Accumulation of Metal Contaminants in Rural Roof-Harvested Drinking Water Tanks in the Vicinity of a Metal Mine and Coal Mines
Abstract
1. Introduction
2. Materials and Methods
2.1. Cadia Gold and Copper Mine
2.2. Narrabri Coal Mines
“All operations and activities occurring at the premises must be carried out in a manner that will minimise the emission of dust from the premises”[37]
2.3. Mendooran
2.4. Selection of Properties for Testing
Collecting Tank Samples
2.5. Collecting Water Samples from Water Tanks
2.6. Water Quality Guidelines for Drinking Water
2.7. Data Analysis
Statistical Analysis
2.8. Mine Emissions Reported to National Pollutant Inventory
2.9. Cadia Mine Particulate Emissions
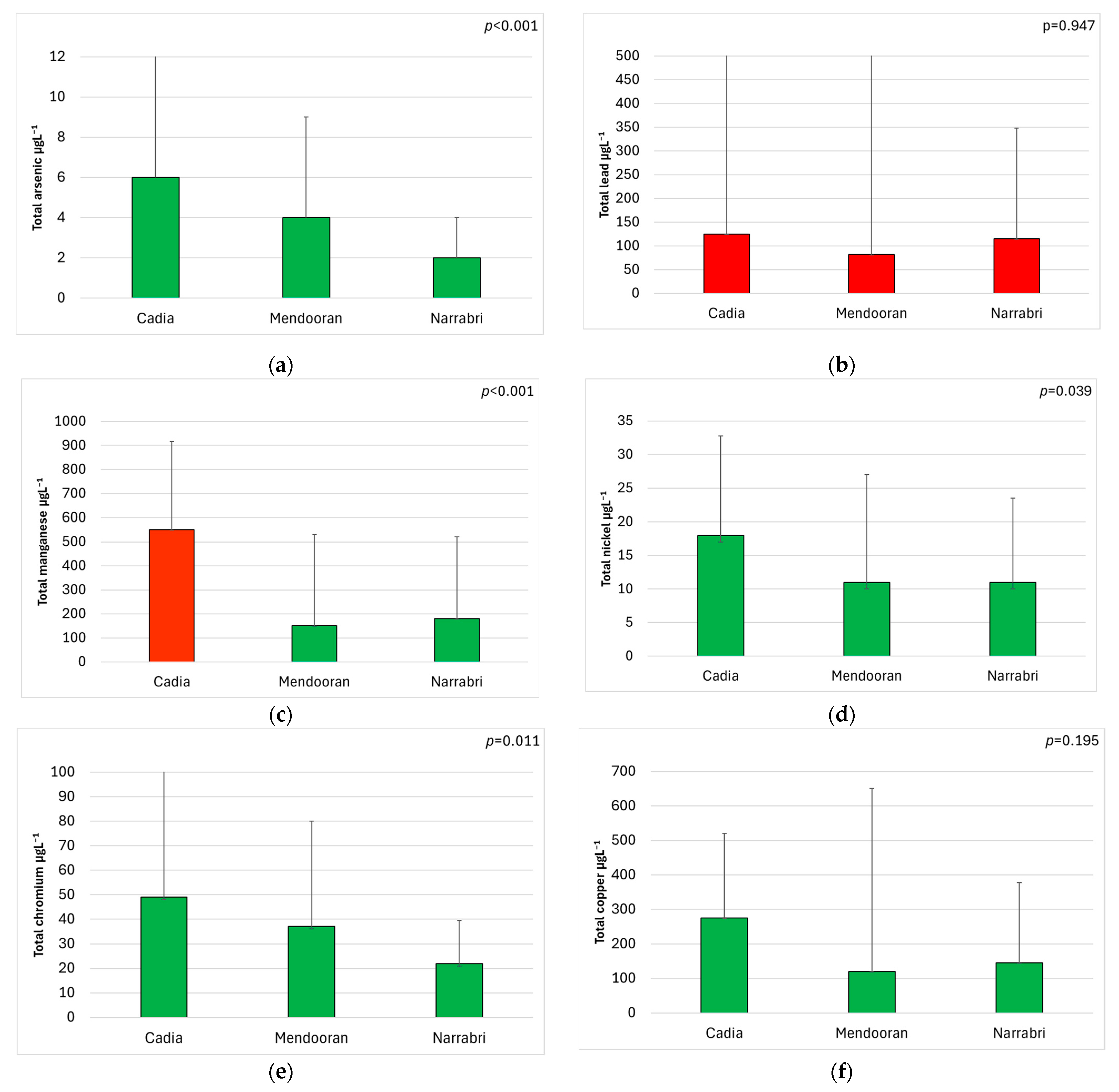
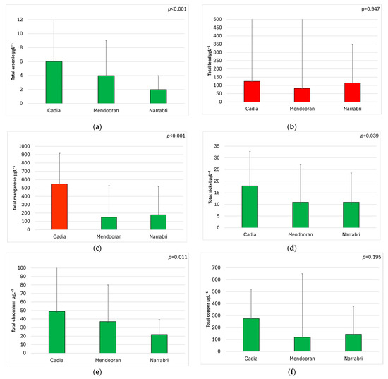
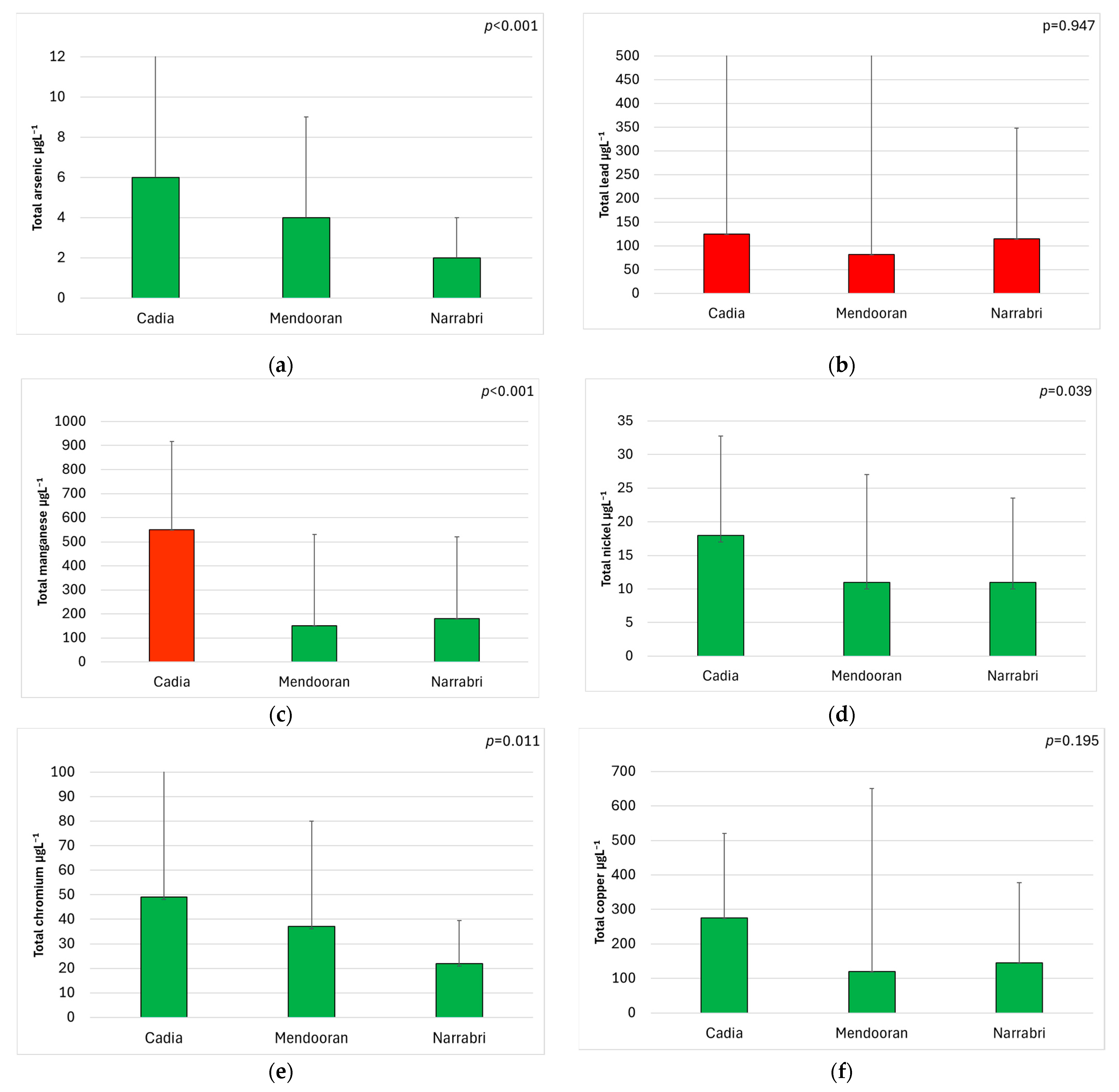
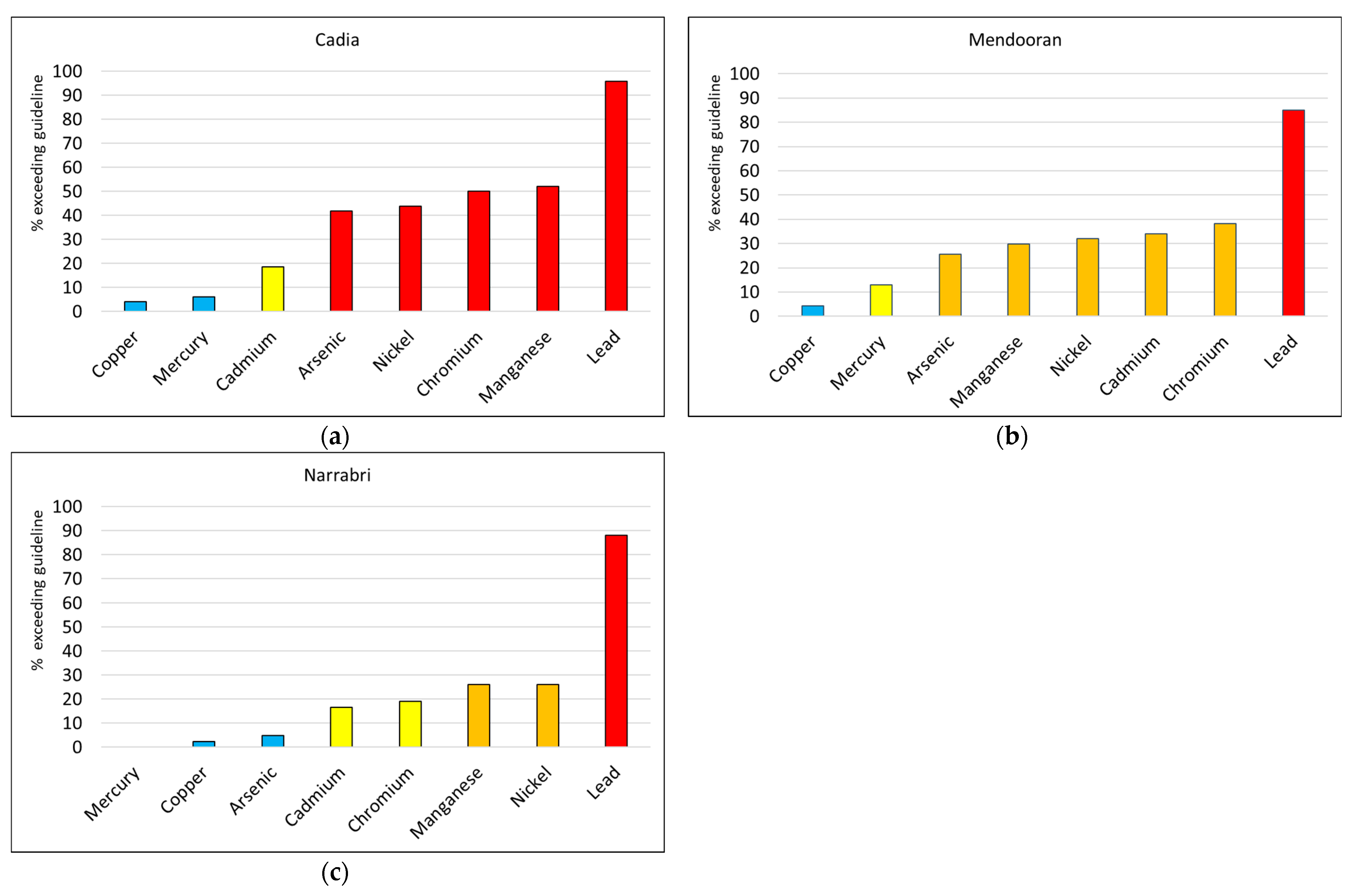
3. Results
3.1. Water Chemistry
3.1.1. General Water Quality
3.1.2. Metals and Metalloid
3.2. Comparison of Tank Results with NPI Industrial Emissions Reporting
4. Discussion
5. Conclusions
Author Contributions
Funding
Data Availability Statement
Acknowledgments
Conflicts of Interest
Abbreviations
| ADWG | Australian Drinking Water Guideline |
| EPA | NSW Environment Protection Authority |
| EPL | Environment Protection Licence |
| NPI | National Pollutant Inventory |
References
- enHealth. Guidance on Use of Rainwater Tanks; Department of Health, Commonwealth of Australia: Canberra, Australia, 2010; pp. 1–64. ISBN 978-1-74241-325-9. Available online: https://www.health.gov.au/sites/default/files/documents/2022/07/enhealth-guidance-guidance-on-the-use-of-rainwater-tanks.pdf (accessed on 19 September 2025).
- Chapman, H.; Cartwright, T.; Huston, R.; O’Toole, J. Water Quality and Health Risks from Urban Rainwater Tanks. CRC for Water Quality and Treatment. Research Report 42. 2008. Available online: https://www.ctahr.hawaii.edu/hawaiirain/Library/papers/Non-conference%20papers/report42_WQ_health_risks_rainwater.pdf (accessed on 19 September 2025).
- Chubaka, C.E.; Whiley, H.; Edwards, J.W.; Ross, K.E. Lead, zinc, copper, and cadmium content of water from South Australian rainwater tanks. Int. J. Environ. Res. Public Health 2018, 15, 1551. [Google Scholar] [CrossRef] [PubMed]
- Huston, R.; Chan, Y.C.; Chapman, H.; Gardner, T.; Shaw, G. Source apportionment of heavy metals and ionic contaminants in rainwater tanks in a subtropical urban area in Australia. Water Res. 2012, 46, 1121–1132. [Google Scholar] [CrossRef] [PubMed]
- Australian Drinking Water Guidelines (ADWG). Paper 6 National Water Quality Management Strategy. National Health and Medical Research Council, National Resource Management Ministerial Council, Commonwealth of Australia, Canberra. 2011. Available online: https://www.nhmrc.gov.au/about-us/publications/australian-drinking-water-guidelines (accessed on 19 September 2025).
- Heyworth, J.S.; Mullan, N. Environmental lead and nickel contamination of tank rainwater in Esperance, Western Australia: An evaluation of the cleaning program. J. Water Resour. Prot. 2009, 1, 1–9. [Google Scholar] [CrossRef]
- Western Australia Legislative Assembly. Inquiry into the Cause and Extent of Lead Pollution in the Esperance Area. Report No. 8 in the 37th Parliament 2007. Available online: https://www.parliament.wa.gov.au/parliament/commit.nsf/(WebInquiries)/28F900665F5C386048257831003E970C?opendocument (accessed on 19 September 2025).
- Magyar, M.I.; Mitchell, V.G.; Ladson, A.R.; Diaper, C. Lead and other heavy metals: Common contaminants of rainwater tanks in Melbourne. Water Down Under Conference. In Proceedings of the 31st Hydrology and Water Resources Symposium and 4th International Conference on Water Resources and Environmental Research, Adelaide, Australia, 14–17 April 2008; pp. 409–417. [Google Scholar]
- World Health Organization (WHO). Lead Poisoning and Health Factsheet. Available online: https://www.who.int/news-room/fact-sheets/detail/lead-poisoning-and-health (accessed on 19 September 2025).
- Government of Canada. Guidelines for Canadian Drinking Water Quality: Guideline Technical Document—Lead. 2019. Available online: https://www.canada.ca/en/health-canada/services/publications/healthy-living/guidelines-canadian-drinking-water-quality-guideline-technical-document-lead.html (accessed on 19 September 2025).
- Wright, I.A.; Christie, A.; Gilpin, A.-M. Water Quality of Roof-Harvested Drinking Water Tanks in a Rural Area near a Gold and Copper Mine: Potential Health Risk from a Layer of Metal-Enriched Water and Sediment. Water 2024, 16, 773. [Google Scholar] [CrossRef]
- NSW Environment Protection Authority. An Investigation into Metals in Domestic Tank Water around the Newmont Gold Mine in Cadia. 2023. Available online: https://www.epa.nsw.gov.au/sites/default/files/23p4476-tank-water-metals-at-cadia.pdf (accessed on 19 September 2025).
- NSW Environment Protection Authority. An Investigation into Metals in Sediments from Domestic Rainwater Tanks Around the Newmont Gold Mine in Cadia. 2023. Available online: https://www.epa.nsw.gov.au/sites/default/files/23p4477-tank-sediment-metals-at-cadia.pdf (accessed on 25 September 2025).
- Connick, F. Inside Cadia, The NSW Goldmine at the Centre of an Environmental Dust-Up. The Guardian. Available online: https://www.theguardian.com/australia-news/2023/jul/15/inside-cadia-the-nsw-goldmine-at-centre-of-an-environmental-dust-up (accessed on 20 September 2025).
- ABC 730 Program (Australian Broadcasting Commission) Dust-Up. Residents Questioning the Health Impacts of a Nearby Gold Mine. Available online: https://www.youtube.com/watch?v=pAcdoEuWFwk&ab_channel=ABCNewsIn-depth (accessed on 20 September 2025).
- Hambrett, M. ABC (Australian Broadcasting Commission). Cadia Gold Mine Fined $350,000 for Breaching Air Pollution Regulations. Available online: https://www.abc.net.au/news/2025-03-31/cadia-gold-mine-newmont-corporation-fined-for-air-pollution/105115918 (accessed on 19 August 2025).
- NSW Environment Protection Authority. Cadia Holdings Ordered to Pay over $400,000 for Air Emissions Offences. Available online: https://www.epa.nsw.gov.au/news/epamedia/250402-cadia-holdings-ordered-to-pay-over-400-000-for-air-emissions-offences (accessed on 27 October 2025).
- Magyar, M.I.; Ladson, A.R.; Mitchell, V.G.; Diaper, C. The Effect of Rainwater Tank Design on Sediment Re-Suspension and Subsequent Outlet Water Quality, Australas. J. Water Resour. 2001, 15, 71–84. [Google Scholar] [CrossRef]
- Ho, C.K.; Christian, J.M.; Ching, E.J.; Slavin, J.; Ortega, J.; Murray, R.; Rossman, L.A. Sediment Resuspension and Transport in Water Distribution Storage Tanks. J. Am. Water Works Assoc. 2016, 108, E349–E361. [Google Scholar] [CrossRef]
- McIntyre, J.K.; Winters, N.; Rozmyn, L.; Haskins, T.; Stark, J.D. Metals leaching from common residential and commercial roofing materials across four years of weathering and implications for environmental loading. Environ. Pollut. 2019, 255, 113262. [Google Scholar] [CrossRef] [PubMed]
- Harvey, P.J.; Handley, H.K.; Taylor, M.P. Widespread copper and lead contamination of household drinking water, New South Wales, Australia. Environ. Res. 2016, 151, 275–285. [Google Scholar] [CrossRef] [PubMed]
- Magyar, M.; Ladson, T.; Diaper, C.; Mitchell, V.G. Influence of roofing materials and lead flashing on rainwater tank contamination by metals. Australas. J. Water Resour. 2014, 18, 71–84. [Google Scholar] [CrossRef]
- Grzegorzek, M.; Wartalska, K.; Szymczewski, S.; Żywiec, J.; Szpak, D.; Kaźmierczak, B. Rainwater quality in Special Economic Zone (SEZ) in Poland. Environ. Pollut. 2025, 370, 125866. [Google Scholar] [CrossRef] [PubMed]
- Gulson, B.; Korsch, M.; Bradshaw, A. Impact of Dust from Ore Processing Facilities on Rain Water Collection Tanks in a Tropical Environment—The Obvious Source “Ain’t Necessarily So”. Int. J. Environ. Res. Public Health 2016, 13, 243. [Google Scholar] [CrossRef] [PubMed]
- Cadia Valley Operations. Isotope Report Fact Sheet. Newcrest Mining Limited. 2023. Available online: https://media.caapp.com.au/pdf/3tit2x/a3821a62-91e8-4b46-821b-56541f40f79a/Isotope%20Report%20Fact%20sheet.pdf (accessed on 20 September 2025).
- Connick, F. Newcrest’s Lead Contamination Claims ‘Inconsistent’ with Expert Report Findings, Its Author Says. Available online: https://www.theguardian.com/australia-news/2023/jul/21/newcrest-cadia-hill-lead-contamination-expert-report-findings (accessed on 20 September 2025).
- NSW EPA. Cadia Region Lead Isotope (Tank Sediment Testing) Report; NSW Environment Protection Authority: Parramatta, NSW, Australis, 2024. Available online: https://www.epa.nsw.gov.au/sites/default/files/24p4536-cadia-region-lead-isotope-tank-sediment-testing.pdf (accessed on 20 September 2025).
- Australian Government Bureau of Meteorology. Climate Statistics for Orange Agricultural Institute. Available online: https://www.bom.gov.au/climate/averages/tables/cw_063254.shtml (accessed on 23 October 2025).
- Cadia East Project Environmental Assessment. Section One. 2009. Available online: https://www.cadiavalley.com.au/newcrest/cvo/statutory-approvals/cadia-east-project-approval (accessed on 20 September 2025).
- NSW EPA. (Environment Protection Authority) (2025) Environment Protection Licence (EPL) 5590. Available online: https://app.epa.nsw.gov.au/prpoeoapp/ViewPOEOLicence.aspx?DOCID=323883&SYSUID=1&LICID=5590 (accessed on 20 September 2025).
- Australian Government. Department of Climate Change, Energy, the Environment and Water. National Pollutant Inventory (NPI). Available online: https://www.dcceew.gov.au/environment/protection/npi (accessed on 20 September 2025).
- Cadia Mine. Mine Vent Emissions Study. Report Number R012219 [Draft 2] Ektimo. Appendix E in: Cadia Valley Operations. Independent Air Quality Audit. by Zephyr Environmental. 11 August 2022. Available online: https://media.caapp.com.au/tnwrjx.pdf (accessed on 7 October 2025).
- Australian Government Bureau of Meteorology. Climate Statistics for Narrabri West Post Office. Available online: https://www.bom.gov.au/climate/averages/tables/cw_053030.shtml (accessed on 23 October 2025).
- NSW EPA (Environment Protection Authority) Namoi Air Quality Monitoring Project. Available online: https://www.epa.nsw.gov.au/Your-environment/Air/regional-air-quality/namoi-air-quality-monitoring-project (accessed on 20 September 2025).
- Australian Government. Bioregional Assessments. Coal. 2018. Page 8. Available online: https://www.bioregionalassessments.gov.au/assessments/12-resource-assessment-namoi-subregion/1221-coal (accessed on 20 September 2025).
- NSW Planning Assessment Commission. Project Approval, Maules Creek Coal Project. 2012. Available online: https://whitehavencoal.com.au/wp-content/uploads/2019/08/MCC-Project-Approval-PA-10_0138-consolidated.pdf (accessed on 20 September 2025).
- NSW EPA. (Environment Protection Authority) (2025) EPL 20221. Available online: https://app.epa.nsw.gov.au/prpoeoapp/ViewPOEOLicence.aspx?DOCID=291420&SYSUID=1&LICID=20221 (accessed on 20 September 2025).
- NSW Health. Particulate matter (PM 10 and PM 2.5). Available online: https://www.health.nsw.gov.au/environment/air/Pages/particulate-matter.aspx (accessed on 20 September 2025).
- Australian Government, Department of Climate Change, Energy, the Environment and Water. NPI National Pollutant Industry Data. Available online: https://www.dcceew.gov.au/environment/protection/npi/data (accessed on 20 September 2025).
- Australian Government Bureau of Meteorology. Climate Statistics for Dunedoo Post Office. Available online: https://www.bom.gov.au/climate/averages/tables/cw_064009.shtml. (accessed on 23 October 2025).
- Australian Bureau of Statistics (ABS). Mendooran. 2021 Census. Available online: https://abs.gov.au/census/find-census-data/quickstats/2021/SAL12581 (accessed on 20 September 2025).
- IBM Corporation, SPSS Statistics Version 30. 2024. Available online: https://www.ibm.com/support/pages/downloading-ibm-spss-statistics-30 (accessed on 11 July 2025).
- Csavina, J.; Field, J.; Taylor, M.P.; Gao, S.; Landazuri, A.; Betterton, E.A.; Saez, A.E. A review on the importance of metals and metalloids in atmospheric dust and aerosol from mining operations. Sci. Total Environ. 2012, 433, 58–73. [Google Scholar] [CrossRef] [PubMed]
- Winton, V.H.L.; Charlier, B.L.A.; Jolly, B.H.; Purdie, H.; Anderson, B.; Hunt, J.E.; Dadic, R.; Taylor, S.; Petherick, L.; Novis, P.M. New Zealand Southern Alps blanketed by red Australian dust during 2019/2020 severe bushfire and dust event. Geophys. Res. Lett. 2024, 51, e2024GL112782. [Google Scholar] [CrossRef]
- Melbourne Water. Typical Analysis of Melbourne’s Waters. Available online: https://www.melbournewater.com.au/sites/default/files/Typical-water-analysis-data-2016.docx (accessed on 5 September 2025).
- Clark, B.; Masters, S.; Edwards, M. Lead Release to Drinking Water from Galvanized Steel Pipe Coatings. Environ. Eng. Sci. 2015, 32, 150610093121004. [Google Scholar] [CrossRef]
- NSW EPA Notice of Variation of Licence 5590. Notice Number 1630908. Available online: https://app.epa.nsw.gov.au/prpoeoapp/ViewPOEONotice.aspx?DOCID=-1&SYSUID=1&LICID=1630908 (accessed on 22 September 2025).
- Hambrett, M. ABC News. Newcrest’s Cadia Gold Mine Tailings Dam Collapse in 2018 Causing Concern. Available online: https://www.abc.net.au/news/2021-04-20/cadia-residents-exposed-to-tailings-dust/100078334 (accessed on 7 October 2025).
- NSW Department of Climate Change, Energy, the Environment and Water. Air Quality Monitoring Program in Cadia Area: Initial Report. Report to the NSW Environment Protection Authority. Available online: https://www.epa.nsw.gov.au/sites/default/files/air-quality-monitoring-program-cadia-valley-initial-report-240242.pdf (accessed on 7 October 2025).
- Chapman, H.F.; Gardner, T.; Huston, R.; Chan, A.Y.; Shaw, G.R. Chemical Water Quality and Health Risk Assessment of Urban Rainwater Tanks, 7th International Conference on Urban Drainage Modelling and the 4th International Conference on Water Sensitive Urban Design. 2006. Available online: https://research-repository.griffith.edu.au/items/6f124286-0e34-5097-89dd-b26ee72f672f (accessed on 22 September 2025).
- Basol, B.; Tseng, E. Mercury cadmium telluride solar cell with 10.6% efficiency. Appl. Phys. Lett. 1986, 48, 946–948. [Google Scholar] [CrossRef]
- Brown, F.C.; Bi, Y.; Chopra, S.S.; Hristovski, K.D.; Westerhoff, P.; Theis, T.L. End-of-Life Heavy Metal Releases from Photovoltaic Panels and Quantum Dot Films: Hazardous Waste Concerns or Not? ACS Sustain. Chem. Eng. 2018, 6, 9369–9374. [Google Scholar] [CrossRef]
- Huang, J.; Hopke, P.K.; Choi, H.-D.; Laing, J.R.; Cui, H.; Zananski, T.J.; Chandrasekaran, S.R.; Rattigan, O.V.; Holsen, T.M. Mercury (Hg) emissions from domestic biomass combustion for space heating. Chemosphere 2011, 84, 1694–1699. [Google Scholar] [CrossRef] [PubMed]






| VR8 | VR7 | VR5 | VR3 | Total | |
|---|---|---|---|---|---|
| Arsenic | 0.13 | <BD | <BD | 0.016 | 0.146 |
| Barium | 1.5 | 0.11 | 0.081 | 0.18 | 1.87 |
| Cadmium | 0.017 | <BD | 0.0057 | 0.0073 | 0.03 |
| Chromium | 0.71 | 0.08 | 0.039 | 0.11 | 0.939 |
| Lead | 1.3 | 0.064 | 0.65 | 0.072 | 2.086 |
| Manganese | 370 | 0.31 | 0.089 | 1.1 | 371.5 |
| Nickel | 0.52 | 0.09 | 2 | 0.093 | 2.7 |
| Total Solid Particles | 11,000 | 220 | 23 | 770 | 12,013 |
| PM10 | 6900 | 160 | 12 | 620 | 7692 |
| PM2.5 | 2300 | 46 | 4.4 | 240 | 2590.4 |
| PM1.0 | 600 | 11 | 0.61 | 61 | 672.6 |
| Narrabri | Cadia | Mendooran | |||||
|---|---|---|---|---|---|---|---|
| Attribute (Units) | KW Value (Probability) | Range | Mean (Median) | Range | Mean (Median) | Range | Mean (Median) |
| pH (pH units) | (<0.001) | 4.29–8.07 | 5.90 (5.78) | 5.5–9.94 | 7.48 (7.42) | 4.1–10.25 | 6.41 (6.07) |
| EC (µS cm−1) | (0.422) | 7.6–494 | 49.8 (17.8) | 9.1–199.8 | 34.3 (21.85) | 12–95 | 31.7 (20.5) |
| Turbidity (NTU) | (0.008) | 0.72–>1000 | 512 (444) | 37.2–>1000 | 670 (807) | 4.4–>1000 | 649 (1000) |
| Arsenic (µg L−1) | (<0.001) | Bd.—17 | 3.4 (2) | Bd.—94 | 12.1 (6) | Bd.—40 | 6.9 (4) |
| Aluminium (mg L−1) | (0.052) | 0.09–84 | 20.6 (14) | 1.5–160 | 35 (22.5) | 0.01–180 | 29.3 (11) |
| Iron (mg L−1) | (0.04) | 0.09–130 | 25.5 (18.5) | 2.4–200 | 48.4 (30) | 0.005–450 | 43.9 (15) |
| Manganese (mg L−1) | (<0.001) | 0.012–2.2 | 0.347 (0.18) | 0.034–15 | 1.21 (0.55) | 0.011–12 | 0.878 (0.15) |
| Barium (µg L−1) | (0.044) | 3–1200 | 177 (85) | 10–2500 | 273 (140) | 2–1200 | 203 (57) |
| Cadmium (µg L−1) | (0.60) | Bd.—24 | 1.42 (0.2) | Bd.—36 | 1.95 (0.4) | Bd.—260 | 11 (0.3) |
| Chromium (µg L−1) | (0.011) | Bd.—390 | 46.1 (22) | 5–2000 | 141.1 (49) | Bd.—690 | 86.5 (37) |
| Copper (µg L−1) | (0.195) | 1–2100 | 285 (145) | 11–5800 | 511 (275) | 1–8600 | 578 (120) |
| Nickel (µg L−1) | (0.039) | Bd.—100 | 17.6 (11) | 2–120 | 27.5 (18) | Bd.—240 | 29.6 (11) |
| Lead (µg L−1) | (0.947) | Bd.—5700 | 430 (115) | 7–8900 | 661 (125) | Bd.—14,000 | 2219 (82) |
| Strontium (µg L−1) | (0.006) | 3.2–290 | 62.4 (12.2) | 5.1–750 | 100.4 (47) | 1.1–440 | 73.7 (30) |
| Mercury (µg L−1) | (<0.001) | Bd.—0.2 | 0.06 (Bd.) | Bd.—1.2 | 0.20 (Bd.) | Bd.—4.8 | 0.63 (0.2) |
| Molybdenum (µg L−1) | (<0.001) | Bd.—1 | 0.52 (Bd.) | Bd.—3 | 0.91 (Bd.) | Bd.—3 | 0.61 (Bd.) |
| Selenium (µg L−1) | (0.004) | Bd.—4 | 0.86 (Bd.) | Bd.—8 | 1.44 (Bd.) | Bd.—12 | 2.44 (Bd.) |
| Zinc (mg L−1) | (0.967) | 0.13–150 | 10.3 (3.15) | 0.1–180 | 13.25 (2.85) | 0.14–400 | 46.6 (2.2) |
| Metal or Metalloid | ADWG Guidelines | Narrabri | Cadia | Mendooran | |||
|---|---|---|---|---|---|---|---|
| % Samples > LOR | % Samples > ADWG | % Samples > LOR | % Samples > ADWG | % Samples > LOR | % Samples > ADWG | ||
| Arsenic | <10 µg L−1 | 81 | 4.8 | 94 | 41.9 | 77 | 25.5 |
| Cadmium | <2.0 µg L−1 | 64.3 | 16.7 | 91.2 | 18.7 | 85.1 | 34 |
| Copper | <2000 µg L−1 | 100 | 2.4 | 100 | 4.1 | 100 | 4.3 |
| Lead | <10 µg L−1 | 97.6 | 88.1 | 100 | 95.8 | 95.7 | 85.1 |
| Nickel | <20 µg L−1 | 90.5 | 26.2 | 100 | 43.7 | 91.5 | 31.9 |
| Manganese | <500 µg L−1 | 100 | 26.2 | 100 | 52.1 | 100 | 29.8 |
| Mercury | <1.0 µg L−1 | 39.5 | 0 | 42.4 | 6.1 | 67.4 | 13 |
| * Chromium | <50 µg L−1 | 97.6 | 19 | 100 | 50 | 89.4 | 38.3 |
| Coal Mines in Narrabri Study Area | Cadia Study Area | |||||
|---|---|---|---|---|---|---|
| Boggabri | Vickery | Tarrawonga | Narrabri | Maules Creek | Cadia Mines | |
| Licence No | EPL12407 | EPL21283 | EPL12365 | EPL12789 | EPL 20221 | EPL5590 |
| Arsenic | 20 | 11 | 24 | 14 | 35 | 230 |
| Cadmium | 0.93 | 0.48 | 1.1 | 0.61 | 1.4 | 11 |
| Copper | 400 | 55 | 130 | 60 | 490 | 64,000 |
| Chromium | 480 | 92 | 240 | 110 | 610 | 310 |
| Lead | 160 | 60 | 140 | 75 | 240 | 250 |
| Manganese | 1300 | 1000 | 2900 | 1300 | 7100 | 6500 |
| Mercury | 3.8 | 0.45 | 0.93 | 0.45 | 5.5 | 9.2 |
| Nickel | 140 | 56 | 140 | 72 | 200 | 230 |
| Zinc | 2800 | 210 | 540 | 320 | 3400 | 1700 |
| PM10 (t) | 5500 | 980 | 2700 | 1000 | 7000 | 5400 |
| PM2.5 (t) | 82 | 15 | 36 | 4.1 | 140 | 44 |
Disclaimer/Publisher’s Note: The statements, opinions and data contained in all publications are solely those of the individual author(s) and contributor(s) and not of MDPI and/or the editor(s). MDPI and/or the editor(s) disclaim responsibility for any injury to people or property resulting from any ideas, methods, instructions or products referred to in the content. |
© 2025 by the authors. Licensee MDPI, Basel, Switzerland. This article is an open access article distributed under the terms and conditions of the Creative Commons Attribution (CC BY) license (https://creativecommons.org/licenses/by/4.0/).
Share and Cite
Wright, I.A.; Christie, A.; Gilpin, A.-M. Accumulation of Metal Contaminants in Rural Roof-Harvested Drinking Water Tanks in the Vicinity of a Metal Mine and Coal Mines. Water 2025, 17, 3188. https://doi.org/10.3390/w17223188
Wright IA, Christie A, Gilpin A-M. Accumulation of Metal Contaminants in Rural Roof-Harvested Drinking Water Tanks in the Vicinity of a Metal Mine and Coal Mines. Water. 2025; 17(22):3188. https://doi.org/10.3390/w17223188
Chicago/Turabian StyleWright, Ian A., Anna Christie, and Amy-Marie Gilpin. 2025. "Accumulation of Metal Contaminants in Rural Roof-Harvested Drinking Water Tanks in the Vicinity of a Metal Mine and Coal Mines" Water 17, no. 22: 3188. https://doi.org/10.3390/w17223188
APA StyleWright, I. A., Christie, A., & Gilpin, A.-M. (2025). Accumulation of Metal Contaminants in Rural Roof-Harvested Drinking Water Tanks in the Vicinity of a Metal Mine and Coal Mines. Water, 17(22), 3188. https://doi.org/10.3390/w17223188

