Analytical Model for Three-Dimensional Reactive Transport of Coexisting Chlorinated Solvent Contaminants in Groundwater Under Time-Varying Source Discharge Concentrations Induced by Remediation Efforts
Abstract
1. Introduction
2. Mathematical Model
3. Results and Discussion
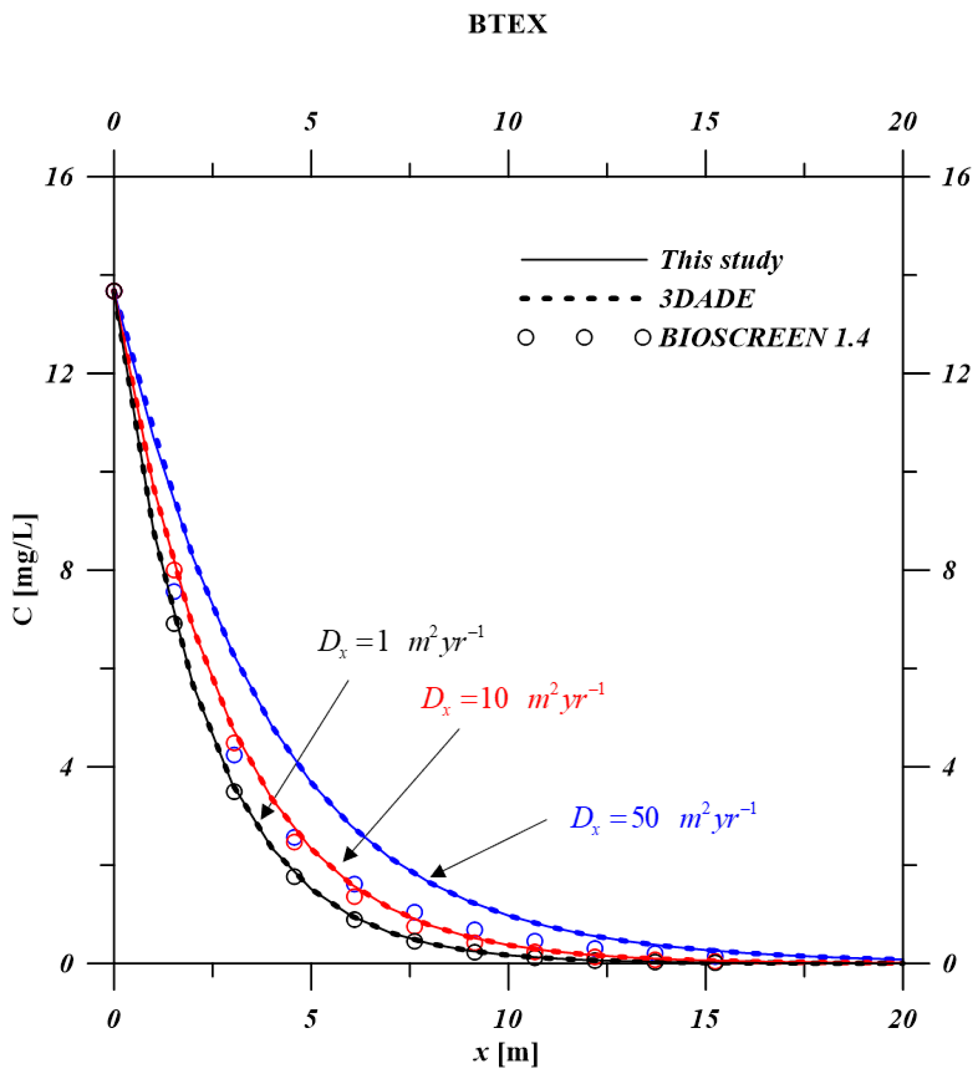
3.1. Scenario 1
3.2. Scenario 2
3.3. Scenario 3
3.4. Scenario 4
3.5. Model Verification and Applicability
- Scenario 1 examined the transport of a single contaminant under a constant source concentration. Comparison with 3DADE confirmed that the developed solution accurately reproduces plume migration, particularly for large longitudinal dispersion, and highlights the influence of dispersion coefficients on model predictions.
- Scenario 2 involved a four-member radionuclide decay chain under an exponentially decaying source function. The results closely match the CHAIN code solutions, demonstrating that the model can reliably simulate multiple species undergoing sequential decay processes.
- Scenario 3 focused on a five-species chlorinated solvent degradation chain with exponentially decaying source concentrations. Comparisons with published analytical model show excellent agreement and illustrate the impact of source decay on the peak concentrations of both parent and daughter species, emphasizing the importance of accounting for time-dependent source depletion in multi-species transport.
- Scenario 4 simulated four chlorinated solvents with piecewise constant source concentrations, verified against a 3D analytical model. The results confirm that the developed model can accurately capture site-specific source variations over time, highlighting its practical applicability for field scenarios where source concentrations can be monitored and updated.
4. Conclusions
Author Contributions
Funding
Data Availability Statement
Conflicts of Interest
Appendix A
Appendix B
References
- van Genuchten, M.T.; Alves, W.J. Analytical Solutions of the One-Dimensional Convective–Dispersive Solute Transport Equation; Technical Bulletin No. 1661; U.S. Department of Agriculture: Washington, DC, USA, 1982; p. 151.
- Leij, F.J.; Skaggs, T.H.; van Genuchten, M.T. Analytical solution for solute transport in three-dimensional semi-infinite porous media. Water Resour. Res. 1991, 27, 2719–2733. [Google Scholar] [CrossRef]
- Park, E.; Zhan, H. Analytical solutions of contaminant transport from finite one-, two, three-dimensional sources in a finite-thickness aquifer. J. Contam. Hydrol. 2001, 53, 41–61. [Google Scholar] [CrossRef] [PubMed]
- Zhan, H.; Wen, Z.; Gao, G. An analytical solution of two-dimensional reactive solute transport in an aquifer–aquitard system. Water Resour. Res. 2009, 45, W10501. [Google Scholar] [CrossRef]
- Pérez Guerrero, J.S.; Skaggs, T.H. Analytical solution for one-dimensional advection-dispersion transport equation with distance-dependent coefficients. J. Hydrol. 2010, 390, 57–65. [Google Scholar] [CrossRef]
- Sim, Y.; Chrysikopoulos, C.V. Three-dimensional analytical models for virus transport in saturated porous media. Transp. Porous Media 1998, 30, 87–112. [Google Scholar] [CrossRef]
- Ogata, A.; Banks, R.B. A Solution of the Differential Equation of Longitudinal Dispersion in Porous Media; Professional Paper 411-A; U.S. Geological Survey: Washington, DC, USA, 1961.
- Aziz, C.E.; Newell, C.J.; Gonzales, J.R.; Hass, P.; Clement, T.P.; Sun, Y. BIOCHLOR—Natural Attenuation Decision Support System v1.0, User’s Manual; EPA 600/R-00/008; U.S. Environmental Protection Agency: Washington, DC, USA, 2000.
- Bauer, P.; Attinger, S.; Kinzelbach, W. Transport of a decay chain in homogeneous porous media: Analytical solutions. J. Contam. Hydrol. 2001, 49, 217–239. [Google Scholar] [CrossRef] [PubMed]
- Cho, C.M. Convective transport of ammonium with nitrification in soil. Can. J. Soil Sci. 1971, 51, 339–350. [Google Scholar] [CrossRef]
- Quezada, C.R.; Clement, T.P.; Lee, K.K. Generalized solution to multi-dimensional multi-species transport equations coupled with a first-order reaction network involving distinct retardation factors. Adv. Water Resour. 2004, 27, 507–520. [Google Scholar] [CrossRef]
- Wang, X.; Neville, C.J. A semi-analytical solution for the transport of solutes with complex sequences of first-order reactions. Comput. Geosci. 2019, 123, 121–136. [Google Scholar] [CrossRef]
- Liao, Z.Y.; Suk, H.; Liu, C.W.; Liang, C.P.; Chen, J.S. Exact analytical solutions with great computational efficiency to three-dimensional multispecies advection-dispersion equations coupled with a sequential first-order degradation reaction network. Adv. Water Resour. 2021, 155, 104018. [Google Scholar] [CrossRef]
- Nguyen, T.U.; Chen, Y.H.; Suk, H.; Liang, C.P.; Chen, J.S. Development of a semi-analytical solution for simulating the migration of parent and daughter contaminants from multiple contaminant sources, considering rate-limited sorption effects. Hydrology 2025, 12, 249. [Google Scholar] [CrossRef]
- Zheng, C.; Bennett, G.D. Applied Contaminant Transport Modeling, 2nd ed.; John Wiley & Sons, Inc.: New York, NY, USA, 2002. [Google Scholar]
- Chen, J.S.; Liang, C.P.; Chang, C.H.; Wan, M.H. Simulating three-dimensional plume migration of a radionuclide decay chain through groundwater. Energies 2019, 12, 3740. [Google Scholar] [CrossRef]
- Nguyen, T.U.; Ho, Y.C.; Suk, H.; Liang, C.P.; Liao, Z.Y.; Chen, J.S. Semi-analytical models for two-dimensional multispecies transport of sequentially degradation products influenced by rate-limited sorption subject to arbitrary time-dependent inlet boundary condition. Adv. Water Resour. 2024, 184, 104612. [Google Scholar] [CrossRef]
- Suk, H.; Zheng, K.W.; Liao, Z.Y.; Liang, C.P.; Wang, S.W.; Chen, J.S. A New Analytical Model for Transport of Multiple Contaminants Considering Remediation of Both NAPL Source and Downgradient Contaminant Plume in Groundwater. Adv. Water Resour. 2022, 167, 104290. [Google Scholar] [CrossRef]
- Newell, C.J.; McLeod, R.K.; Gonzales, J.R. BIOSCREEN Natural Attenuation Decision Support System User’s Manual; Version 1.3, USEPA/600/R-96/087; U.S. Environmental Protection Agency, National Risk Management Research Laboratory: Washington, DC, USA, 1996.
- Srinivasan, V.; Clement, T.P.; Lee, K.K. Domenico solution-Is it valid? Ground Water 2007, 45, 136–146. [Google Scholar] [CrossRef] [PubMed]
- Leij, F.J.; Bradford, S.A. 3DADE: A Computer Program for Evaluating Three-Dimensional Equilibrium Solute Transport in Porous Media; Research Report No. 134; U.S. Salinity Laboratory, USDA, ARS: Riverside, CA, USA, 1994.
- van Genuchten, M.T. Convective-dispersive transport of solutes involved in sequential first-order decay reactions. Comput. Geosci. 1985, 11, 129–147. [Google Scholar] [CrossRef]
- Simunek, J.; van Genuchten, M.T.; Sejna, M.; Toride, N.; Leij, F.J. The STANMOD Computer Software for Evaluating Solute Transport in Porous Media Using Analytical Solutions of Convection-Dispersion Equation; Versions 1.0 and 2.0; U.S. Salinity Laboratory, USDA, ARS: Riverside, CA, USA, 1999.
- Chen, J.S.; Liang, C.P.; Liu, C.W.; Li, L.Y. An analytical model for simulating two-dimensional multispecies plume migration. Hydrol. Earth Sys. Sci. 2016, 20, 733–753. [Google Scholar] [CrossRef]
- Falta, R.W.; Stacy, M.B.; Ahsanuzzaman, W.M.; Earle, R.C. Remediation Evaluation Model for Chlorinated Solvents (REM-Chlor); EPA/600/C-08/001; U.S. Environmental Protection Agency: Washington, DC, USA, 2007.









| Parameters | Values |
|---|---|
| [m] | 50 |
| [m] | 15 |
| [m] | 15 |
| ] | 10 |
| 1 | |
| ] | 0.1 |
| ] | 0.01 |
| [-] | 1 |
| ] | 4.6 |
| ] | 13.68 |
| ] | 0 |
| Parameters used to specify source area, [m] | |
| 6 | |
| 9 | |
| 0 | |
| 15 |
| Parameters | Values |
|---|---|
| [m] | 100 |
| ] | 100 |
| 10 | |
| [-] | |
| Pu-238 | 10,000 |
| U-234 | 14,000 |
| Th-230 | 50,000 |
| Ra-226 | 500 |
| ] | |
| Pu-238 | 0.0079 |
| U-234 | 0.0000028 |
| Th-230 | 0.0000087 |
| Ra-226 | 0.00043 |
| ] | |
| Pu-238 | 0.0089 |
| U-234 | 0.0010028 |
| Th-230 | 0.0010087 |
| Ra-226 | 0.00143 |
| 1 |
| Radionuclides | Values | |||
|---|---|---|---|---|
| Pu-238 | = 1.25 | |||
| U-234 | = −1.25 | = 1.25 | ||
| Th-230 | 10−4 | 10−1 | 10−1 | |
| Ra-226 | 10−7 | 10−2 | 10−2 | 10−4 |
| Parameters | Values |
|---|---|
| [m] | 330.7 |
| [m] | 213.4 |
| [m] | 100 |
| ] | 34 |
| 415 | |
| 41.5 | |
| 41.5 | |
| [-] | |
| PCE | 7.13 |
| TCE | 2.87 |
| DCE | 2.8 |
| VC | 1.43 |
| ETH | 5.35 |
| ] | |
| PCE | 2 |
| TCE | 1 |
| DCE | 0.7 |
| VC | 0.4 |
| ETH | 0 |
| ] | |
| PCE | |
| TCE | |
| DCE | 0, 0.01, 0.05, 0.1 |
| VC | |
| ETH | |
| [-] | |
| 0.79 | |
| 0.74 | |
| 0.64 | |
| 0.45 | |
| Parameters used to specify source area, [m] | |
| 90.7 | |
| 122.7 | |
| 0 | |
| 100 |
| Time (Year) | 1 | 2 | 3 | 4 | 5 | 6 | 7 | 8 | 9 | 10 |
|---|---|---|---|---|---|---|---|---|---|---|
| PCE source concentration Input (mg/L) | 100 | 90.5 | 86 | 82 | 78 | 74.5 | 70 | 67 | 64 | 61 |
| Parameters | Values |
|---|---|
| [m] | 200 |
| [m] | 100 |
| [m] | 10 |
| ] | 30 |
| 50 | |
| 5 | |
| 1 | |
| [-] | |
| PCE | 7 |
| TCE | 2.2 |
| DCE | 1.8 |
| VC | 1.5 |
| ] | |
| PCE | 0.4 |
| TCE | 0.15 |
| DCE | 0.1 |
| VC | 0.2 |
| ] | |
| TCE | 0 |
| DCE | 0 |
| VC | 0 |
| [-] | |
| 0.79 | |
| 0.74 | |
| 0.64 | |
| Parameters used to specify source area, [m] | |
| 45 | |
| 55 | |
| 3.5 | |
| 6.6 |
| Model | Dimension | Multi-Species | Species-Specific Retardation | Time-Varying Source |
|---|---|---|---|---|
| BIOSCREEN [19] | 3D | ✕ | - | ✕ |
| BIOCHLOR [8] | 3D | ✓ | ✕ | ✕ |
| REMChlor [25] | 3D | ✓ | ✕ | Parent only |
| CHAIN code [22] | 1D | ✓ | ✓ | ✓ |
| Chen et al. (2016) [24] | 2D | ✓ | ✓ | ✓ |
| Suk et al. (2022) [18] | 3D | ✓ | ✓ | Parent only |
| This study | 3D | ✓ | ✓ | ✓ |
Disclaimer/Publisher’s Note: The statements, opinions and data contained in all publications are solely those of the individual author(s) and contributor(s) and not of MDPI and/or the editor(s). MDPI and/or the editor(s) disclaim responsibility for any injury to people or property resulting from any ideas, methods, instructions or products referred to in the content. |
© 2025 by the authors. Licensee MDPI, Basel, Switzerland. This article is an open access article distributed under the terms and conditions of the Creative Commons Attribution (CC BY) license (https://creativecommons.org/licenses/by/4.0/).
Share and Cite
Liao, Z.-Y.; Suk, H.; Nguyen, T.-U.; Liu, C.-W.; Liang, C.-P.; Chen, J.-S. Analytical Model for Three-Dimensional Reactive Transport of Coexisting Chlorinated Solvent Contaminants in Groundwater Under Time-Varying Source Discharge Concentrations Induced by Remediation Efforts. Water 2025, 17, 3401. https://doi.org/10.3390/w17233401
Liao Z-Y, Suk H, Nguyen T-U, Liu C-W, Liang C-P, Chen J-S. Analytical Model for Three-Dimensional Reactive Transport of Coexisting Chlorinated Solvent Contaminants in Groundwater Under Time-Varying Source Discharge Concentrations Induced by Remediation Efforts. Water. 2025; 17(23):3401. https://doi.org/10.3390/w17233401
Chicago/Turabian StyleLiao, Zhong-Yi, Heejun Suk, Thu-Uyen Nguyen, Chen-Wuing Liu, Ching-Ping Liang, and Jui-Sheng Chen. 2025. "Analytical Model for Three-Dimensional Reactive Transport of Coexisting Chlorinated Solvent Contaminants in Groundwater Under Time-Varying Source Discharge Concentrations Induced by Remediation Efforts" Water 17, no. 23: 3401. https://doi.org/10.3390/w17233401
APA StyleLiao, Z.-Y., Suk, H., Nguyen, T.-U., Liu, C.-W., Liang, C.-P., & Chen, J.-S. (2025). Analytical Model for Three-Dimensional Reactive Transport of Coexisting Chlorinated Solvent Contaminants in Groundwater Under Time-Varying Source Discharge Concentrations Induced by Remediation Efforts. Water, 17(23), 3401. https://doi.org/10.3390/w17233401

