Next Article in Journal
Designing an Optimal Environmental Policy for Omura Bay, Japan: A Simulation Study on Water Quality Improvements
Previous Article in Journal
Study on the Generation and Output Characteristics of Non-Point Source Pollution in the Process of River Migration
 
 
Font Type:
Arial Georgia Verdana
Font Size:
Aa Aa Aa
Line Spacing:
Column Width:
Background:
Article

Study on the Adsorption of Tetracycline Hydrochloride in Water by Modified Highland Barley Straw Biochar

1
College of Ecology and Environment, Xi Zang University, Lhasa 850000, China
2
Henan Key Laboratory of Water Pollution Control and Rehabilitation Technology, Henan University of Urban Construction, Pingdingshan 467036, China
*
Author to whom correspondence should be addressed.
Water 2025, 17(23), 3335; https://doi.org/10.3390/w17233335
Submission received: 17 October 2025 / Revised: 17 November 2025 / Accepted: 18 November 2025 / Published: 21 November 2025
(This article belongs to the Section Water Quality and Contamination)

Abstract

Global antibiotic pollution (represented by tetracycline hydrochloride, TCH) threatens water environmental safety, and resource recovery of agricultural waste remains a key challenge for sustainable development. Given that utilizing biochar for adsorption is widely recognized as a circular economy-compliant method, this study aimed to verify its applicability in TCH pollution control while recycling agricultural waste by preparing modified biochar from the Xi Zang highland barley straw via chemical activation (KOH, H3PO4, NaHCO3, and ZnCl2) and pyrolysis at 750 °C. Among the products, H3PO4-modified (P-BC) and ZnCl2-modified (Zn-BC) biochars performed best: their abundant micro/mesoporous structures and surface functional groups (–OH/–COOH) enabled excellent TCH adsorption, with the mechanism involving synergy of physical adsorption (dominated by pore filling) and chemical adsorption (hydrogen bonding, electrostatic attraction, cation bridging), alongside multi-layer adsorption. Adsorption was pH-dependent—acidic conditions favored it, while Zn-BC restored efficiency at pH = 9 via Zn2+ bridging. The two biochars were complementary: Zn-BC had higher adsorption capacity, while P-BC showed better stability and ionic interference resistance. Thus, Zn-BC suits high-concentration, low-ionic-strength TCH wastewater, and P-BC is ideal for complex high-ionic-strength water (e.g., industrial/aquaculture wastewater). This study provides theoretical and technical support for high-value utilization of regional agricultural waste and targeted TCH pollution control.

1. Introduction

With the rapid development of the livestock and pharmaceutical industries, the environmental issues arising from antibiotic misuse of antibiotics have evolved into a global challenge [1]. In China, the proportion of antibiotic use in outpatient care (50.3%) exceeds the World Health Organization (WHO)-recommended level (<30%) [2]. Excessive antibiotic use can facilitate the emergence of superbugs, leading to difficulties in treating infectious diseases, contaminating ecological environments, threatening food chain safety, and increasing societal burdens. Due to the combined effects of human activities and natural migration, antibiotics are frequently detected in water bodies [3,4]. Measured concentrations of antibiotics in water bodies of Xainza Town, Xi Zang, are between 0.01 and 11.27 ng·L−1. Importantly, despite these levels being relatively low compared to inland areas, the region’s fragile ecosystem amplifies the urgency to develop efficient water remediation technologies. This study focuses on tetracycline antibiotics (TCs), a class of broad-spectrum agents critically important in human and veterinary practices for applications including malaria prevention and livestock growth enhancement [5]. Notably, a significant portion (70–90%) of administered TCs is excreted in an unaltered form. Given their high solubility and resistance to degradation, they accumulate in aquatic systems, thereby being recognized as a pressing emerging contaminant worldwide [6].
The current arsenal for aqueous TC remediation comprises conventional biological processes, bioelectrochemical (electrogenic) methods, advanced oxidation technologies, membrane separation, and adsorption [7]. Conventional biological processes rely on microbial metabolism and have stringent requirements for environmental conditions such as pH and temperature. Moreover, the bacteriostatic property of tetracycline (TC) is prone to inhibiting microbial activity, resulting in low remediation efficiency. Although bioelectrochemical (electrogenic) methods allow for controllable reactions, they suffer from high equipment costs, complex operational procedures and easy electrode wear, which makes large-scale application difficult to achieve. Advanced oxidation technologies can degrade TC rapidly, yet they demand rigorous oxidant dosage ratios and reaction conditions. Furthermore, these technologies are likely to generate intermediate products with higher toxicity, triggering secondary pollution. Membrane separation technologies, on the other hand, are confronted with problems including easy fouling and clogging of membrane modules as well as high maintenance costs. In addition, their separation selectivity for low—concentration TC is rather limited. In contrast, adsorption offers distinct advantages including straightforward preparation, low operational cost, and high adaptability. Biochar, derived from the pyrolysis of organic wastes like crop straw and wood [8], exhibits a high specific surface area, tunable porosity, and abundant surface functional groups, thereby emerging as an ideal adsorbent material for effective pollutant removal [9]. Engineered modification of biochar serves to substantially augment its specific surface area, porosity, and the density of surface functional groups (notably hydroxyl and carboxyl). These enhancements directly strengthen its pollutant adsorption capabilities, primarily through intensified electrostatic attraction and hydrogen bonding.
Recent studies have indicated that Zn-based and phosphorus-based modifications are effective means to enhance the antibiotic adsorption performance of straw-derived biochar. Specifically, zinc chloride (ZnCl2) modification can remarkably strengthen the adsorption capacity via the coordination between Zn2+ and tetracycline (TC) [10]. In comparison, phosphoric acid (H3PO4) modification can further optimize the adsorption efficiency by forming hydrogen bonds between the surface phosphorus-containing oxygen functional groups and target pollutants [11]. Several studies have separately investigated the migration of antibiotics in carbon materials and porous media. Evidence has shown that biochars with diverse physicochemical properties (such as specific surface area, the type and distribution of surface functional groups, and surface charge) are capable of regulating their interactions with antibiotics. In an environmental context, biochar tends to carry a negative charge, while the amino groups in tetracycline molecules undergo protonation, endowing the molecules with an overall positive charge. This renders electrostatic attraction a crucial mechanism for tetracycline adsorption. Meanwhile, functional groups like hydroxyl and amino groups on the biochar surface act as both donors and acceptors of hydrogen bonds, forming hydrogen-bonding interactions with antibiotic molecules to enhance the stability of adsorption. Additionally, some metal-modified biochars can affect the transport and deposition of tetracycline in the aquatic environment through the cation-bridging mechanism. Therefore, investigating the adsorption mechanism of modified biochar for tetracycline remains of great scientific significance.
Although existing studies have confirmed the adsorption potential of plant-based biochar for antibiotics, there are still prominent research gaps. First of all, there are very few modification studies focusing on the characteristic straw (highland barley straw) in the high-altitude areas of Tibet, and the impact of the raw material properties shaped by its unique geographical environment on adsorption performance remains unclear. Secondly, the research on the adaptability of modified biochar derived from this region’s characteristic straw in the remediation of trace tetracycline contamination is insufficient, which makes it hard to meet the practical demands of local water pollution control. This study conducts the first comparative research on the single modifications of Tibetan highland barley straw using ZnCl2 and H3PO4. It systematically clarifies the differences in the regulatory effects of different modification pathways on the pore structure and active functional groups of biochar, and thoroughly analyzes the specific adsorption mechanisms of Zn2+ coordination (for Zn-modified biochar) and hydrogen bonding of phosphorus-containing oxygen functional groups (for phosphorus-modified biochar). This research fills the theoretical gap regarding the adsorption of tetracycline by singly modified biochar made from high-altitude characteristic straw.
The objectives of this study are to clarify the regulatory rules of ZnCl2 and H3PO4 single modifications on the structure and functional groups of highland barley straw-derived biochar, to quantify the adsorption capacity and selectivity of the two types of adsorbents for tetracycline, and to reveal their adsorption mechanisms and key influencing factors. The research hypotheses are as follows: ZnCl2 modification enhances the coordination adsorption of tetracycline by increasing the specific surface area of biochar and creating Zn-O active sites; H3PO4 modification strengthens hydrogen bonding and electrostatic interactions through the introduction of phosphorus-containing oxygen functional groups; and both modification methods can significantly improve the adsorption performance.
Xi Zang produces approximately 1.64 million tonnes of available highland barley straw annually [12], representing 0.23% of China’s 2015 total. This resource is predominantly utilized as solid fuel for heating and cooking in impoverished communities, posing a dual challenge of resource underutilization and environmental pollution [13]. Transforming highland barley straw into a premium carbon source for tailored biochar represents a paradigm shift, delivering co-benefits of waste reduction, carbon sequestration, and a novel approach to mitigating aquatic antibiotic pollution.
This study employed pulverized highland barley straw as the carbon precursor to fabricate modified biochars using KOH, H3PO4, NaHCO3, and ZnCl2 as chemical modifiers via pyrolysis. The influence of adsorption conditions and the underlying mechanisms were systematically investigated through batch adsorption experiments and various characterization techniques. It thereby contributes to a green and sustainable solution for antibiotic pollution, offering co-benefits for environmental rehabilitation, waste-to-resource cycles, and enhanced public health security.

2. Materials and Methods

2.1. Materials and Reagents

Highland barley straw was collected from farmlands adjacent to Lhasa City, Tibet Autonomous Region, China. Tetracycline hydrochloride (TCH, purity 98%) was purchased from Hefei Qiansheng Biotechnology Co., Ltd., Hefei City, Anhui Province, China. Zinc chloride (ZnCl2, purity 98%) was obtained from Shanghai Macklin Biochemical Technology Co., Ltd., Shanghai, China. Both potassium hydroxide (KOH) and sodium bicarbonate (NaHCO3) were of analytical grade and acquired from Beijing Chemical Works Co., Ltd., Beijing, China. Phosphoric acid (H3PO4) was also of analytical grade and purchased from Sinopharm Chemical Reagent Co., Ltd., Shanghai, China. Ultrapure water was adopted for the preparation of all reagents.

2.2. Preparation of Modified Biochar

Studies have demonstrated that wheat straw undergoes in-depth degradation of lignin at 700 °C. The biochar prepared under this temperature attains a specific surface area of up to 400 m2·g−1, with the proportion of micropores ranging from 70.64% to 75.09%—values that are significantly higher than those of the biochar produced at 500 °C in terms of both specific surface area and micropore proportion [14]. Meanwhile, the degree of aromatization of wheat straw-derived biochar is further enhanced at 700 °C, which effectively boosts its adsorption potential. When employed to adsorb sulfamethoxazole in seawater, the wheat straw biochar prepared at 700 °C exhibits better adsorption performance in comparison to that fabricated at 550 °C, achieving a maximum removal rate of 70.3% and a maximum adsorption capacity of 1.03 mg·g−1. Highland barley straw has similar proportions of cellulose, hemicellulose, and lignin to wheat straw [15]. Therefore, 750 °C was selected as the preparation temperature for the subsequent experiments.
Highland barley straw was used as the raw material. It was first cut into approximately 5 cm segments, rinsed thoroughly with ultrapure water, and then oven-dried at 95 °C until a constant weight was achieved. The dried material was subsequently ground and sieved through a 60-mesh screen. Subsequently, 6 g of the resulting powder was individually immersed in 100 mL of KOH solutions at concentrations of 2, 3, 4, and 5 mol·L−1. Each mixture was magnetically stirred for 12 h, after which the solid precipitate was collected by centrifugation at 3000 r·min−1 for 15 min. The collected precipitates were dried at 105 °C for 2–3 h and ground into a fine powder. Subsequently, 6 g of this modified straw powder was placed in a tube furnace and pyrolyzed under a continuous N2 atmosphere. The pyrolysis process was conducted by heating the sample to a target temperature of 750 °C at a heating rate of 9 °C·min−1 and maintaining this temperature for 2 h, yielding the final modified biochar. Finally, the resulting biochar was repeatedly washed with ultrapure water until the supernatant reached a neutral pH of approximately 6, followed by drying and storage for subsequent use. The modification procedures using H3PO4, NaHCO3, and ZnCl2 were identical, with the only alteration being the substitution of the corresponding chemical reagents (Figure 1). In the experiment, the mass of highland barley straw powder was strictly controlled at 6 g, and the volume of the modifier was fixed at 100 milliliters; the only variables were the type and concentration of the modifier.

2.3. Characterization Techniques

The micromorphology of the modified highland barley straw biochar was analyzed using a scanning electron microscope (SEM, SEM5000, Anhui Guoyi Quantum, Hefei City, Anhui Province, China). The crystalline structure and phase composition were determined by X-ray diffraction (XRD, TD-3700, Dandong Tongda Technology Co., Ltd., Dandong, Liaoning, China). Nitrogen adsorption–desorption isotherms were measured at 77 K using a high-performance surface area and pore size analyzer (V-Sorb 2800TP, Anhui Guoyi Quantum, Hefei City, Anhui Province, China). The specific surface area was calculated using the Brunauer–Emmett–Teller (BET) model, and the pore size distribution was derived from the adsorption branch. Furthermore, the surface functional groups and organic structures were characterized by Fourier transform infrared spectroscopy (FTIR, Great 20, Zhongke Ruijie (Tianjin) Technology Co., Ltd., Tianjin, China).

2.4. Batch Adsorption Experiment

The adsorption performance of biochars synthesized under different modification conditions (using 2, 3, 4, and 5 mol·L−1 KOH, H3PO4, NaHCO3, and ZnCl2 solutions) was evaluated. Specifically, 10 mg of each biochar was added to 50 mL of a 10 mg·L−1 TCH solution. The mixtures were shaken at 120 r·min−1 and 25 °C for 12 h, then filtered. The residual TCH concentration in the filtrate was measured using a UV-Vis spectrophotometer. The optimal modified biochar was selected for subsequent experiments based on a comprehensive analysis of its removal efficiency and cost-effectiveness.
Adsorption experiments were performed to evaluate the TCH adsorption performance of the biochar synthesized under the optimal modification conditions. A stock TCH solution with a concentration of 1000 mg·L−1 was initially prepared and subsequently diluted to the desired concentrations. A 50 mL aliquot of the working solution was used for each adsorption test. The effects of multiple variables, including pH, adsorbent dosage, contact time, initial TCH concentration, and temperature, on the adsorption efficiency were systematically investigated. The dosage of modified biochar was varied between 2 and 50 mg. The pH was precisely adjusted within a range of 3 to 10 using 0.1 mol·L−1 HCl and NaOH solutions. The contact time was set from 5 to 2880 min, while the initial TCH concentration ranged from 10 to 100 mg·L−1. All experiments were conducted at temperatures varying from 15 to 35 °C. The adsorbent’s resistance to cationic interference was further investigated under the predetermined optimal adsorption conditions. Upon completion of adsorption, solid–liquid separation was achieved using a 0.45 µm membrane filter. The residual tetracycline hydrochloride (TCH) concentration in the filtrate was quantified at 357 nm via UV-Vis spectrophotometry (SPECORD 50 PLUS, Analytik Jena (Beijing) Instrument Co., Ltd., Beijing, China). A calibration curve (Figure 2) was established by measuring the absorbance of a series of standard TCH solutions, correlating absorbance with known concentrations. The concentration of TCH in unknown samples was subsequently determined by applying their measured absorbance to the regression equation of this calibration curve.
The adsorption capacity (Qe,mg·g−1) was determined using the following equation:
Q e = C 0 C e m × V
where C0 and Cₑ represent the initial and equilibrium concentrations of TCH (g·L−1), respectively, V is the volume of the solution (L), and m denotes the mass of the adsorbent (g). All experiments were conducted in triplicate, and the average values are reported.
The adsorption isotherms were described using the Langmuir and the Freundlich models, with their respective equations as follows:
Q e = K L Q max C e 1 + K L C e
Q e = K F C e ( 1 / n )
In the equations, Qe represents the unit adsorption capacity of the adsorbent at equilibrium, Qmax denotes the maximum adsorption capacity, Ce is the mass concentration of TCH in the solution at equilibrium, and KL, KF, and n are constants.
The kinetic process of TCH adsorption by biochar was described using the pseudo-first-order kinetic equation and the pseudo-second-order kinetic equation, with the equations as follows:
Q t = Q e ( 1 e K 1 t )
t Q t = t Q e + 1 K 2 Q 2 e
In the equations, Qe represents the unit adsorption capacity of the adsorbent at equilibrium, Qt denotes the adsorption capacity of biochar for TCH at time t, and K1 and K2 are the reaction rate constants.

3. Results

3.1. Selection of Optimal Modification Conditions

Figure 3 illustrates the comparative performance of biochars modified with 2 mol·L−1 KOH, H3PO4, NaHCO3, and ZnCl2 in terms of TCH removal efficiency under identical conditions. The results indicate that all four modified biochars demonstrate markedly superior TCH removal rates compared to the unmodified biochar (BC) [16,17]. Among them, the KOH- and NaHCO3-modified biochars achieved TCH removal rates that were 2.85 and 3.01 times those of BC, respectively. In contrast, the ZnCl2 and H3PO4 modifications proved more effective, exhibiting removal rates 3.75 and 3.66 times higher than that of BC, respectively.
Following the identification of ZnCl2 and H3PO4 as the optimal modifying agents, the adsorption performance of biochars modified with these chemicals at different concentrations (2, 3, 4, and 5 mol·L−1) was further investigated. The experimental results indicated that the concentration of the modifying agents had a relatively minor influence on the adsorption performance [18]. As shown in Figure 4, the TCH removal rates for biochars modified with different concentrations of ZnCl2 and H3PO4 remained at a consistently high level, stabilizing at approximately 90%. Consequently, an optimal cost-performance balance was identified for biochars modified with 2 mol·L−1 ZnCl2 and 2 mol·L−1 H3PO4, thereby designating them for all subsequent experimental work.

3.2. Characterization of Modified Biochar

3.2.1. SEM

Figure 5 presents the SEM images of the original biochar (BC), H3PO4-modified biochar (P-BC), and ZnCl2-modified biochar (Zn-BC). In comparison to BC, Zn-BC exhibits significantly enlarged pores, a rougher surface, and a distinctly altered microstructure, characterized by increased planar depressions along with dispersed fragments and pores. In contrast, the P-BC surface appears comparatively smoother, yet with enlarged pores and increased porosity. Simultaneously, observable nanoparticle attachments (Figure 5d) are likely derived from phosphate species generated during the pyrolysis process [19]. These phosphate nanoparticles cause partial pore blockage, which may contribute to a reduction in adsorption performance [20]. The surface depressions, pores, and fragments on the biochar are primarily attributed to the cleavage of organic matter, release of volatile gases, and structural collapse during the pyrolysis process. The enhanced surface roughness, well-developed porosity, and high specific surface area of the modified biochars provide abundant active sites for TCH adsorption. Concurrently, the enlarged pore size facilitates the intra-particle diffusion of TCH molecules, thereby collectively contributing to the significantly improved adsorption performance [21].

3.2.2. BET

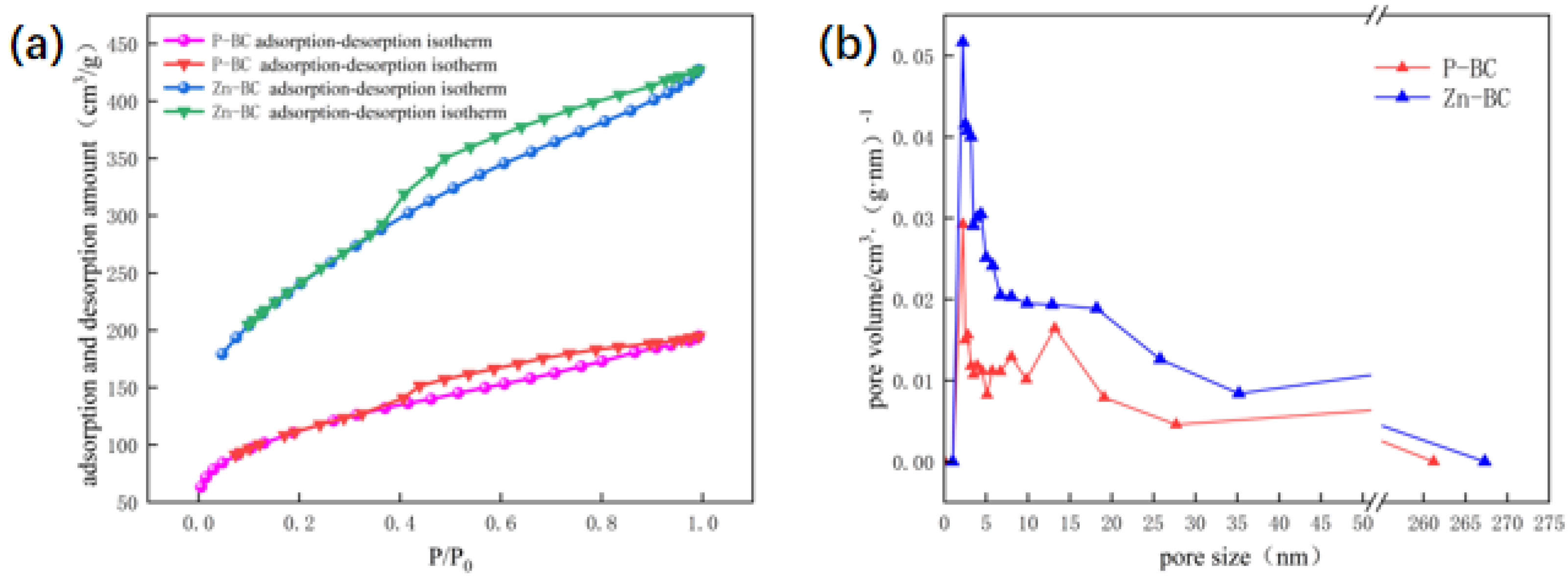
Figure 6 shows that the N2 adsorption–desorption isotherms for both Zn-BC and P-BC exhibit typical Type IV characteristics, with distinct hysteresis loops, confirming their micro-mesoporous structures. Monolayer adsorption predominates at the low relative pressure region, while capillary condensation occurs at higher relative pressures [22]. As presented in Table 1, the pore volume and specific surface area follow the order: Zn-BC > P-BC > BC. The specific surface areas of Zn-BC and P-BC are 7.66 and 3.59 times greater than those of BC, respectively. The degassing conditions for the modified biochars were set at 120 °C for 1 h. The linear fitting degrees of both modified biochars exceeded 0.999, with minimal data deviation. Furthermore, the specific surface area of the biochars was positively correlated with the total pore volume; the more developed the porous structure, the synchronous increase in the specific surface area and pore volume. These findings demonstrate the authenticity and reliability of the BET characterization results. The observed increase in pore size after modification aligns with the SEM results, which collectively contribute to a significantly enhanced physical adsorption capacity. The pore size distribution curves indicate that the pores of both modified biochars are predominantly located within the 2.2–10 nm range, with the presence of a small proportion of macropores. Compared to P-BC, Zn-BC exhibits a greater advantage in total pore volume. The increased specific surface area provides more adsorption sites, while the well-developed porous structure facilitates pore diffusion and filling adsorption of TCH molecules [23].

3.2.3. FTIR

The FTIR spectra revealed in Figure 7 for the two modified biochars show characteristic absorption bands. The broad band at 3430 cm−1 can be assigned to the stretching vibrations of –OH groups. The band at 1620 cm−1 is associated with the skeletal vibrations of aromatic C=C bonds [24]. For P-BC, the characteristic peak at 1030 cm−1 corresponds to P=O stretching, confirming the reaction between phosphoric acid and straw hydroxyl groups to form phosphate esters. Moreover, new characteristic peaks emerged at 1240 cm−1 and 980 cm−1 for P-BC, which correspond to the stretching vibrations of P=O bonds and P-O-C bonds, respectively. This confirms that H3PO4 modification has effectively introduced phosphorus-containing oxygen functional groups onto the biochar. The presence of the latter suggests that the nanoparticles observed via SEM within the pores are likely pyrophosphates, thereby verifying the successful incorporation of phosphorus [25]. A new absorption peak appeared near 550 cm−1 for Zn-BC, which is assigned to the stretching vibration of Zn-O bonds. This verifies that Zn2+ has been successfully loaded onto the surface of the biochar and formed characteristic active sites [26]. Additionally, both types of modified biochar were characterized by surfaces abundant in oxygen-containing functional groups, including –OH, –COOH, and –CHO. The study indicates that the modification process can directionally tune the type and abundance of these functional groups. Serving as active sites, they engage in multiple interactions with TCH molecules, thereby significantly enhancing the adsorption performance [27].

3.2.4. XRD

Figure 8 shows the XRD patterns of Zn-BC and P-BC. The broad and gentle diffraction peaks at 2θ = 22.5° and 2θ = 43.3° correspond to the (002) and (100) crystal planes of the amorphous carbon in the biochar. This indicates that the raw material forms a typical amorphous carbon structure after pyrolysis [28]. Notably, a sharp diffraction peak appears at 2θ = 30° in the pattern of Zn-BC, which is indexed to the (113) plane of Zn(OH)Cl. This confirms the presence of Zn in the form of Zn-OH, a finding that is mutually consistent with the FTIR results [29]. The XRD pattern of P-BC demonstrates comparatively weaker diffraction peak intensity, potentially resulting from its lower degree of crystallinity or dominant amorphous phases. Scherrer analysis was performed on the XRD data of the two modified biochars. The results showed that both the crystallite size (4.86 nm) corresponding to the graphite (002) crystal plane and the d002 interlayer spacing (0.407 nm) of P-BC outperformed those of Zn-BC (3.85 nm and 0.399 nm, respectively). This indicates that P-BC possesses a higher degree of graphitization and a more intensive aromatic ring condensation reaction [30].

3.3. Study on the Adsorption Performance of Zn-BC and P-BC

3.3.1. Effect of Modified Biochar Dosage on Adsorption

Figure 9 illustrates the effect of modified biochar dosage on TCH adsorption. The TCH removal efficiency increased significantly with an increasing adsorbent dosage [31]. When the adsorbent dosage was 0.1 g·L−1, the removal rates for Zn-BC and P-BC reached 75% and 76.08%, respectively. Even at low dosages, both modified biochars exhibited excellent adsorption performance, which is attributed to the enlarged specific surface area and introduced functional groups that enhanced their adsorption capacity [32]. By balancing treatment efficiency and economic feasibility, an adsorbent dosage of 0.1 g·L−1 was selected as the optimal dosage for subsequent experiments.

3.3.2. Effect of Contact Time on Adsorption

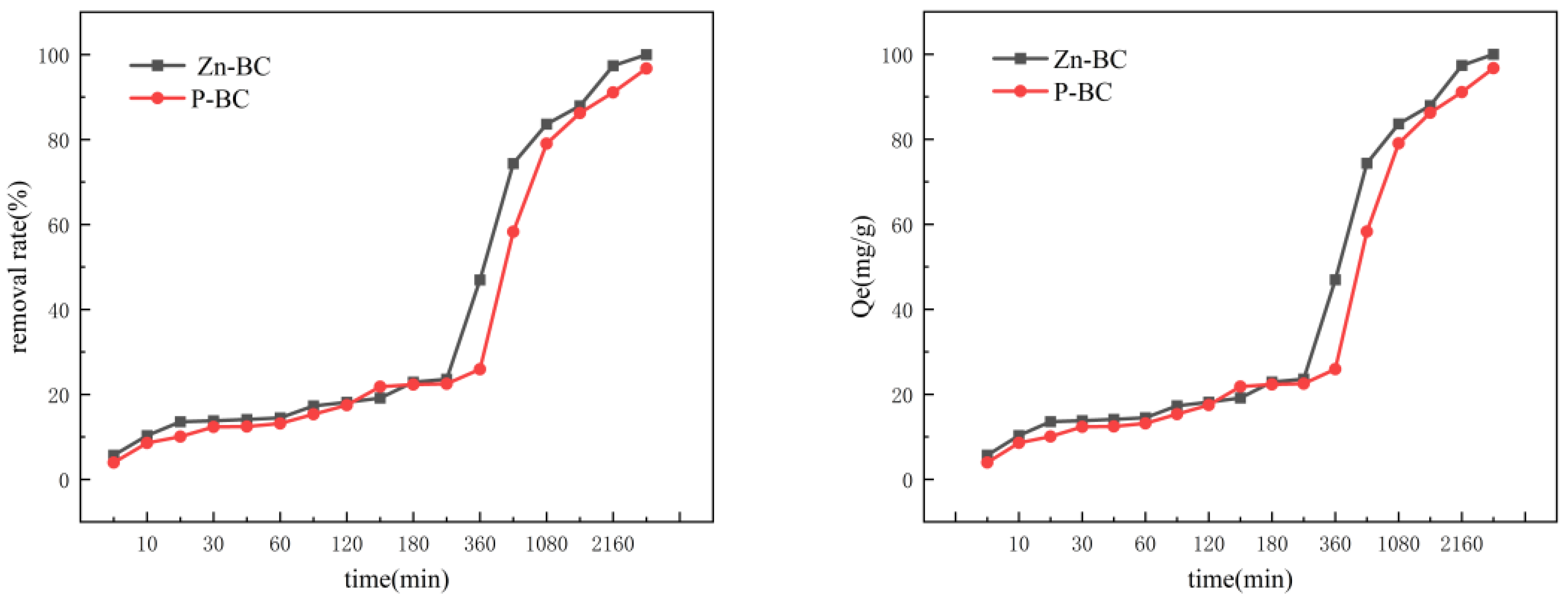
As shown in Figure 10, both Zn-BC and P-BC exhibited high initial adsorption rates for TCH. From 5 min to 720 min, the TCH removal efficiency of Zn-BC and P-BC increased from 5.69% and 3.97% to 74.34% and 58.29%, respectively. Correspondingly, the adsorption capacity rose from 5.69 mg·g−1 and 3.97 mg·g−1 to 74.34 mg·g−1 and 58.29 mg·g−1. As the adsorption progressed, the rate gradually decreased, but the process continued. At a contact time of 2880 min, the TCH removal rates for Zn-BC and P-BC reached 100% and 96.73%, respectively. This phenomenon can be explained by the abundance of available sites for TCH binding on the fresh biochar surface, leading to a rapid initial rate. As adsorption proceeded, these active sites became progressively occupied, and the TCH concentration in the solution decreased, resulting in a reduced concentration gradient and slower mass transfer. Consequently, the process approached equilibrium, and the adsorption rate declined [33]. Both modified biochars possess abundant micro-mesoporous structures, which lead to a multi-step adsorption process for TCH molecules including surface adsorption, pore diffusion and micropore filling. The diffusion resistance inside the micropores prolongs the time required for the adsorption process to reach equilibrium [34].

3.3.3. Effect of Initial TCH Concentration on Adsorption

As shown in Figure 11, with an increase in the initial TCH concentration, the adsorption capacities of both Zn-BC and P-BC biochars exhibited an increasing trend, whereas the removal efficiency gradually decreased. Specifically, as the TCH concentration rose from 10 mg·L−1 to 100 mg·L−1, the adsorption capacity of Zn-BC increased markedly from 74.34 mg·g−1 to 320.62 mg·g−1, while that of P-BC increased from 46.19 mg·g−1 to 165.87 mg·g−1. At low concentrations (<20 mg·L−1), the abundant availability of adsorption sites on the biochar surface resulted in a rapid adsorption rate. However, as the concentration increased further with a fixed biochar dosage, the number of available sites per TCH molecule decreased, consequently leading to a slowdown in the rate of removal efficiency increase [35]. Under these conditions, the mass transfer driving force generated by the concentration gradient facilitates the migration of TCH molecules to the biochar surface, thereby promoting a continuous increase in adsorption capacity. A comparative analysis reveals that Zn-BC not only exhibits superior adsorption performance but also demonstrates greater adaptability to high-concentration TCH solutions [36].

3.3.4. Effect of pH on Adsorption

In the experiment, a hydrochloric acid (HCl)/sodium hydroxide (NaOH) titration method was employed to adjust the pH of the system. Moreover, tests using calcium chloride (CaCl2) confirmed that a low ionic strength exerted no impact on the adsorption equilibrium. As shown in Figure 12, the adsorption capacity and removal efficiency of TCH by both Zn-BC and P-BC demonstrated a declining trend as the pH increased from 3 to 8. Specifically, the removal efficiency of Zn-BC decreased from 52.70% to 37.91%. However, as the pH continued to rise, the removal efficiency of Zn-BC gradually recovered and eventually stabilized. This phenomenon can be explained by the fact that under acidic conditions, TCH exists predominantly as a cation, while the Zn-BC surface is negatively charged, thereby promoting adsorption through electrostatic attraction [37]. When the pH exceeds the dissociation constant (pKa ≈ 7.68) of TCH, the TCH molecule is converted into an anionic species. Meanwhile, Zn2+ undergoes hydrolysis and precipitation. The generated Zn(OH)2 can also directly adsorb TCH molecules through hydrogen bonding and electrostatic attraction. At this point, Zn-BC facilitates adsorption through the cation bridging effect, where Zn2+ provided by ZnO complexes with TCH, leading to the recovery in removal efficiency [38]. Similarly, P-BC relies on electrostatic attraction to adsorb cationic TCH under acidic conditions. However, as the pH increases, this electrostatic interaction weakens. Since P-BC lacks metal oxides to provide bridging cations, its removal efficiency shows no recovery trend [39].

3.3.5. Effect of Temperature on Adsorption

Figure 13 depicts the variation in TCH removal efficiency and adsorption capacity of Zn-BC and P-BC at different temperatures. As the temperature increased, the TCH removal performance of both modified biochars showed a trend of initially increasing and then decreasing. The enhancement in adsorption during the initial stage is primarily attributed to intensified molecular motion and improved mass transfer efficiency [40]. Table 2 presents the adsorption thermodynamic parameters of Zn-BC and P-BC. Their ∆H° > 0 indicates that the adsorption process is endothermic. Their ∆G° < 0 suggests that the adsorption process occurs spontaneously. Moreover, ∆S° for both materials is relatively large positive values, implying a significant increase in the disorder degree of the system, and desorption may be accompanied during the adsorption process. However, when the temperature exceeded a critical value, excessive thermodynamic energy likely induced desorption from the biochar surface, resulting in the release of a portion of TCH initially bound through physical interactions. This observation aligns with the Arrhenius theory, and the underlying mechanism will be further explored through subsequent kinetic simulations.

3.4. Adsorption Kinetics

The adsorption kinetics study of TCH on Zn-BC and P-BC revealed that the adsorption capacity exhibited a non-linear increase over time (Figure 14). The difference in the coefficient of determination (R2) between the pseudo-first-order and pseudo-second-order models for both Zn-BC and P-BC was only approximately 0.002. Thus, the adsorption mechanism pathway cannot be definitively ascertained. This difference was statistically insignificant, so the analysis needed to be combined with adsorption mechanisms. Further analysis integrating experimental phenomena and characterization results indicated that the adsorption capacity rose rapidly within the initial 0–480 min of adsorption. This stage corresponded to the surface diffusion process of TCH molecules on the biochars, which featured abundant pores (Figure 5) and large specific surface areas (Table 1: the specific surface area of Zn-BC reached 862.85 m2·g−1 and that of P-BC reached 404.58 m2·g−1). This process was consistent with the “diffusion-controlled” characteristic of the pseudo-first-order model, and the equilibrium adsorption capacity calculated by the model was more consistent with the experimental values. Meanwhile, the reason for the high R2 of the pseudo-second-order model was explained: FTIR characterization (Figure 7) showed that the biochar surfaces were rich in oxygen-containing functional groups such as –OH and –COOH. These groups exerted chemical interactions like hydrogen bonding and electrostatic attraction with TCH, providing auxiliary driving forces for adsorption. However, combined with the desorption phenomenon where the adsorption capacity decreased at high temperatures (Figure 13), it could be confirmed that the overall adsorption process was dominated by physical adsorption centered on surface diffusion, with chemical interactions serving as auxiliary effects. Data in Table 3 shows that the kinetic data and thermodynamic curves of the two biochars both exhibit a high goodness of fit (R2 > 0.96), collectively indicating the existence of a synergistic mechanism between physical adsorption and chemical adsorption [41,42].

3.5. Adsorption Isotherm

The adsorption isotherms for Zn-BC and P-BC are presented in Figure 15. Both the Freundlich and Langmuir isotherm models were capable of satisfactorily describing the TCH adsorption data for the modified biochars. As summarized in Table 4, the Freundlich model yielded slightly higher R2 values (0.977 and 0.975 for Zn-BC and P-BC, respectively) compared to the Langmuir model (R2 = 0.970 and 0.919). Owing to the negligible difference in the coefficient of determination (R2) derived from the fitting of the Freundlich model and the Langmuir model, the adsorption process is likely to involve multi-layer adsorption. Nevertheless, the mechanistic pathway remains undetermined, and further analysis should be conducted in conjunction with experimental phenomena. The Freundlich isotherm typically describes multilayer adsorption on a heterogeneous surface, where the adsorption capacity continuously increases with the concentration of the adsorbate (TCH) [43]. This observation is consistent with the trend shown in Figure 14. Consequently, the Freundlich model is more suitable than the Langmuir model for describing the TCH adsorption process onto Zn-BC and P-BC, indicating the presence of multilayer adsorption. Multilayer adsorption requires the continuous accumulation of TCH molecules; thus, a relatively long time is needed for the adsorption process to reach equilibrium.

3.6. Cation Interference Experiment

As shown in Figure 16, the adsorption capacities of TCH onto both Zn-BC and P-BC exhibited a decreasing trend as the ionic strength (CaCl2 concentration) increased from 0.001 mol·L−1 to 0.1 mol·L−1. Specifically, the adsorption capacity of Zn-BC decreased from 55.17 mg·g−1 to 48.44 mg·g−1, while that of P-BC declined from 42.65 mg·g−1 to 38.61 mg·g−1. This phenomenon is attributed to the competitive adsorption between Ca2+ ions and TCH molecules for active sites on the biochar surface, resulting in a reduction in available sites for TCH [44]. A comparison between the two modified biochars reveals a more pronounced decrease in adsorption capacity for Zn-BC, indicating that P-BC possesses superior stability for TCH adsorption under high ionic strength conditions compared to Zn-BC.

3.7. Discussion of Adsorption Mechanism

The adsorption mechanism of TCH onto Zn-BC and P-BC involves multiple interactions (Figure 17). SEM and N2 adsorption–desorption analysis revealed that both biochars possess a well-developed porous structure and a high specific surface area, which provide abundant adsorption sites for TCH [45]. The adsorption kinetics study indicated that pore filling dominated the initial stage of the process. As the active sites became progressively saturated, the diffusion rate of TCH decreased, ultimately leading to adsorption equilibrium [46]. Meanwhile, pH-dependent experiments demonstrated optimal adsorption under acidic conditions, which is attributed to the electrostatic attraction between the positively charged TCH species and the negatively charged biochar surface [47]. Furthermore, FTIR analysis confirmed the presence of abundant oxygen-containing functional groups (e.g., –OH, –COOH) on the biochar surface, which can form hydrogen bonds with the –OH and –C=O groups of TCH under acidic conditions, thereby further enhancing adsorption. It is noteworthy that under alkaline conditions, Zn2+ released from the dissociation of ZnO in Zn-BC can interact with the negatively charged TCH via cation bridging, leading to the recovery in removal efficiency. Meanwhile, under alkaline conditions, Zn2+ may undergo hydrolysis and precipitation, and the generated Zn(OH)2 may also directly adsorb TCH molecules through hydrogen bonding and electrostatic attraction. In contrast, this phenomenon was absent for P-BC due to the lack of metal oxides [48]. The uptake of TCH can be attributed to the cooperative action of several mechanisms, namely pore filling, electrostatic attraction, hydrogen bonding, and cation bridging. Although the experiment did not conduct XPS/FTIR characterization of adsorption data before and after adsorption or Zn leaching measurement, the conclusion can be indirectly confirmed through other characterization data. In subsequent studies, XPS/FTIR characterization of adsorption data before and after adsorption can be performed to enhance the credibility of the conclusion. To enhance the reference value of the research results, this study was compared with relevant studies: the maximum adsorption capacity of KOH-modified sludge biochar (BC-KOH) for tetracycline (TC) reached 243.32 mg·g−1 (298 K) [49]; the maximum adsorption capacity of Fe-N co-modified rice straw biochar for TC was 156 mg·g−1; and the maximum adsorption capacity of KOH/KMnO4-modified biochar with a hierarchical porous structure reached 584.19 mg·g−1 (318 K) [50]. It was found that the maximum adsorption capacities of Zn-BC and P-BC have significant advantages.

4. Conclusions

The characterization of Zn-BC and P-BC (prepared from Tibet highland barley straw via pyrolysis at 750 °C) demonstrated that chemical modification with ZnCl2 and H3PO4 created abundant micro- and mesopores and introduced surface oxygen-containing functional groups (e.g., –OH, –COOH, and –CHO), which are responsible for their enhanced physicochemical properties.
A notable enhancement in the adsorption of aqueous TCH was achieved by modifying the biochar with H3PO4 and ZnCl2, and the Langmuir model demonstrated that the maximum adsorption capacities (Qmax) of Zn-BC and P-BC were 531.41 mg·g−1 and 252.37 mg·g−1, respectively, outperforming the original BC.
The pseudo-first-order kinetic model exhibited a marginally superior fit for TCH adsorption onto Zn-BC and P-BC compared to the pseudo-second-order kinetic model. This, combined with the observed thermal desorption, is indicative of the weakening of physical bonds at higher temperatures, resulting in the release of a fraction of the adsorbed TCH. These pieces of evidence collectively indicate that the adsorption of TCH is governed by the synergistic effects of multiple mechanisms, including pore filling, electrostatic attraction, and hydrogen bonding, along with multi-layer adsorption.
The solution pH significantly influenced the adsorption of TCH onto the modified biochars in aqueous solution, with a lower pH favoring a stronger adsorption capacity. Notably, the removal efficiency of Zn-BC rebounded at pH = 9 (a phenomenon absent in P-BC); thus, cation bridging is also involved in the adsorption process.
Zn-BC and P-BC are complementary in TCH adsorption: Zn-BC has a higher adsorption capacity, while P-BC shows better stability and ionic interference resistance. Thus, Zn-BC suits high-concentration, low-ionic-strength TCH wastewater, and P-BC is ideal for complex high-ionic-strength water (e.g., industrial/aquaculture wastewater). This study provides theoretical and technical support for high-value utilization of regional agricultural waste (Tibet highland barley straw) and targeted TCH pollution control.
The findings of this study possess clear practical value: they can be targetedly applied to tetracycline (TC) pollution remediation. Specifically, with a high adsorption capacity of 531.41 mg·g−1, Zn-BC is suitable for the advanced treatment of medium and high-concentration pollution such as aquaculture wastewater and pharmaceutical wastewater. In contrast, P-BC, featuring low cost and wide pH adaptability, is applicable to the in situ remediation of trace pollution in natural water bodies and farmland irrigation water. This achieves the resource utilization of regional solid wastes and provides a low-cost treatment scheme for high-altitude areas.
This study has notable limitations: it did not consider the interference of coexisting substrates in actual water bodies or the adsorption performance for trace TC at the ng·L−1 level. It also lacks data on adsorbent regeneration and analysis of TC transformation products. Furthermore, the research was merely laboratory-scale batch experiments, without involving dynamic adsorption tests or pilot-scale verification.
Future research can focus on three aspects. Firstly, introduce complex water substrates and trace concentration gradients to clarify the applicability in practical scenarios. Secondly, develop efficient regeneration processes, track the transformation pathway of TC, and avoid secondary pollution. Thirdly, conduct studies on dynamic adsorption and pilot-scale tests to optimize engineering parameters and promote the large-scale application of the technology.

Author Contributions

Conceptualization and methodology: J.X.; validation, formal analysis, investigation and writing—original draft preparation: J.S.; writing—review and editing, visualization: J.S. and H.X.; resources, data curation, funding acquisition, supervision, project administration: X.G. All authors have read and agreed to the published version of the manuscript.

Funding

This project is supported by the special fund of Henan Key Laboratory of Water Pollution Control and Rehabilitation Technology (CJSZ2024015), the Tibet University Talent Development Incentive Program—Young Scholars Project, and the Special Funds for Supporting Local Universities Development from China Central Government (Document No. 1 of 2025).

Data Availability Statement

The raw data supporting the conclusions of this article will be made available by the authors on request.

Acknowledgments

We are grateful to editors and anonymous reviewers for their productive comments.

Conflicts of Interest

All authors declare no conflicts of interest with the subject matter or materials discussed in this manuscript.

References

  1. Currie, J.; Lin, W.; Zhang, W. Patient knowledge and antibiotic abuse: Evidence from an audit study in China. J. Health Econ. 2011, 30, 933–949. [Google Scholar] [CrossRef]
  2. Kuang, Y.; Guo, X.; Hu, J.; Li, S.; Zhang, R.; Gao, Q.; Yang, X.; Chen, Q.; Sun, W. Occurrence and risks of antibiotics in an urban river in northeastern Xi Zangan Plateau. Sci. Rep. 2020, 10, 20054. [Google Scholar] [CrossRef]
  3. Baquero, F.; Martínez, J.L.; Cantón, R. Antibiotics and antibiotic resistance in water environments. Curr. Opin. Biotechnol. 2008, 19, 260–265. [Google Scholar] [CrossRef]
  4. Seifrtová, M.; Nováková, L.; Lino, C.; Pena, A.; Solich, P. An overview of analytical methodologies for the determination of antibiotics in environmental waters. Anal. Chim. Acta 2009, 649, 158–179. [Google Scholar] [CrossRef]
  5. Chopra, I.; Roberts, M. Tetracycline antibiotics: Mode of action, applications, molecular biology, and epidemiology of bacterial resistance. Microbiol. Mol. Biol. Rev. 2001, 65, 232–260. [Google Scholar] [CrossRef]
  6. Carvalho, I.T.; Santos, L. Antibiotics in the aquatic environments: A review of the European scenario. Environ. Int. 2016, 94, 736–757. [Google Scholar] [CrossRef]
  7. Mei, Y.; Xu, J.; Zhang, Y.; Li, B.; Fan, S.; Xu, H. Effect of Fe–N modification on the properties of biochars and their adsorption behavior on tetracycline removal from aqueous solution. Bioresour. Technol. 2021, 325, 124732. [Google Scholar] [CrossRef]
  8. Wang, J.; Wang, S. Preparation, modification and environmental application of biochar: A review. J. Clean. Prod. 2019, 227, 1002–1022. [Google Scholar] [CrossRef]
  9. Ahmed, M.B.; Zhou, J.L.; Ngo, H.H.; Guo, W.; Chen, M. Progress in the preparation and application of modified biochar for improved contaminant removal from water and wastewater. Bioresour. Technol. 2016, 214, 836–851. [Google Scholar] [CrossRef]
  10. Zhuo, S.N.; Dai, T.C.; Ren, H.Y.; Liu, B.F. Simultaneous adsorption of phosphate and tetracycline by calcium modified corn stover biochar: Performance and mechanism. Bioresour. Technol. 2022, 359, 127477. [Google Scholar] [CrossRef]
  11. Zhang, X.; Hou, J.; Zhang, S.; Cai, T.; Liu, S.; Hu, W.; Zhang, Q. Standardization and micromechanistic study of tetracycline adsorption by biochar. Biochar 2024, 6, 12. [Google Scholar] [CrossRef]
  12. Cui, M.; Zhao, L.X.; Tian, Y.S.; Meng, H.B.; Sun, L.Y.; Zhang, Y.L.; Wang, F.; Li, B.F. Analysis and evaluation on energy utilization of main crop straw resources in China. Trans CSAE 2008, 24, 291. [Google Scholar]
  13. Chen, G.; Gao, K.; Yan, B.; Dan, Z.; Zhou, W.; Cheng, Z. Estimation and emissions from crop straw and animal dung in Xi Zang. Sci. Total Environ. 2018, 631, 1038–1045. [Google Scholar] [CrossRef]
  14. Muzyka, R.; Misztal, E.; Hrabak, J.; Banks, S.W.; Sajdak, M. Various biomass pyrolysis conditions influence the porosity and pore size distribution of biochar. Energy 2023, 263, 126128. [Google Scholar] [CrossRef]
  15. Zhang, X.X.; Bhattacharya, T.; Wang, C.Q.; Kumar, A.; Nidheesh, P.V. Straw-derived biochar for the removal of antibiotics from water: Adsorption and degradation mechanisms, recent advancements and challenges. Environ. Res. 2023, 237, 116998. [Google Scholar] [CrossRef]
  16. Wang, H.; Wang, X.; Teng, H.; Xu, J.; Sheng, L. Purification mechanism of city tail water by constructed wetland substrate with NaOH-modified corn straw biochar. Ecotoxicol. Environ. Saf. 2022, 238, 113597. [Google Scholar] [CrossRef] [PubMed]
  17. Wallace, A.R.; Su, C.; Choi, Y.K.; Kan, E.; Sun, W. Removal of Fluoride from Water Using a Calcium-Modified Dairy Manure-Derived Biochar. J. Environ. Eng. 2020, 146, 04020128. [Google Scholar] [CrossRef]
  18. Ding, W.; Peng, W.; Zeng, X.; Tian, X. Effects of phosphorus concentration on Cr(VI) sorption onto phosphorus-rich sludge biochar. Front. Environ. Sci. Eng. 2014, 8, 379–385. [Google Scholar] [CrossRef]
  19. Xu, Y.; Liao, H.; Zhang, J.; Lu, H.; He, X.; Zhang, Y.; Wu, Z.; Wang, H.; Lu, M. A Novel Ca-Modified Biochar for Efficient Recovery of Phosphorus from Aqueous Solution and Its Application as a Phosphorus Biofertilizer. Nanomaterials 2022, 12, 2755. [Google Scholar] [CrossRef]
  20. Boguta, P.; Sokolowska, Z.; Skic, K.; Tomczyk, A. Chemically engineered biochar—Effect of concentration and type of modifier on sorption and structural properties of biochar from wood waste. Fuel 2019, 256, 115893. [Google Scholar] [CrossRef]
  21. Li, W.; Wu, Y.; Huang, R.; Yang, C.; Zhang, M.; Xie, P.; Xiong, J.; Lu, X. Lanthanum-Modified Sludge Biochar for Geothermal Water Fluoride Removal. Materials 2025, 18, 1421. [Google Scholar] [CrossRef]
  22. Sun, H.; He, J.; Liu, Y.; Ji, X.; Wang, G.; Yang, X.; Zhang, Y. Removal Performance and Mechanism of Emerging Pollutant Chloroquine Phosphate from Water by Iron and Magnesium Co-Modified Rape Straw Biochar. Molecules 2023, 28, 3290. [Google Scholar] [CrossRef] [PubMed]
  23. Hao, J.; Wu, L.; Lu, X.; Zeng, Y.; Jia, B.; Luo, T.; He, S.; Liang, L. A stable Fe/Co bimetallic modified biochar for ofloxacin removal from water: Adsorption behavior and mechanisms. RSC Adv. 2022, 12, 31650–31662. [Google Scholar] [CrossRef] [PubMed]
  24. Zhao, J.; Ye, Z.L.; Pan, X.; Cai, G.; Wang, J. Screening the functions of modified rice straw biochar for adsorbing manganese from drinking water. RSC Adv. 2022, 12, 15222–15230. [Google Scholar] [CrossRef]
  25. Bagheri, A.; Abu-Danso, E.; Iqbal, J.; Bhatnagar, A. Modified biochar from Moringa seed powder for the removal of diclofenac from aqueous solution. Environ. Sci. Pollut. Res. Int. 2020, 27, 7318–7327. [Google Scholar] [CrossRef] [PubMed]
  26. Minaei, S.; Benis, K.Z.; McPhedran, K.N.; Soltan, J. Evaluation of a ZnCl2-modified biochar derived from activated sludge biomass for adsorption of sulfamethoxazole. Chem. Eng. Res. Des. 2023, 190, 407–420. [Google Scholar] [CrossRef]
  27. Gao, X.; Xiao, Z.; Wu, P.; Liu, Y.; Xu, H.; Wang, Y. Recent research advances in adsorption removal of gaseous hydrogen sulfide by biochar. Fuel 2025, 388, 134390. [Google Scholar] [CrossRef]
  28. Hassaan, M.A.; Yılmaz, M.; Helal, M.; El-Nemr, M.A.; Ragab, S.; El Nemr, A. Isotherm and kinetic investigations of sawdust-based biochar modified by ammonia to remove methylene blue from water. Sci. Rep. 2023, 13, 12724. [Google Scholar] [CrossRef]
  29. Liu, Y.; Ji, X.; Wang, Y.; Zhang, Y.; Zhang, Y.; Li, W.; Yuan, J.; Ma, D.; Sun, H.; Duan, J. A Stable Fe-Zn Modified Sludge-Derived Biochar for Diuron Removal: Kinetics, Isotherms, Mechanism, and Practical Research. Molecules 2023, 28, 2868. [Google Scholar] [CrossRef]
  30. Liu, C.; Lin, J.; Chen, H.; Wang, W.; Yang, Y. Comparative Study of Biochar Modified with Different Functional Groups for Efficient Removal of Pb(II) and Ni(II). Int. J. Environ. Res. Public Health 2022, 19, 11163. [Google Scholar] [CrossRef]
  31. Liu, Z.; Zhang, J.; Mou, R. Phosphogypsum-Modified Vinasse Shell Biochar as a Novel Low-Cost Material for High-Efficiency Fluoride Removal. Molecules 2023, 28, 7617. [Google Scholar] [CrossRef]
  32. Chen, Y.; Hassan, M.; Nuruzzaman, M.; Zhang, H.; Naidu, R.; Liu, Y.; Wang, L. Iron-modified biochar derived from sugarcane bagasse for adequate removal of aqueous imidacloprid: Sorption mechanism study. Environ. Sci. Pollut. Res. Int. 2023, 30, 4754–4768. [Google Scholar] [CrossRef] [PubMed]
  33. Wang, Y.; Li, H.; Lin, S. Adsorption Characteristics of Modified Bamboo Charcoal on Cu(II) and Cd(II) in Water. Toxics 2022, 10, 787. [Google Scholar] [CrossRef] [PubMed]
  34. Kang, X.; Sun, M.; Geng, N.; Li, Y.; Wang, H.; Pan, H.; Yang, Q.; Yang, Z.; Lou, Y.; Zhuge, Y. A novel and recyclable silica gel-modified biochar to remove cadmium from wastewater: Model application and mechanism exploration. Ecotoxicol. Environ. Saf. 2024, 281, 116608. [Google Scholar] [CrossRef] [PubMed]
  35. Wu, M.; Wu, L.; Zhang, W.; Zhong, X.; Guo, R.; Cui, Z.; Yang, Y.; Lv, J. Efficient removal of cadmium (II) and arsenic (III) from water by nano-zero-valent iron modified biochar-zeolite composite. Ecotoxicol. Environ. Saf. 2025, 296, 118178. [Google Scholar] [CrossRef]
  36. Wu, X.; Quan, W.; Chen, Q.; Gong, W.; Wang, A. Efficient Adsorption of Nitrogen and Phosphorus in Wastewater by Biochar. Molecules 2024, 29, 1005. [Google Scholar] [CrossRef]
  37. Dobrzyńska, J.; Wysokińska, A.; Olchowski, R. Raspberry stalks-derived biochar, magnetic biochar and urea modified magnetic biochar—Synthesis, characterization and application for As(V) and Cr(VI) removal from river water. J. Environ. Manag. 2022, 316, 115260. [Google Scholar] [CrossRef]
  38. Ma, H.; Zhang, B.; Wang, S.; Liu, C.; Zhu, L.; Zhao, Z.; Li, W.; Shao, Z.; Liu, X.; Dai, Y. Enhanced removal of tetracycline by vitamin C-modified cow manure biochar in water. Sci. Rep. 2024, 14, 22362. [Google Scholar] [CrossRef]
  39. Nie, G.; Wang, W.; Nie, D.; Xu, Q.; Zhang, Y.; Liu, F.; Zou, D. Rationally designed composite adsorptive membrane for Cr(VI) adsorption and reduction combined with Cr(III) sequestration. Desalination 2025, 607, 118806. [Google Scholar] [CrossRef]
  40. Li, Y.; Gao, L.; Lu, Z.; Wang, Y.; Wang, Y.; Wan, S. Enhanced Removal of Heavy Metals from Water by Hydrous Ferric Oxide-Modified Biochar. ACS Omega 2020, 5, 28702–28711. [Google Scholar] [CrossRef]
  41. Zhang, C.; Zhao, S.; Huang, Q.; Liu, J.; Zhang, Q. Adsorptive-photocatalytic removal of tetracycline from wastewater by Fe3O4-and SnO2-containing biochar nanocomposites. Biochar 2025, 7, 38. [Google Scholar] [CrossRef]
  42. Guo, Z.; Zhang, D.; Ma, L.; Dai, Q.; Yang, R.; Ao, R. Magnesium modified algae biochar for phosphorus adsorption: Synthesis, experimental analysis, DFT calculations and regeneration. J. Water Process Eng. 2025, 71, 107169. [Google Scholar] [CrossRef]
  43. Dou, G.; Jiang, Z. Preparation of Sodium Humate-Modified Biochar Absorbents for Water Treatment. ACS Omega 2019, 4, 16536–16542. [Google Scholar] [CrossRef] [PubMed]
  44. Gao, F.; Tan, C.; You, Y.; Hou, Y.; Yan, H.; Lv, X.; Dang, J. Efficient and selective adsorption of Ni(II) and Mo(VI) utilizing novel materials derived from in situ aminated Co/Zn-ZIF-Modified biochar. Sep. Purif. Technol. 2025, 359, 130669. [Google Scholar] [CrossRef]
  45. Li, W.; Xie, P.; Zhou, H.; Zhao, H.; Yang, B.; Xiong, J. Preparation of Lanthanum-Modified Tea Waste Biochar and Its Adsorption Performance on Fluoride in Water. Materials 2024, 17, 766. [Google Scholar] [CrossRef]
  46. Fan, W.; Cheng, L.; Fu, W.; Liu, J.; Jiang, G.; Ao, L. Rice-straw-derived porous biochar with low spatial polarity for efficient adsorptive removal of antibiotics in surface water. J. Water Process Eng. 2025, 73, 107715. [Google Scholar] [CrossRef]
  47. Huang, J.; Zimmerman, A.R.; Chen, H.; Wan, Y.; Zheng, Y.; Yang, Y.; Zhang, Y.; Gao, B. Fixed bed column performance of Al-modified biochar for the removal of sulfamethoxazole and sulfapyridine antibiotics from wastewater. Chemosphere 2022, 305, 135475. [Google Scholar] [CrossRef]
  48. Zeng, L.; Chen, Q.; Liang, N.; Ji, P.; Lu, M.; Wu, M.; Oleszczuk, P.; Pan, B.; Xing, B. The promoted degradation of biochar-adsorbed 2,4-dichlorophenol in the presence of Fe(III). J. Hazard. Mater. 2023, 458, 131774. [Google Scholar] [CrossRef]
  49. Ding, J.; Liang, J.; Wang, Q.; Tan, X.; Xie, W.; Chen, C.; Li, C.; Li, D.; Li, J.; Chen, X. Enhanced Tetracycline Adsorption Using KOH-Modified Biochar Derived from Waste Activated Sludge in Aqueous Solutions. Toxics 2024, 12, 691. [Google Scholar] [CrossRef]
  50. Xu, J.; Zhang, Y.; Li, B.; Fan, S.; Xu, H.; Guan, D.X. Improved adsorption properties of tetracycline on KOH/KMnO4 modified biochar derived from wheat straw. Chemosphere 2022, 296, 133981. [Google Scholar] [CrossRef]
Figure 1. Synthesis procedure of modified biochar.
Figure 1. Synthesis procedure of modified biochar.
Water 17 03335 g001
Figure 2. TCH standard curve.
Figure 2. TCH standard curve.
Water 17 03335 g002
Figure 3. Removal rates of TCH by different modified biochars.
Figure 3. Removal rates of TCH by different modified biochars.
Water 17 03335 g003
Figure 4. TCH removal efficiency by biochars modified with different concentrations of H3PO4 and ZnCl2.
Figure 4. TCH removal efficiency by biochars modified with different concentrations of H3PO4 and ZnCl2.
Water 17 03335 g004
Figure 5. SEM characterization images of different modified biochars ((a) Zn-modified biochar, (b) unmodified biochar, (c) P-modified biochar (×1500), (d) P-modified biochar (×8000)).
Figure 5. SEM characterization images of different modified biochars ((a) Zn-modified biochar, (b) unmodified biochar, (c) P-modified biochar (×1500), (d) P-modified biochar (×8000)).
Water 17 03335 g005
Figure 6. N2 adsorption–desorption isotherms and pore size distribution curves of Zn-BC and P-BC ((a) Adsorption–desorption isotherms, (b) Pore size distribution).
Figure 6. N2 adsorption–desorption isotherms and pore size distribution curves of Zn-BC and P-BC ((a) Adsorption–desorption isotherms, (b) Pore size distribution).
Water 17 03335 g006
Figure 7. FTIR spectra of unmodified biochar (BC), phosphoric acid-modified biochar (P-BC), and zinc chloride-modified biochar (Zn-BC).
Figure 7. FTIR spectra of unmodified biochar (BC), phosphoric acid-modified biochar (P-BC), and zinc chloride-modified biochar (Zn-BC).
Water 17 03335 g007
Figure 8. XRD patterns of phosphoric acid-modified biochar (P-BC) and zinc chloride-modified biochar (Zn-BC).
Figure 8. XRD patterns of phosphoric acid-modified biochar (P-BC) and zinc chloride-modified biochar (Zn-BC).
Water 17 03335 g008
Figure 9. Effect of modified biochar dosage on TCH adsorption. (Experimental conditions: Temperature 25 °C, initial TCH concentration 10 mg·L−1, pH 6.0).
Figure 9. Effect of modified biochar dosage on TCH adsorption. (Experimental conditions: Temperature 25 °C, initial TCH concentration 10 mg·L−1, pH 6.0).
Water 17 03335 g009
Figure 10. Effect of adsorption time on TCH adsorption. (Experimental conditions: Temperature 25 °C, initial TCH concentration 10 mg·L−1, pH 6.0, adsorbent dosage 0.1 g·L−1).
Figure 10. Effect of adsorption time on TCH adsorption. (Experimental conditions: Temperature 25 °C, initial TCH concentration 10 mg·L−1, pH 6.0, adsorbent dosage 0.1 g·L−1).
Water 17 03335 g010
Figure 11. Effect of initial TCH concentration on adsorption performance. (Experimental conditions: Temperature 25 °C, pH 6.0, adsorbent dosage 0.1 g·L−1).
Figure 11. Effect of initial TCH concentration on adsorption performance. (Experimental conditions: Temperature 25 °C, pH 6.0, adsorbent dosage 0.1 g·L−1).
Water 17 03335 g011
Figure 12. Effect of pH on TCH adsorption by modified biochar. (Experimental conditions: Temperature 25 °C, initial TCH concentration 10 mg·L−1, adsorbent dosage 0.1 g·L−1).
Figure 12. Effect of pH on TCH adsorption by modified biochar. (Experimental conditions: Temperature 25 °C, initial TCH concentration 10 mg·L−1, adsorbent dosage 0.1 g·L−1).
Water 17 03335 g012
Figure 13. Effect of temperature on TCH adsorption by modified biochar. (Experimental conditions: pH 6.0, initial TCH concentration 10 mg·L−1, and adsorbent dosage 0.1 g·L−1).
Figure 13. Effect of temperature on TCH adsorption by modified biochar. (Experimental conditions: pH 6.0, initial TCH concentration 10 mg·L−1, and adsorbent dosage 0.1 g·L−1).
Water 17 03335 g013
Figure 14. Kinetic fitting curves of TCH adsorption by modified biochar.
Figure 14. Kinetic fitting curves of TCH adsorption by modified biochar.
Water 17 03335 g014
Figure 15. Isothermal adsorption fitting of TCH on modified biochar.
Figure 15. Isothermal adsorption fitting of TCH on modified biochar.
Water 17 03335 g015
Figure 16. Effect of Ca2+ concentration on adsorption capacity.
Figure 16. Effect of Ca2+ concentration on adsorption capacity.
Water 17 03335 g016
Figure 17. Schematic diagram of TCH adsorption by modified biochar.
Figure 17. Schematic diagram of TCH adsorption by modified biochar.
Water 17 03335 g017
Table 1. Specific surface area and porosity of various modified biochars.
Table 1. Specific surface area and porosity of various modified biochars.
SampleSBET
(m2·g−1)
Total Pore Volume (cm3·g−1)Average Pore Diameter
(nm)
BC112.650.082.97
Zn-BC862.850.663.06
P-BC404.580.304.30
Table 2. Adsorption thermodynamic parameters of Zn-BC and P-BC.
Table 2. Adsorption thermodynamic parameters of Zn-BC and P-BC.

(kJ·mol−1)

(kJ·mol−1)

(kJ·mol−1)
15 °C25 °C35 °C
Zn-BC241.6364.91−3.78−9.03−8.48
P-BC338.5596.38−0.06−6.77−6.68
Table 3. Kinetic fitting parameters for TCH adsorption by modified biochar.
Table 3. Kinetic fitting parameters for TCH adsorption by modified biochar.
Modified Biochar Q exp / mg g 1 Pseudo-First-Order Model
Q t = Q e ( 1 e K 1 t )
Pseudo-Second-Order Model
t Q t = t Q e + 1 K 2 Q 2 e
Q e / mg g 1 K 1 / h 1 R2 Q e / mg g 1 K 2 / g ( mg h ) 1 R2
Zn-BC101.83100.78 ± 4.190.0016 ± 1.84810.9729128.15 ± 7.871.20 ± 2.590.9709
P-BC96.7399.10 ± 5.00.0013 ± 1.64860.9707129.68 ± 9.648.97 ± 2.240.9690
Table 4. Isotherm fitting parameters for TCH adsorption by modified biochar.
Table 4. Isotherm fitting parameters for TCH adsorption by modified biochar.
Modified Biochar Freundlich Model
Q e = K F C e ( 1 / n )
Langmuir Model
Q e = K L Q max C e 1 + K L C e
K F / mg 1 n L n g 1 n R2 Q e / mg g 1 K L / L mg 1 R2
Zn-BC23.47 ± 4.941.61 ± 0.140.977531.41 ± 78.260.021 ± 0.00590.970
P-BC13.92 ± 2.711.79 ± 0.160.975252.37 ± 46.610.021 ± 0.00790.919
Disclaimer/Publisher’s Note: The statements, opinions and data contained in all publications are solely those of the individual author(s) and contributor(s) and not of MDPI and/or the editor(s). MDPI and/or the editor(s) disclaim responsibility for any injury to people or property resulting from any ideas, methods, instructions or products referred to in the content.

Share and Cite

MDPI and ACS Style

Song, J.; Xi, H.; Gu, X.; Xiong, J. Study on the Adsorption of Tetracycline Hydrochloride in Water by Modified Highland Barley Straw Biochar. Water 2025, 17, 3335. https://doi.org/10.3390/w17233335

AMA Style

Song J, Xi H, Gu X, Xiong J. Study on the Adsorption of Tetracycline Hydrochloride in Water by Modified Highland Barley Straw Biochar. Water. 2025; 17(23):3335. https://doi.org/10.3390/w17233335

Chicago/Turabian Style

Song, Jiacheng, Huijun Xi, Xiaogang Gu, and Jian Xiong. 2025. "Study on the Adsorption of Tetracycline Hydrochloride in Water by Modified Highland Barley Straw Biochar" Water 17, no. 23: 3335. https://doi.org/10.3390/w17233335

APA Style

Song, J., Xi, H., Gu, X., & Xiong, J. (2025). Study on the Adsorption of Tetracycline Hydrochloride in Water by Modified Highland Barley Straw Biochar. Water, 17(23), 3335. https://doi.org/10.3390/w17233335

Note that from the first issue of 2016, this journal uses article numbers instead of page numbers. See further details here.

Article Metrics

Article metric data becomes available approximately 24 hours after publication online.
Back to TopTop