Study on the Generation and Output Characteristics of Non-Point Source Pollution in the Process of River Migration
Abstract
1. Introduction
2. Materials and Methods
2.1. Overview of the Study Area
2.2. SWAT Model Construction
2.2.1. Model Database Construction
2.2.2. Sensitivity Analysis, Calibration, and Validation of the SWAT Model
2.2.3. Simulation and Key Parameter Calculation of the SWAT Model’s Construction
3. Results and Discussion
3.1. Spatial Distribution Characteristics of Pollutants Generation Intensity
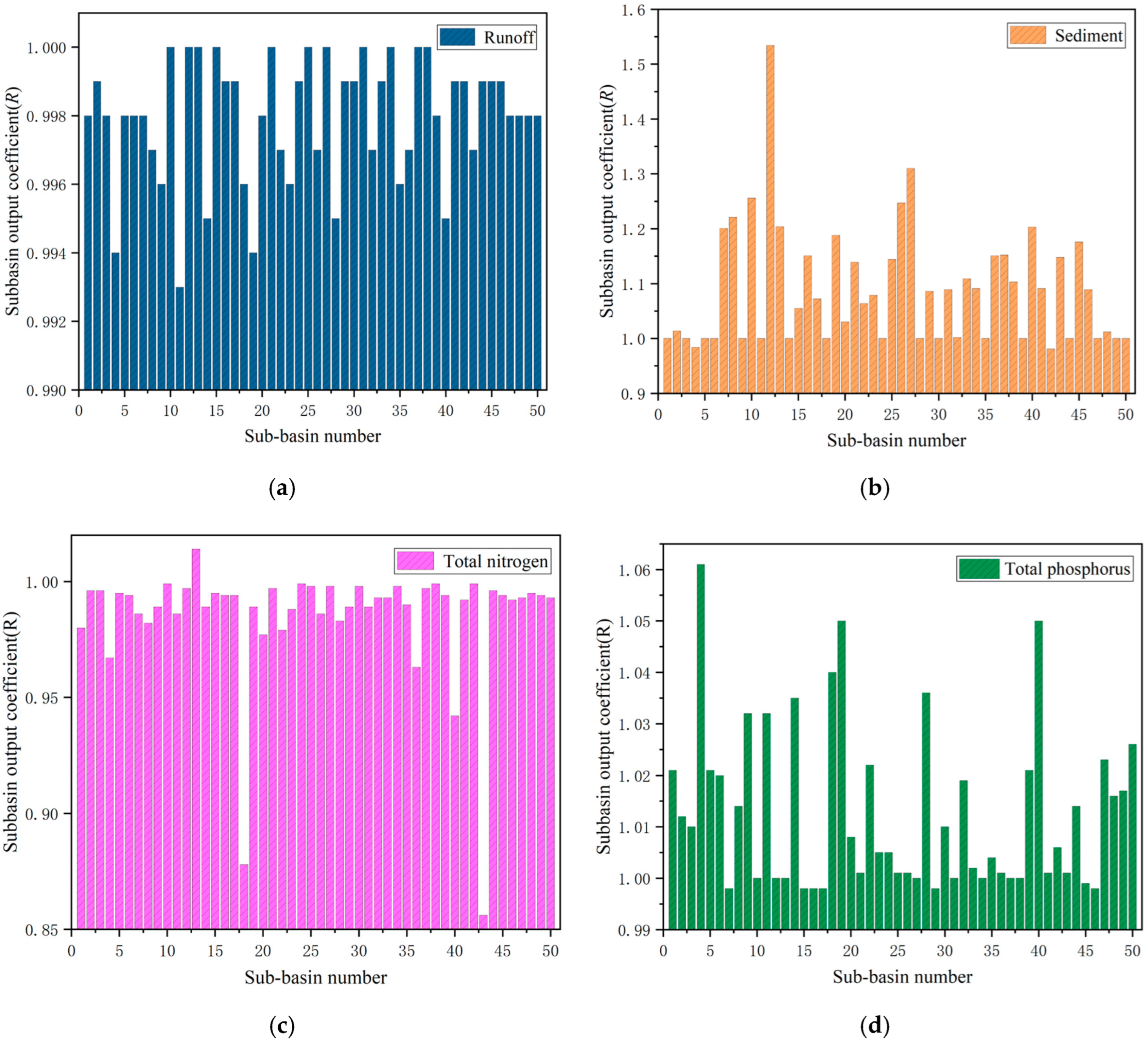
3.2. Spatial Distribution Characteristics of Pollutant Output Intensity
3.3. The Influence of River Migration on Pollutant Output
4. Conclusions
Supplementary Materials
Author Contributions
Funding
Data Availability Statement
Conflicts of Interest
References
- Li, Z.; Liu, M.; Zhao, Y.; Liang, T.; Sha, J.; Wang, Y. Application of Regional Nutrient Management Model in Tunxi Catchment: In Support of the Trans-boundary Eco-compensation in Eastern China. CLEAN–Soil Air Water 2014, 42, 1729–1739. [Google Scholar] [CrossRef]
- Wang, F.; Sun, Z.; Zheng, S.; Yu, J.; Liang, X. An Integrated Approach to Identify Critical Source Areas of Agricultural Nonpoint-Source Pollution at the Watershed Scale. J. Environ. Qual. 2018, 47, 922–929. [Google Scholar] [CrossRef] [PubMed]
- Ruan, S.; Zhuang, Y.; Hong, S.; Zhang, L.; Wang, Z.; Tang, X.; Wen, W. Cooperative identification for critical periods and critical source areas of nonpoint source pollution in a typical watershed in China. Environ. Sci. Pollut. Res. 2020, 27, 10472–10483. [Google Scholar] [CrossRef]
- Ma, D.; Peng, W.; Jin, Y. Identification and Spatial Distribution of Critical Source Areas for Nonpoint Source Pollution on Islands. Fresenius Environ. Bull. 2020, 29, 4861–4870. [Google Scholar]
- Zeiger, S.J.; Owen, M.R.; Pavlowsky, R.T. Simulating nonpoint source pollutant loading in a karst basin: A SWAT modeling application. Sci. Total Environ. 2021, 785, 147295. [Google Scholar] [CrossRef]
- Imani, S.; Delavar, M.; Niksokhan, M.H. Identification of Nutrients Critical Source Areas with SWAT Model under Limited Data Condition. Water Resour. 2019, 46, 128–137. [Google Scholar] [CrossRef]
- Wang, H.; Liu, Y.; Zhu, S.; Liu, Y.; Xu, W. Hydrological modeling of nutrient transport and mitigation strategies for non-point source pollution in the Bailin River basin. J. Contam. Hydrol. 2025, 273, 104617. [Google Scholar] [CrossRef]
- George, A.; Hoang, T.L.; Takashi, G.; Tasuku, K. A Review of SWAT Model Application in Africa. Water 2021, 13, 1313. [Google Scholar] [CrossRef]
- Hu, C.; Wu, Q.; Liu, G.; Ran, H.; Guo, M.; Zhu, J.; Zeng, J. Nitrogen and phosphorus non-point source pollution in the upper Wujiang River Karst Basin: Critical source areas identification and influencing factors. Ecol. Indic. 2025, 170, 112989. [Google Scholar] [CrossRef]
- Han, H.; Gao, R.; Cui, Y.; Gu, S. Transport and transformation of water and nitrogen under different irrigation modes and urea application regimes in paddy fields. Agric. Water Manag. 2021, 255, 107024. [Google Scholar] [CrossRef]
- Hou, C.; Chu, M.L.; Botero-Acosta, A.; Guzman, J.A. Modeling field scale nitrogen non-point source pollution (NPS) fate and transport: Influences from land management practices and climate. Sci. Total Environ. 2021, 759, 143502. [Google Scholar] [CrossRef]
- Yang, D.; Li, L. The Interception and Decontamination of Nitrogen in Input Watercourse by Lake Wetland. Adv. Mater. Res. 2014, 3349, 1474–1478. [Google Scholar] [CrossRef]
- Allen, C.D.; Wynn-Thompson, M.T.; Kopp, A.D.; Cardinale, J.B. Riparian plant biodiversity reduces stream channel migration rates in three rivers in Michigan, U.S.A. Ecohydrology 2018, 11, e1972. [Google Scholar] [CrossRef]
- Ma, F.; Xin, S.; Gan, M.; Wu, S.; Ma, Y. Migration and Transformation of Nitrogen and Phosphorus and Purification Measures in Farmland Drainage Ditch. J. Anhui Agric. Sci. 2019, 47, 10–13. [Google Scholar]
- Shen, Z.; Zhong, Y.; Huang, Q.; Chen, L. Identifying non-point source priority management areas in watersheds with multiple functional zones. Water Res. 2015, 68, 563–571. [Google Scholar] [CrossRef]
- Li, W.; Zhai, L.; Liu, H.; Lei, Q.; Zhang, L.; Liu, S.; Ren, T.; Hu, W.; Fu, B. Contrasting spatial distribution of the emission and export of phosphorus loss from a typical watershed in Yunnan Plateau Lakes Area. China Environ. Sci. 2017, 37, 711–719. [Google Scholar]
- Aryal, N.; Reba, L.M. Transport and transformation of nutrients and sediment in two agricultural watersheds in Northeast Arkansas. Agric. Ecosyst. Environ. 2017, 236, 30–42. [Google Scholar] [CrossRef]
- Yuan, Y.; Chiang, L. Sensitivity analysis of SWAT nitrogen simulations with and without in-stream processes. Arch. Agron. Soil Sci. 2015, 61, 969–987. [Google Scholar] [CrossRef]
- Yu, Y.; Ji, X.G.; Chen, N.Y.; Weng, Q.W.; Chen, W.Q. Simulation and motivation analysis of agricultural nitrogen non-point source pollution in north intensive farming area. Huan Jing Ke Xue 2025, 46, 2783–2792. [Google Scholar]
- Fang, S.; Deitch, J.M.; Gebremicael, G.T.; Angelini, C.; Ortals, J.C. Identifying critical source areas of non-point source pollution to enhance water quality: Integrated SWAT modeling and multi-variable statistical analysis to reveal key variables and thresholds. Water Res. 2024, 253, 121286. [Google Scholar] [CrossRef]
- Wang, W.; Zhao, Y.; Guan, T.; Chen, D.; Jia, H.; Zhang, X.; Yu, Y. Application of SWAT to the simulation of pollution characteristics in karst areas: A case of the upper Chishui River. Environ. Sci. Technol. 2024, 47, 117–124. [Google Scholar]
- Chen, F.; Zhao, Y. Study Progress on Non-point Source Pollution Based on Loss of Nitrogen. Res. Soil Water Conserv. 2006, 13, 49–53. [Google Scholar]
- Xiao, Y.; Zhang, C.; Zhang, T.; Luan, B.; Liu, J.; Zhou, Q.; Li, C.; Cheng, H. Transport processes of dissolved and particulate nitrogen and phosphorus over urban road surface during rainfall runoff. Sci. Total Environ. 2024, 948, 174905. [Google Scholar] [CrossRef] [PubMed]
- Fei, K.; Sun, T.; Deng, L.; Zhang, L.; Wu, Y.; Fan, X.; Dong, Y. Effects of rainfall intensity and slope gradients on total carbon, nitrogen, and phosphorus lateral transport under simulated extraordinary rainstorm. J. Soil Water Conserv. 2022, 77, 589–599. [Google Scholar]
- Li, Z.; Lv, Z.; Zhao, Y.; Wang, Y.; Zhang, Z. Construction of SWAT model and its applicability evaluation in upper basin of Xin’an river. J. Water Resour. Res. 2015, 26, 25–31. [Google Scholar]
- Xiao, Y.; Sun, R.; Wang, Q.; Duan, Q. Study on parameter uncertainty in SWAT model driven by different precipitation. J. Hohai Univ. (Nat. Sci.) 2024, 52, 43–52. [Google Scholar]
- Yu, Y.; Min, X.; Wang, D.; Liu, Y.; Wen, L.; Wang, L.; Zhao, R. Division of multi-factor water environmental control units in watersheds based on the SWAT and GIS coupled models. J. Agric. Resour. Environ. 2025, 42, 815–824. [Google Scholar]
- Tu, A.; Zheng, H.; Mo, M.; Shen, F.; Zhou, C. Effect of hillslope profile shape on runoff and soil erosion in red soil hilly areas of China using the WEPP model. J. Hydrol. 2025, 655, 132914. [Google Scholar] [CrossRef]
- Gergana, K.; Petar, D.; Hristo, B.; Plamen, K. Loss of Nutrients Through Soil Water Erosion in Calcic Chernozem. Acta Technol. Agric. 2022, 25, 113–121. [Google Scholar] [CrossRef]
- Gao, X.G.; Wang, J.P.; Ge, S.; Su, S.K.; Bai, M.H.; Francois, B. Investigation of canopy interception characteristics in slope protection grasses: A laboratory experiment. Sci. Total Environ. 2024, 948, 174731. [Google Scholar] [CrossRef]
- Liu, P.; Shi, Q.; Chen, Z.; Wang, M.; Ying, F.; Gu, X.; Wu, Y.; Yao, Z.; Cong, W.-F.; Zhao, Z.; et al. Dynamically managing soil phosphorus could halve phosphorus losses from cropland in lake basins. Agric. Ecosyst. Environ. 2025, 383, 109532. [Google Scholar] [CrossRef]
- Schramm, M.; Kikoyo, D.; Wright, J.; Jain, S. A meta-analysis of the impacts of best management practices on nonpoint source pollutant concentration. Front. Water 2024, 6, 1397615. [Google Scholar] [CrossRef]
- Yang, X.; Qiu, S.; Wang, C.; Hao, L. The impact of climate and land use changes on nitrogen and phosphorus pollution in the Luhun Lake Basin, China. Front. Earth Sci. 2024, 11, 1302804. [Google Scholar] [CrossRef]
- Zhang, X.; Yu, B.; Xin, Z.; Cong, M.; Zhang, C. Spatial–temporal variations of river water quality under human-induced land use changes in large river basins. Sci. Rep. 2025, 15, 36955. [Google Scholar] [CrossRef] [PubMed]
- Chang, Y.; Shuhang, W.; Che, F.; Dong, X.; Yang, X.; Chen, H.; Huang, W. Arsenic source-sink dynamics under phosphorus competition in sediments from river-lake connected systems. Environ. Sci. Process. Impacts 2025, 27, 706–717. [Google Scholar] [CrossRef]
- Lü, J.; Wang, S.; Liu, B.; Song, X. Spatiotemporal heterogeneity of nitrogen transformation potentials in a freshwater estuarine system. Sci. Total Environ. 2022, 859, 160335. [Google Scholar] [CrossRef] [PubMed]
- Hampton, T.B.; Zarnetske, J.P.; Briggs, M.A.; Dehkordy, F.M.; Singha, K.; Day-Lewis, F.D.; Harvey, J.W.; Chowdhury, S.R.; Lane, J.W. Experimental shifts of hydrologic residence time in a sandy urban stream sediment–water interface alter nitrate removal and nitrous oxide fluxes. Biogeochemistry 2020, 149, 195–219. [Google Scholar] [CrossRef]
- Bisesh, J.; Eva, B.; Erin, P.; Marc, P.; Jinjun, K.; Shreeram, I. Sediment-Nitrogen (N) connectivity: Suspended sediments in streams as N exporters and reactors for denitrification and assimilatory N uptake during storms. Front. Water 2023, 5, 1254225. [Google Scholar] [CrossRef]
- Magri, M.; Benelli, S.; Bartoli, M. Vallisneria spiralis promotes P and Fe retention via radial oxygen loss in contaminated sediments. Water 2023, 15, 15244222. [Google Scholar] [CrossRef]
- Li, S.; Arnscheidt, J.; Cassidy, R.; Douglas, R.; McGrogan, H.; Jordan, P. The spatial and temporal dynamics of sediment phosphorus attenuation and release in impacted stream catchments. Water Res. 2023, 245, 120663. [Google Scholar] [CrossRef]






| Data | Resolution | Format | Source |
|---|---|---|---|
| DEM | 30 m | ESRI Grid | International Scientific Data Service Platform |
| Land Use Map | 30 m | ESRI Grid | Chinese Academy of Environmental Planning |
| Soil Type Distribution Map | 1 km | ESRI Grid | The Second National Soil Census |
| Meteorological Data | 1/4° | .xls | The China Meteorological Assimilation Driving Datasets for the SWAT model |
| Water Quality Data | Month | .xls | Chinese Academy of Environmental Planning |
| Station Name | Latitude/° | Longitude/° | Elevation/m |
|---|---|---|---|
| 119–234 | 29.53 | 118.28 | 490 |
| 120–233 | 29.78 | 118.03 | 183 |
| 120–234 | 29.78 | 118.28 | 156 |
| 120–235 | 29.78 | 118.53 | 309 |
| 121–233 | 30.03 | 118.03 | 869 |
| 121–234 | 30.03 | 118.28 | 627 |
| 121–236 | 30.03 | 118.78 | 387 |
| Code | Name | Date | Management | Fertilizer Amount/(kg·hm−2) | |
|---|---|---|---|---|---|
| Urea | Superphosphate | ||||
| RICE | Rice | 10 May | Seeding | No fertilizer needed | |
| 20 June | Transplanting/Base fertilizer | 210 | 225 | ||
| 5 July | Tillering fertilizer | 105 | 0 | ||
| 1 August | Panicle fertilizer | 210 | 0 | ||
| 25 October | Reaping | Harvesting and removing | |||
| CANP | Oilseed rape | 1 October | Seeding/Base fertilizer | 120 | 750 |
| 1 November | Fertilizer for accelerating seedling growth | 90 | 0 | ||
| 20 December | Fertilizer for winter crops | 45 | 0 | ||
| 20 January | Fertilizer applied during the oilseed rape bolting stage | 45 | 0 | ||
| 10 May | Reaping | Harvesting and removing | |||
| RNGB | Tea tree | 1 November | Base fertilizer | 500 | 375 |
| 1 February | Flushing manure | 300 | 0 | ||
| 25 March | Spring manuring | 225 | 0 | ||
| 15 July | Summer manuring | 225 | 0 | ||
| Sensitivity Ranking | Parameter | p-Value | t-Stat |
|---|---|---|---|
| 1 | SOL_K | 0 | 1 |
| 2 | ESCO | 0.412 | 0.825 |
| 3 | CN2 | 0.845 | 0.196 |
| 4 | SOL_AWC | 0.884 | −0.147 |
| 5 | CH_N2 | 0.938 | −0.078 |
| 6 | GW_DELAY | 0.940 | −0.075 |
| 7 | ALPHA_BF | 0.949 | 0.064 |
| 8 | GWQMN | 0.956 | 0.055 |
| 9 | REVAPMN | 0.982 | 0.022 |
| 10 | GW_REVAP | 0.988 | −0.015 |
| 11 | CANMX | 1 | 0 |
| Variable | Parameter | Description | Lower Limit | Upper Limit | Final Value |
|---|---|---|---|---|---|
| Flow | CN2 | SCS moisture condition II curve number for pervious areas | −0.25 | 0.25 | −0.108 |
| CH_N2 | Main channel Manning coefficient | 0 | 3 | 0.134 | |
| ESCO | Soil evaporation compensation coefficient | 0 | 1 | 0.875 | |
| CANMX | Maximum canopy storage | 0 | 10 | 8.550 | |
| SOL_AWC | Available water capacity of the soil layer | −0.25 | 0.25 | 0.118 | |
| SOL_K | Saturated hydraulic conductivity of the first layer | −0.25 | 0.25 | 0.183 | |
| ALPHA_BF | Baseflow recession coefficient | 0 | 1 | 0.905 | |
| GW_DELAY | Groundwater delay (days) | 0 | 100 | 2.500 | |
| GWQMN | Threshold water level in the shallow aquifer for the base flow | 0 | 500 | 82.500 | |
| REVAPMN | Shallow groundwater runoff coefficient | 0 | 500 | 27.500 | |
| Sediment | SLSUBBSN | Average slope length | 94 | 108 | 94.283 |
| SPCON | Linear parameter for calculating the maximum amount of sediment that can be re-entrained during channel sediment routing | 0.007 | 0.009 | 0.008 | |
| SPEXP | Exponent parameter for calculating sediment re-entrained in channel sediment routing | 0.78 | 0.92 | 0.915 | |
| USLE_P | USLE equation support practice factor | 0.18 | 0.35 | 0.191 | |
| USLE_C | Min value of USLE C factor applicable to the land cover/plant | 0 | 0.5 | AGRL: 0.348 ORCD: 0.245 FRST: 0.285 PAST: 0.041 | |
| TN | CDN | Denitrification rate coefficient | 0 | 0.78 | 0.012 |
| SDNCO | Soil water content threshold for denitrification to occur | 0.63 | 0.97 | 0.836 | |
| NPERCO | Nitrogen percolation coefficient | 0.10 | 0.40 | 0.372 | |
| ERORGN | Organic nitrogen enrichment ratio | 1.88 | 3.75 | 2.656 | |
| RCN | Nitrogen concentration in rainfall | 3.50 | 11.17 | 10.518 | |
| TP | SOL_ORGP | Initial organophosphorus concentration in the soil layer | 49.44 | 71.84 | 57.614 |
| P_UPDIS | Phosphorus absorption distribution | 52.89 | 100.0 | 64.715 | |
| PSP | Phosphorus availability index | 0.55 | 0.70 | 0.687 | |
| ERORGP | Organophosphorus enrichment ratio | 0 | 1.09 | 0.486 | |
| PPERCO | Phosphorus flow coefficient | 10.0 | 15.07 | 14.589 |
Disclaimer/Publisher’s Note: The statements, opinions and data contained in all publications are solely those of the individual author(s) and contributor(s) and not of MDPI and/or the editor(s). MDPI and/or the editor(s) disclaim responsibility for any injury to people or property resulting from any ideas, methods, instructions or products referred to in the content. |
© 2025 by the authors. Licensee MDPI, Basel, Switzerland. This article is an open access article distributed under the terms and conditions of the Creative Commons Attribution (CC BY) license (https://creativecommons.org/licenses/by/4.0/).
Share and Cite
Zhang, M.; Qu, Y.; Xu, L.; Li, X.; He, M.; Zhao, W.; Liu, T. Study on the Generation and Output Characteristics of Non-Point Source Pollution in the Process of River Migration. Water 2025, 17, 3333. https://doi.org/10.3390/w17233333
Zhang M, Qu Y, Xu L, Li X, He M, Zhao W, Liu T. Study on the Generation and Output Characteristics of Non-Point Source Pollution in the Process of River Migration. Water. 2025; 17(23):3333. https://doi.org/10.3390/w17233333
Chicago/Turabian StyleZhang, Min, Yao Qu, Linyu Xu, Xiaoyan Li, Min He, Wenbin Zhao, and Tianhao Liu. 2025. "Study on the Generation and Output Characteristics of Non-Point Source Pollution in the Process of River Migration" Water 17, no. 23: 3333. https://doi.org/10.3390/w17233333
APA StyleZhang, M., Qu, Y., Xu, L., Li, X., He, M., Zhao, W., & Liu, T. (2025). Study on the Generation and Output Characteristics of Non-Point Source Pollution in the Process of River Migration. Water, 17(23), 3333. https://doi.org/10.3390/w17233333

