset
The experimental pipeline is a section of raw water pipeline located in Shanghai, as shown in Figure 2. Pressure sensors are installed in well J1 (upstream) and J3 (downstream) to collect real-time pressure signals, and a valve is opened in well J2 to simulate a leak. The distance between J1 and J2 is about 4981 m, and the distance between J2 and J3 is about 910 m. The diameter of the pipe is 3.6 m.

Figure 2.
Layout of raw water pipeline test section.
The general situation of the field equipment layout is shown in Figure 3. The sampling frequency of the pressure sensor is 500 Hz. The acquisition cards send the collected field pressure data to the server through 4G. The solar panel charges the battery, which supplies power to the collection equipment and pressure transmitter through the distribution box. During the experiment, various leakage areas are simulated by changing the opening size of the valve. The relationships between valve opening and leakage area are shown in Table 1.

Figure 3.
Installation of the experimental device.

Table 1.
Leakage area of different valve opening degrees.
The length of time for each simulated leak is 10 min. A total of 19 groups of leakage data are collected, and each group of data contains upstream and downstream NPW signals, as shown in Table 2. The data collection was conducted during two experiments in 2021 and 2023. A total of 14 datasets were collected in 2021, and 5 datasets were collected in 2023. A short simulation interval of only 2 min was used during the experiment conducted in 2021, and although this did not affect the leak detection experiments, it significantly affected the accuracy of the localization experiments. Therefore, this article only used the five leak datasets collected in 2023 to present the localization results of the proposed method. For the non-leakage data, this paper collects three consecutive days of pipeline operation data under the same pipeline conditions. A total of 475 groups with a total of 950 pieces of data are collected. The pressure data changes from 14:00 to 22:00 on one day are shown in Figure 4, which includes simulated leakage pressure changes and normal pressure fluctuations in the pipeline. As can be seen from the figure, the pressure changes caused by system pressure regulation or other factors due to load changes are very similar to the pressure changes caused by leakage, which adversely affect the correctness of leakage detection.

Table 2.
The number of datasets for different valve opening degrees.

Figure 4.
Pressure fluctuation diagram of the raw water pipeline, The red rectangle highlights the leakage signal, while the green rectangle indicates normal fluctuations resembling leakage.
2.1.2. Experimental Pipeline Dataset
The experimental pipeline is a real operating raw water pipeline, and considering factors such as operational safety, leakage simulation tests cannot be carried out in large numbers. Due to various other reasons, the historical data of leaks on the actual pipeline cannot be obtained. Therefore, to obtain large-scale pipeline leakage data for training the learning model, a water supply pipeline leakage simulation experiment platform is built. As shown in Figure 5, (a) is the schematic diagram of the pipeline layout, and (b) is the site layout diagram. The pipe material is carbon steel, the experimental parameters are shown in Table 3, and leaks are simulated by turning faucets ON and OFF. A total of 926 sets of leakage data are collected from the experimental pipeline, amounting to 1852 pieces.

Figure 5.
Laboratory equipment. (a) Overview diagram of the experimental pipeline system; (b) actual image of the experimental pipeline system.

Table 3.
Pipeline experimental parameters.
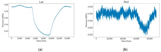
The NPW signals collected in the field and in the laboratory are shown in Figure 6. Figure 6a shows the NPW signal collected from the laboratory pipeline and Figure 6b shows the NPW signal collected from the raw water pipeline. It can be seen from the figure that when leakage occurs, the leakage signals collected by the real pipeline and the experimental pipeline have the same leakage characteristics.

Figure 6.
NPW signals. (a) NPW signal collected from laboratory pipeline; (b) NPW signal collected from raw water pipeline.
2.1.3. Dataset Division
In order to improve the effectiveness of the learning model, two datasets containing different pipeline pressure characteristics are established, one of which is called the laboratory pipeline pressure dataset and include pressure data without leakage in the raw water pipeline and data with leakage in the experimental pipeline. Another dataset is called the raw water pipeline pressure dataset, which consists of 190 randomly selected raw water pipeline pressure data, including pressure data without leakage and pressure data with leakage.
According to the ratio of 6:2:2 [], the two datasets are divided into training sets, validation sets, and test sets, as shown in Table 4. The experimental pipeline dataset contains 1681 training data, 561 validation data, and 560 test data. The raw water pipeline dataset contains 136 training data, 47 validation data, and 45 test data.

Table 4.
Division of datasets.
2.2. Leak Detection Method
The sensor installed in the water supply pipe can collect the water pressure change in the pipe in real time and continuously, so the leak detection is a time series classification task. Common time series task models based on DL include a one-dimensional convolutional neural network (1DCNN) evolved from CNN, LSTM introduced by gated memory unit, Transformer based on AM, etc., and other models developed further, such as Conformer [], Attention-enhanced LSTM [], FNet [], GRU [], and TCN []. As a special form of CNN, 1DCNN is suitable for processing one-dimensional data, such as sequence data, time series data, and text data. It has the advantage of being able to capture local features in sequence data and to handle long sequence data, but it also requires a large amount of data to train and is prone to overfitting. As a variant of RNN, LSTM can handle long-distance dependencies in sequence data and has the advantage of preventing gradient vanishing and exploding problems, but its disadvantages include a long training time and a large number of parameters. Through its attention-based mechanism, Transformer can effectively deal with long-distance dependence problems with a faster training speed and fewer parameters, which is especially suitable for large-scale data processing. Conformer combines the advantages of Transformer and convolutional networks to enhance the performance of the model on sequence data. FNet optimizes the processing speed and efficiency by introducing a fast Fourier transform. GRU, as a simplified version of LSTM, reduces the number of parameters and improves the operation efficiency. Attention-enhanced LSTM improves the recognition ability of key sequence features by introducing the AM. TCN provides excellent processing capabilities for long sequence data through its unique extended convolution structure, which is especially suitable for processing data with complex time dependencies. Considering the characteristics of pressure data in a raw water pipeline and the need for leakage detection, Transformer is selected as the main model for this study due to its strong ability to deal with long sequence dependencies, high training efficiency, and few parameters.
2.2.1. Transformer Based on Shift Window Method
Transformer relies entirely on AM to represent global dependencies between inputs and outputs and has powerful sequence global modeling capabilities. A typical Transformer model has an encoder–decoder structure, and only the Transformer encoder part is used for leak detection. The encoder consists of N identical layers, each mainly composed of a multi-head self-attention layer and a feedforward neural network []. For pressure sensors installed on raw water pipelines, the NPW signals they collect are usually a long sequence of tens of thousands of sampling points, and standard Transformer often overflows its memory when processing long sequences. Moreover, for the long-distance pipeline, when a leakage occurs, even if the leak location is different, there may be many points with the same leak amount and other features which may not have a correlation among themselves. However, traditional vector mapping maps these points to the same embedding vector, thereby affecting the calculation of attention weight. To solve this problem, this paper introduces a SwinI method in the data processing process of Transformer, and its encoder architecture is shown in Figure 7. Firstly, the NPW is processed by moving average [], and the length of the data sequence is adjusted to L1. A sliding window with a fixed length is then used to traverse the entire time series. In this process, the short sequence inside the window is treated as an embedded vector of length L2, so the window length is L1/L2.

Figure 7.
Encoder architecture.
A specific example illustrating the process of the algorithm implementation is shown in Figure 8. There is a set of raw data of varying lengths, which is reduced to 4096 by moving average, and the sequence is traversed with a sliding window of length 8. The short sequence with a length of 8 in the window is defined as an embedded vector, and the final sequence is reduced to an embedded vector of dimension 512 × 8. This processing method can effectively shorten the length of the NPW signal data sequence while preserving the fine-grained features of the entire sequence and important information in the data, providing more representative inputs for subsequent analysis and training.

Figure 8.
Shift window input.
In order to help the model understand the relative positions and orders of different elements in the sequence and better capture the signal features in the sequence, this paper adds position coding to the NPW signals after SwinI processing and then transforms them into different query matrices Q, key matrices K, and value matrices V:
where Wq, Wk, and Wv are all learnable weight matrices, and x is the embedded vector obtained after SwinI. The attention weight matrix is calculated by three eigenmatrices using dot product AM, as shown in Equation (4). Next, the attention weights calculated by multi-head self-attention sublayers are concatenated and the output is H, as shown in Equation (5). Then, H is regularized using the residual connection and layer normalization operations, which are fed into a feedforward neural network. A feedforward neural network consists of two fully connected layers, each of which is activated using the Gated Linear Unit (GLU) []. The final output is obtained by residual connection and layer standardization.
where dk represents the dimensions of the key matrix K, matrix Wo is introduced as a learnable information fusion weight matrix, headi (i = 1…h) represents the output of the single-headed attention layer, and h is the number of heads, which is determined by the complexity of the task.
2.2.2. Parameter-Based Transformer–TL
In order to verify the effectiveness of the algorithm, in addition to building a simulation platform and collecting a large amount of test data to train the model, the leakage data of real water supply pipelines are also very important. However, as mentioned earlier, there are rarely frequent leaks in real water pipelines at present. Due to factors related to urban water supply, conducting numerous leakage simulation tests on operational water pipelines is impractical, resulting in limited availability of real leakage data. This results in the Transformer encoder being unable to fully learn the effective features of the actual dataset. In this case, it is particularly important to adopt a Transformer-based TL strategy, which can effectively solve the problem of insufficient data and improve the performance and applicability of the model.
The implementation of TL provides flexibility and diversity through its four methods []. Among these, parameter-based TL has been widely proven to have excellent performance in various scenarios. This method utilizes the similarity between different datasets by learning appropriate feature mapping parameters from one dataset and applying them to another target dataset. This directly affects the generalization ability and learning effect of the model. In pipeline leak detection, the TL’s feature extraction ability and a priori knowledge can be used to improve detection accuracy and efficiency. Therefore, to achieve efficient and accurate pipeline leak detection tasks, this paper adopts a parameter-based TL method. The algorithm execution framework is shown in Figure 9. The specific process is as follows:

Figure 9.
Parameter-based transformer–TL training.
- The data collected on the simulation leak pipeline in the laboratory is defined as the source dataset. The data collected on the actual raw water pipeline is defined as the target dataset. The detailed division of the two datasets is described in Section 2.1.3. All data are preprocessed using moving average and SwinI;
- The Transformer encoder is trained on the training set in the source dataset and completes its pre-training when the loss function converges;
- The pre-trained model fine tunes the validation set in the target dataset, and once the loss function converges to the validation set, the fine-tuning process is complete;
- After fine-tuning, the model is evaluated on the test set in the target dataset to validate its classification ability and ultimately achieve effective classification of the data.
TL strategies are employed to enhance the model’s robustness across diverse datasets and real-world environments. Initially, the model is pre-trained on a laboratory-generated dataset, enabling it to learn a comprehensive set of leakage features. Subsequently, the pre-trained model is fine-tuned using a limited amount of real pipeline leakage data. This two-step approach allows the model to effectively adapt to environmental variations and equipment differences encountered in practical applications, thereby improving its overall performance and applicability in real-world scenarios.
2.3. Leak Localization Method
2.3.1. NPW Principle
Near the leakage point, a sudden decrease in liquid velocity creates a large negative pressure region where liquid molecules transfer energy through collisions and vibrations, forming a wavefront region of the NPW, and the pressure shows a sharp drop. The point where pressure suddenly drops is called the NPW inflection point. In the region far from the leakage point, liquid molecules begin to fill the space where the flow rate decreases, forming a post-wave region of the NPW, where there is a small negative pressure. This process continues to propagate similar to a wave along both ends of the pipeline. By using this inflection point, the time difference for NPW propagation to the two sensors can be calculated. As shown in Figure 10, when the pipe length L and the wave velocity v of the NPW are known, the distance between the leak point and sensor A can be calculated according to Equation (6) [].

Figure 10.
Positioning schematic diagram.
The pipe length L is a measurable quantity. Therefore, the wave speed v and the time difference ∆t of the NPW are the key factors affecting the localization of the leak. Among them, v is related to the characteristics of the pipeline and the water itself, which needs to be calibrated according to the actual situation. Usually, the empirical wave speed is 1000–1200 m/s []. ∆t can be calculated by the inflection point of the NPW pressure drop.
2.3.2. Signal Difference Localization Method
The leakage signals captured by upstream and downstream sensors usually have a time-delay relationship, and they exhibit similar signal characteristics. These two signals are subtracted to obtain a difference signal, and the inflection point is an extremum in the difference signal. As long as an inflection point of the NPW signal is extracted, the correlation between upstream and downstream signals can be used to find the information of another inflection point. Considering that the signal undergoes a brief linear change during a leakage event, and the Pearson correlation coefficient [] is very suitable for measuring the linear relationship between two sequences, in order to accurately locate other NPW inflection points, a correlation traversal method based on the Pearson correlation coefficient is designed in this paper.
Specific implementation steps are as follows:
- Noise reduction of NPW signal. A large amount of noise will inevitably affect the positioning accuracy of the inflection point, so the signal should be denoised first. In this paper, the wavelet denoising method [] is used.
- For ease of calculation, the distance between the leak point and the two sensors is first determined through cross-correlation analysis. The leak point closer to the sensor is defined as signal DS, and the other signal is defined as US.
- Traverse the signal DS and signal US, locate the lowest horizontal coordinates and , subtract the two NPW signals, and obtain a difference signal named Fuse.
- In Fuse, calculate the average of all points from the initial moment to , and set the last maximum value greater than the average in the entire signal data as the inflection point of the DS signal, named .
For US, since lags behind the moment when the inflection point occurs, the signal between point and point in DS is recorded as M. The point from to in US is intercepted as signal N. The signal N is traversed, the signal of the same length as M is intercepted backward, and the Pearson correlation coefficient between it and M is calculated. Then, the point with the largest correlation coefficient is the inflection point of the signal US.
In order to verify the effectiveness of the proposed inflection point extraction algorithm, this paper constructs US and DS leakage simulation signals through the set of Equation (7). Inflection points are set at 300 and 250, and a sinusoidal function is used to simulate the normal fluctuation of the pipeline, while a straight line is used to simulate the linear change when the leak occurs. The downstream signal simulates the leakage signal collected by the sensor closer to the leak point.
Figure 11 shows the positioning results of the simulation signals, which are the DS signal, US signal, Fuse signal and Pearson correlation coefficient, from top to bottom. The red flashing signal in the DS signal is the intercept signal M, and the blue flashing signal in the US signal is the intercept signal N. The inflection point of the DS signal is positioned at 250 in the fusion signal Fuse, and the inflection point of the US signal is positioned at 300, where the Pearson correlation coefficient is the maximum, through correlation traversal. The results show that the proposed algorithm can precisely locate the inflection point in the simulation signals.

Figure 11.
Simulation signal positioning results.
As can be seen from Equation (6), the accurate calculation of time delay is crucial for the accurate localization of the leakage point. Obviously, the information of time delay is not only represented by the inflection point but is contained in the whole signal. Figure 12 shows the local amplification of the NPW signal caused by a leakage in the raw water pipeline, where the black area is the normal pressure fluctuation in the pipeline. The red area is the NPW caused by the leakage. The green area is mainly the pressure wave after the automatic adjustment of the system pressure in the water supply pipeline. Obviously, all points in the red band contain the same information of the pressure drop as the inflection points. Using these points can enrich the characteristics of the NPW pressure drop and improve the accuracy of inflection point positioning. Based on this idea, after finding the initial inflection point using the correlation traversal method, a delay-based local optimization method is proposed in this paper. The implementation process is as follows:

Figure 12.
Delay caused by different causes.
Noise reduction of NPW signal. A large amount of noise will inevitably affect the positioning accuracy of the inflection point, so the signal should be denoised first. In this paper, the wavelet denoising method [] is used.
Between the two different sample points, the slope of the line they form is not the same. To increase the difference of slope values, the initial inflection points of US and DS, named and , are uniformly transformed to obtain and .
In the US signal, iterate over all points between and lowest horizontal coordinates bottn, and calculate their slope with to get the slope list listn. The slope list listm of the DS signal can also be obtained.
Iterate over each point in listn, and at the same time, the point with the smallest difference from the current listn traversal point is found in listm, and the difference between these two points is defined as a delay. After completing a listn traversal, a listlay list of the same length as the listn is obtained.
Calculate the average value of listlay and obtain the optimized delay timelay. The final ∆t is obtained from this delay value.
The location method based on signal difference relies on waveform features, and its robustness is primarily dependent on effective denoising. However, by using correlation traversal, the algorithm optimizes time delay information while searching for all possible delay points, thereby enhancing the robustness of the localization process.
3. Results
3.1. Leakage Detection Results and Analysis
3.1.1. Experimental Environment and Parameter Configuration
The model in this paper is built on Pycharm with the Pytorch library, and all experiments are trained and tested on an NVIDIA GeForce GTX 1650 GPU. The model adopts a one-layer encoder. The number of multiple heads h is four. The d_model is set to eight. The loss function of the training model is the cross-entropy loss function, the optimizer adopts Adam, the initial learning rate is adopted as 1 × 10−4, the learning rate is adjusted by cosine annealing, T_max is set to 500, and the batch size is set to 8, with 50 rounds of training for the first time and 500 rounds of training for the second time.
3.1.2. Evaluation Metrics and Datasets
To verify the performance of the model, the validation experiments are conducted using the test sets of the raw water pipeline dataset and the experimental pipeline dataset mentioned in Table 4, and the trained model is evaluated by combining multiple metrics. Leak detection is a classification task. To evaluate the model’s performance in the leak detection task, Accuracy (Acc), Precision (P), Recall (R), F1 Score (F1), and Confusion matrix are used as the evaluation indicators. For the comparison among the different models, the false negative rate (FNR) and false positive rate (FPR) are used as evaluation indicators. The calculation formulas are shown in Equations (8)–(13) and Table 5:
where TP is true positive, indicating the number of positive samples correctly classified; FN is false negative, indicating the number of negative samples incorrectly classified; FP is false positive, indicating the number of positive samples misclassified; and TN is true negative, indicating the number of negative samples that have been correctly classified.

Table 5.
Confusion matrix calculation method.
3.1.3. Ablation Experiment
To comprehensively assess the impact of various technological combinations on the effectiveness of the leak detection algorithms, an ablation study is meticulously designed and executed. This study scrutinizes the efficacy of employing the Transformer model, TL, and SwinI technology by comparing their performance across different combinations on a dataset designated as the raw water pipeline dataset. The results of this analysis are systematically presented in Table 6, which delineates two distinct datasets: B1 represents the raw water pipeline dataset, and B2 represents the experimental pipeline dataset. The results of the B1 dataset indicate that when the Transformer model is deployed alone, it cannot reach the required performance thresholds, and the Precision, Recall, and F1 score indicators are 0. This result indicates that the model is clearly unable to effectively extract leakage features from a limited dataset. However, the integration of TL leads to significant improvements in all the performance metrics, elevating them to 100%. This substantial improvement highlights the pivotal role of TL in augmenting the adaptability of the model to smaller datasets and in elevating the efficiency of the learning process.

Table 6.
Ablation experiment, ✔ indicates the adopted technique.
Furthermore, the analysis of the B2 dataset, which contains a larger amount of data, shows that using only the standard Transformer can generate high-performance metrics, with over 99% in Precision, Recall, and F1 score. This performance attests to the formidable learning capabilities of the Transformer when ample data support is available. Subsequently, the incorporation of SwinI technology marginally advances these performance indicators. Precision is improved by 0.27%, and the F1 score is increased by 0.13%. Although these increments are not significant, they validate the effectiveness of SwinI technology in improving the model’s feature extraction capability. The results from this experiment not only underscore the critical influence of the data volume on the model performance but also illuminate the potent capabilities of TL and SwinI technology in enhancing leak detection efficacy. Specifically, TL significantly ameliorates model performance in scenarios constrained by data availability, while the addition of SwinI technology further optimizes the model’s proficiency in feature extraction, even yielding slight performance enhancements in environments characterized by data abundance.
3.1.4. Comparative Experiment
To further validate the performance of the algorithm, comparative experiments on various algorithms are conducted in this paper. The strategy for evaluating the model performance includes the following: firstly, training the model on an experimental pipeline dataset and evaluating it; secondly, continuing training the pre-trained model using the experimental pipeline dataset after a full parameter transfer; and thirdly, the final evaluation is conducted on its test set.
Table 7 provides the detailed quantitative evaluation results of the false negative rate (FNR) and the false positive rate (FPR) for the two datasets. The Transformer model integrated with SwinI technology achieves the lowest FNR and FPR on both datasets, with an FNR of 0%, demonstrating its excellent leak detection capability and extremely low missed detection rate. In contrast, the other models exhibit significant variability in performance.

Table 7.
Comparison experiment of FPR and FNR of the models.
On the experimental pipeline dataset with a larger amount of data, the FNRs of LSTM and GRU are 3.01% and 4.11%, respectively, and the corresponding FPRs are 3.59% and 5.64%, respectively. The results indicate that these models are prone to missed detections and false alarms. Although the TCN model has the same FNR as LSTM (3.01%), it exhibits the highest FPR (13.85%), which may limit its practical utility due to a high false alert rate. The models that incorporate AM, such as Transformer, Conformer, and Attention-enhanced LSTM, as well as Transformer-based Fnet, perform well in controlling missed detections, with FNRs below 1% and FPRs of approximately 1%. However, the Attention-enhanced LSTM is slightly higher than this range, with FPR of 3.08%. It is worth noting that when there is sufficient data support, 1DCNN demonstrates an excellent leak detection efficiency, with an impressively low FNR of 0.27% and an FPR of 1.03%.
In the small-scale raw water pipeline datasets, despite a full parameter transfer, the limited amount of data still poses a significant challenge to the model performance. However, Transformer integrated with SwinI maintains optimal performance, with the FNR and FPR both at 0%. In contrast, the models such as Conformer and GRU have a higher FNR of 16.67%, while LSTM and TCN have particularly poor performances, with the FNRs reaching 83.33%. Additionally, due to insufficient data, the FNR of the previously effective 1DCNN increases to 33.3%. Fnet and Attention-enhanced LSTM also show higher false alarm rates, both at 5.13%. Throughout the experiment, the performance of the standard Transformer is very close to that of Transformer integrated with SwinI, especially in the raw water pipeline dataset, where both achieve 0% FNRs and FPRs. However, in a larger experimental pipeline dataset, the integration of SwinI reduces the FPR from 1.03% to 0.51%, demonstrating an enhanced performance. In addition, it also demonstrates a good detection performance, as shown in the analysis results of the confusion matrix of the model in Figure 13. Figure 13a shows the confusion matrix of the test set of the experimental pipeline dataset, and Figure 13b shows the confusion matrix of the test set of the raw water pipeline dataset.

Figure 13.
Confusion matrices. (a) Confusion matrix of the model on the experimental pipeline dataset; (b) confusion matrix of the model on the raw water pipeline dataset.
Next, the complexity and efficiency of the four models with the best performance in the comparison experiments are analyzed. The number of model training parameters (Params) and the number of floating-point operations (FLOPs) are chosen as the complexity evaluation metrics, while the model training time is used as the efficiency evaluation metric. The experimental pipeline dataset is analyzed, and the specific results are shown in the Table 8. Compared with the single Transformer network, the Transformer network combined with SwinI has little difference in the number of Params and FLOPs of the model, but the training time is 2% shorter than that of the traditional Transformer. Compared with the Conformer model, the Transformer network combined with SwinI reduces the number of Params by 2.4% and FLOPs by 3.5%, but it increases the training time slightly (by only 0.8%). Compared with the Attention-enhanced LSTM model, although the parameter number of the latter is the least among the four models, its FLOPs are much higher than the other models, reaching 41.73 × 10⁷, and the training time is also the longest, at 1444 s. The analysis results indicate that, while ensuring the minimum FNR, the Transformer network combined with SwinI not only maintains a low model complexity but also exhibits a high training efficiency.

Table 8.
Model complexity analysis.
3.2. Leak Localization Results and Analysis
In February 2023, a valve opening simulation leakage experiment was conducted on a real raw water pipeline in Shanghai, and we collected 5 sets of leakage data, as mentioned in Section 2.1.1. The distance between the upstream pressure sensor and the downstream pressure sensor is 5891 m. The distance between the simulated leak point and the upstream pressure sensor is 4981 m, and the distance between the simulated leak point and the downstream pressure sensor is 910 m.
Taking the valve opening of 60° as an example, the results of the leak localization are shown in Figure 14, where the downstream NPW signal, the upstream NPW signal, the fusion signal, and the Pearson traversal signal are presented from top to bottom. From the figure, it can be seen that in the real pipeline pressure signal, the pressure fluctuation caused by a non-leakage is similar to the pressure drop caused by a leakage, which can easily lead to a false detection. The method proposed in this paper can eliminate the interference of pressure fluctuation in real pipelines, correctly locate the inflection point of the NPW, and it has a strong practical significance for improving the positioning accuracy of a leakage point.

Figure 14.
The inflection point located by the proposed method.
In this study, the NPW velocity is calibrated to 1169.33 m/s, and the positioning method based on the VMD in the literature [] is compared with the Signal Difference Method (SDM) introduced in this paper. Traditional Wavelet Threshold Denoising (WTD) and its improved method [] are adopted. The results are shown in Table 9. When analyzing Absolute Error (AE), positive and negative values are used to represent the deviation relative to the true leakage point, where positive values indicate that the calculated value is located upstream of the true leakage point, and negative values indicate the opposite.

Table 9.
Localization experiment.
The data show that the localization errors associated with the VMD-based method are large, with relative errors (RE) ranging from a minimum of 4.26% to a maximum of 7.80%. Conversely, the SDM method, benefiting from its independence from the denoising process and the improvements therein, demonstrates progressively reduced localization errors. Among the five leak areas analyzed, the relative localization errors of the SDM method range from a maximum of 3.14% to a minimum of 0.42%, with the minimum absolute localization error being merely 25 m.
These findings underscore the potential of the SDM method to achieve excellent localization performance with the improvement of denoising techniques. The adaptive Wavelet Threshold Denoising method significantly reduces noise interference in the signal by using a more accurate threshold adjustment and wavelet coefficient processing. This primarily involves the application of soft thresholding to the wavelet coefficients and dynamically adjusting the thresholds to adapt to the specific characteristics of the signal, thereby more effectively eliminating the noise while preserving the essential signal features. The continuous optimization of the denoising process enables the SDM method to achieve higher positioning accuracy, which has been clearly confirmed by the experimental results.
The experimental results also indicate that when the pressure fluctuation in the signal is too small (for example, when the valve opening is 22.5°), the proposed localization method cannot effectively detect leaks. However, for signals with a significant pressure drop caused by a leakage (such as simulated leaks with valve openings greater than 45°), the method demonstrates a strong adaptability and robustness, and it can accurately locate the leakage points even under varying leak scale conditions.
4. Discussion
The research results of this paper demonstrate that the Transformer model exhibits excellent performance in leak detection tasks. Especially in real-world scenarios with limited leak data, this model achieves high-precision leak detection by utilizing TL and fine-tuning of the experimental pipeline data. This confirms the effectiveness of TL, enabling the model to not only perform well on the experimental data, but also to effectively generalize to real-world data. In addition, the proposed SwinI method significantly enhances the learning ability of the model. By improving the extraction of local features, SwinI allows the model to better capture subtle patterns in the time series data. This method is not only effective for leak detection but also has broad applicability, demonstrating the potential for use in other time series analysis tasks in various domains.
Regarding leak localization, the proposed method performs well in leak simulation experiments with significant pressure drops, maintaining low localization errors and thus validating the accuracy and robustness of the method. However, this method has difficulty locating small leakage conditions without a significant pressure drop, which is also a drawback of this method. To address this issue, future research will explore multimodal leak detection by fusing the NPW with acoustic emission signals or other types of signals to enhance the detection of small leaks. Multimodal fusion is expected to utilize complementary information from different signal sources, thereby improving the ability to capture and identify subtle leak features. In addition, the localization algorithm will be further optimized to achieve high-precision leak localization under various operating conditions. Moreover, simulation experiments will be the focus of future work to validate and strengthen the theoretical effectiveness of the proposed method. Through additional simulation experiments, further testing of the model’s performance under different conditions and validation of its robustness and applicability will be conducted. This will provide a more solid theoretical and data-driven foundation for further algorithmic improvements.
5. Conclusions
In this paper, based on Transformer and TL, a novel method for leak detection is proposed, and a new leak localization method is introduced. The main conclusions are as follows:
- In order to solve the problem of excessively long NPW sequences collected in experiments, it is necessary to reduce the sequences input into the model. A shift window input method is proposed to map the sequences into embedding vectors. The experimental results show that this method can effectively preserve the fine-grained features of the original sequences while shortening the sequences, thereby improving the final performance of the model;
- A leak detection method based on Transformer–TL is proposed. The experimental results indicate that even with limited data, the model can still accurately classify leakage data and demonstrate good generalization ability;
- Based on the principle of NPW localization, significant inflection point information can be obtained by subtracting the two signals. Therefore, a signal difference localization method is proposed and validated through simulation experiments. The results indicate that this method can accurately locate the inflection point in the simulation signal;
- The main reasons for the pressure fluctuation of the leakage data are analyzed, and a local optimization method of time delay is proposed. The method optimizes the calculation of the time delay by using the fluctuation points caused by the leakage. The experimental results show that the relative error of the positioning is all within 3.14% on a raw water pipeline with a length of 5891 m.
Author Contributions
Conceptualization: Z.J.; methodology: J.C. and Z.J.; software: J.C.; formal analysis: J.C. and Z.J.; investigation: J.C., H.W. and X.Z.; writing—original draft preparation: J.C.; writing—review and editing: J.C., Z.J. and X.Z. All authors have read and agreed to the published version of the manuscript.
Funding
This work was supported by the Natural Science Foundation of Sichuan Province: “Research on key technologies of leakage detection and location of urban water supply pipeline” (Grant No. 24NSFSC1460) and the “Research on Accurate Location and Alarm of the Leakage Source of the Raw Water Pipeline” (Grant No. 202291).
Data Availability Statement
The data that support the findings of this study are available from the corresponding author upon reasonable request.
Conflicts of Interest
The authors declare no conflicts of interest.
References
- Ni, S.H.; Huang, Y.H.; Lo, K.F.; Lin, D.C. Buried pipe detection by ground penetrating radar using the discrete wavelet transform. Comput. Geotech. 2010, 37, 440–448. [Google Scholar] [CrossRef]
- Meng, L.; Yuxing, L.; Wuchang, W.; Juntao, F. Experimental study on leak detection and location for gas pipeline based on acoustic method. J. Loss Prev. Process Ind. 2012, 25, 90–102. [Google Scholar] [CrossRef]
- Lim, K.; Wong, L.; Chiu, W.K.; Kodikara, J. Distributed fiber optic sensors for monitoring pressure and stiffness changes in out-of-round pipes. Struct. Control Health Monit. 2016, 23, 303–314. [Google Scholar] [CrossRef]
- Li, H.; Xiao, D.Y.; Zhao, X. Morphological filtering assisted field-pipeline small leakage detection. In Proceedings of the 2009 IEEE International Conference on Systems, Man and Cybernetics, San Antonio, TX, USA, 11–14 October 2009; pp. 3769–3774. [Google Scholar]
- Li, L.; Tan, Y.; Xu, W.; Ni, Y.; Yang, J.; Tan, D. Fluid-induced transport dynamics and vibration patterns of multiphase vortex in the critical transition states. Int. J. Mech. Sci. 2023, 252, 108376. [Google Scholar] [CrossRef]
- Li, L.; Lu, B.; Xu, W.; Wang, C.; Wu, J.; Tan, D. Dynamic behaviors of multiphase vortex-induced vibration for hydropower energy conversion. Energy 2024, 308, 132897. [Google Scholar] [CrossRef]
- Li, Z.; Zhang, H.; Tan, D.; Chen, X.; Lei, H. A novel acoustic emission detection module for leakage recognition in a gas pipeline valve. Process Saf. Environ. Prot. 2017, 105, 32–40. [Google Scholar] [CrossRef]
- Li, S.; Song, Y.; Zhou, G. Leak detection of water distribution pipeline subject to failure of socket joint based on acoustic emission and pattern recognition. Measurement 2018, 115, 39–44. [Google Scholar] [CrossRef]
- Yan, Y.; Le, X.; Yang, T.; Yu, H. Interpretable PCA and SVM-Based Leak Detection Algorithm for Identifying Water Leakage Using SAR-Derived Moisture Content and InSAR Closure Phase. IEEE J. Sel. Top. Appl. Earth Obs. Remote Sens. 2024, 17, 15136–15147. [Google Scholar] [CrossRef]
- Liu, P.; Xu, C.; Xie, J.; Fu, M.; Chen, Y.; Liu, Z.; Zhang, Z. A CNN-based transfer learning method for leakage detection of pipeline under multiple working conditions with AE signals. Process Saf. Environ. Prot. 2023, 170, 1161–1172. [Google Scholar] [CrossRef]
- Ruan, D.; Wang, J.; Yan, J.; Gühmann, C. CNN parameter design based on fault signal analysis and its application in bearing fault diagnosis. Adv. Eng. Inform. 2023, 55, 101877. [Google Scholar] [CrossRef]
- Zhang, X.; Shi, J.; Yang, M.; Huang, X.; Usmani, A.S.; Chen, G.; Fu, J.; Huang, J.; Li, J. Real-time pipeline leak detection and localization using an attention-based LSTM approach. Process Saf. Environ. Prot. 2023, 174, 460–472. [Google Scholar] [CrossRef]
- Liu, R.; Zayed, T.; Xiao, R. Advanced acoustic leak detection in water distribution networks using integrated generative model. Water Res. 2024, 254, 121434. [Google Scholar] [CrossRef] [PubMed]
- Rajasekaran, U.; Kothandaraman, M. A Novel Custom One-Dimensional Time-Series DenseNet for Water Pipeline Leak Detection and Localization Using Acousto-Optic Sensor. IEEE Access 2024, 12, 7966–7973. [Google Scholar] [CrossRef]
- Yan, W.; Liu, W.; Zhang, Q.; Bi, H.; Jiang, C.; Liu, H.; Wang, T.; Dong, T.; Ye, X. Multi-source Multi-Modal Feature Fusion for Small Leak Detection in Gas Pipelines. IEEE Sens. J. 2023, 24, 1857–1865. [Google Scholar] [CrossRef]
- Liang, J.; Liang, S.; Ma, L.; Zhang, H.; Dai, J.; Zhou, H. Leak detection for natural gas gathering pipeline using spatio-temporal fusion of practical operation data. Eng. Appl. Artif. Intell. 2024, 133, 108360. [Google Scholar] [CrossRef]
- Tasdelen, A.; Sen, B. A hybrid CNN-LSTM model for pre-miRNA classification. Sci. Rep. 2021, 11, 14125. [Google Scholar] [CrossRef] [PubMed]
- Lipton, Z.C.; Berkowitz, J.; Elkan, C. A critical review of recurrent neural networks for sequence learning. arXiv 2015, arXiv:1506.00019v4. [Google Scholar]
- Vaswani, A.; Shazeer, N.; Parmar, N.; Uszkoreit, J.; Jones, L.; Gomez, A.N.; Kaiser, L.; Polosukhin, I. Attention Is All You Need. arXiv 2017, arXiv:1706.03762. [Google Scholar]
- Li, P.; Wang, X.; Jiang, C.; Bi, H.; Liu, Y.; Yan, W.; Zhang, C.; Dong, T.; Sun, Y. Advanced transformer model for simultaneous leakage aperture recognition and localization in gas pipelines. Reliab. Eng. Syst. Saf. 2024, 241, 109685. [Google Scholar] [CrossRef]
- Pan, S.J.; Yang, Q. A survey on transfer learning. IEEE Trans. Knowl. Data Eng. 2009, 22, 1345–1359. [Google Scholar] [CrossRef]
- Park, S.; Yeo, D.; Bae, J.H. Unsupervised Learning–Based Plant Pipeline Leak Detection Using Frequency Spectrum Feature Extraction and Transfer Learning. IEEE Access 2024, 12, 88939–88949. [Google Scholar] [CrossRef]
- Adegboye, M.A.; Fung, W.K.; Karnik, A. Recent advances in pipeline monitoring and oil leakage detection technologies: Principles and approaches. Sensors 2019, 19, 2548. [Google Scholar] [CrossRef]
- Liu, B.; Jiang, Z.; Nie, W.; Ran, Y.; Lin, H. Research on leak location method of water supply pipeline based on negative pressure wave technology and VMD algorithm. Measurement 2021, 186, 110235. [Google Scholar] [CrossRef]
- Chen, X.; Li, X.; Fu, B.; Hou, X.; Gan, W.; Huang, C. FBG strain sensing technology-based gas pipeline leak monitoring and accurate location. Eng. Fail. Anal. 2024, 159, 108102. [Google Scholar] [CrossRef]
- Parkes, L.; Fulcher, B.; Yucel, M.; Fornito, A. An evaluation of the efficacy, reliability, and sensitivity of motion correction strategies for resting-state functional MRI. Neuroimage 2018, 171, 415436. [Google Scholar] [CrossRef]
- Gulati, A.; Qin, J.; Chiu, C.C.; Parmar, N.; Zhang, Y.; Yu, J.; Han, W.; Wang, S.; Zhang, Z.; Wu, Y. Conformer: Convolution-augmented transformer for speech recognition. arXiv 2020, arXiv:2005.08100. [Google Scholar]
- Liu, B.; Lane, I. Attention-based recurrent neural network models for joint intent detection and slot filling. arXiv 2016, arXiv:1609.01454. [Google Scholar]
- Lee-Thorp, J.; Ainslie, J.; Eckstein, I.; Ontanon, S. FNet: Mixing tokens with fourier transforms. arXiv 2021, arXiv:2105.03824. [Google Scholar] [CrossRef]
- Bai, S.; Kolter, J.Z.; Koltun, V. An empirical evaluation of generic convolutional and recurrent networks for sequence modeling. arXiv 2018, arXiv:1803.01271. [Google Scholar]
- Cho, K.; Van Merriënboer, B.; Gulcehre, C.; Bahdanau, D.; Bougares, F.; Schwenk, H.; Bengio, Y. Learning phrase representations using RNN encoder-decoder for statistical machine translation. arXiv 2014, arXiv:1406.1078. [Google Scholar]
- Yang, S.Y.; Jhong, B.C.; Jhong, Y.D.; Tsai, T.T.; Chen, C.S. Long short-term memory integrating moving average method for flood inundation depth forecasting based on observed data in urban area. Nat. Hazards 2023, 116, 2339–2361. [Google Scholar] [CrossRef]
- Dauphin, Y.N.; Fan, A.; Auli, M.; Grangier, D. Language modeling with gated convolutional networks. Int. Conf. Mach. Learn. 2017, 70, 933–941. [Google Scholar]
- Pan, S.; Xu, Z.; Li, D.; Lu, D. Research on detection and location of fluid-filled pipeline leakage based on acoustic emission technology. Sensors 2018, 18, 3628. [Google Scholar] [CrossRef]
- Lang, X.; Li, P.; Guo, Y.; Cao, J.; Lu, S. A multiple leaks’ localization method in a pipeline based on change in the sound velocity. IEEE Trans. Instrum. Meas. 2019, 69, 5010–5017. [Google Scholar] [CrossRef]
- Zhu, Z.G.; Zhan, K.X.; Liu, M.K. Feature Selection Algorithm Based on Reinforcement Learning. Comput. Syst. Appl. 2018, 27, 214–218. [Google Scholar]
- Donoho, D.L.; Johnstone, I.M. Ideal spatial adaptation by wavelet shrinkage. Biometrika 1994, 81, 425–455. [Google Scholar] [CrossRef]
Disclaimer/Publisher’s Note: The statements, opinions and data contained in all publications are solely those of the individual author(s) and contributor(s) and not of MDPI and/or the editor(s). MDPI and/or the editor(s) disclaim responsibility for any injury to people or property resulting from any ideas, methods, instructions or products referred to in the content. |
© 2025 by the authors. Licensee MDPI, Basel, Switzerland. This article is an open access article distributed under the terms and conditions of the Creative Commons Attribution (CC BY) license (https://creativecommons.org/licenses/by/4.0/).