The Toxicity of Tetracycline and Disinfection Byproducts on Chlorella Under Ultraviolet/Persulfate Process
Abstract
1. Introduction
2. Materials and Methods
2.1. Materials
2.2. Experimental Procedures
2.2.1. Culture of Chlorella
2.2.2. Analysis of the Degradation of TC and the Generation of DBPs
2.2.3. Toxicity Experiments on Microalgae Exposed to TC and DBPs
2.3. Analytical Methods
2.3.1. Determination of TC Concentrations and Identification of DBPs
2.3.2. Determination of Algal Cell Growth
2.3.3. Determination of Biochemical and Physicochemical Indicators of Microalgae
2.4. Data Analysis
3. Results
3.1. Degradation Kinetics of TC Under Different Disinfection Methods
3.2. Identification of TC DBPs Under Different Disinfection Conditions
3.3. Analysis of TC Degradation Pathways Under Different Disinfection Methods
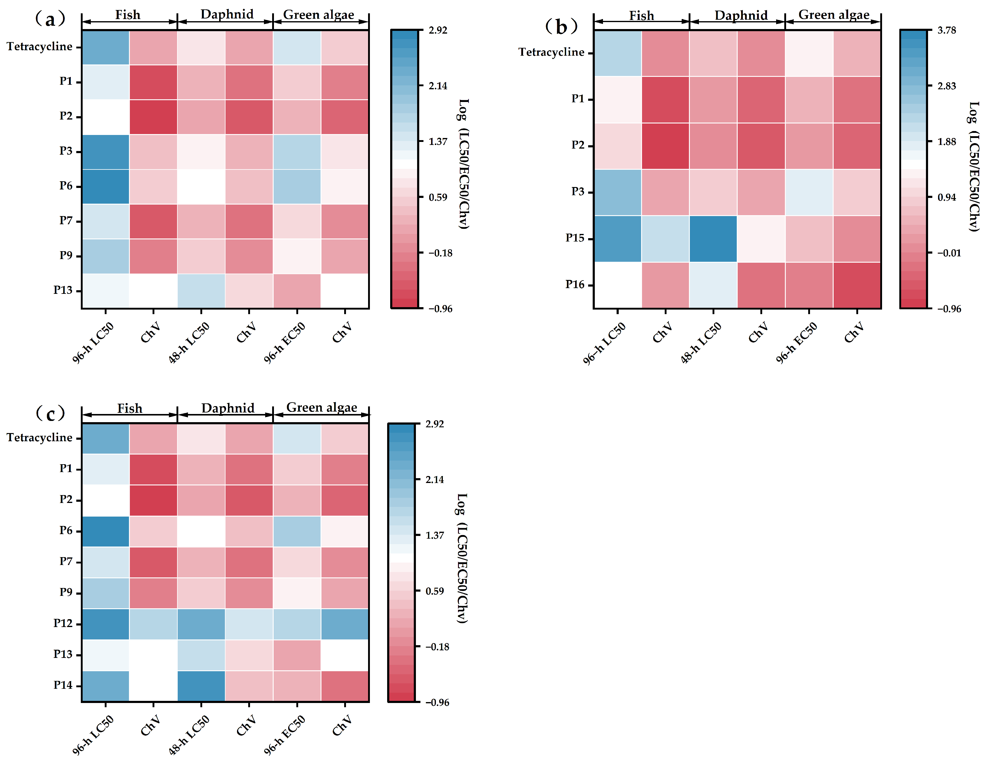
3.4. Toxicity Prediction of TC DBPs Under Different Disinfection Conditions
3.5. Influence of TC and DBPs on Chlorella
3.5.1. Influence on the Growth of Chlorella
3.5.2. Effects of TC and DBPs on the Physiological and Biochemical Indicators of Protein Nucleolus
4. Conclusions
Supplementary Materials
Author Contributions
Funding
Data Availability Statement
Conflicts of Interest
References
- Mortezazadeh, F.; Ahmadi Nasab, M.; Javid, A.; Changani, F.; Dehghani, M.H. A review of UV-based advanced oxidation processes in wastewater treatment systems. Desalination Water Treat. 2025, 323, 101388. [Google Scholar] [CrossRef]
- Giannakis, S.; Lin, K.-Y.A.; Ghanbari, F. A review of the recent advances on the treatment of industrial wastewaters by Sulfate Radical-based Advanced Oxidation Processes (SR-AOPs). Chem. Eng. J. 2021, 406, 127083. [Google Scholar] [CrossRef]
- Yu, C.; Xiong, Z.; Zhou, H.; Zhou, P.; Zhang, H.; Huang, R.; Yao, G.; Lai, B. Marriage of membrane filtration and sulfate radical-advanced oxidation processes (SR-AOPs) for water purification: Current developments, challenges and prospects. Chem. Eng. J. 2022, 433, 133802. [Google Scholar] [CrossRef]
- Gao, Z.; Liu, Y.-L.; Wang, X.-S.; Zhao, X.-N.; Zhu, Z.-Y.; Ma, C.-N.; Cui, C.-W.; Ma, J.; Wang, L. Phenols coupled during oxidation upstream of water treatment would generate higher toxic coupling phenolic disinfection by-products during chlorination disinfection. J. Hazard. Mater. 2025, 483, 136678. [Google Scholar] [CrossRef] [PubMed]
- Clark, R.M.; Rice, G. Characterizing Microbial and DBP RIsk Tradeoffs In Drinking Water: AppUcadon of the CRFM. In Advances in Water and Wastewater Treatment; American Society of Civil Engineers: Reston, VA, USA, 2004; p. 456. [Google Scholar]
- Bull, R.; Meier, J.; Robinson, M.; Ringhand, H.; Laurie, R.; Stober, J. Evaluation of mutagenic and carcinogenic properties of brominated and chlorinated acetonitriles: By-products of chlorination. Fundam. Appl. Toxicol. 1985, 5, 1065–1074. [Google Scholar] [CrossRef]
- Evlampidou, I.; Font-Ribera, L.; Rojas-Rueda, D.; Gracia-Lavedan, E.; Costet, N.; Pearce, N.; Vineis, P.; Jaakkola, J.J.; Delloye, F.; Makris, K.C. Trihalomethanes in drinking water and bladder cancer burden in the European Union. Environ. Health Perspect. 2020, 128, 017001. [Google Scholar] [CrossRef]
- Lei, H.; Mariñas, B.J.; Minear, R.A. Bromamine decomposition kinetics in aqueous solutions. Environ. Sci. Technol. 2004, 38, 2111–2119. [Google Scholar] [CrossRef]
- Li, J.; Moe, B.; Vemula, S.; Wang, W.; Li, X.-F. Emerging disinfection byproducts, halobenzoquinones: Effects of isomeric structure and halogen substitution on cytotoxicity, formation of reactive oxygen species, and genotoxicity. Environ. Sci. Technol. 2016, 50, 6744–6752. [Google Scholar] [CrossRef]
- Yang, M.; Zhang, X. Comparative developmental toxicity of new aromatic halogenated DBPs in a chlorinated saline sewage effluent to the marine polychaete Platynereis dumerilii. Environ. Sci. Technol. 2013, 47, 10868–10876. [Google Scholar] [CrossRef]
- Jiang, Y.-W.; Wang, G.-J.; Zang, S.; Qiao, Y.; Tao, H.-F.; Li, Q.; Zhang, H.; Wang, X.-S.; Ma, J. Halogenated aliphatic and phenolic disinfection byproducts in chlorinated and chloraminated dairy wastewater: Occurrence and ecological risk evaluation. J. Hazard. Mater. 2024, 465, 132985. [Google Scholar] [CrossRef]
- Roccaro, P.; Korshin, G.V.; Cook, D.; Chow, C.W.; Drikas, M. Effects of pH on the speciation coefficients in models of bromide influence on the formation of trihalomethanes and haloacetic acids. Water Res. 2014, 62, 117–126. [Google Scholar] [CrossRef]
- Hanigan, D.; Truong, L.; Simonich, M.; Tanguay, R.; Westerhoff, P. Zebrafish embryo toxicity of 15 chlorinated, brominated, and iodinated disinfection by-products. J. Environ. Sci. 2017, 58, 302–310. [Google Scholar] [CrossRef]
- Zheng, H.; Zhu, Z.; Li, S.; Niu, J.; Dong, X.; Leong, Y.K.; Chang, J.-S. Dissecting the ecological risks of sulfadiazine degradation intermediates under different advanced oxidation systems: From toxicity to the fate of antibiotic resistance genes. Sci. Total Environ. 2024, 941, 173678. [Google Scholar] [CrossRef]
- Zhang, Y.; Bao, J.; Du, J.; Mao, Q.; Cheng, B. Comprehensive metagenomic and enzyme activity analysis reveals the inhibitory effects and potential toxic mechanism of tetracycline on denitrification in groundwater. Water Res. 2023, 247, 120803. [Google Scholar] [CrossRef] [PubMed]
- Qi, X.; Xiong, J.-Q.; Zhao, C.-Y.; Ru, S. Unraveling the key driving factors involved in cometabolism enhanced aerobic degradation of tetracycline in wastewater. Water Res. 2022, 226, 119285. [Google Scholar] [CrossRef] [PubMed]
- Zeng, J.; Xie, W.; Guo, Y.; Zhao, T.; Zhou, H.; Wang, Q.; Li, H.; Guo, Z.; Xu, B.B.; Gu, H. Magnetic field facilitated electrocatalytic degradation of tetracycline in wastewater by magnetic porous carbonized phthalonitrile resin. App. Catal. B Environ. 2024, 340, 123225. [Google Scholar] [CrossRef]
- Wu, Z.; Wang, M.; Bai, Y.; Song, H.; Lv, J.; Mo, X.; Li, X.; Lin, Z. Upcycling of nickel iron slags to hierarchical self-assembled flower-like photocatalysts for highly efficient degradation of high-concentration tetracycline. Chem. Eng. J. 2023, 464, 142532. [Google Scholar] [CrossRef]
- Wagner, E.D.; Plewa, M.J. CHO cell cytotoxicity and genotoxicity analyses of disinfection by-products: An updated review. J. Environ. Sci. 2017, 58, 64–76. [Google Scholar] [CrossRef]
- Tang, J.; Wang, S.; Fan, J.; Long, S.; Wang, L.; Tang, C.; Tam, N.F.; Yang, Y. Predicting distribution coefficients for antibiotics in a river water–sediment using quantitative models based on their spatiotemporal variations. Sci. Total Environ. 2019, 655, 1301–1310. [Google Scholar] [CrossRef]
- Xie, H.; Hao, H.; Xu, N.; Liang, X.; Gao, D.; Xu, Y.; Gao, Y.; Tao, H.; Wong, M. Pharmaceuticals and personal care products in water, sediments, aquatic organisms, and fish feeds in the Pearl River Delta: Occurrence, distribution, potential sources, and health risk assessment. Sci. Total Environ. 2019, 659, 230–239. [Google Scholar] [CrossRef]
- Xu, L.; Zhang, H.; Xiong, P.; Zhu, Q.; Liao, C.; Jiang, G. Occurrence, fate, and risk assessment of typical tetracycline antibiotics in the aquatic environment: A review. Sci. Total Environ. 2021, 753, 141975. [Google Scholar] [CrossRef]
- Kafaei, R.; Papari, F.; Seyedabadi, M.; Sahebi, S.; Tahmasebi, R.; Ahmadi, M.; Sorial, G.A.; Asgari, G.; Ramavandi, B. Occurrence, distribution, and potential sources of antibiotics pollution in the water-sediment of the northern coastline of the Persian Gulf, Iran. Sci. Total Environ. 2018, 627, 703–712. [Google Scholar] [CrossRef]
- Zhou, S.; Shao, Y.; Gao, N.; Zhu, S.; Ma, Y.; Deng, J. Chlorination and chloramination of tetracycline antibiotics: Disinfection by-products formation and influential factors. Ecotoxicol. Environ. Saf. 2014, 107, 30–35. [Google Scholar] [CrossRef] [PubMed]
- Yang, F.; Wang, D.; Zhang, X.; Zhang, J.; Wu, Z.; Wang, Q. Synergistic effects of peroxydisulfate on UV/O3 process for tetracycline degradation: Mechanism and pathways. Chin. Chem. Lett. 2024, 35, 109599. [Google Scholar] [CrossRef]
- Cai, A.; Deng, J.; Xu, M.; Zhu, T.; Zhou, S.; Li, J.; Wang, G.; Li, X. Degradation of tetracycline by UV activated monochloramine process: Kinetics, degradation pathway, DBPs formation and toxicity assessment. Chem. Eng. J. 2020, 395, 125090. [Google Scholar] [CrossRef]
- De-Bashan, L.E.; Hernandez, J.-P.; Morey, T.; Bashan, Y. Microalgae growth-promoting bacteria as “helpers” for microalgae: A novel approach for removing ammonium and phosphorus from municipal wastewater. Water Res. 2004, 38, 466–474. [Google Scholar] [CrossRef]
- Kiki, C.; Rashid, A.; Wang, Y.; Li, Y.; Zeng, Q.; Yu, C.-P.; Sun, Q. Dissipation of antibiotics by microalgae: Kinetics, identification of transformation products and pathways. J. Hazard. Mater. 2020, 387, 121985. [Google Scholar] [CrossRef]
- Wu, S.; Zhang, J.; Xia, A.; Huang, Y.; Zhu, X.; Zhu, X.; Liao, Q. Microalgae cultivation for antibiotic oxytetracycline wastewater treatment. Environ. Res. 2022, 214, 113850. [Google Scholar] [CrossRef]
- Li, J.; Li, W.; Liu, N.; Du, C. Chronic toxic effects of erythromycin and its photodegradation products on microalgae Chlorella pyrenoidosa. Aquat. Toxicol. 2024, 271, 106922. [Google Scholar] [CrossRef]
- Tang, J.; Yang, J.; Zhao, S.; Wang, X.; Xie, Z. Toxic effects of tetracycline and its removal by the freshwater microalga Chlorella pyrenoidosa. Agron. J. 2022, 12, 2497. [Google Scholar] [CrossRef]
- Guo, L.; Chen, Y.; Zhang, L.; Yang, W.; He, P. Development and validation of a liquid chromatographic/tandem mass spectrometric method for determination of chlortetracycline, oxytetracycline, tetracycline, and doxycycline in animal feeds. J. AOAC Int. 2012, 95, 1010–1015. [Google Scholar] [CrossRef] [PubMed]
- Xiong, J.-Q.; Kurade, M.B.; Abou-Shanab, R.A.; Ji, M.-K.; Choi, J.; Kim, J.O.; Jeon, B.-H. Biodegradation of carbamazepine using freshwater microalgae Chlamydomonas mexicana and Scenedesmus obliquus and the determination of its metabolic fate. Bioresour. Technol. 2016, 205, 183–190. [Google Scholar] [CrossRef]
- Sun, Y.; Liao, Q.; Huang, Y.; Xia, A.; Fu, Q.; Zhu, X.; Zheng, Y. Integrating planar waveguides doped with light scattering nanoparticles into a flat-plate photobioreactor to improve light distribution and microalgae growth. Bioresour. Technol. 2016, 220, 215–224. [Google Scholar] [CrossRef]
- Wu, Z.; Gong, S.; Liu, J.; Shi, J.; Deng, H. Progress and problems of water treatment based on UV/persulfate oxidation process for degradation of emerging contaminants: A review. J. Water Process Eng. 2024, 58, 104870. [Google Scholar] [CrossRef]
- Pan, M.; Lyu, T.; Zhan, L.; Matamoros, V.; Angelidaki, I.; Cooper, M.; Pan, G. Mitigating antibiotic pollution using cyanobacteria: Removal efficiency, pathways and metabolism. Water Res. 2021, 190, 116735. [Google Scholar] [CrossRef]
- Satthong, S.; Saego, K.; Kitrungloadjanaporn, P.; Nuttavut, N.; Amornsamankul, S.; Triampo, W. Modeling the effects of light sources on the growth of algae. Adv. Differ. Equ. 2019, 2019, 170. [Google Scholar] [CrossRef]
- Chen, L.; Zhou, Y.; Zhou, Y.; Zhu, P.; Luo, Y.; Wu, J.; Zhou, Q.; Luo, S. Chlorella vulgaris mediated erythromycin co-metabolism: Stress response, degradation products and pathways. J. Environ. Chem. Eng. 2025, 13, 119390. [Google Scholar] [CrossRef]








| Products Number | m/z(+H) | Formula | Structures |
|---|---|---|---|
| P1 | 461 | C22H24N2O9 | ![]() |
| P2 | 443 | C22H22N2O8 | ![]() |
| P3 | 459 | C22H22N2O9 | ![]() |
| P15 | 417 | C21H22N2O6 | ![]() |
| P16 | 432 | C20H17NO10 | ![]() |
| Products Number | m/z(+H) | Formula | Structures |
|---|---|---|---|
| P1 | 461 | C22H24N2O9 | ![]() |
| P2 | 443 | C22H22N2O8 | ![]() |
| P3 | 459 | C22H22N2O9 | ![]() |
| P6 | 467 | C21H24N2O9 | ![]() |
| P7 | 362 | C19H23NO6 | ![]() |
| P9 | 414 | C21H22N2O7 | ![]() |
| P13 | 305 | C16H16O6 | ![]() |
| Products Number | m/z(+H) | Formula | Structures |
|---|---|---|---|
| P1 | 461 | C22H24N2O9 | ![]() |
| P2 | 443 | C22H22N2O8 | ![]() |
| P6 | 467 | C21H24N2O9 | ![]() |
| P7 | 362 | C19H23NO6 | ![]() |
| P9 | 414 | C21H22N2O7 | ![]() |
| P12 | 349 | C18H20O7 | ![]() |
| P13 | 305 | C16H16O6 | ![]() |
| P14 | 399 | C20H18N2O7 | ![]() |
Disclaimer/Publisher’s Note: The statements, opinions and data contained in all publications are solely those of the individual author(s) and contributor(s) and not of MDPI and/or the editor(s). MDPI and/or the editor(s) disclaim responsibility for any injury to people or property resulting from any ideas, methods, instructions or products referred to in the content. |
© 2025 by the authors. Licensee MDPI, Basel, Switzerland. This article is an open access article distributed under the terms and conditions of the Creative Commons Attribution (CC BY) license (https://creativecommons.org/licenses/by/4.0/).
Share and Cite
Guo, Y.; Zhu, T.; Shao, K.; Wang, J.; Zhou, C.; Xue, Y.; Li, J. The Toxicity of Tetracycline and Disinfection Byproducts on Chlorella Under Ultraviolet/Persulfate Process. Water 2025, 17, 3140. https://doi.org/10.3390/w17213140
Guo Y, Zhu T, Shao K, Wang J, Zhou C, Xue Y, Li J. The Toxicity of Tetracycline and Disinfection Byproducts on Chlorella Under Ultraviolet/Persulfate Process. Water. 2025; 17(21):3140. https://doi.org/10.3390/w17213140
Chicago/Turabian StyleGuo, Yang, Tao Zhu, Kangle Shao, Junhao Wang, Chengyu Zhou, Yingang Xue, and Junhong Li. 2025. "The Toxicity of Tetracycline and Disinfection Byproducts on Chlorella Under Ultraviolet/Persulfate Process" Water 17, no. 21: 3140. https://doi.org/10.3390/w17213140
APA StyleGuo, Y., Zhu, T., Shao, K., Wang, J., Zhou, C., Xue, Y., & Li, J. (2025). The Toxicity of Tetracycline and Disinfection Byproducts on Chlorella Under Ultraviolet/Persulfate Process. Water, 17(21), 3140. https://doi.org/10.3390/w17213140





















