Internal Flow Characteristics and Modal Analysis of an Ultra-Low Specific Speed Pump as Turbine
Abstract
1. Introduction
2. Numerical Simulation and Methodology
2.1. Turbulence Model and Governing Equations
2.2. Entropy Generation Theory
2.3. Dynamic Mode Decomposition
2.4. Continuous Wavelet Transform
3. Calculation and Experimental Verification
3.1. Research Model
3.2. Mesh and Mesh Independence Analysis
3.3. Numerical Settings
3.4. Experimental Verification
4. Results and Discussions
4.1. Pressure Pulsation Analysis of USSPAT
4.2. Internal Entropy Production Analysis of USSPAT
4.3. Modal Analysis of the Internal Flow in the USSPAT
5. Conclusions
- (1)
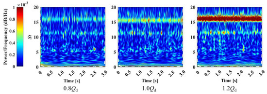
- Analysis of pressure pulsations reveals that the BPF (St = 16) is the absolute dominant frequency under all operating conditions, with its intensity increasing as the flow rate rises. This indicates that the pressure pulsations are predominantly governed by the periodic rotor-stator interaction resulting from the impeller rotation. The flow is characterized by quasi-periodic vortex bands at low flow rates, which evolves into broadband turbulence at high flow rates. Furthermore, a distinct pulsation characteristic at half the BPF, associated with the long-and-short blade configuration, was identified. This pulsation is attributed to asymmetric flow separation and the subsequent vortex shedding within the impeller passages.
- (2)
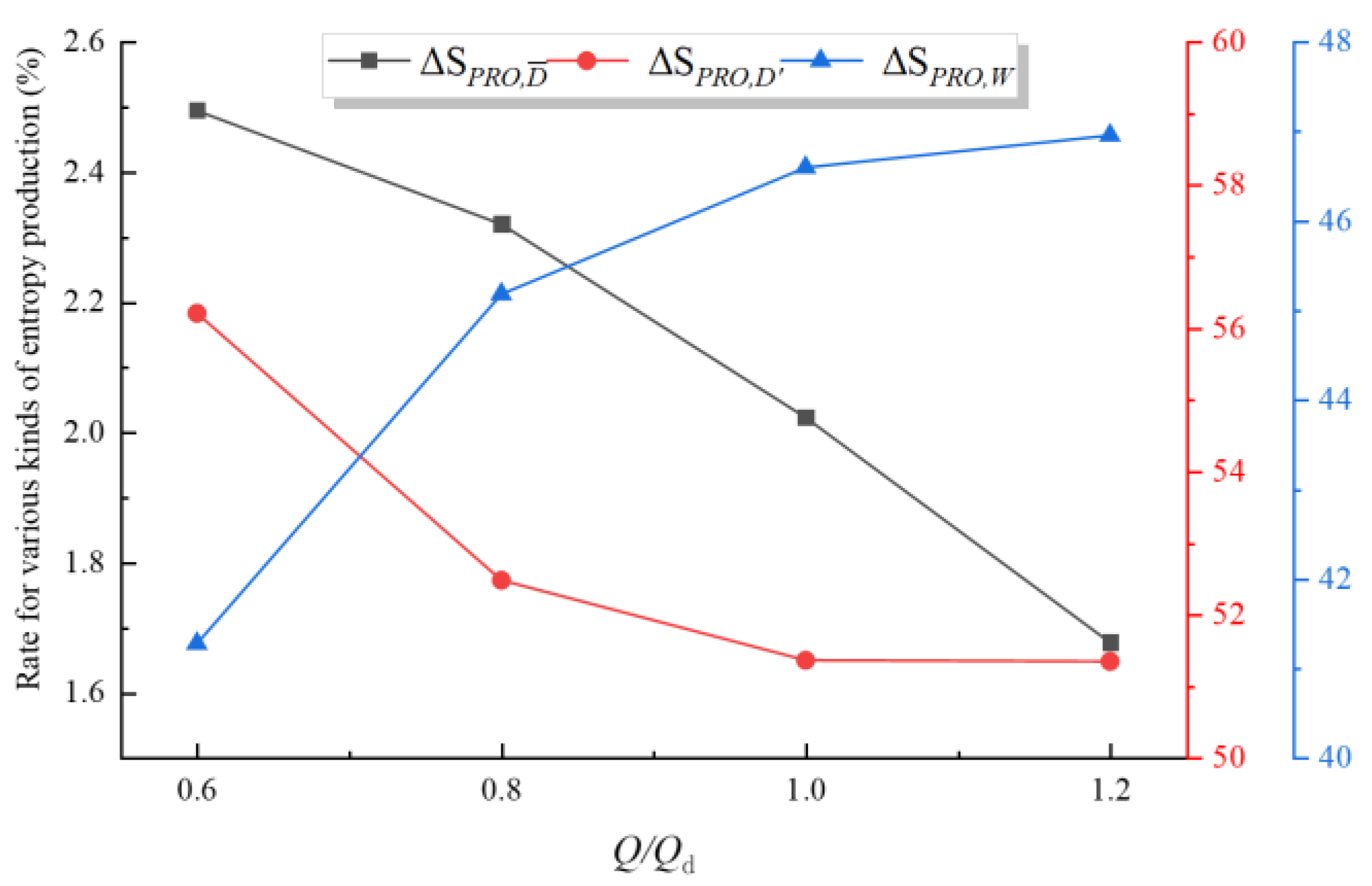
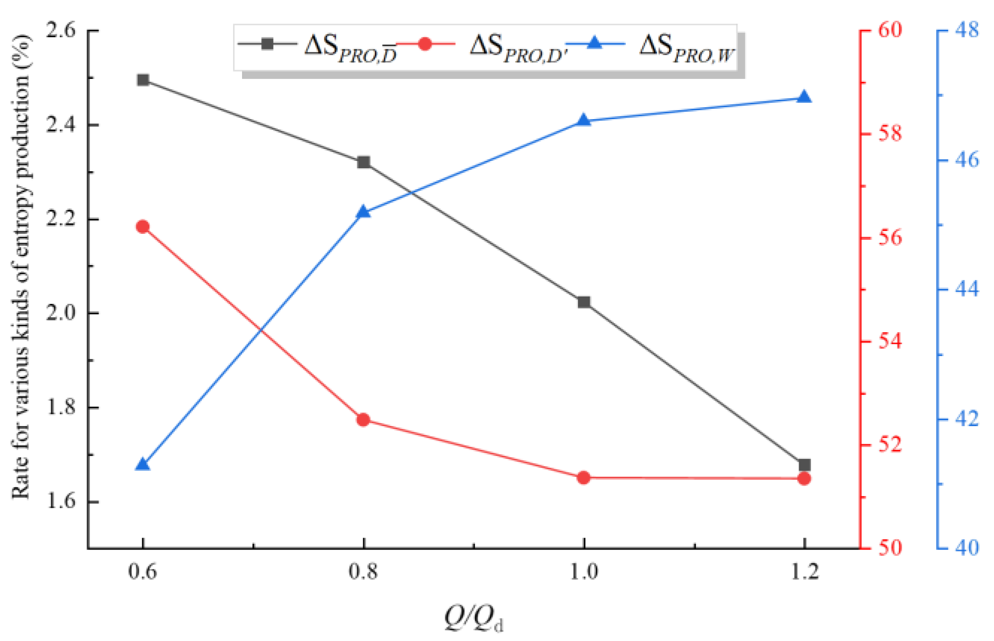
- Internal energy losses in the PAT are primarily composed of turbulent and wall dissipation and are mainly localized within the impeller, volute, and side chamber. The entropy generation from these three components accounts for approximately 90% of the total entropy generation in the PAT. Within the impeller, the energy losses are concentrated at the inlet, outlet, and in the passage near the volute tongue. As the flow rate increases, these high-entropy-generation regions expand. Crucially, the high-entropy regions within the impeller largely coincide with areas of vortex formation, indicating that vortices are a key contributor to energy loss.
- (3)
- The DMD results reveal the dominant modes of the internal flow field. Within the impeller, the first four dominant modes are predominantly low-frequency, with their frequencies corresponding to integer multiples of the shaft frequency. This demonstrates that the internal flow is dominated by periodic, RSI-driven modes, with energy concentrated in the low-frequency range. Among them, the first-order mode is characterized as the RSI mode, whereas the third- and fourth-order modes are identified as higher-order harmonics of this RSI mode. The flow dynamics within the volute are, in turn, significantly influenced by the impeller’s rotation. Fundamentally, the primary source of unsteadiness in the flow field is the RSI between the impeller and the volute. This interaction manifests as an alternating structure of extrema at the interface, which is identified as the root cause of both the pressure pulsations and the periodic energy losses.
Author Contributions
Funding
Data Availability Statement
Conflicts of Interest
Abbreviations
| PAT | Pump as turbine |
| USSPAT | Ultra-low specific speed pump as turbine |
| CFD | Computational fluid dynamics |
| SST | Shear Stress Transport |
| FFT | Fast Fourier transform |
| RANS | Reynolds-averaged Navier–Stokes |
| CWT | Continuous wavelet transform |
| BPF | Blade passing frequency |
| RSI | Rotor-stator interaction |
| PIV | Particle image velocimetry |
| SVD | Singular value decomposition |
References
- Hu, H.S.; Dong, W.H. The Goal of Carbon Peaking, Carbon Emissions, and the Economic Effects of China’s Energy Planning Policy: Analysis Using a CGE Model. Int. J. Environ. Res. Public Health 2023, 20, 165. [Google Scholar] [CrossRef]
- Hanif, I.; Aziz, B.; Chaudhry, I.S. Carbon emissions across the spectrum of renewable and nonrenewable energy use in developing economies of Asia. Renew. Energy 2019, 143, 586–595. [Google Scholar] [CrossRef]
- Scherer, L.; Pfister, S. Global water footprint assessment of hydropower. Renew. Energy 2016, 99, 711–720. [Google Scholar] [CrossRef]
- Nautiyal, H.; Varun; Kumar, A. Reverse running pumps analytical, experimental and computational study: A review. Renew. Sustain. Energy Rev. 2010, 14, 2059–2067. [Google Scholar] [CrossRef]
- Morabito, A.; Hendrick, P. Pump as turbine applied to micro energy storage and smart water grids: A case study. Appl. Energy 2019, 241, 567–579. [Google Scholar] [CrossRef]
- Agarwal, T. Review of pump as turbine (PAT) for micro-hydropower. Int. J. Emerg. Technol. Adv. Eng. 2012, 2, 163–169. [Google Scholar]
- Binama, M.; Su, W.T.; Li, X.B.; Li, F.C.; Shi, X.Z.; An, S. Investigation on pump as turbine (PAT) technical aspects for micro hydropower schemes: A state-of-the-art review. Renew. Sustain. Energy Rev. 2017, 79, 148–179. [Google Scholar] [CrossRef]
- Lin, T.; Zhu, Z.C.; Li, X.J.; Li, J.; Lin, Y.P. Theoretical, experimental, and numerical methods to predict the best efficiency point of centrifugal pump as turbine. Renew. Energy 2021, 168, 31–44. [Google Scholar] [CrossRef]
- Derakhshan, S.; Nourbakhsh, A. Theoretical, numerical and experimental investigation of centrifugal pumps in reverse operation. Exp. Therm. Fluid Sci. 2008, 32, 1620–1627. [Google Scholar] [CrossRef]
- Giosio, D.; Henderson, A.; Walker, J.; Brandner, P.; Sargison, J.; Gautam, P. Design and performance evaluation of a pump-as-turbine micro-hydro test facility with incorporated inlet flow control. Renew. Energy 2015, 78, 1–6. [Google Scholar]
- Sun, X.; Huang, H.; Zhao, Y.; Tong, L.; Lin, H.; Zhang, Y. A Review of Methods for” Pump as Turbine”(PAT) Performance Prediction and Optimal Design. Fluid Dyn. Mater. Process. 2025, 21, 1261–1298. [Google Scholar] [CrossRef]
- Miao, S.; Zhang, H.; Tian, W.; Li, Y. A study on the unsteady flow characteristics and energy conversion in the volute of a pump-as-turbine device. Fluid Dyn. Mater. Process. 2021, 17, 1021–1036. [Google Scholar]
- Binama, M.; Su, W.T.; Cai, W.H.; Li, X.B.; Muhirwa, A.; Li, B.; Bisengimana, E. Blade trailing edge position influencing pump as turbine (PAT) pressure field under part-load conditions. Renew. Energy 2019, 136, 33–47. [Google Scholar] [CrossRef]
- Lin, T.; Zhang, J.R.; Li, J.; Li, X.J.; Zhu, Z.C. Pressure Fluctuation-Vorticity Interaction in the Volute of Centrifugal Pump as Hydraulic Turbines (PATs). Processes 2022, 10, 2241. [Google Scholar] [CrossRef]
- Xiang, R.; Wang, T.; Fang, Y.J.; Yu, H.; Zhou, M.; Zhang, X. Effect of blade curve shape on the hydraulic performance and pressure pulsation of a pump as turbine. Phys. Fluids 2022, 34, 085130. [Google Scholar] [CrossRef]
- Chai, B.D.; Yang, J.H.; Wang, X.H.; Jiang, B.X. Pressure Fluctuation Characteristics Analysis of Centrifugal Pump as Turbine in Its Start-Up Process. Actuators 2022, 11, 132. [Google Scholar] [CrossRef]
- Lin, T.; Li, J.; Xie, B.F.; Zhang, J.R.; Zhu, Z.C.; Yang, H.; Wen, X.M. Vortex-Pressure Fluctuation Interaction in the Outlet Duct of Centrifugal Pump as Turbines (PATs). Sustainability 2022, 14, 15250. [Google Scholar] [CrossRef]
- Ran, H.J.; Luo, X.W.; Zhu, L.; Zhang, Y.; Wang, X.; Xu, H.Y. Experimental study of the pressure fluctuations in a pump turbine at large partial flow conditions. Chin. J. Mech. Eng. 2012, 25, 1205–1209. [Google Scholar] [CrossRef]
- Shen, S.M.; Qian, Z.D.; Ji, B. Numerical Analysis of Mechanical Energy Dissipation for an Axial-Flow Pump Based on Entropy Generation Theory. Energies 2019, 12, 4162. [Google Scholar] [CrossRef]
- Gong, R.Z.; Qi, N.M.; Wang, H.J.; Chen, A.L.; Qin, D.Q. Entropy Production Analysis for S-Characteristics of a Pump Turbine. J. Appl. Fluid Mech. 2017, 10, 1657–1668. [Google Scholar] [CrossRef]
- Liu, M.; Tan, L.; Cao, S.L. Theoretical model of energy performance prediction and BEP determination for centrifugal pump as turbine. Energy 2019, 172, 712–732. [Google Scholar] [CrossRef]
- Nishi, Y.; Suzuo, R.; Sukemori, D.; Inagaki, T. Loss analysis of gravitation vortex type water turbine and influence of flow rate on the turbine’s performance. Renew. Energy 2020, 155, 1103–1117. [Google Scholar] [CrossRef]
- Ghorani, M.M.; Haghighi, M.H.S.; Maleki, A.; Riasi, A. A numerical study on mechanisms of energy dissipation in a pump as turbine (PAT) using entropy generation theory. Renew. Energy 2020, 162, 1036–1053. [Google Scholar] [CrossRef]
- Zhu, Z.; Gu, Q.; Chen, H.; Ma, Z.; Cao, B. Investigation and optimization into flow dynamics for an axial flow pump as turbine (PAT) with ultra-low water head. Energy Convers. Manag. 2024, 314, 118684. [Google Scholar] [CrossRef]
- Wang, C.; Zhang, Y.X.; Hou, H.C.; Zhang, J.Y.; Xu, C. Entropy production diagnostic analysis of energy consumption for cavitation flow in a two-stage LNG cryogenic submerged pump. Int. J. Heat Mass Transf. 2019, 129, 342–356. [Google Scholar] [CrossRef]
- Shu, Z.K.; Shi, G.T.; Dan, Y.; Wang, B.X.; Tan, X. Enstrophy dissipation of the tip leakage vortex in a multiphase pump. Phys. Fluids 2022, 34, 033310. [Google Scholar] [CrossRef]
- Zhang, Y.; Jiang, W.; Qi, S.W.; Xu, L.; Wang, Y.C.; Chen, D.Y. Clocking effect on the internal flow field and pressure fluctuation of PAT based on entropy production theory. J. Energy Storage 2023, 69, 107932. [Google Scholar] [CrossRef]
- Xin, T.; Wei, J.; Li, Q.Y.; Hou, G.Y.; Ning, Z.; Wang, Y.C.; Chen, D.Y. Analysis of hydraulic loss of the centrifugal pump as turbine based on internal flow feature and entropy generation theory. Sustain. Energy Technol. Assess. 2022, 52, 102070. [Google Scholar] [CrossRef]
- Li, D.Y.; Wang, H.J.; Qin, Y.L.; Han, L.; Wei, X.Z.; Qin, D.Q. Entropy production analysis of hysteresis characteristic of a pump-turbine model. Energy Convers. Manag. 2017, 149, 175–191. [Google Scholar] [CrossRef]
- Guang, W.L.; Liu, Q.; Jin, F.Y.; Tao, R.; Xiao, R.F. Analysis of clearance flow of a fuel pump based on dynamical mode decomposition. J. Hydrodyn. 2024, 36, 781–795. [Google Scholar] [CrossRef]
- Li, Y.B.; He, C.H.; Li, J.Z. Study on Flow Characteristics in Volute of Centrifugal Pump Based on Dynamic Mode Decomposition. Math. Probl. Eng. 2019, 2019, 2567659. [Google Scholar] [CrossRef]
- Schmid, P.J. Dynamic mode decomposition of numerical and experimental data. J. Fluid Mech. 2010, 656, 5–28. [Google Scholar] [CrossRef]
- Long, Y.; Xu, Y.; Guo, X.A.; Zhang, M.Y. Analysis of internal flow excitation characteristics of reactor coolant pump based on DMD. Ann. Nucl. Energy 2025, 211, 111011. [Google Scholar]
- Han, Y.D.; Tan, L. Dynamic mode decomposition and reconstruction of tip leakage vortex in a mixed flow pump as turbine at pump mode. Renew. Energy 2020, 155, 725–734. [Google Scholar] [CrossRef]
- Miao, S.; Liu, L.; Wang, X.; Yang, J. Unsteady flow analysis in a pump as turbine impeller based on proper orthogonal decomposition and dynamic mode decomposition methods. Phys. Fluids 2024, 36, 115186. [Google Scholar] [CrossRef]
- Li, P.X.; Dong, W.; Jiang, H.Q.; Zhang, H.C. Analysis of axial force and pressure pulsation of centrifugal pump as turbine impeller based on dynamic mode decomposition. Phys. Fluids 2024, 36, 035141. [Google Scholar] [CrossRef]
- Wang, J.B.; Zeng, L.C.; Yu, S.; He, Y.T.; Tang, J.H. Experimental and numerical investigations of tube inserted with novel perforated rectangular V-shape vortex generators. Appl. Therm. Eng. 2024, 249, 123451. [Google Scholar] [CrossRef]
- Kock, F.; Herwig, H. Local entropy production in turbulent shear flows: A high-Reynolds number model with wall functions. Int. J. Heat Mass Transf. 2004, 47, 2205–2215. [Google Scholar] [CrossRef]




















| Design Parameter | Value |
|---|---|
| Rated flow Q (m3/h) | 28 |
| Rated rotate speed n (r/min) | 1500 |
| Head (m) | 90 |
| Specific speed | 16.52 |
| Number of impeller splitter | 8/8 |
| Impeller inlet width b2 (mm) | 8 |
| Impeller out diameter D1 (mm) | 55 |
| Impeller inlet diameter D2 (mm) | 265 |
| Inlet diameter of volute Dd (mm) | 50 |
| Base circle diameter of volute D3 (mm) | 275 |
| Regions | Mean Values of y+ |
|---|---|
| Impeller blades | 9.5 |
| Impeller hub | 12 |
| All wall surfaces of Impeller | 28.2 |
| Volute | 18.7 |
| All wall surface of mode PAT | 24.3 |
| Q (m3/h) | H (m) | M (N·m) | N (r/min) | |
|---|---|---|---|---|
| ER (%) | 0.180 | 0.098 | 0.160 | 0.128 |
| Measurement accuracy (%) | 0.500 | 0.2500 | 0.200 | 0.200 |
| ES (%) | 0.289 | 0.144 | 0.115 | 0.115 |
| Component E (%) | 0.340 | 0.174 | 0.197 | 0.172 |
| Overall uncertainty (%) | 0.362 |
Disclaimer/Publisher’s Note: The statements, opinions and data contained in all publications are solely those of the individual author(s) and contributor(s) and not of MDPI and/or the editor(s). MDPI and/or the editor(s) disclaim responsibility for any injury to people or property resulting from any ideas, methods, instructions or products referred to in the content. |
© 2025 by the authors. Licensee MDPI, Basel, Switzerland. This article is an open access article distributed under the terms and conditions of the Creative Commons Attribution (CC BY) license (https://creativecommons.org/licenses/by/4.0/).
Share and Cite
Zheng, W.; Shi, Y.; Wan, B.; Wang, Y.; Yuan, J. Internal Flow Characteristics and Modal Analysis of an Ultra-Low Specific Speed Pump as Turbine. Water 2025, 17, 3180. https://doi.org/10.3390/w17213180
Zheng W, Shi Y, Wan B, Wang Y, Yuan J. Internal Flow Characteristics and Modal Analysis of an Ultra-Low Specific Speed Pump as Turbine. Water. 2025; 17(21):3180. https://doi.org/10.3390/w17213180
Chicago/Turabian StyleZheng, Wang, Yingxiao Shi, Bochen Wan, Yueyang Wang, and Jianping Yuan. 2025. "Internal Flow Characteristics and Modal Analysis of an Ultra-Low Specific Speed Pump as Turbine" Water 17, no. 21: 3180. https://doi.org/10.3390/w17213180
APA StyleZheng, W., Shi, Y., Wan, B., Wang, Y., & Yuan, J. (2025). Internal Flow Characteristics and Modal Analysis of an Ultra-Low Specific Speed Pump as Turbine. Water, 17(21), 3180. https://doi.org/10.3390/w17213180

