Influence of Step Height on Turbulence Statistics in the Non-Aerated Skimming Flow in Steep-Stepped Spillways
Abstract
1. Introduction
- (i)
- Does the self-similarity of turbulent kinetic energy (TKE) and its dissipation rate extend across different levels of macro-roughness in stepped spillways, or is it constrained by a specific roughness threshold?
- (ii)
- How does macro-roughness influence the vertical distribution and scaling behavior of key turbulence statistics (TKE, dissipation rate of TKE, and eddy viscosity) in steep-stepped spillways?
2. Description of the Theoretical and Numerical Models

3. Results and Discussions
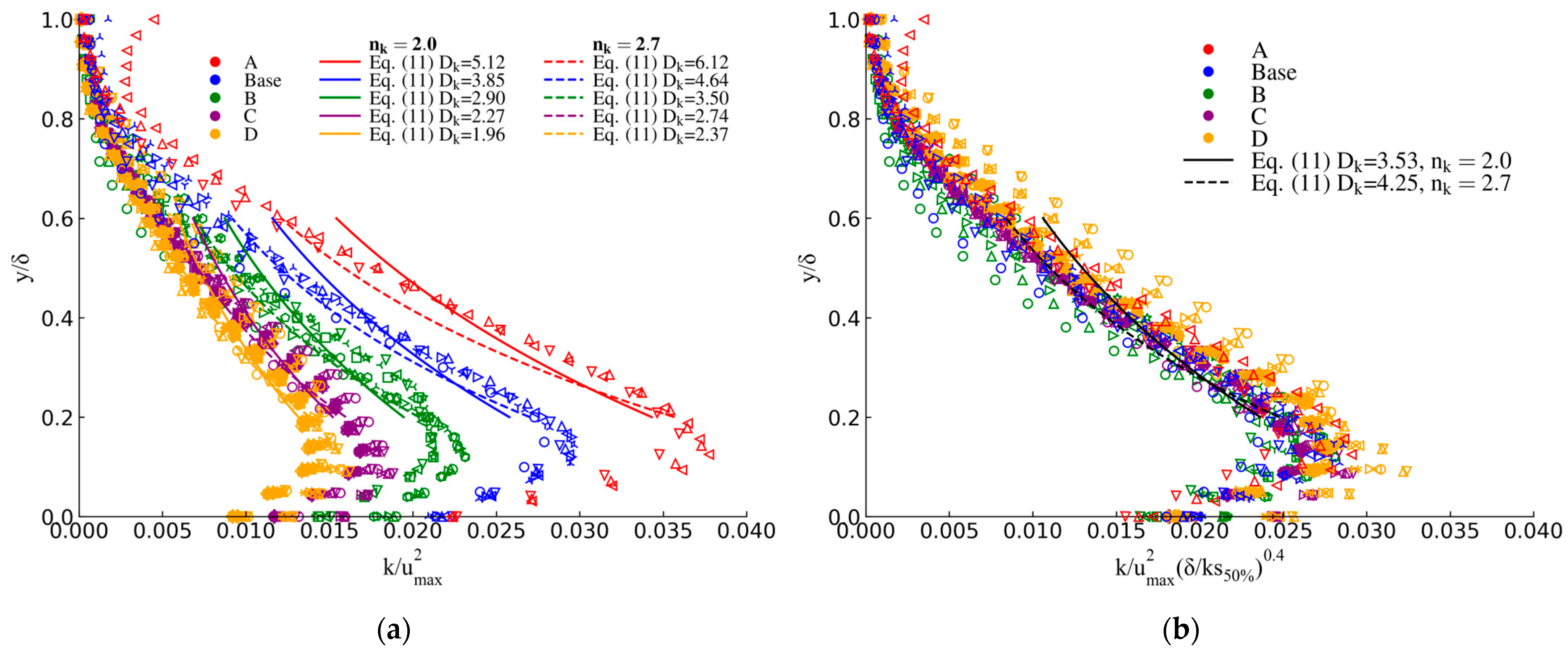
3.1. Effect of Step Height on Turbulence Statistics
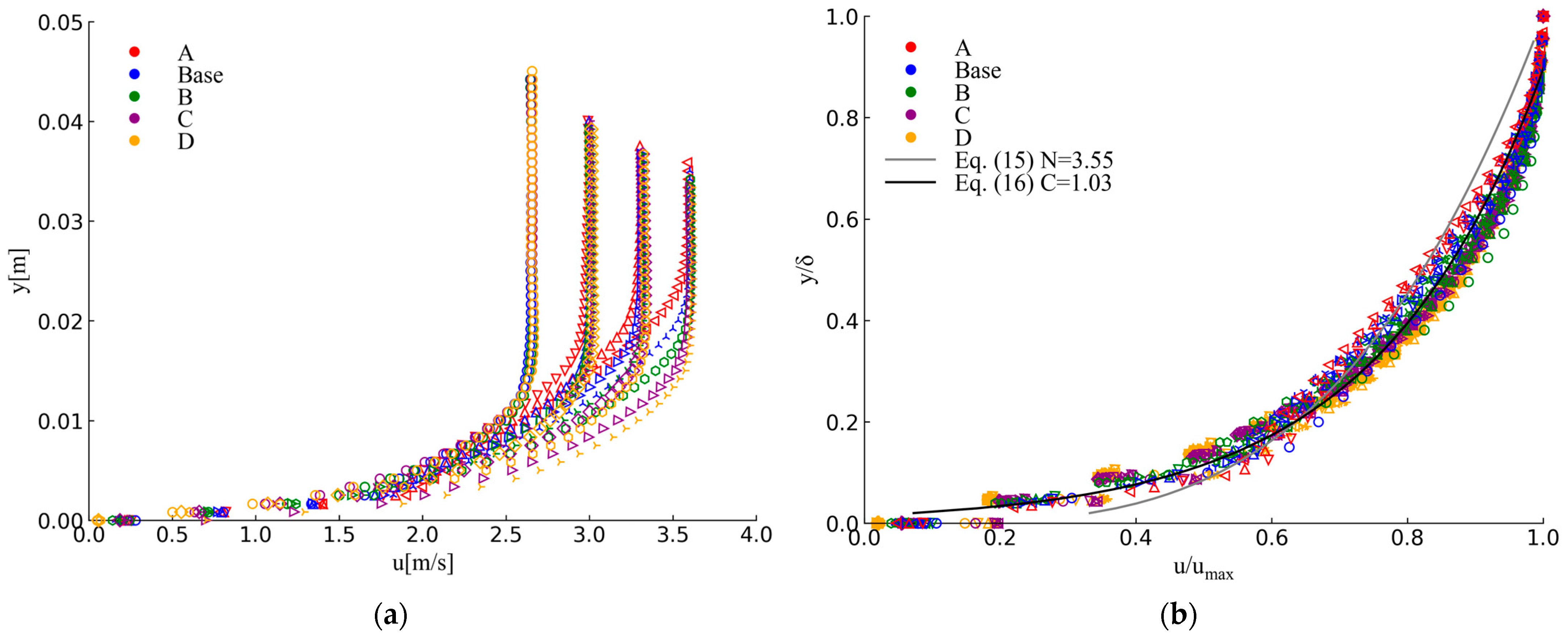
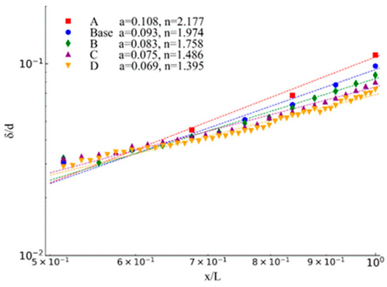
3.2. Influence of Step Height on Boundary Layer Growth
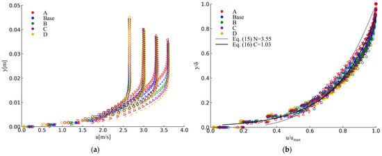
3.3. Mean Flow Velocity
4. Conclusions
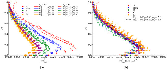
- The distribution of turbulent kinetic energy (TKE) within the boundary layer at the step edges can be represented by a single curve, with maximum TKE values occurring at Furthermore, when the curves are rescaled by a factor of , they collapse into a single profile, regardless of the step height. For a given , TKE values are smaller than those predicted by Nezu and Nakagawa [35] for classical open channel flows, indicating a faster decay.
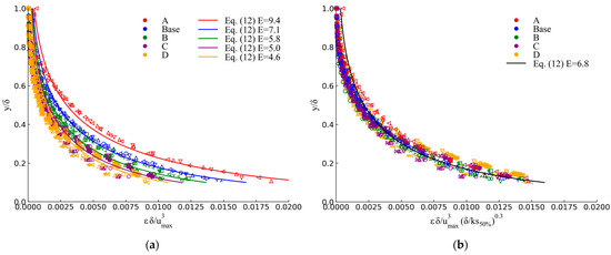
- Likewise, the distribution of the dissipation rate of turbulent kinetic energy at the step edges () exhibits self-similarity and collapses into a single curve when the values are rescaled by a factor of .
- As a result, the eddy viscosity follows an approximate scaling of with maximum values located at .
- The velocity distribution at step edges for the five stepped spillway configurations collapses into a single curve, fitting very well to a logarithmic profile.
- Larger steps yield a thicker boundary layer at the reach end and a faster-than-linear downstream growth, consistent with stronger cavity recirculation, extended shear layers, and enhanced turbulence production.
- The normalized velocity profiles reveal a self-similar outer flow above the pseudobottom, independent of step geometry. In contrast, cavity flow intensifies with step height.
- Future research should examine whether the proposed similarity scaling remain valid near or beyond the inception point of self-aeration, where multiphase interactions and surface instabilities may influence turbulence structure. Extending the framework into this region would enhance its applicability to real-world stepped spillway flows. Additionally, experimental validation of the proposed scaling under varying cavity geometries would represent a critical next step. While challenging, obtaining detailed turbulence measurements in stepped spillways with variable step configurations would help confirm whether the observed numerical collapse of profiles holds in physical flows.
Author Contributions
Funding
Data Availability Statement
Acknowledgments
Conflicts of Interest
Abbreviations
| Roughness height | |
| Turbulent Kinetic Energy | |
| Boundary layer thickness | |
| Dissipation rate | |
| Shear velocity | |
| Water depth | |
| Turbulence production | |
| , | Normal stresses |
| Time–averaged mixture velocity | |
| Mixture density | |
| Gravitational acceleration vector | |
| Time-averaged pressure | |
| Dynamic viscosity | |
| Time coordinate | |
| Fluctuating mixture velocity | |
| Eddy dynamic viscosity | |
| Eddy kinematic viscosity | |
| Kronecker delta | |
| Fraction of the computational cell occupied by water | |
| Relative velocity between air and water | |
| VOF | Volume-of-Fluid |
| Roughness heigh measured normal to the flow from the midpoint of the step diagonal | |
| Distance measured from the crest of the stepped spillway | |
| Discharge per unit width | |
| Reynolds number | |
| Froude number | |
| Angle between the pseudobottom formed by the step edges and the horizontal | |
| Height of steps | |
| Flow length scale | |
| Time-averaged velocity scale | |
| Maximum boundary layer velocity |
References
- Min, S.-K.; Zhang, X.; Zwiers, F.W.; Hegerl, G.C. Human Contribution to More-Intense Precipitation Extremes. Nature 2011, 470, 378–381. [Google Scholar] [CrossRef]
- Allan, R.P. Human Influence on Rainfall. Nature 2011, 470, 344–345. [Google Scholar] [CrossRef]
- Chiew, F.H.S.; McMahon, T.A. Modelling the Impacts of Climate Change on Australian Streamflow. Hydrol. Process. 2002, 16, 1235–1245. [Google Scholar] [CrossRef]
- Jones, P.D.; Reid, P.A. Assessing Future Changes in Extreme Precipitation over Britain Using Regional Climate Model Integrations. Int. J. Climatol. 2001, 21, 1337–1356. [Google Scholar] [CrossRef]
- Singh, V.P. Dam Breach Modeling Technology; Water Science and Technology Library; Springer Science & Business Media: Dordrecht, The Netherlands, 1996; Volume 17, ISBN 978-94-015-8747-1. [Google Scholar]
- Athanasopoulos-Zekkos, A.; Brooks, C.; Champagne, C.; Clark, M.; Dobson, R.; Edmonds, D.; Esser, A.; Gong, W.; Hille, M.; Manousakis, J.; et al. Edenville and Sanford Dam Failures: Field Reconnaissance Report, 1st ed.; Pradel, D., Lobbestael, A., Eds.; Geotechnical Special Publication; American Society of Civil Engineers: Reston, VA, USA, 2021; Volume 327, ISBN 0-7844-8347-7. [Google Scholar]
- Balmforth, D. Toddbrook Reservoir Independent Review Report; ASFA Monographs; Department for Environment, Food and Rural Affairs: London, UK, 2020.
- Armon, M.; Shmilovitz, Y.; Dente, E. Anatomy of a Foreseeable Disaster: Lessons from the 2023 Dam-Breaching Flood in Derna, Libya. Sci. Adv. 2025, 11, eadu2865. [Google Scholar] [CrossRef]
- Hwang, J.; Lall, U. Increasing Dam Failure Risk in the USA Due to Compound Rainfall Clusters as Climate Changes. npj Nat. Hazards 2024, 1, 27. [Google Scholar] [CrossRef]
- Herbozo, J.E.; Muñoz, L.E.; Guerra, M.J.; Minaya, V.; Haro, P.; Carrillo, V.; Manciati, C.; Campozano, L. Non-Stationary Hydrological Regimes Due to Climate Change: The Impact of Future Precipitation in the Spillway Design of a Reservoir, Case Study: Sube y Baja Dam, in Ecuador. Atmosphere 2022, 13, 828. [Google Scholar] [CrossRef]
- Chanson, H. Hydraulics of Stepped Chutes and Spillways; A. A. Balkema/Taylor & Francis: Lisse, The Netherlands, 2002; ISBN 978-90-5809-352-3. [Google Scholar]
- Meireles, I.; Renna, F.; Matos, J.; Bombardelli, F. Skimming, Nonaerated Flow on Stepped Spillways over Roller Compacted Concrete Dams. J. Hydraul. Eng. 2012, 138, 870–877. [Google Scholar] [CrossRef]
- Meireles, I.C.; Bombardelli, F.A.; Matos, J. Air Entrainment Onset in Skimming Flows on Steep Stepped Spillways: An Analysis. J. Hydraul. Res. 2014, 52, 375–385. [Google Scholar] [CrossRef]
- Chanson, H.; Bung, D.B.; Matos, J. Stepped Spillways and Cascades. In Energy Dissipation in Hydraulic Structures; Chanson, H., Ed.; CRC Press/Taylor & Francis: Boca Raton, FL, USA, 2015. [Google Scholar]
- Boes, R.; Minor, H.-E. Hydraulic Design of Stepped Spillways for RCC Dams. Hydropower Dams 2002, 9, 87–91. [Google Scholar]
- Frizell, K.W.; Frizell, K.H. Guidelines for Hydraulic Design of Stepped Spillways; U.S. Bureau of Reclamation, Hydraulic Laboratory: Denver, CO, USA, 2015.
- Christodoulou, G.C. Design of Stepped Spillways for Optimal Energy Dissipation. Hydropower Dams 1999, 5, 90–93. [Google Scholar]
- Ruff, J.F.; Ward, J.P. Hydraulic Design of Stepped Spillways; Engineering Research Center, Colorado State University: Fort Collins, CO, USA, 2002. [Google Scholar]
- Boes, R.M.; Hager, W.H. Two-Phase Flow Characteristics of Stepped Spillways. J. Hydraul. Eng. 2003, 129, 661–670. [Google Scholar] [CrossRef]
- Ohtsu, I.; Yasuda, Y.; Takahashi, M. Flow Characteristics of Skimming Flows in Stepped Channels. J. Hydraul. Eng. 2004, 130, 860–869. [Google Scholar] [CrossRef]
- Matos, J. Hydraulic Design of Stepped Spillways over RCC Dams. In Hydraulics of Stepped Chutes and Spillways; Chanson, H., Ed.; CRC Press/Taylor & Francis: Boca Raton, FL, USA, 2000; pp. 187–194. [Google Scholar]
- Toro, J.P.; Bombardelli, F.A.; Paik, J.; Meireles, I.; Amador, A. Characterization of Turbulence Statistics on the Non-Aerated Skimming Flow over Stepped Spillways: A Numerical Study. Environ. Fluid Mech. 2016, 16, 1195–1221. [Google Scholar] [CrossRef]
- Toro, J.P.; Bombardelli, F.A.; Paik, J. Detached Eddy Simulation of the Nonaerated Skimming Flow over a Stepped Spillway. J. Hydraul. Eng. 2017, 143, 04017032. [Google Scholar] [CrossRef]
- Meireles, I. Hydraulics of Stepped Chutes: Experimental–Numerical–Theoretical Study. Ph.D. Thesis, University of Aveiro, Aveiro, Portugal, 2011. [Google Scholar]
- Matos, J. Air Entrainment and Energy Dissipation in Flow over Stepped Spillways. Ph.D. Thesis, Universidade de Lisboa, Lisbon, Portugal, 1999. [Google Scholar]
- Amador, A.; Sánchez-Juny, M.; Dolz, J. Characterization of the Nonaerated Flow Region in a Stepped Spillway by PIV. J. Fluids Eng. 2006, 128, 1266–1273. [Google Scholar] [CrossRef]
- Hunt, S.L.; Kadavy, K.C. Energy Dissipation on Flat-Sloped Stepped Spillways: Part 1. Upstream of the Inception Point. Trans. ASABE 2010, 53, 103–109. [Google Scholar] [CrossRef]
- Bombardelli, F.A.; Meireles, I.; Matos, J. Laboratory Measurements and Multi-Block Numerical Simulations of the Mean Flow and Turbulence in the Non-Aerated Skimming Flow Region of Steep Stepped Spillways. Environ. Fluid Mech. 2011, 11, 263–288. [Google Scholar] [CrossRef]
- Zhang, J.; Chen, J.; Wang, Y. Experimental Study on Time-Averaged Pressures in Stepped Spillway. J. Hydraul. Res. 2012, 50, 236–240. [Google Scholar] [CrossRef]
- Frizell, K.W.; Renna, F.M.; Matos, J. Cavitation Potential of Flow on Stepped Spillways. J. Hydraul. Eng. 2013, 139, 630–636. [Google Scholar] [CrossRef]
- Zhang, G.; Chanson, H. Hydraulics of the Developing Flow Region of Stepped Cascades: An Experimental Investigation; Hydraulic Model Report; School of Civil Engineering, The University of Queensland: Brisbane, Australia, 2015; p. 76. [Google Scholar]
- Zhang, G.; Chanson, H. Hydraulics of the Developing Flow Region of Stepped Spillways. I: Physical Modeling and Boundary Layer Development. J. Hydraul. Eng. 2016, 142, 04016015. [Google Scholar] [CrossRef]
- Zhang, G.; Chanson, H. Hydraulics of the Developing Flow Region of Stepped Spillways. II: Pressure and Velocity Fields. J. Hydraul. Eng. 2016, 142, 04016016. [Google Scholar] [CrossRef]
- Valero, D.; Bung, D.B. Development of the Interfacial Air Layer in the Non-Aerated Region of High-Velocity Spillway Flows. Instabilities Growth, Entrapped Air and Influence on the Self-Aeration Onset. Int. J. Multiph. Flow 2016, 84, 66–74. [Google Scholar] [CrossRef]
- Nezu, I.; Nakagawa, H. Turbulence in Open Channel Flows; A. A. Balkema/Taylor & Francis: Lisse, The Netherlands, 1993; ISBN 9789054101185. [Google Scholar]
- Ercan, A.; Kavvas, M.L.; Haltas, I. Scaling and Self-Similarity in One-Dimensional Unsteady Open Channel Flow. Hydrol. Process. 2014, 28, 2721–2737. [Google Scholar] [CrossRef]
- Heller, V. Self-Similarity and Reynolds Number Invariance in Froude Modelling. J. Hydraul. Res. 2017, 55, 293–309. [Google Scholar] [CrossRef]
- Hellström, L.H.O.; Marusic, I.; Smits, A.J. Self-Similarity of the Large-Scale Motions in Turbulent Pipe Flow. J. Fluid Mech. 2016, 792, R1. [Google Scholar] [CrossRef]
- Kuhn, P.; Soria, J.; Oberleithner, K. Linear Modelling of Self-Similar Jet Turbulence. J. Fluid Mech. 2021, 919, A7. [Google Scholar] [CrossRef]
- Krogstadt, P.-Å.; Antonia, R.A. Surface Roughness Effects in Turbulent Boundary Layers. Exp. Fluids 1999, 27, 450–460. [Google Scholar] [CrossRef]
- Hassan, M.K.; Hassan, M.Z.; Pavel, N.I. Dynamic Scaling, Data-Collapse and Self-Similarity in Barabási–Albert Networks. J. Phys. A Math. Theor. 2011, 44, 175101. [Google Scholar] [CrossRef]
- Nikora, V.I.; Smart, G.M. Turbulence Characteristics of New Zealand Gravel-Bed Rivers. J. Hydraul. Eng. 1997, 123, 764–773. [Google Scholar] [CrossRef]
- Amador, A. Comportamiento Hidráulico de los Aliviaderos Escalonados en Presas de Hormigón Compactado. Ph.D. Thesis, Technical University of Catalonia (UPC), Barcelona, Spain, 2005. [Google Scholar]
- Gioia, G.; Bombardelli, F.A. Scaling and Similarity in Rough Channel Flows. Phys. Rev. Lett. 2001, 88, 014501. [Google Scholar] [CrossRef]
- Chanson, H.; Carosi, G. Turbulent Time and Length Scale Measurements in High-Velocity Open Channel Flows. Exp. Fluids 2007, 42, 385–401. [Google Scholar] [CrossRef]
- Gonzalez, C.A.; Takahashi, M.; Chanson, H. An Experimental Study of Effects of Step Roughness in Skimming Flows on Stepped Chutes. J. Hydraul. Res. 2008, 46, 24–35. [Google Scholar] [CrossRef]
- Chanson, H. Hydraulics of Skimming Flows over Stepped Channels and Spillways. J. Hydraul. Res. 1994, 32, 445–460. [Google Scholar] [CrossRef]
- Rajaratnam, N. Skimming Flow in Stepped Spillways. J. Hydraul. Eng. 1990, 116, 587–591. [Google Scholar] [CrossRef]
- Wood, I.R. Free Surface Air Entrainment on Spillways. In Air Entrainment in Free-Surface Flow; Wood, I.R., Ed.; IAHR Hydraulic Structures Design Manuals; Routledge: London, UK, 1991; Volume 4, p. 30. [Google Scholar]
- Bombardelli, F.A.; Buscaglia, G.C.; Rehmann, C.R.; Rincón, L.E.; García, M.H. Modeling and Scaling of Aeration Bubble Plumes: A Two-Phase Flow Analysis. J. Hydraul. Res. 2007, 45, 617–630. [Google Scholar] [CrossRef]
- Rodi, W. Turbulence Models and Their Application in Hydraulics: A State of the Art Review, 2nd ed.; International Association for Hydraulic Research: Delft, The Netherlands, 1984. [Google Scholar]
- Pope, S.B. Turbulent Flows; Cambridge University Press: Cambridge, UK, 2000. [Google Scholar]
- Harlow, F.H.; Nakayama, P.I. Turbulence Transport Equations. Phys. Fluids 1967, 10, 2323–2332. [Google Scholar] [CrossRef]
- Launder, B.E.; Spalding, D.B. Lectures in Mathematical Models of Turbulence; Academic Press: Oxford, UK, 1972; ISBN 978-0-12-438050-9. [Google Scholar]
- Montecchia, M.; Brethouwer, G.; Johansson, A.V.; Wallin, S. Taking Large-Eddy Simulation of Wall-Bounded Flows to Higher Reynolds Numbers by Use of Anisotropy-Resolving Subgrid Models. Phys. Rev. Fluids 2017, 2, 034601. [Google Scholar] [CrossRef]
- Feng, S.; Zheng, X.; Hu, R.; Wang, P. Large Eddy Simulation of High-Reynolds-Number Atmospheric Boundary Layer Flow with Improved near-Wall Correction. Appl. Math. Mech. 2020, 41, 33–50. [Google Scholar] [CrossRef]
- Kadia, S.; Rüther, N.; Albayrak, I.; Pummer, E. Reynolds Stress Modeling of Supercritical Narrow Channel Flows Using OpenFOAM: Secondary Currents and Turbulent Flow Characteristics. Phys. Fluids 2022, 34, 125116. [Google Scholar] [CrossRef]
- Davidson, P. Turbulence: An Introduction for Scientists and Engineers; Oxford University Press: Oxford, UK, 2015; ISBN 978-0-19-872258-8. [Google Scholar]
- Greenshields, C. OpenFOAM V12 User Guide; The OpenFOAM Foundation: London, UK, 2024. [Google Scholar]
- Ferziger, J.H.; Perić, M. Computational Methods for Fluid Dynamics, 3rd ed.; Springer: Berlin/Heidelberg, Germany, 2002; ISBN 978-3-642-56026-2. [Google Scholar]
- Hirt, C.W.; Nichols, B.D. Volume of Fluid (VOF) Method for the Dynamics of Free Boundaries. J. Comput. Phys. 1981, 39, 201–225. [Google Scholar] [CrossRef]
- Chanson, H. 19-Design of Weirs and Spillways. In Hydraulics of Open Channel Flow, 2nd ed.; Chanson, H., Ed.; Butterworth-Heinemann: Oxford, UK, 2004; pp. 391–430. ISBN 978-0-7506-5978-9. [Google Scholar]
- Amador, A.; Sánchez-Juny, M.; Dolz, J. Developing Flow Region and Pressure Fluctuations on Steeply Sloping Stepped Spillways. J. Hydraul. Eng. 2009, 135, 1092–1100. [Google Scholar] [CrossRef]
- Park, D.; Mani, A. Direct Calculation of the Eddy Viscosity Operator in Turbulent Channel Flow at Reτ = 180. J. Fluid Mech. 2024, 998, A33. [Google Scholar] [CrossRef]
- Absi, R. Reinvestigating the Parabolic-Shaped Eddy Viscosity Profile for Free Surface Flows. Hydrology 2021, 8, 126. [Google Scholar] [CrossRef]
- Barenblatt, G.I. Scaling, Self-Similarity, and Intermediate Asymptotics: Dimensional Analysis and Intermediate Asymptotics; Cambridge Texts in Applied Mathematics; Cambridge University Press: Cambridge, UK, 1996. [Google Scholar]
- Carosi, G.; Chanson, H. Self-Similarity of Air-Water Flows in Skimming Flows on Stepped Spillways. In Proceedings of the Proceedings of the 32nd IAHR World Congress, Venice, Italy, 1–6 July 2007. [Google Scholar]









| Case | Height of Steps (cm) | Horizontal Length of Steps (cm) | Step Dimension Measured Normal to the Flow, (cm) | (cm) | Number of Cells |
|---|---|---|---|---|---|
| A | 10 | 8 | 6.25 | 5.12 | 90,973 |
| Base | 5 | 4 | 3.12 | 2.56 | 87,793 |
| B | 2.5 | 2 | 1.56 | 1.28 | 86,363 |
| C | 1.25 | 1 | 0.78 | 0.64 | 82,153 |
| D | 0.625 | 0.5 | 0.39 | 0.32 | 98,273 |
| Case | Step Height (cm) | Constant | Power Exponent | Goodness of Fit |
|---|---|---|---|---|
| A | 10 | 0.108 | 2.177 | 0.983 |
| Base | 5 | 0.093 | 1.974 | 0.976 |
| B | 2.5 | 0.083 | 1.758 | 0.978 |
| C | 1.25 | 0.075 | 1.486 | 0.975 |
| D | 0.625 | 0.069 | 1.395 | 0.978 |
Disclaimer/Publisher’s Note: The statements, opinions and data contained in all publications are solely those of the individual author(s) and contributor(s) and not of MDPI and/or the editor(s). MDPI and/or the editor(s) disclaim responsibility for any injury to people or property resulting from any ideas, methods, instructions or products referred to in the content. |
© 2025 by the authors. Licensee MDPI, Basel, Switzerland. This article is an open access article distributed under the terms and conditions of the Creative Commons Attribution (CC BY) license (https://creativecommons.org/licenses/by/4.0/).
Share and Cite
Toro, J.P.; Sepúlveda, S.; Bombardelli, F.A.; Moreno-Casas, P.A.; Meireles, I.; Matos, J.; Blanc, A. Influence of Step Height on Turbulence Statistics in the Non-Aerated Skimming Flow in Steep-Stepped Spillways. Water 2025, 17, 3256. https://doi.org/10.3390/w17223256
Toro JP, Sepúlveda S, Bombardelli FA, Moreno-Casas PA, Meireles I, Matos J, Blanc A. Influence of Step Height on Turbulence Statistics in the Non-Aerated Skimming Flow in Steep-Stepped Spillways. Water. 2025; 17(22):3256. https://doi.org/10.3390/w17223256
Chicago/Turabian StyleToro, Juan Pablo, Sebastián Sepúlveda, Fabián A. Bombardelli, Patricio A. Moreno-Casas, Inês Meireles, Jorge Matos, and Alex Blanc. 2025. "Influence of Step Height on Turbulence Statistics in the Non-Aerated Skimming Flow in Steep-Stepped Spillways" Water 17, no. 22: 3256. https://doi.org/10.3390/w17223256
APA StyleToro, J. P., Sepúlveda, S., Bombardelli, F. A., Moreno-Casas, P. A., Meireles, I., Matos, J., & Blanc, A. (2025). Influence of Step Height on Turbulence Statistics in the Non-Aerated Skimming Flow in Steep-Stepped Spillways. Water, 17(22), 3256. https://doi.org/10.3390/w17223256

