Microplastic Pollution in Typical Subtropical Rivers in Eastern China: A Case Study of the Feiyun River Basin
Abstract
1. Introduction
2. Materials and Methods
2.1. Introduction of Study Area
2.2. Sample Collection
2.2.1. Layout of Sampling Points
2.2.2. Water Sample Collection
2.3. Sample Analysis
2.3.1. Surface Water Microplastic Pretreatment
2.3.2. Analysis and Identification of Microplastic Characteristics
2.3.3. Quality Control
2.3.4. Data Processing and Analysis
2.4. Ecological Risk Assessment Methods for Microplastics
2.4.1. Composite Pollution Load Index
2.4.2. Polymer Risk Index
2.4.3. Index of Potential Ecological Harm
3. Results
3.1. Occurrence Characteristics of Microplastics
3.1.1. Distribution of Microplastics
3.1.2. Characterization of Microplastics
3.2. Effects of Environmental Factors on Distribution Characteristics of Micro-Plastics
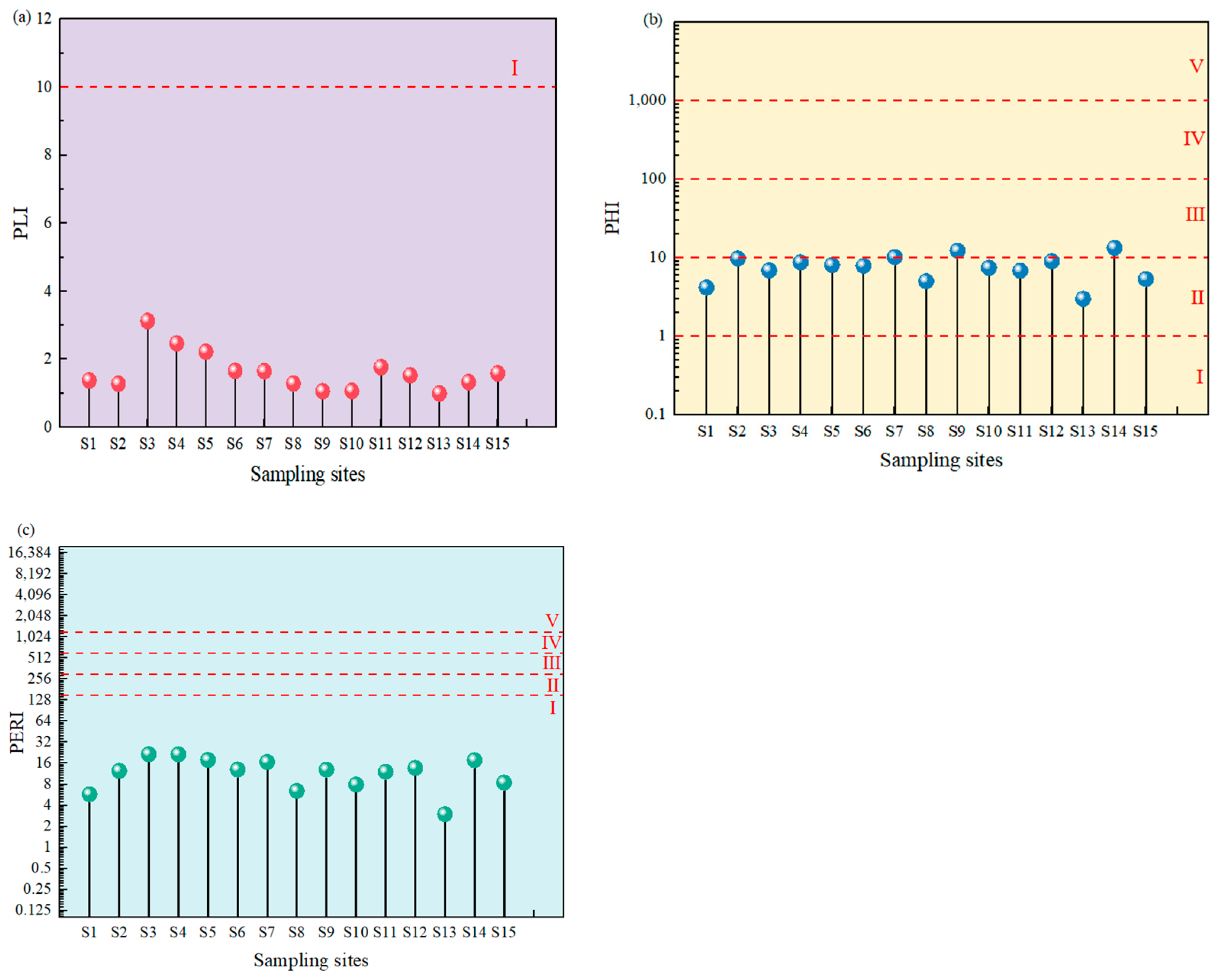
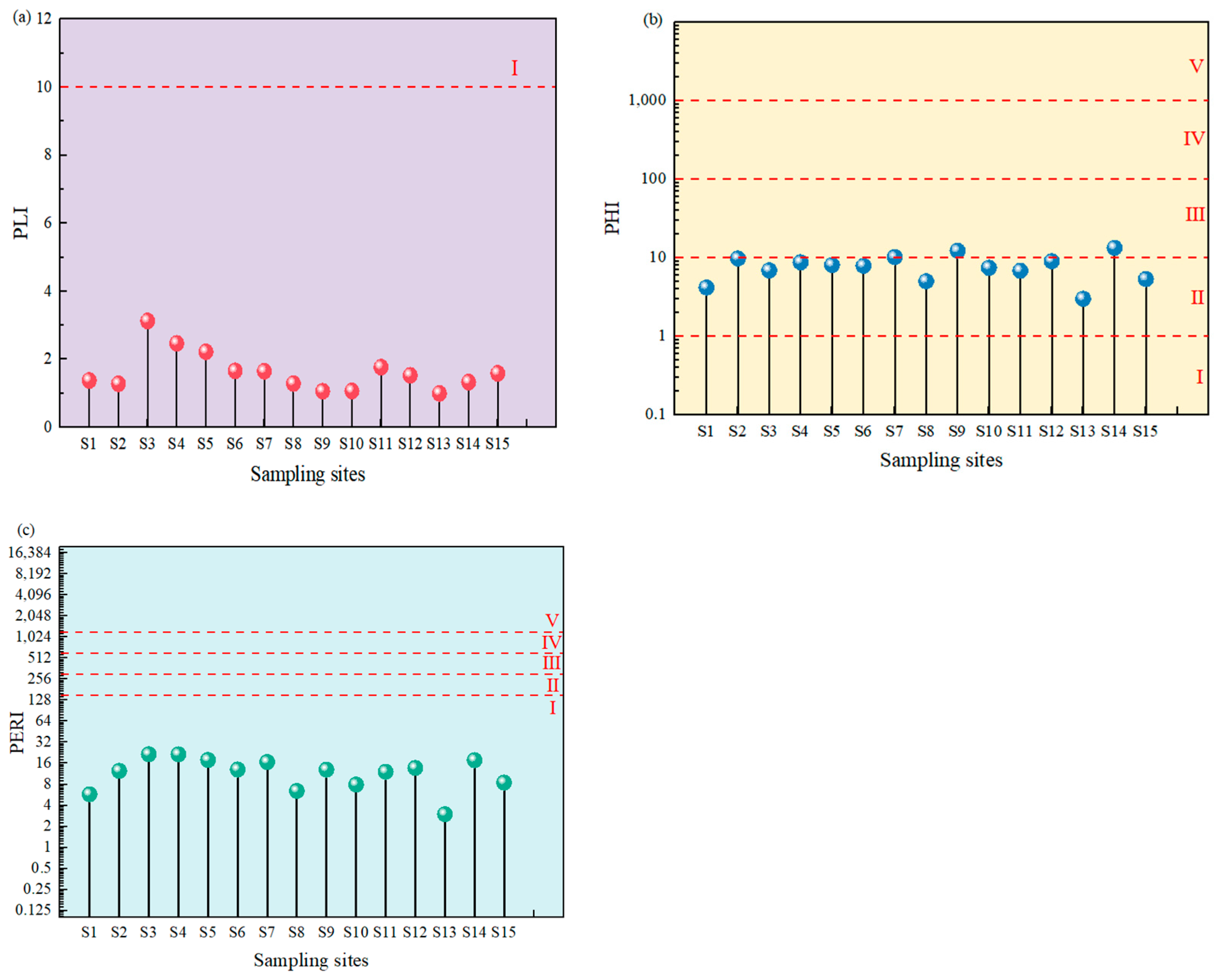
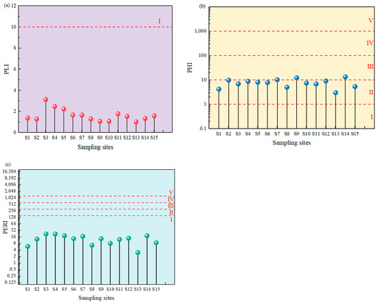
3.3. Ecological Risk Assessment of Microplastics
4. Discussion
4.1. Dominance of PET and Methodological Considerations
4.2. Potential Sources and Ecological Implications
5. Conclusions
Author Contributions
Funding
Data Availability Statement
Acknowledgments
Conflicts of Interest
Abbreviations
| PP | Polypropylene |
| PE | Polyethylene |
| PET | Polyethylene Terephthalate |
| PS | Polystyrene |
| PA | Polyamide |
| PVC | Polyvinyl Chloride |
References
- Thompson, R.C.; Courtene-Jones, W.; Boucher, J.; Pahl, S.; Raubenheimer, K.; Koelmans, A.A. Twenty years of microplastic pollution research—What have we learned? Science 2024, 386, eadl2746. [Google Scholar] [CrossRef]
- Janakiram, R.; Keerthivasan, R.; Janani, R.; Ramasundaram, S.; Martin, M.; Venkatesan, R.; Murthy, M.R.; Sudhakar, T. Seasonal distribution of microplastics in surface waters of the Northern Indian Ocean. Mar. Pollut. Bull. 2023, 190, 114838. [Google Scholar] [CrossRef]
- Akkan, T.; Gedik, K.; Mutlu, T. Protracted dynamicity of microplastics in the coastal sediment of the Southeast Black Sea. Mar. Pollut. Bull. 2023, 188, 114722. [Google Scholar] [CrossRef]
- Talukdar, A.; Bhattacharya, S.; Bandyopadhyay, A.; Dey, A. Microplastic pollution in the Himalayas: Occurrence, distribution, accumulation and environmental impacts. Sci. Total Environ. 2023, 874, 162495. [Google Scholar] [CrossRef]
- Fan, W.; Qiu, C.; Qu, Q.; Hu, X.; Mu, L.; Gao, Z.; Tang, X. Sources and identification of microplastics in soils. Soil Environ. Health 2023, 1, 100019. [Google Scholar] [CrossRef]
- O’Brien, S.; Rauert, C.; Ribeiro, F.; Okoffo, E.D.; Burrows, S.D.; O’Brien, J.W.; Wang, X.; Wright, S.L.; Thomas, K.V. There’s something in the air: A review of sources, prevalence and behaviour of microplastics in the atmosphere. Sci. Total Environ. 2023, 874, 162193. [Google Scholar] [CrossRef] [PubMed]
- Huang, L.; Zhang, S.; Li, L.; Zhang, S.; Wang, J.; Liu, X.; Zhang, W. Research progress on microplastics pollution in polar oceans. Polar Sci. 2023, 36, 100946. [Google Scholar] [CrossRef]
- Mariani, F.; Di Lernia, D.; Venditti, I.; Pelella, E.; Muzzi, M.; Di Giulio, A.; Ceschin, S. Trophic transfer of microplastics from producer (Lemna minuta) to primary consumer (Cataclysta lemnata) in a freshwater food chain. Sci. Total Environ. 2023, 891, 164459. [Google Scholar] [CrossRef] [PubMed]
- Zhao, H.; Hong, X.; Chai, J.; Wan, B.; Zhao, K.; Han, C.; Zhang, W.; Huan, H. Interaction between microplastics and pathogens in subsurface system: What we know so far. Water 2024, 16, 499. [Google Scholar] [CrossRef]
- Do, A.T.N.; Ha, Y.; Kwon, J.-H. Leaching of microplastic-associated additives in aquatic environments: A critical review. Environ. Pollut. 2022, 305, 119258. [Google Scholar] [CrossRef]
- Lebreton, L.C.; Van Der Zwet, J.; Damsteeg, J.-W.; Slat, B.; Andrady, A.; Reisser, J. River plastic emissions to the world’s oceans. Nat. Commun. 2017, 8, 15611. [Google Scholar] [CrossRef] [PubMed]
- Devereux, R.; Westhead, E.K.; Jayaratne, R.; Newport, D. Microplastic abundance in the Thames River during the New Year period. Mar. Pollut. Bull. 2022, 177, 113534. [Google Scholar] [CrossRef]
- Laermanns, H.; Reifferscheid, G.; Kruse, J.; Földi, C.; Dierkes, G.; Schaefer, D.; Scherer, C.; Bogner, C.; Stock, F. Microplastic in water and sediments at the confluence of the Elbe and Mulde Rivers in Germany. Front. Environ. Sci. 2021, 9, 794895. [Google Scholar] [CrossRef]
- Zhdanov, I.; Lokhov, A.; Belesov, A.; Kozhevnikov, A.; Pakhomova, S.; Berezina, A.; Frolova, N.; Kotova, E.; Leshchev, A.; Wang, X. Assessment of seasonal variability of input of microplastics from the Northern Dvina River to the Arctic Ocean. Mar. Pollut. Bull. 2022, 175, 113370. [Google Scholar] [CrossRef]
- Frank, Y.A.; Vorobiev, E.D.; Vorobiev, D.S.; Trifonov, A.A.; Antsiferov, D.V.; Soliman Hunter, T.; Wilson, S.P.; Strezov, V. Preliminary screening for microplastic concentrations in the surface water of the Ob and Tom Rivers in Siberia, Russia. Sustainability 2020, 13, 80. [Google Scholar] [CrossRef]
- Li, Y.; Zhang, Y.; Chen, G.; Xu, K.; Gong, H.; Huang, K.; Yan, M.; Wang, J. Microplastics in surface waters and sediments from Guangdong coastal areas, South China. Sustainability 2021, 13, 2691. [Google Scholar] [CrossRef]
- Han, M.; Niu, X.; Tang, M.; Zhang, B.-T.; Wang, G.; Yue, W.; Kong, X.; Zhu, J. Distribution of microplastics in surface water of the lower Yellow River near estuary. Sci. Total Environ. 2020, 707, 135601. [Google Scholar] [CrossRef] [PubMed]
- He, D.; Chen, X.; Zhao, W.; Zhu, Z.; Qi, X.; Zhou, L.; Chen, W.; Wan, C.; Li, D.; Zou, X. Microplastics contamination in the surface water of the Yangtze River from upstream to estuary based on different sampling methods. Environ. Res. 2021, 196, 110908. [Google Scholar] [CrossRef]
- Jin, X.; Fu, X.; Lu, W.; Wang, H. The effects of riverside cities on microplastics in river water: A case study on the Southern Jiangsu Canal, China. Sci. Total Environ. 2023, 858, 159783. [Google Scholar] [CrossRef] [PubMed]
- Qiu, Y.; Zhou, S.; Zhang, C.; Qin, W.; Lv, C. A framework for systematic microplastic ecological risk assessment at a national scale. Environ. Pollut. 2023, 327, 121631. [Google Scholar] [CrossRef]
- Wang, G.; Lu, J.; Li, W.; Ning, J.; Zhou, L.; Tong, Y.; Liu, Z.; Zhou, H.; Xiayihazi, N. Seasonal variation and risk assessment of microplastics in surface water of the Manas River Basin, China. Ecotoxicol. Environ. Saf. 2021, 208, 111477. [Google Scholar] [CrossRef]
- Kabir, A.E.; Sekine, M.; Imai, T.; Yamamoto, K.; Kanno, A.; Higuchi, T. Assessing small-scale freshwater microplastics pollution, land-use, source-to-sink conduits, and pollution risks: Perspectives from Japanese rivers polluted with microplastics. Sci. Total Environ. 2021, 768, 144655. [Google Scholar] [CrossRef] [PubMed]
- HJ 828-2017; Water Quality-Determination of the Chemical Oxygen Demand-Dichromate Method. China Environmental Science Press: Beijing, China, 2017.
- HJ 535-2009; Water Quality-Determination of Ammonia Nitrogen-Nessler’s Reagent Spectrophotometry. China Environmental Science Press: Beijing, China, 2009.
- HJ 636-2012; Water Quality-Determination of Total Nitrogen-Alkaline Potassium Persulfate Digestion UV Spectrophotometric Method. China Environmental Science Press: Beijing, China, 2012.
- GB/T 11893-1989; Water Quality-Determination of Total Phosphorus-Ammonium Molybdate Spectrophotometric Method. China Environmental Science Press: Beijing, China, 1989.
- Cole, M.; Webb, H.; Lindeque, P.K.; Fileman, E.S.; Halsband, C.; Galloway, T.S. Isolation of microplastics in biota-rich seawater samples and marine organisms. Sci. Rep. 2014, 4, 4528. [Google Scholar] [CrossRef]
- Kowalski, N.; Reichardt, A.M.; Waniek, J.J. Sinking rates of microplastics and potential implications of their alteration by physical, biological, and chemical factors. Mar. Pollut. Bull. 2016, 109, 310–319. [Google Scholar] [CrossRef]
- Tomlinson, D.L.; Wilson, J.G.; Harris, C.; Jeffrey, D. Problems in the assessment of heavy-metal levels in estuaries and the formation of a pollution index. Helgoländer Meeresunters. 1980, 33, 566–575. [Google Scholar] [CrossRef]
- Stolte, A.; Forster, S.; Gerdts, G.; Schubert, H. Microplastic concentrations in beach sediments along the German Baltic coast. Mar. Pollut. Bull. 2015, 99, 216–229. [Google Scholar] [CrossRef]
- Lithner, D.; Larsson, Å.; Dave, G. Environmental and health hazard ranking and assessment of plastic polymers based on chemical composition. Sci. Total Environ. 2011, 409, 3309–3324. [Google Scholar] [CrossRef] [PubMed]
- Li, R.; Yu, L.; Chai, M.; Wu, H.; Zhu, X. The distribution, characteristics and ecological risks of microplastics in the mangroves of Southern China. Sci. Total Environ. 2020, 708, 135025. [Google Scholar] [CrossRef]
- Wicaksono, E.A.; Werorilangi, S.; Galloway, T.S.; Tahir, A. Distribution and seasonal variation of microplastics in Tallo River, Makassar, Eastern Indonesia. Toxics 2021, 9, 129. [Google Scholar] [CrossRef]
- Zhang, R.; Guo, Z.; Lin, L.; Pan, X.; Gao, Y.; Liu, Y. Occurrence Characteristics and Ecological Risk Assessment of Microplastics in Aquatic Environments of Cascade Reservoirs Along the Middle-Lower Han River. Water 2025, 17, 2793. [Google Scholar] [CrossRef]
- Fan, J.; Zou, L.; Duan, T.; Qin, L.; Qi, Z.; Sun, J. Occurrence and distribution of microplastics in surface water and sediments in China’s inland water systems: A critical review. J. Clean. Prod. 2022, 331, 129968. [Google Scholar] [CrossRef]
- Deng, C.; Huang, Y.; Hu, Y.; Zhang, Q.; Zhao, H. Factors Influencing the Spatial Distribution of Microplastics in Lakes with the Example of Dianchi Lake. Water 2025, 17, 2377. [Google Scholar] [CrossRef]
- Liu, Q.; Xiong, X.; Wang, K.; Wang, H.; Ling, Y.; Li, Q.; Xu, F.; Wu, C. Homogenization of microplastics in alpine rivers: Analysis of microplastic abundance and characteristics in rivers of Qilian Mountain, China. J. Environ. Manag. 2023, 340, 118011. [Google Scholar] [CrossRef] [PubMed]
- Akdogan, Z.; Guven, B.; Kideys, A.E. Microplastic distribution in the surface water and sediment of the Ergene River. Environ. Res. 2023, 234, 116500. [Google Scholar] [CrossRef] [PubMed]
- Song, Y.K.; Hong, S.H.; Jang, M.; Han, G.M.; Jung, S.W.; Shim, W.J. Combined effects of UV exposure duration and mechanical abrasion on microplastic fragmentation by polymer type. Environ. Sci. Technol. 2017, 51, 4368–4376. [Google Scholar] [CrossRef]
- Brandon, J.; Goldstein, M.; Ohman, M.D. Long-term aging and degradation of microplastic particles: Comparing in situ oceanic and experimental weathering patterns. Mar. Pollut. Bull. 2016, 110, 299–308. [Google Scholar] [CrossRef]
- Xia, F.; Wang, Y.; Wang, D.; Cai, Y.; Zhang, J. Seasonal pulse effect of microplastics in the river catchment-From tributary catchment to mainstream. J. Environ. Manag. 2023, 342, 118316. [Google Scholar] [CrossRef]
- Zhang, H.; Pu, M.; Zheng, M.; Xu, B.; Magnuson, J.T.; Chen, Q.; Xu, X.; Zheng, X.; Zhao, M.; Qiu, W. Abundance of microplastics in a typical urban wetland in China: Association with occurrence and carbon storage. J. Hazard. Mater. 2025, 488, 137451. [Google Scholar] [CrossRef] [PubMed]
- Dai, L.; Wang, Z.; Guo, T.; Hu, L.; Chen, Y.; Chen, C.; Yu, G.; Ma, L.Q.; Chen, J. Pollution characteristics and source analysis of microplastics in the Qiantang River in southeastern China. Chemosphere 2022, 293, 133576. [Google Scholar] [CrossRef]
- Li, J.; Ouyang, Z.; Liu, P.; Zhao, X.; Wu, R.; Zhang, C.; Lin, C.; Li, Y.; Guo, X. Distribution and characteristics of microplastics in the basin of Chishui River in Renhuai, China. Sci. Total Environ. 2021, 773, 145591. [Google Scholar] [CrossRef]
- Ma, J.; Niu, X.; Zhang, D.; Lu, L.; Ye, X.; Deng, W.; Li, Y.; Lin, Z. High levels of microplastic pollution in aquaculture water of fish ponds in the Pearl River Estuary of Guangzhou, China. Sci. Total Environ. 2020, 744, 140679. [Google Scholar] [CrossRef]
- Guschina, I.A.; Hayes, A.J.; Ormerod, S.J. Polystyrene microplastics decrease accumulation of essential fatty acids in common freshwater algae. Environ. Pollut. 2020, 263, 114425. [Google Scholar] [CrossRef]
- Yang, T.; Zeng, Y.; Kang, Z.; Cai, M.; Chen, K.; Zhao, Q.; Lin, J.; Liu, R.; Xu, G. Enrichment and ecological risks of microplastics in mangroves of southern Hainan Island, China. Sci. Total Environ. 2023, 889, 164160. [Google Scholar] [CrossRef]
- Buwono, N.R.; Risjani, Y.; Soegianto, A. Distribution of microplastic in relation to water quality parameters in the Brantas River, East Java, Indonesia. Environ. Technol. Innov. 2021, 24, 101915. [Google Scholar] [CrossRef]
- Li, Y.; Qin, L.; Dou, Y.; Shen, M.; Chen, X.; Liang, X.; Ao, T.; Jin, K.; Duan, X. Occurrence and Risk Assessment of Microplastics in a Source Water Reservoir in Middle Reaches of Yellow River. Water 2024, 16, 2478. [Google Scholar] [CrossRef]
- Lin, L.; Zuo, L.-Z.; Peng, J.-P.; Cai, L.-Q.; Fok, L.; Yan, Y.; Li, H.-X.; Xu, X.-R. Occurrence and distribution of microplastics in an urban river: A case study in the Pearl River along Guangzhou City, China. Sci. Total Environ. 2018, 644, 375–381. [Google Scholar] [CrossRef]
- Cooper, D.A.; Corcoran, P.L. Effects of mechanical and chemical processes on the degradation of plastic beach debris on the island of Kauai, Hawaii. Mar. Pollut. Bull. 2010, 60, 650–654. [Google Scholar] [CrossRef]
- Šaravanja, A.; Pušić, T.; Dekanić, T. Microplastics in wastewater by washing polyester fabrics. Materials 2022, 15, 2683. [Google Scholar] [CrossRef] [PubMed]
- Aslani, H.; Pashmtab, P.; Shaghaghi, A.; Mohammadpoorasl, A.; Taghipour, H.; Zarei, M. Tendencies towards bottled drinking water consumption: Challenges ahead of polyethylene terephthalate (PET) waste management. Health Promot. Perspect. 2021, 11, 60. [Google Scholar] [CrossRef]
- Li, F.; Guo, Z.; Mao, L.; Feng, J.; Huang, J.; Tao, H. Impact of textile industries on surface water contamination by Sb and other potential toxic elements: A case study in Taihu lake basin, China. Int. J. Environ. Res. Public Health 2023, 20, 3600. [Google Scholar] [CrossRef]
- Wang, H.; Zhu, T.; Wang, J.; Liu, Y. Microplastic pollution in Pearl River networks: Characteristic, potential sources, and migration pathways. Water Res. 2025, 276, 123261. [Google Scholar] [CrossRef]
- Acarer, S. Microplastics in wastewater treatment plants: Sources, properties, removal efficiency, removal mechanisms, and interactions with pollutants. Water Sci. Technol. 2023, 87, 685–710. [Google Scholar] [CrossRef]
- Muthuraja, R.; Ou, B.; Thangavelu, M.; Narhayanan, T.N.; Chittamart, N.; Janjaroen, D. Effects of particle size and aging on heavy metal adsorption by polypropylene and polystyrene microplastics under varying environmental conditions. Chemosphere 2024, 369, 143843. [Google Scholar] [CrossRef] [PubMed]
- Li, W.; Zeng, J.; Zheng, N.; Ge, C.; Li, Y.; Yao, H. Polyvinyl chloride microplastics in the aquatic environment enrich potential pathogenic bacteria and spread antibiotic resistance genes in the fish gut. J. Hazard. Mater. 2024, 475, 134817. [Google Scholar] [CrossRef] [PubMed]
- Zhang, F.; Peng, G.; Xu, P.; Zhu, L.; Li, C.; Wei, N.; Li, D. Ecological risk assessment of marine microplastics using the analytic hierarchy process: A case study in the Yangtze River Estuary and adjacent marine areas. J. Hazard. Mater. 2022, 425, 127960. [Google Scholar] [CrossRef] [PubMed]









Disclaimer/Publisher’s Note: The statements, opinions and data contained in all publications are solely those of the individual author(s) and contributor(s) and not of MDPI and/or the editor(s). MDPI and/or the editor(s) disclaim responsibility for any injury to people or property resulting from any ideas, methods, instructions or products referred to in the content. |
© 2025 by the authors. Licensee MDPI, Basel, Switzerland. This article is an open access article distributed under the terms and conditions of the Creative Commons Attribution (CC BY) license (https://creativecommons.org/licenses/by/4.0/).
Share and Cite
Tan, T.; Liu, A.; Yang, Y.; Yu, R.; Lin, N.; Ke, Q.; Wang, Q. Microplastic Pollution in Typical Subtropical Rivers in Eastern China: A Case Study of the Feiyun River Basin. Water 2025, 17, 3170. https://doi.org/10.3390/w17213170
Tan T, Liu A, Yang Y, Yu R, Lin N, Ke Q, Wang Q. Microplastic Pollution in Typical Subtropical Rivers in Eastern China: A Case Study of the Feiyun River Basin. Water. 2025; 17(21):3170. https://doi.org/10.3390/w17213170
Chicago/Turabian StyleTan, Tingyun, Aqiu Liu, Yahan Yang, Ruizhang Yu, Nansheng Lin, Qiang Ke, and Qi Wang. 2025. "Microplastic Pollution in Typical Subtropical Rivers in Eastern China: A Case Study of the Feiyun River Basin" Water 17, no. 21: 3170. https://doi.org/10.3390/w17213170
APA StyleTan, T., Liu, A., Yang, Y., Yu, R., Lin, N., Ke, Q., & Wang, Q. (2025). Microplastic Pollution in Typical Subtropical Rivers in Eastern China: A Case Study of the Feiyun River Basin. Water, 17(21), 3170. https://doi.org/10.3390/w17213170

