Study on the Changing Trend of Terrestrial Water Storage in Inner Mongolia Based on GRACE Satellite and GLDAS Hydrological Model
Abstract
1. Introduction
2. Materials and Methods
2.1. Study Area
2.2. Data
2.2.1. GRACE Satellite
2.2.2. GLDAS LSM Data
2.2.3. Precipitation Data
2.3. Research Methods
2.3.1. Derivation of Water Balance Equations
2.3.2. Trend Analysis and Significance Test
3. Results and Analysis
3.1. TWS Changes
3.1.1. Terrestrial Water Storage Anomaly (TWSa)
3.1.2. Spatial Trends of TWSa
3.2. Water Balance Components of TWSa
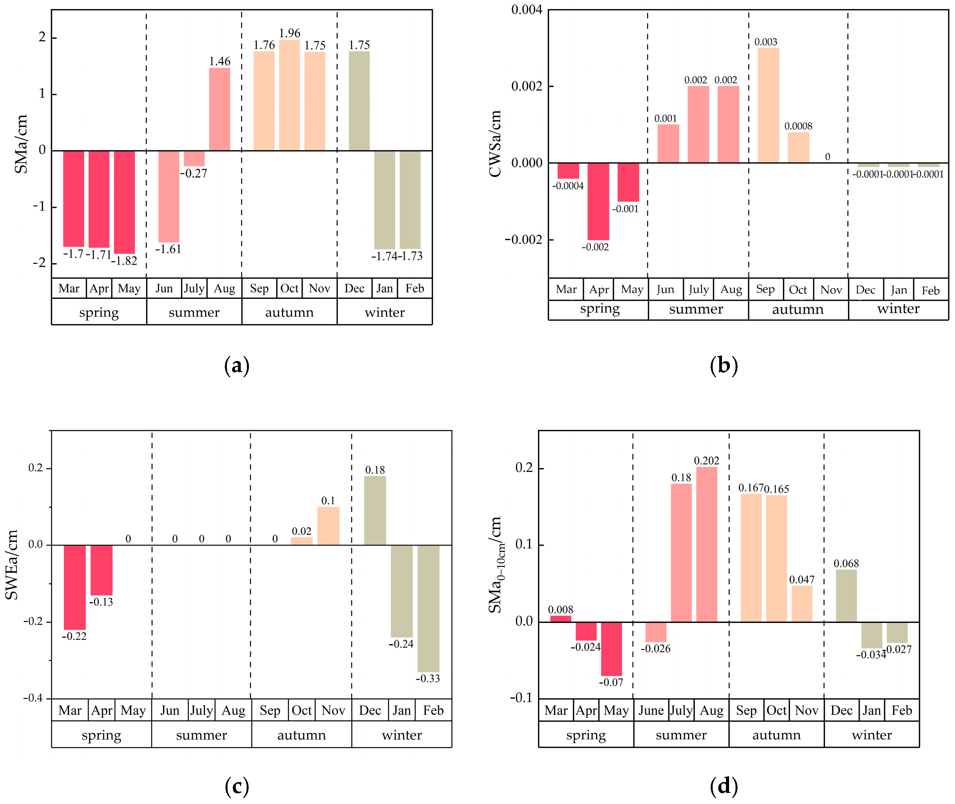
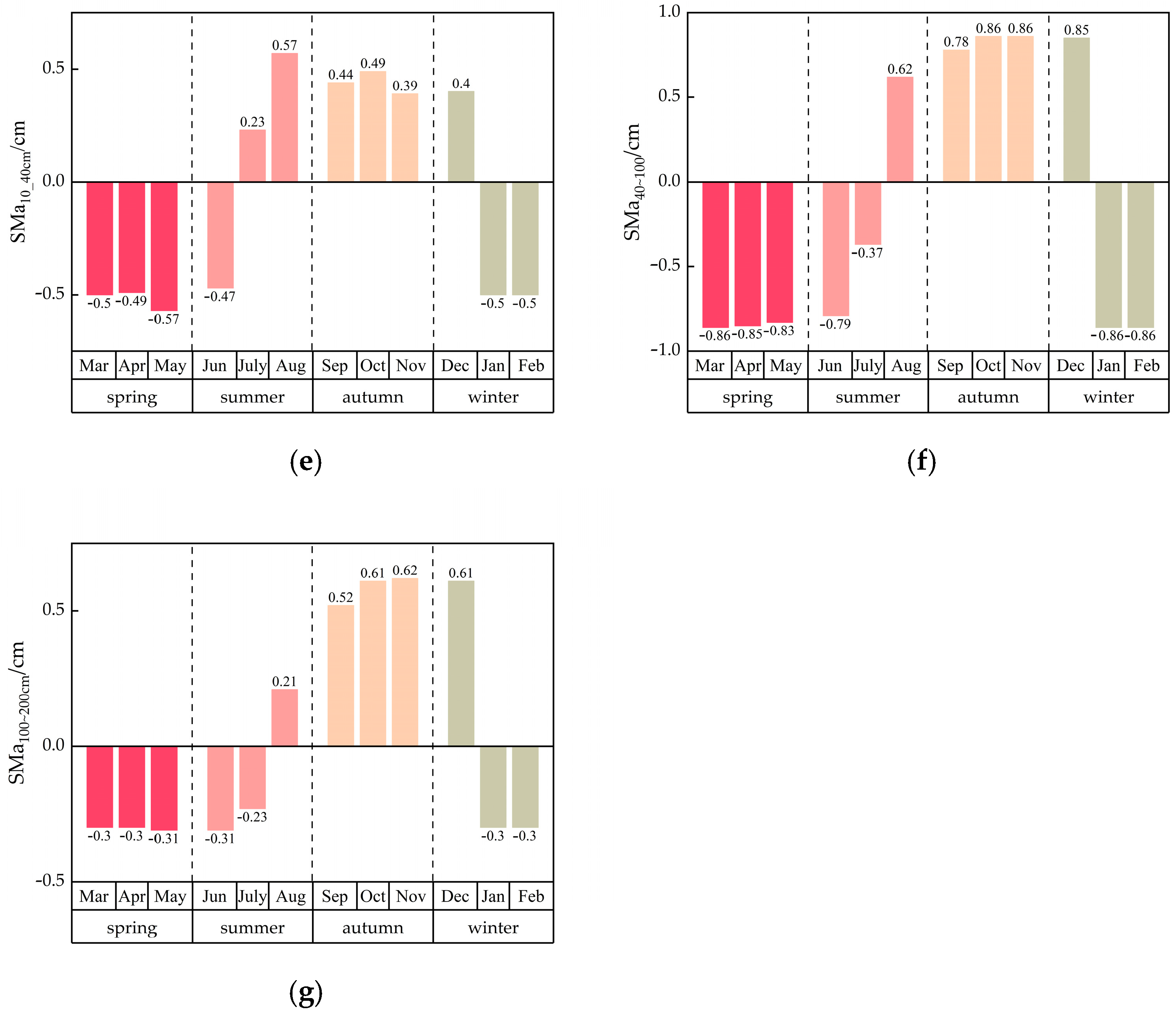
3.2.1. GLDAS-Based CWSa, SMa, and SWEa
3.2.2. GRACE and GLDAS-Based AWa, GWSa, and SWa
4. Discussion
4.1. Reliability Evaluation of TWSa
4.2. Relationship Between TWSa and Climate Change
4.3. The Significance of TWSa for Ecological Construction
5. Conclusions
- The temporal trends in terrestrial water storage over the study area derived from data sources provided by the three GRACE institutions (JPL, CSR, and GFZ) are relatively consistent. The ensemble average of these three data sources was used to analyze the terrestrial water storage trends over the study area. From 2003 to 2016, TWSa over Inner Mongolia showed a significant overall downward trend, with a multi-year rate of change of 5.2 × 10−4 cm/year. The seasonal distribution of TWSa is highly correlated with precipitation, increasing during the rainy season and decreasing during the dry season.
- In terms of spatial trends, TWSa in Inner Mongolia gradually showed a decreasing trend from northeast to southwest. The areas with a more significant upward trend accounted for 29%, with a maximum value of about 1.22 cm, which appeared in the northeastern part of the study area; the areas with a downward trend accounted for 59%, and the minimum value of −2.94 cm appeared in the southern part of Ordos, Inner Mongolia.
- The component CWSa in the water balance equation based on the GLDAS/NOAH model output has the least impact on TWSa, followed by SWEa. SMa has a more significant anomaly than these two components, with a clear downward trend between 2004–2007 and 2013–2015. Soil water at different depths exhibits significant differences, and the hysteresis reflects the vertical transmission time of the precipitation infiltration process. Precipitation primarily affects shallow SM, but the correlation between precipitation and deep soil water and groundwater is relatively small.
Author Contributions
Funding
Data Availability Statement
Conflicts of Interest
References
- Gao, Q.; Lu, L. Forecast of China’s long-term water resource demand and analysis of regional differences. Arid Area Resour. Environ. 2016, 30, 90–94. [Google Scholar] [CrossRef]
- Humphrey, V.; Rodell, M.; Eicker, A. Using satellite-based terrestrial water storage data: A review. Surv. Geophys. 2023, 44, 1489–1517. [Google Scholar] [CrossRef]
- Zhou, Y. Monitoring and Attribution Analysis of Water Resources Changes in Typical Agricultural and Pastoral Areas Based on Remote Sensing Cloud Computing. Ph.D. Thesis, China University of Geosciences, Beijing, China, 2021. [Google Scholar]
- Chen, S.; Wu, Y.; Liu, S.; Xu, G.; Zhang, Y. Water storage anomaly reconstruction and drought identification by integrating attention mechanism. J. Wuhan Univ. (Inf. Sci. Ed.) 2025, 50, 1382–1392. [Google Scholar] [CrossRef]
- Nie, Y.; Sheng, Y.; Liu, Q.; Liu, L.; Liu, S.; Zhang, Y.; Song, C. A regional-scale assessment of Himalayan glacial lake changes using satellite observations from 1990 to 2015. Remote Sens. Environ. 2017, 189, 1–13. [Google Scholar] [CrossRef]
- Chen, A.; Xiong, J.; Wu, S.; Yang, Y. Changes in terrestrial water storage in the Three-North region of China over 2003–2021: Assessing the roles of climate and vegetation restoration. J. Hydrol. 2024, 637, 131303. [Google Scholar] [CrossRef]
- Tian, J. Study on the Evolution Trend of Climate Warming and Humidification in Northwest China and Its Impact on Vegetation Restoration. Ph.D. Thesis, Nanjing Forestry University, Nanjing, China, 2023. [Google Scholar]
- Xie, J.; Xu, Y.P.; Guo, Y.; Wang, Y.; Chen, H. Understanding the impact of climatic variability on terrestrial water storage in the Qinghai-Tibet Plateau of China. Hydrol. Sci. J. 2022, 67, 963–978. [Google Scholar] [CrossRef]
- Xavier, L.; Becker, M.; Cazenave, A.; Longuevergne, L.; Llovel, W.; Filho, O.R. Interannual variability in water storage over 2003–2008 in the Amazon Basin from GRACE space gravimetry, in situ river level and precipitation data. Remote Sens. Environ. 2010, 114, 1629–1637. [Google Scholar] [CrossRef]
- Crowley, J.; Mitrovica, J.; Bailey, R.; Tamisiea, M.E.; Davis, J.L. Land water storage within the Congo Basin inferred from GRACE satellite gravity data. Geophys. Res. Lett. 2006, 33, L19402. [Google Scholar] [CrossRef]
- Zhong, Y.; Hu, E.; Wu, Y.; An, Q.; Wang, C.; Bai, H.; Gao, W. Reconstructing a long-term water storage-based drought index in theYangtze River Basin. Sci. Total Environ. 2023, 883, 163403. [Google Scholar] [CrossRef]
- Su, Y.; Yang, Y.; Yang, Y. Reconstructing GRACE total water storage changes using machine learning and its accuracy assessment. Appl. Geophys. 2025, 22, 365–382+557. [Google Scholar] [CrossRef]
- An, L.; Huang, J.; Ren, Y.; Zhang, G. Variation characteristics and attribution analysis of terrestrial water storage in arid areas of northern China. Drought Weather 2022, 40, 169–178. [Google Scholar]
- Feng, W.; Zhong, M.; Lemoine, J.M.; Biancale, R.; Hsu, H.; Xia, J. Evaluation of groundwater depletion in North China using the Gravity Recovery and Climate Experiment (GRACE) data and ground-based measurements. Water Resour. Res. 2013, 49, 2110–2118. [Google Scholar] [CrossRef]
- Guo, Y.; Gan, F.; Yan, B.; Bai, J.; Xing, N.; Zhuo, Y. Evaluation of terrestrial water storage changes and major driving factors analysis in Inner Mongolia, China. Sensors 2022, 22, 9665. [Google Scholar] [CrossRef] [PubMed]
- Liu, D.; Wang, Y. Relationship between drainage system structure and drainage basin characteristics of inland rivers in the eastern Inner Mongolia Plateau. J. Peking Univ. (Nat. Sci. Ed.) 2021, 57, 699–706. [Google Scholar] [CrossRef]
- Gorelick, N.; Hancher, M.; Dixon, M.; Ilyushchenko, S.; Thau, D.; Moore, R. Google Earth Engine: Planetary-scale geospatial analysis for everyone. Remote Sens. Environ. 2017, 202, 18–27. [Google Scholar] [CrossRef]
- Save, H.; Bettadpur, S.; Tapley, B.D. High-resolution CSR GRACE RL05 mascons. J. Geophys. Res. Solid Earth 2016, 121, 7547–7569. [Google Scholar] [CrossRef]
- Rodell, M.; Houser, P.R.; Jambor, U.E.A.; Gottschalck, J.; Mitchell, K.; Meng, C.-J.; Arsenault, K.; Cosgrove, B.; Radakovich, J.; Bosilovich, M.; et al. The global land data assimilation system. Bull. Am. Meteorol. Soc. 2004, 85, 381–394. [Google Scholar] [CrossRef]
- Jing, W.; Zhao, X.; Yao, L.; Jiang, H.; Xu, J.; Yang, J.; Li, Y. Variations in terrestrial water storage in the Lancang-Mekong river basin from GRACE solutions and land surface model. J. Hydrol. 2020, 580, 124258. [Google Scholar] [CrossRef]
- Shao, C. Research on Regional Groundwater Storage Changes in China Based on GRACE Data. Master’s Thesis, Henan Polytechnic University, Jiaozuo, China, 2023. [Google Scholar]
- Castle, S.L.; Thomas, B.F.; Reager, J.T.; Rodell, M.; Swenson, S.C.; Famiglietti, J.S. Groundwater depletion during drought threatens future water security of the Colorado River Basin. Geophys. Res. Lett. 2014, 41, 5904–5911. [Google Scholar] [CrossRef]
- Sen, P.K. Estimates of the regression coefficient based on Kendall’s tau. J. Am. Stat. Assoc. 1968, 63, 1379–1389. [Google Scholar] [CrossRef]
- Gocic, M.; Trajkovic, S. Analysis of changes in meteorological variables using Mann-Kendall and Sen’s slope estimator statistical tests in Serbia. Glob. Planet. Change 2013, 100, 172–182. [Google Scholar] [CrossRef]
- Chen, X. Remote Sensing Monitoring of Water Reserves and Analysis of Driving Factors in High-Intensity Coal Mining Areas. Ph.D. Thesis, China University of Mining and Technology, Xuzhou, China, 2019. [Google Scholar]
- Lu, X. Analysis of Land Water Storage Changes and Potential Environmental Effects in the Yellow River Basin Based on GRACE Gravity Satellite. Master’s Thesis, China University of Mining and Technology, Xuzhou, China, 2022. [Google Scholar]
- Han, Z.; Huang, S.; Huang, Q.; Leng, G.; Wang, H.; He, L.; Fang, W.; Li, P. Assessing GRACE-based terrestrial water storage anomalies dynamics at multi-timescales and their correlations with teleconnection factors in Yunnan Province, China. J. Hydrol. 2019, 574, 836–850. [Google Scholar] [CrossRef]
- Yan, J.; Jia, S.; Lv, A.; Zhu, W. Changes in China’s land water storage and its temporal and spatial distribution in the past decade. South–North Water Divers. Proj. Water Conserv. Technol. 2016, 14, 21–28. [Google Scholar] [CrossRef]
- Zhao, X.; Yan, X. Changing trends of soil water storage and water management and allocation strategies in North China over the past 20 years. Clim. Environ. Stud. 2006, 11, 371–379. [Google Scholar]
- Fu, Z. Application of Combined Satellite Gravity and Multi-Source Observations to Extract Spatiotemporal Variations of Water Storage in the Loess Plateau. Master’s Thesis, China University of Geosciences, Wuhan, China, 2022. [Google Scholar] [CrossRef]
- Nair, A.S.; Indu, J. Assessment of groundwater sustainability and identifying factors inducing groundwater depletion in India. Geophys. Res. Lett. 2021, 48, e2020GL087255. [Google Scholar] [CrossRef]
- Zheng, S.; Zhang, Z.; Song, Z.; Li, Y.; Yan, H. Anthropogenic and climate-driven water storage variations on the Mongolian Plateau. Remote Sens. 2023, 15, 4184. [Google Scholar] [CrossRef]
- Huang, Y.; Wang, N.A.; He, T.; Chen, H.; Zhao, L. Historical desertification of the Mu Us Desert, Northern China: A multidisciplinary study. Geomorphology 2009, 110, 108–117. [Google Scholar] [CrossRef]
- Zhao, M.; Zhang, J.; Velicogna, I.; Liang, C.; Li, Z. Ecological restoration impact on total terrestrial water storage. Nat. Sustain. 2021, 4, 56–62. [Google Scholar] [CrossRef]
- Bryan, B.A.; Gao, L.; Ye, Y.; Sun, X.; Connor, J.D.; Crossman, N.D.; Stafford-Smith, M.; Wu, J.; He, C.; Yu, D.; et al. China’s response to a national land-system sustainability emergency. Nature 2018, 559, 193–204. [Google Scholar] [CrossRef] [PubMed]
- Lu, F.; Hu, H.; Sun, W.; Zhu, J.; Liu, G.; Zhou, W.; Zhang, Q.; Shi, P.; Liu, X.; Wu, X.; et al. Effects of national ecological restoration projects on carbon sequestration in China from 2001 to 2010. Proc. Natl. Acad. Sci. USA 2018, 115, 4039–4044. [Google Scholar] [CrossRef]
- Tian, Y. Problems and systematic governance strategies for strengthening the important ecological security barrier in northern my country. Inn. Mong. Soc. Sci. 2023, 44, 43–49+213. [Google Scholar] [CrossRef]











| Band Name | Unit | Range | Description |
|---|---|---|---|
| lwe_thickness_csr | cm | −5.13–4.44 | Equivalent water height in centimeters calculated by CSR |
| lwe_thickness_gfz | cm | −6.49–3.53 | Equivalent water height in centimeters calculated by GFZ |
| lwe_thickness_jpl | cm | −5.48–3.45 | Equivalent water height in centimeters calculated by JPL |
| Band Name | Unit | Range | Description |
|---|---|---|---|
| CanopInt_inst | kg·m−2 | 0–0.5 | Plant canopy surface water |
| RootMoist_inst | kg·m−2 | 2–949.6 | Root zone soil moisture |
| SWE_inst | kg·m−2 | 0–120,787 | Snow depth water equivalent |
| SoilMoi0_10cm_inst | kg·m−2 | 1.99–47.59 | Soil moisture at 0–10 cm |
| SoilMoi10_40cm_inst | kg·m−2 | 5.99–142.8 | Soil moisture at 10–40 cm |
| SoilMoi40_100cm_inst | kg·m−2 | 11.99–285.6 | Soil moisture at 40–100 cm |
| SoilMoi100_200cm_inst | kg·m−2 | 20–476 | Soil moisture at 100–200 cm |
| 14-Year Monthly Average of TWSa (cm) | |||||
| Jan | Feb | Mar | Apr | May | Jun |
| −1.239 | −0.716 | −0.292 | −0.202 | 0.102 | −0.578 |
| July | Aug | Sep | Oct | Nov | Dec |
| 0.126 | 0.244 | −0.455 | −1.012 | −0.755 | −0.663 |
| Annual Average of TWSa (cm) | |||||
| 2003 | 2004 | 2005 | 2006 | 2007 | 2008 |
| 0.345 | 1.576 | 0.87 | 0.048 | −0.87 | −1.453 |
| 2009 | 2010 | 2011 | 2012 | 2013 | 2014 |
| −0.227 | −0.416 | −2.342 | −2.092 | 1.257 | −0.042 |
| 2015 | 2016 | ||||
| −0.416 | −2.342 | ||||
| Year | Total Precipitation | Water Consumption | Water Use | Water Supply | Land Water | ||
|---|---|---|---|---|---|---|---|
| Sum | Surface Water | Groundwater | |||||
| 2003 | 3367 | 109.05 | 166.87 | 166.87 | 495.57 | 355.57 | 239.29 |
| 2004 | 2612.0 | 110.7 | 171.01 | 171.01 | 437.61 | 310.23 | 222.57 |
| 2005 | 2477.3 | 115.15 | 174.76 | 174.76 | 456.18 | 338.69 | 214.64 |
| 2006 | 2575.3 | 118.07 | 178.69 | 178.69 | 411.29 | 294.33 | 213.56 |
| 2007 | 2371.1 | 118.48 | 180.12 | 180.12 | 295.86 | 183.03 | 206.88 |
| 2008 | 3205.1 | 115.02 | 175.78 | 175.78 | 412.07 | 274.82 | 235.15 |
| 2009 | 2679 | 118.14 | 181.25 | 181.25 | 378.15 | 263.36 | 214.35 |
| 2010 | 3014.3 | 120.8 | 181.9 | 181.9 | 388.54 | 253.38 | 227.65 |
| 2011 | 2741.2 | 122.0 | 184.7 | 184.7 | 419.0 | 298.16 | 213.37 |
| 2012 | 3670.8 | 123.08 | 185.35 | 184.35 | 510.25 | 349.24 | 258.38 |
| 2013 | 3649.7 | 122.02 | 183.22 | 183.22 | 959.81 | 813.52 | 249.33 |
| 2014 | 3238.59 | 120.94 | 182.01 | 182.01 | 537.79 | 397.61 | 236.26 |
| 2015 | 3134.43 | 123.68 | 185.78 | 185.78 | 536.97 | 402.12 | 224.57 |
| 2016 | 3274.05 | 128.37 | 190.29 | 190.29 | 426.5 | 268.51 | 248.17 |
| Precipitation (100 Million m3) | Compared with Average | Surface Water (100 Million m3) | Compared with Average | Ground-Water (100 Million m3) | Compared with Average | |
|---|---|---|---|---|---|---|
| 2003 | 3367 | 3.20% | 355.57 | −12.50% | 239.29 | −0.90% |
| 2004 | 2612 | −20% | 310.23 | −23.70% | 222.57 | −7.80% |
| 2005 | 2477.3 | −24.10% | 338.69 | −16.50% | 214.64 | −11.10% |
| 2006 | 2575.3 | −21.10% | 294.33 | −27.60% | 213.56 | −10.40% |
| 2007 | 2371.1 | −27.40% | 183.03 | −55.00% | 206.88 | −13.20% |
| 2008 | 3205.1 | −1.80% | 274.82 | −32.40% | 235.15 | −1.40% |
| 2009 | 2679 | −17.90% | 263.36 | −35.20% | 214.35 | −10.10% |
| 2010 | 3014.3 | −7.60% | 253.38 | −37.70% | 227.65 | −4.50% |
| 2011 | 2741.2 | −16% | 298.16 | −26.70% | 213.37 | −10.50% |
| 2012 | 3670.8 | 12.50% | 349.24 | 14.80% | 258.38 | 8.40% |
| 2013 | 3649.7 | 11.80% | 813.52 | 100.10% | 249.33 | 4.60% |
| 2014 | 3238.59 | −0.80% | 397.61 | −2.20% | 236.26 | comparable |
| 2015 | 3134.43 | −4% | 402.12 | −1.10% | 224.57 | −4.90% |
| 2016 | 3274.05 | 0.30% | 268.51 | −34.00% | 248.17 | 5.10% |
Disclaimer/Publisher’s Note: The statements, opinions and data contained in all publications are solely those of the individual author(s) and contributor(s) and not of MDPI and/or the editor(s). MDPI and/or the editor(s) disclaim responsibility for any injury to people or property resulting from any ideas, methods, instructions or products referred to in the content. |
© 2025 by the authors. Licensee MDPI, Basel, Switzerland. This article is an open access article distributed under the terms and conditions of the Creative Commons Attribution (CC BY) license (https://creativecommons.org/licenses/by/4.0/).
Share and Cite
Cao, Y.; Ge, G.; Bao, Y.; Chang, A.; Niu, R. Study on the Changing Trend of Terrestrial Water Storage in Inner Mongolia Based on GRACE Satellite and GLDAS Hydrological Model. Water 2025, 17, 3123. https://doi.org/10.3390/w17213123
Cao Y, Ge G, Bao Y, Chang A, Niu R. Study on the Changing Trend of Terrestrial Water Storage in Inner Mongolia Based on GRACE Satellite and GLDAS Hydrological Model. Water. 2025; 17(21):3123. https://doi.org/10.3390/w17213123
Chicago/Turabian StyleCao, Yin, Genbatu Ge, Yuhai Bao, An Chang, and Runjun Niu. 2025. "Study on the Changing Trend of Terrestrial Water Storage in Inner Mongolia Based on GRACE Satellite and GLDAS Hydrological Model" Water 17, no. 21: 3123. https://doi.org/10.3390/w17213123
APA StyleCao, Y., Ge, G., Bao, Y., Chang, A., & Niu, R. (2025). Study on the Changing Trend of Terrestrial Water Storage in Inner Mongolia Based on GRACE Satellite and GLDAS Hydrological Model. Water, 17(21), 3123. https://doi.org/10.3390/w17213123
