Numerical Simulation Study on Hydraulic Characteristics of Asymmetric and Symmetric Triangular Labyrinth Weirs: A Comparative Analysis
Abstract
1. Introduction
2. Materials and Methods
2.1. Computational Domain and Mesh
2.2. Control Equations and Model Selection
2.2.1. Control Equations
2.2.2. Turbulence Model
2.3. Boundary Conditions
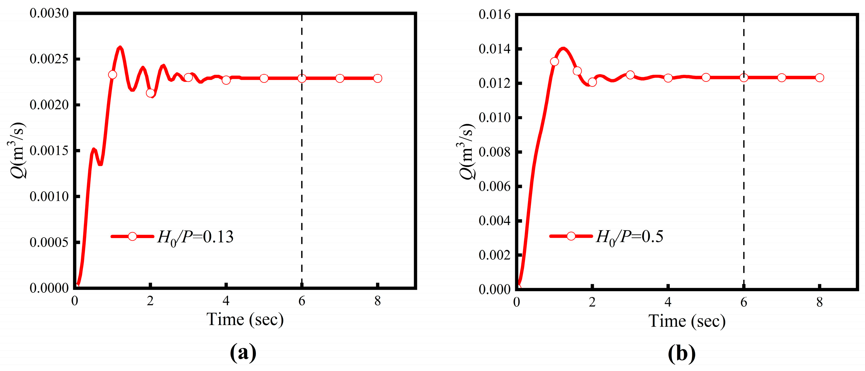
2.4. Verification
3. Results
3.1. Pressure Profiles
3.2. Streamlines
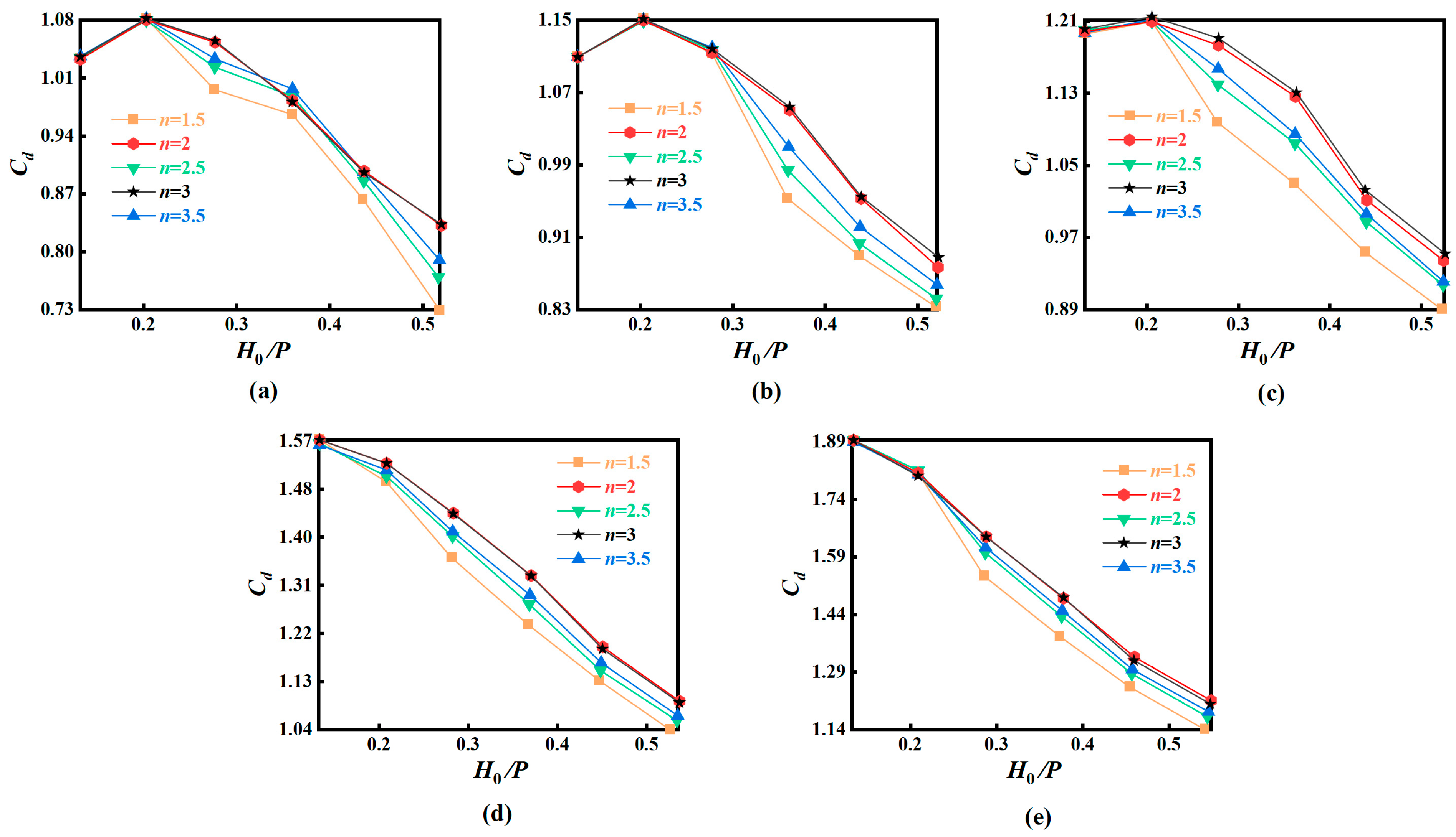
3.3. Hydraulic Performance
4. Conclusions
- In STLWs, the flow regime transitions uniformly from clinging nappe flow to complete submergence, with the negative pressure zone concentrated uniformly along the weir crest. In contrast, for ATLWs, dominated by their asymmetric structure and sidewall constraints, the main flow undergoes significant deflection, inducing persistent cavities in local regions, which are absent in STLWs. This cavity results in a significantly reduced extent of the local negative pressure zone compared to the STLW. Concurrently, it leads to a unique flow regime characterized by a combination of fully aerated nappe flow and local submergence. This phenomenon intensifies with increasing H0/P and eventually stabilizes.
- Streamline visualization systematically reveals fundamental differences in the flow structures between ATLWs and STLWs. At low H0/P ratios, the lower-layer streamlines of both configurations show no deflection, the upper-layer streamlines exhibit minimal disorder, and their flow patterns are similar. As H0/P increases, distinct differences emerge: the lower-layer streamlines in STLWs maintain their original trend, while the upper-layer streamlines, despite increased disorder, remain relatively organized. In contrast, ATLWs exhibit significant and persistent deflection in the lower-layer streamlines, directly contributing to cavity formation. Their upper-layer streamlines demonstrate intense disturbances not observed in STLWs, which are directly associated with the unique nappe interference induced by the asymmetric geometry.
- At lower H0/P ratios, the Cd and Q/Qn of ATLWs and STLWs are essentially identical, indicating that the asymmetric design can achieve flow conveyance efficiency comparable to that of the symmetric weir under low-headwater conditions. However, as H0/P increases, the Cd and Q/Qn of ATLWs are generally lower than those of STLWs under the same conditions, due to the increased energy dissipation caused by cavity formation, streamline deflection, and more intense nappe disturbances in ATLWs. Furthermore, in ATLWs, an increase in the cycle number (n) can significantly enhance the flow capacity, whereas this effect is not pronounced in STLWs.
- Based on an extensive parameter range, this study derived a generalized empirical formula for predicting the discharge coefficient (Cd) of triangular labyrinth weirs. This formula demonstrates exceptionally high goodness-of-fit (R2 = 0.980) and low prediction error (mean relative error of 2.64%), providing a practical and reliable quantitative basis for the hydraulic design and performance optimization of ATLWs in complex environments.
Author Contributions
Funding
Data Availability Statement
Conflicts of Interest
Abbreviations
| ATLW | Asymmetric Triangular Labyrinth Weir | 
| STLW | Symmetric Triangular Labyrinth Weir | 
| H0/P | Relative headwater | 
| n | Cycle number | 
| L/B | Relative crest length | 
| B | Channel width | 
| L | Weir crest length | 
| α | Sidewall angle | 
| θ | Apex angle | 
| P | Weir height | 
| Qn | Discharge of a conventional linear weir | 
| Q/Qn | Flow magnification ratio | 
| Q | Discharge | 
| Cd, CL | Discharge coefficient | 
| H | head over the weir | 
| H0 | Total head over the weir | 
| l1 | Sidewall length | 
| V1–V5 | Case numbers | 
| GCI | Grid Convergence Index | 
| R2 | Coefficient of determination | 
| MSE | Mean Squared Error | 
| RMSE | Root Mean Squared Error | 
| MAE | Mean Absolute Error | 
References
- Said, M.B.; Ouamane, A. Discharge Capacity of an Improved Form of Labyrinth Weir. In International School of Hydraulics; Springer Nature: Cham, Switzerland, 2023; pp. 13–28. [Google Scholar] [CrossRef]
- Isleem, H.F.; Elshaarawy, M.K.; Hamed, A.K. Analysis of Flow Dynamics and Energy Dissipation in Piano Key and Labyrinth Weirs Using Computational Fluid Dynamics; IntechOpen: London, UK, 2024. [Google Scholar] [CrossRef]
- Idrees, A.K.; Al-Ameri, R. Investigating a New Approach to Enhance the Discharge Capacity of Labyrinth Weirs. J. Hydroinform. 2023, 25, 300–317. [Google Scholar] [CrossRef]
- Mattos-Villarroel, E.D.; Ojeda-Bustamante, W.; Díaz-Delgado, C.; Salinas-Tapia, H.; Flores-Velázquez, J.; Bautista Capetillo, C. Methodological Proposal for the Hydraulic Design of Labyrinth Weirs. Water 2023, 15, 722. [Google Scholar] [CrossRef]
- Aydin, M.C.; Ulu, A.E.; Işık, E. Determination of Effective Flow Behaviors on Discharge Performance of Trapezoidal Labyrinth Weirs Using Numerical and Physical Models. Model. Earth Syst. Environ. 2024, 10, 3763–3776. [Google Scholar] [CrossRef]
- Aydin, M.C.; Ulu, A.E.; Işık, E. Investigation of Hydraulic Characteristics of Stepped Labyrinth Weirs under Fixed Crest Length. Water Resour. Manag. 2025, 39, 3295–3310. [Google Scholar] [CrossRef]
- Mattos-Villarroel, E.; Flores-Velázquez, J.; Ojeda-Bustamante, W.; Díaz-Delgado, C.; Salinas-Tapia, H. Influence of Crest Geometric on Discharge Coefficient Efficiency of Labyrinth Weirs. Flow Meas. Instrum. 2021, 81, 102031. [Google Scholar] [CrossRef]
- Ghaderi, A.; Daneshfaraz, R.; Dasineh, M.; Di Francesco, S. Energy Dissipation and Hydraulics of Flow over Trapezoidal–Triangular Labyrinth Weirs. Water 2020, 12, 1992. [Google Scholar] [CrossRef]
- Mohammadzadeh-Habili, J.; Heidarpour, M.; Samiee, S. Study of Energy Dissipation and Downstream Flow Regime of Labyrinth Weirs. Iran. J. Sci. Technol., Trans. Civ. Eng. 2018, 42, 111–119. [Google Scholar] [CrossRef]
- Ghaderi, A.; Daneshfaraz, R.; Abbasi, S.; Abraham, J. Numerical Analysis of the Hydraulic Characteristics of Modified Labyrinth Weirs. Int. J. Energy Water Resour. 2020, 4, 425–436. [Google Scholar] [CrossRef]
- Taylor, G. The Performance of Labyrinth Weirs. Ph.D. Thesis, University of Nottingham, Nottingham, UK, 1968. [Google Scholar] [CrossRef]
- Tullis, J.P.; Amanian, N.; Waldron, D. Design of Labyrinth Spillways. J. Hydraul. Eng. 1995, 121, 247–255. [Google Scholar] [CrossRef]
- Kumar, S.; Ahmad, Z.; Mansoor, T. A New Approach to Improve the Discharging Capacity of Sharp-Crested Triangular Plan Form Weirs. Flow Meas. Instrum. 2011, 22, 175–180. [Google Scholar] [CrossRef]
- Carollo, F.G.; Ferro, V.; Pampalone, V. Experimental Investigation of the Outflow Process over a Triangular Labyrinth Weir. J. Irrig. Drain Eng. 2012, 138, 73–79. [Google Scholar] [CrossRef]
- Tacail, F.G.; Even, B.; Babb, A. Case Study of a Labyrinth weir Spillway. Can. J. Civ. Eng. 1990, 17, 1–7. [Google Scholar] [CrossRef]
- Namazi, F.S.A.; Mozaffari, J. Investigation of Labyrinth Weirs Discharge Coefficient with the Same Length. Flow Meas. Instrum. 2023, 94, 102468. [Google Scholar] [CrossRef]
- Emiroglu, M.E.; Aydin, M.C.; Kaya, N. Discharge Characteristics of a Trapezoidal Labyrinth Side Weir with One and Two Cycles in Subcritical Flow. J. Irrig. Drain Eng. 2014, 140, 04014007. [Google Scholar] [CrossRef]
- Khode, B.V.; Tembhurkar, A.R.; Porey, P.D.; Ingle, R.N. Experimental Studies on Flow over Labyrinth Weir. J. Irrig. Drain Eng. 2012, 138, 548–552. [Google Scholar] [CrossRef]
- Christensen, N.A. Flow Characteristics of Arced Labyrinth Weirs. Master’s Thesis, Utah State University, Logan, UT, USA, 2013. [Google Scholar] [CrossRef]
- Gupta, K.K.; Kumar, S.; Ahmad, Z. Effect of Weir Height on Flow Performance of Sharp Crested Rectangular-Plan Form Weirs. World Appl. Sci. J. 2015, 33, 168–175. [Google Scholar] [CrossRef]
- Sangsefidi, Y.; Mehraein, M.; Ghodsian, M. Experimental Study on Flow over In-Reservoir Arced Labyrinth Weirs. Flow Meas. Instrum. 2018, 59, 215–224. [Google Scholar] [CrossRef]
- Safarrazavi Zadeh, M.; Esmaeili Varaki, M.; Biabani, R. Experimental Study on Flow over Sinusoidal and Semicircular Labyrinth Weirs. ISH J. Hydraul. Eng. 2021, 27 (Suppl. 1), 304–313. [Google Scholar] [CrossRef]
- Samadi, A.; Salmasi, F.; Arvanaghi, H.; Mousaviraad, M. Effects of Geometrical Parameters on Labyrinth Weir Hydraulics. J. Irrig. Drain. Eng. 2022, 148, 06022006. [Google Scholar] [CrossRef]
- Bilhan, O.; Emiroglu, M.E. Experimental Studies on Determination of Discharge Capacity of Circular Labyrinth Weirs Located on a Straight Channel. Int. J. Electron. Mech. Mech. Eng. 2016, 6, 1227–1239. [Google Scholar] [CrossRef]
- Kabiri-Samani, A.; Javaheri, A.; Borghei, S.M. Discharge Coefficient of a Rectangular Labyrinth Weir. Proc. Inst. Civ. Eng.-Water Manag. 2013, 166, 443–451. [Google Scholar] [CrossRef]
- Bilhan, O.; Aydin, M.C.; Emiroglu, M.E.; Miller, C.J. Experimental and CFD Analysis of Circular Labyrinth Weirs. J. Irrig. Drain. Eng. 2018, 144, 04018007. [Google Scholar] [CrossRef]
- Ziaei, A.N.; Nikou, N.S.; Beyhaghi, A.; Attarzadeh, F.; Khodashenas, S.R. Flow Simulation over a Triangular Labyrinth Side Weir in a Rectangular Channel. Prog. Comput. Fluid Dyn. Int. J. 2019, 19, 22–34. [Google Scholar] [CrossRef]
- Khalili, M.; Honar, T. Discharge Coefficient of Semi-Circular Labyrinth Side Weir in Subcritical Flow. Water SA 2017, 43, 433–441. [Google Scholar] [CrossRef]
- Karimi, M.; Ghazizadeh, M.J.; Saneie, M.; Attari, J. Flow Characteristics over Asymmetric Triangular Labyrinth Side Weirs. Flow Meas. Instrum. 2019, 68, 101574. [Google Scholar] [CrossRef]
- Borghei, S.M.; Parvaneh, A. Discharge Characteristics of a Modified Oblique Side Weir in Subcritical Flow. Flow Meas. Instrum. 2011, 22, 370–376. [Google Scholar] [CrossRef]
- Parvaneh, A.; Borghei, S.M.; Jalili Ghazizadeh, M.R. Hydraulic Performance of Asymmetric Labyrinth Side Weirs Located on a Straight Channel. J. Irrig. Drain. Eng. 2012, 138, 766–772. [Google Scholar] [CrossRef]
- Aydin, M.C.; Ulu, A.E.; Işık, E.; Hamidi, N. An Experimental and Numerical Investigation of Hydraulic Performance of In-Channel Triangular Labyrinth Weir for Free Overflow. ISH J. Hydraul. Eng. 2024, 30, 430–439. [Google Scholar] [CrossRef]
- Hirt, C.W.; Nichols, B.D. Volume of Fluid (VOF) Method for the Dynamics of Free Boundaries. J. Comput. Phys. 1981, 39, 201–225. [Google Scholar] [CrossRef]
- Chunrong, L.; Aode, H.; Wenju, M. Numerical and Experimental Investigation of Flow over a Semicircular Weir. Acta Mech. Sin. 2002, 18, 594–602. [Google Scholar] [CrossRef]
- Tullis, B.P.; Crookston, B.M.; Young, N. Scale Effects in Free-Flow Nonlinear Weir Head-Discharge Relationships. J. Hydraul. Eng. 2020, 146, 04019056. [Google Scholar] [CrossRef]
- Tullis, B.P.; Young, N.; Crookston, B.M. Physical Modeling Size-Scale Effects for Labyrinth Weirs with Half-Round Crests. In Labyrinth and Piano Key Weirs III; CRC Press: Boca Raton, FL, USA, 2017; pp. 185–192. [Google Scholar] [CrossRef]
- Mei, J.; Zhou, Y.; Xu, K.; Xu, G.; Shu, Z.; Gan, Q.; Yu, Q.; Qian, J. Energy Dissipation on Inclined Stepped Spillways. Water 2025, 17, 251. [Google Scholar] [CrossRef]
- Mirkhorli, P.; Ghaderi, A.; MohammadNezhad, H.; Kisi, O. Hydraulic Behavior and Energy Dissipation in Piano Key Weirs vs. Rectangular Labyrinth Weirs: A Comparative Study. Flow Meas. Instrum. 2025, 102, 102830. [Google Scholar] [CrossRef]
- Roy Biswas, T.; Singh, P.; Sen, D. Submerged Flow over Barrage Weirs: A Computational Fluid Dynamics Model Study. J. Irrig. Drain. Eng. 2021, 147, 04021058. [Google Scholar] [CrossRef]
- Safarzadeh, A.; Noroozi, B. 3D Hydrodynamics of Trapezoidal Piano Key Spillways. Int. J. Civ. Eng. 2017, 15, 89–101. [Google Scholar] [CrossRef]
- Arjenaki, M.O.; Sanayei, H.R.Z. Numerical Investigation of Energy Dissipation Rate in Stepped Spillways with Lateral Slopes Using Experimental Model Development Approach. Model. Earth Syst. Environ. 2020, 6, 605–616. [Google Scholar] [CrossRef]
- Shen, G.; Cao, D.; Li, S.; Li, G. Numerical and Sensitivity Analysis of Hydraulic Characteristics of Triangular Labyrinth Side Weir. Flow Meas. Instrum. 2024, 100, 102686. [Google Scholar] [CrossRef]
- Celik, I.B.; Ghia, U.; Roache, P.J.; Freitas, C.J. Procedure for Estimation and Reporting of Uncertainty Due to Discretization in CFD Applications. J. Fluids Eng.-Trans. ASME 2008, 130, 078001. [Google Scholar] [CrossRef]
- Soydan Oksal, N.G.; Akoz, M.S.; Simsek, O. Numerical Modelling of Trapezoidal Weir Flow with RANS, LES, and DES Models. Sādhanā 2020, 45, 91. [Google Scholar] [CrossRef]
- Oksal, N.G.S.; Akoz, M.S.; Simsek, O. Experimental Analysis of Flow Characteristics over Hydrofoil Weirs. Flow Meas. Instrum. 2021, 79, 101867. [Google Scholar] [CrossRef]
- Rouse, H. Open Channel Flow. By F. M. Henderson. Macmillan, 1966. 522 pp. $14.95. J. Fluid Mech. 1967, 29, 414–415. [Google Scholar] [CrossRef]











| Case | Sidewall Angle α (°) | Sidewall Length l1 (mm) | Weir Height P (mm) | Relative Crest Length L/B = 1/sinα | Relative Headwater H0/P | Cycle Numbers n | 
|---|---|---|---|---|---|---|
| V1 | 47.00 | 87.8 | 100 | 1.37 | 0.13–0.52 | 1.5, 2, 2.5, 3, 3.5 | 
| V2 | 41.81 | 96.3 | 100 | 1.50 | 0.13–0.52 | |
| V3 | 36.87 | 106.9 | 100 | 1.67 | 0.13–0.53 | |
| V4 | 25.38 | 149.8 | 100 | 2.33 | 0.13–0.54 | |
| V5 | 20.00 | 185.2 | 100 | 2.88 | 0.13–0.55 | 
| Boundary Type | Block 1 | Block 2 | Block 3 | 
|---|---|---|---|
| Xmin | Pressure inlet | Symmetry | Symmetry | 
| Xmax | Symmetry | Symmetry | Outflow | 
| Ymin | Wall | Wall | Wall | 
| Ymax | Wall | Wall | Wall | 
| Zmin | Wall | Wall | Wall | 
| Zmax | Air inlet | Air inlet | Air inlet | 
| D (m) | Fs = 1.25, β = 2 | |||
|---|---|---|---|---|
| r (Di/Di+1) | Q (m3/s) | Relative Error (σ) | GCI (%) | |
| 0.0039 | -- | 0.00293 | -- | -- | 
| 0.00325 | 1.3 | 0.00278 | 0.0539 | 9.77 | 
| 0.0025 | 1.3 | 0.00276 | 0.0072 | 1.31 | 
| Equation | R2 | MSE | RMSE | MAE | 
|---|---|---|---|---|
| Equation (13) | 0.980 | 0.001 | 0.032 | 0.031 | 
| Disclaimer/Publisher’s Note: The statements, opinions and data contained in all publications are solely those of the individual author(s) and contributor(s) and not of MDPI and/or the editor(s). MDPI and/or the editor(s) disclaim responsibility for any injury to people or property resulting from any ideas, methods, instructions or products referred to in the content. | 
© 2025 by the authors. Licensee MDPI, Basel, Switzerland. This article is an open access article distributed under the terms and conditions of the Creative Commons Attribution (CC BY) license (https://creativecommons.org/licenses/by/4.0/).
Share and Cite
Xu, K.; Qu, W.; Zhou, Y.; Xu, W.; Jiang, L.; Xu, W.; Jia, S.; Ye, Z. Numerical Simulation Study on Hydraulic Characteristics of Asymmetric and Symmetric Triangular Labyrinth Weirs: A Comparative Analysis. Water 2025, 17, 3114. https://doi.org/10.3390/w17213114
Xu K, Qu W, Zhou Y, Xu W, Jiang L, Xu W, Jia S, Ye Z. Numerical Simulation Study on Hydraulic Characteristics of Asymmetric and Symmetric Triangular Labyrinth Weirs: A Comparative Analysis. Water. 2025; 17(21):3114. https://doi.org/10.3390/w17213114
Chicago/Turabian StyleXu, Ke, Weifei Qu, Yu Zhou, Weitong Xu, Libin Jiang, Wufeng Xu, Siwei Jia, and Zixuan Ye. 2025. "Numerical Simulation Study on Hydraulic Characteristics of Asymmetric and Symmetric Triangular Labyrinth Weirs: A Comparative Analysis" Water 17, no. 21: 3114. https://doi.org/10.3390/w17213114
APA StyleXu, K., Qu, W., Zhou, Y., Xu, W., Jiang, L., Xu, W., Jia, S., & Ye, Z. (2025). Numerical Simulation Study on Hydraulic Characteristics of Asymmetric and Symmetric Triangular Labyrinth Weirs: A Comparative Analysis. Water, 17(21), 3114. https://doi.org/10.3390/w17213114
 
        


 
       