Hydrochemical Characteristics of Shallow Groundwater and Analysis of Vegetation Water Sources in the Ulan Buh Desert
Abstract
1. Introduction
2. Materials and Methods
2.1. Study Area
2.2. Sample Collection
2.3. Sample Analysis
2.4. Data Processing and Analysis
2.4.1. Ionic Balance Validation
2.4.2. Spatial and Statistical Analysis
2.4.3. Isotopic Analysis
3. Results
3.1. Hydrochemical Characteristics of Groundwater
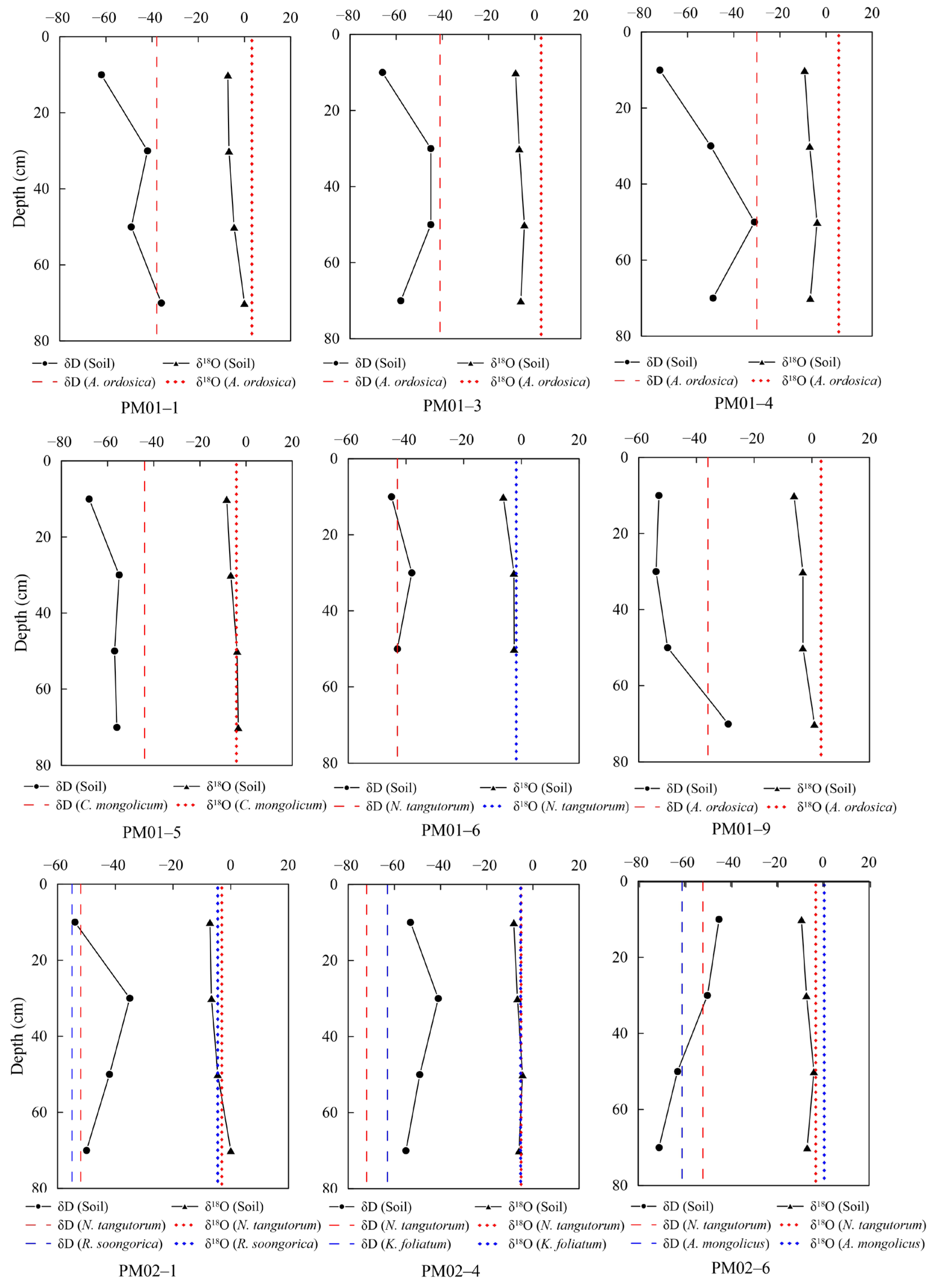
3.2. Characteristics of Hydrogen and Oxygen Isotopes
4. Discussion
4.1. Hydrochemical Genesis Analysis of Shallow Groundwater
4.2. Analysis of Groundwater and Soil Moisture Sources
4.3. Water Utilization Strategies of Vegetation
4.4. Research Limitations and Future Prospects
5. Conclusions
- (1)
- The hydrochemical characteristics of groundwater in the study area are governed by multiple geohydrological processes. Piper diagram shows that its hydrochemical types are mainly HCO3− type and Cl− type. The high salinity of groundwater is mainly due to the dissolution, evaporation and concentration of carbonate minerals and ion exchange process. Rock weathering is the dominant factor, but evaporation and concentration also significantly enhanced groundwater mineralization in some areas.
- (2)
- Vegetation exhibits distinct depth-stratified water use strategies. Shallow-rooted species (e.g., R. soongorica, K. foliatum) primarily rely on shallow soil water (0–20 cm), while deep-rooted plants (e.g., N. tangutorum, A. mongolicus) predominantly utilize deeper soil moisture (40–80 cm). No direct groundwater dependence was observed.
- (3)
- Soil water isotopes exhibit significant vertical stratification, revealing a hydraulic connection between the enriched deep layer (60–80 cm) and groundwater. This suggests capillary rise recharge into the vadose zone, which vegetation subsequently accesses indirectly via the soil matrix rather than through direct uptake.
- (4)
- This study provides a snapshot of ecohydrological interactions during the late growing season; however, its findings are constrained by the single sampling period and limited soil sampling depth. Future work should adopt multi-season monitoring and deeper soil sampling to better capture vegetation-soil-groundwater dynamics.
Author Contributions
Funding
Data Availability Statement
Conflicts of Interest
References
- D’Odorico, P.; Bhattachan, A.; Davis, K.F.; Ravi, S.; Runyan, C.W. Global desertification: Drivers and feedbacks. Adv. Water Resour. 2013, 51, 326–344. [Google Scholar] [CrossRef]
- Yang, X.; Zhang, K.; Jia, B.; Ci, L. Desertification assessment in China: An overview. J. Arid Environ. 2005, 63, 517–531. [Google Scholar] [CrossRef]
- Miyazono, S.; Patiño, R.; Taylor, C.M. Desertification, salinization, and biotic homogenization in a dryland river ecosystem. Sci. Total Environ. 2015, 511, 444–453. [Google Scholar] [CrossRef]
- Guillen-Cruz, G.; Rodríguez-Sánchez, A.L.; Fernández-Luqueo, F.; Flores-Rentería, D. Influence of vegetation type on the ecosystem services provided by urban green areas in an arid zone of northern Mexico. Urban For. Urban Green. 2021, 1 (Suppl. S1), 127135. [Google Scholar] [CrossRef]
- Liu, L.; Gou, X.; Wang, X.; Yang, M.; Qie, L.; Pang, G.; Wei, S.; Zhang, F.; Li, Y.; Wang, Q.; et al. Relationship between extreme climate and vegetation in arid and semi-arid mountains in China: A case study of the Qilian Mountains. Agric. For. Meteorol. 2024, 348, 109938. [Google Scholar] [CrossRef]
- XU, H.-L.; YE, M.; LI, J.-M. Changes in groundwater levels and the response of natural vegetation to transfer of water to the lower reaches of the Tarim River. J. Environ. Sci. 2007, 19, 1199–1207. [Google Scholar] [CrossRef]
- Zhao, M.; Wang, W.; Wang, Z.; Chen, L.; Ma, Z.; Wang, Q. Water use of Salix in the variably unsaturated zone of a semiarid desert region based on in-situ observation. J. Hydrol. 2020, 591, 125579. [Google Scholar] [CrossRef]
- Bhanja, S.N.; Malakar, M.; Mukherjee, A.; Rodell, M.; Mitra, P.; Sarkar, S. Using Satellite-Based Vegetation Cover as Indicator of Groundwater Storage in Natural Vegetation Areas. Geophys. Res. Lett. 2019, 46, 8082–8092. [Google Scholar] [CrossRef]
- Zhu, L.; Gong, H.; Dai, Z.; Xu, T.; Su, X. An integrated assessment of the impact of precipitation and groundwater on vegetation growth in arid and semiarid areas. Environ. Earth Sci. 2015, 74, 5009–5021. [Google Scholar] [CrossRef]
- Chen, Y.; Li, W.; Xu, C.; Ye, Z.; Chen, Y. Desert riparian vegetation and groundwater in the lower reaches of the Tarim River basin. Environ. Earth Sci. 2014, 73, 547–558. [Google Scholar] [CrossRef]
- Liu, B.; Zhao, Y.; Malekian, A.; Wang, X.; Zhao, W.; Manesh, M.B.; Wang, B.; Yang, C.; Sun, W.; Li, W.; et al. Interactions and feedback mechanisms in oasis wetland hydrology–soil–vegetation systems, northwestern China. Catena 2025, 258, 109220. [Google Scholar] [CrossRef]
- Hao, Y.; Wan, J.; Xin, Y.; Zhou, W.; Li, Y.; Mao, L.; Li, X.; Mo, L.; Li, R. Research on Ecological–Environmental Geological Survey and Evaluation Methods for the Kundulun River Basin in Baotou City. Water 2025, 17, 1926. [Google Scholar] [CrossRef]
- Cao, S.; Chen, L.; Shankman, D.; Wang, C.; Wang, X.; Zhang, H. Excessive reliance on afforestation in China’s arid and semi-arid regions: Lessons in ecological restoration. Earth Sci. Rev. 2010, 104, 240–245. [Google Scholar] [CrossRef]
- Tong, X.; Brandt, M.; Yue, Y.; Horion, S.; Wang, K.; Keersmaecker, W.D.; Tian, F.; Schurgers, G.; Xiao, X.; Luo, Y. Increased vegetation growth and carbon stock in China karst via ecological engineering. Nat. Sustain. 2018, 1, 44–50. [Google Scholar] [CrossRef]
- Li, D.; Liu, K.; Wang, S.; Wu, T.; Li, H.; Bo, Y.; Zhang, H.; Huang, Y.; Li, X. Four decades of hydrological response to vegetation dynamics and anthropogenic factors in the Three-North Region of China and Mongolia. Sci. Total Environ. 2022, 857, 159546. [Google Scholar] [CrossRef]
- Zhang, J.; Zhang, Y. Quantitative Assessment of the Impact of the Three-North Shelter Forest Program on Vegetation Net Primary Productivity over the Past Two Decades and Its Environmental Benefits in China. Sustainability 2024, 16, 3656. [Google Scholar] [CrossRef]
- Wang, F.; Pan, X.; Gerlein-Safdi, C.; Cao, X.; Wang, S.; Gu, L.; Wang, D.; Lu, Q. Vegetation restoration in Northern China: A contrasted picture. Land Degrad. Dev. 2020, 31, 669–676. [Google Scholar] [CrossRef]
- Liang, W.; Quan, Q.; Wu, B.; Mo, S. Response of Vegetation Dynamics in the Three-North Region of China to Climate and Human Activities from 1982 to 2018. Sustainability 2023, 15, 3073. [Google Scholar] [CrossRef]
- Ke, Q.; Jiaojun, Z.; Xiao, Z.; Geoff, W.G.; Mingcai, L. Impacts of the world’s largest afforestation program (Three-North Afforestation Program) on desertification control in sandy land of China. GISci. Remote Sens. 2023, 60, 2167574. [Google Scholar]
- Chen, A.; Xiong, J.; Wu, S.; Yang, Y. Changes in terrestrial water storage in the Three-North region of China over 2003–2021: Assessing the roles of climate and vegetation restoration. J. Hydrol. 2024, 637, 131303. [Google Scholar] [CrossRef]
- Yang, L.; Wang, C.; Liu, Y.; Wang, T.; Tian, Z.; Ding, L.; Liu, Z.; Feng, T.; Niu, Q.; Mao, X.; et al. The change pattern and spatiotemporal transition of land use carbon emissions in China’s Three-North Shelterbelt Program Region. Ecol. Eng. 2025, 219, 107680. [Google Scholar] [CrossRef]
- Hao, Y.; Ding, G.; Zhang, J.; Cao, J.; Zhou, J. Study on the Quantitative Relationship Between the Sand-Wind Disastrous Climate and the Construction of the Protecting Forest System on the Northeast Edge of Wulanbuh Desert. Sci. Soil Water Conserv. 2004, 2, 79–82. [Google Scholar] [CrossRef]
- Li, R.; Kan, S.; Zhu, M.; Chen, J.; Ai, X.; Chen, Z.; Zhang, J.; Ai, Y. Effect of different vegetation restoration types on fundamental parameters, structural characteristics and the soil quality index of artificial soil. Soil Tillage Res. 2018, 184, 11–23. [Google Scholar] [CrossRef]
- Li, X.; Ma, Y.; Li, X.; Gao, J.; Xing, Z.; Lu, Q. Plant community heterogeneity and its influencing factors in the Ulan Buh Desert. J. Desert Res. 2022, 42, 187–194. [Google Scholar]
- Lu, T.; Wu, J.; Lu, Y.; Zhou, W.; Lu, Y. Effects of Groundwater Depth on Vegetation Coverage in the Ulan Buh Desert in a Recent 20-Year Period. Water 2023, 15, 3000. [Google Scholar] [CrossRef]
- Chen, F.; Li, G.; Zhao, H.; Jin, M.; Chen, X.; Fan, Y.; Liu, X.; Wu, D.; Madsen, D. Landscape evolution of the Ulan Buh Desert in northern China during the late Quaternary. Quat. Res. 2014, 81, 476–487. [Google Scholar] [CrossRef]
- Wei, G.; Chen, F.; Ma, J.; Dong, Y.; Zhu, G.; Edmunds, W.M. Groundwater recharge and evolution of water quality in China’s Jilantai Basin based on hydrogeochemical and isotopic evidence. Environ. Earth Sci. 2014, 72, 3491–3506. [Google Scholar] [CrossRef]
- Dang, H.; Dong, J.; Yue, N.; Dong, Y.; Guo, Y.; Wei, G. Study of the evolution of hydrochemical properties of groundwater in Ulan Buh Desert in the north of the Helan Mountains. J. Glaciol. Geocryol. 2015, 37, 793–802. [Google Scholar]
- Wang, N.; Chun, X. Research progress on the quaternary environmental evolution in the Ulan Buh Desert. J. Desert Res. 2022, 42, 175–183. [Google Scholar]
- Niu, Y.; Ren, G.; Lin, G.; Biase, L.D.; Fattorini, S. Fine-Scale Vegetation Characteristics Drive Insect Ensemble Structures in a Desert Ecosystem: The Tenebrionid Beetles (Coleoptera: Tenebrionidae) Inhabiting the Ulan Buh Desert (Inner Mongolia, China). Insects 2020, 11, 410. [Google Scholar] [CrossRef]
- Yang, W.B.; Feng, W.; Jia, Z.Q.; Zhu, Y.J.; Guo, J.Y. Soil water threshold for the growth of Haloxylon ammodendron in the Ulan Buh desert in arid northwest China. S. Afr. J. Bot. 2014, 92, 53–58. [Google Scholar] [CrossRef]
- Han, G.; Huo, J.; Hu, R.; Gong, X.; Nan, Y.; Lian, Y.; Zhang, Z. Coupling relationships between vegetation and soil in different vegetation types in the Ulan Buh Desert and the Kubuqi Desert. Front. Plant Sci. 2025, 16, 1505526. [Google Scholar] [CrossRef]
- Xie, X.; Ellis, A.; Wang, Y.; Xie, Z.; Duan, M.; Su, C. Geochemistry of redox-sensitive elements and sulfur isotopes in the high arsenic groundwater system of Datong Basin, China. Sci. Total Environ. 2009, 407, 3823–3835. [Google Scholar] [CrossRef] [PubMed]
- Guo, H.; Jia, Y.; Wanty, R.B.; Jiang, Y.; Zhao, W.; Xiu, W.; Shen, J.; Li, Y.; Cao, Y.; Wu, Y.; et al. Contrasting distributions of groundwater arsenic and uranium in the western Hetao basin, Inner Mongolia: Implication for origins and fate controls. Sci. Total Environ. 2016, 541, 1172–1190. [Google Scholar] [CrossRef] [PubMed]
- Li, X.; Guo, H.; Zheng, H.; Xiu, W.; He, W.; Ding, Q. Roles of different molecular weights of dissolved organic matter in arsenic enrichment in groundwater: Evidences from ultrafiltration and EEM-PARAFAC. Appl. Geochem. 2019, 104, 124–134. [Google Scholar] [CrossRef]
- Dodd, M.B.; Welker, W.K.L.M. Differential water resource use by herbaceous and woody plant life-forms in a shortgrass steppe community. Oecologia 1998, 117, 504–512. [Google Scholar] [CrossRef]
- Li, B.; Wu, X.; Dong, X.; Man, H.; Liu, C.; Zou, S.; He, J.; Zang, S. Soil water uptake from different depths of three tree species indicated by hydrogen and oxygen stable isotopes in the permafrost region of Northeast China. Front. Plant Sci. 2024, 15, 1444811. [Google Scholar] [CrossRef]
- Li, P.; Wu, J.; Qian, H. Hydrochemical appraisal of groundwater quality for drinking and irrigation purposes and the major influencing factors: A case study in and around Hua County, China. Arab. J. Geosci. 2016, 9, 15. [Google Scholar] [CrossRef]
- Adimalla, N.; Qian, H. Hydrogeochemistry and fluoride contamination in the hard rock terrain of central Telangana, India: Analyses of its spatial distribution and health risk. SN Appl. Sci. 2019, 1, 202. [Google Scholar] [CrossRef]
- Güler, C.; Thyne, G.D.; McCray, J.E.; Turner, K.A. Evaluation of graphical and multivariate statistical methods for classification of water chemistry data. Hydrogeol. J. 2002, 10, 455–474. [Google Scholar] [CrossRef]
- Ehleringer, J.R.; Dawson, T.E. Water uptake by plants: Perspectives from stable isotope composition. Plant Cell Environ. 2010, 15, 1073–1082. [Google Scholar] [CrossRef]
- Stock, B.C.; Jackson, A.L.; Ward, E.J.; Parnell, A.C.; Semmens, B.X. Analyzing mixing systems using a new generation of Bayesian tracer mixing models. PeerJ 2018, 6, e5096. [Google Scholar] [CrossRef]
- Evaristo, J.; Jasechko, S.; Mcdonnell, J.J. Global separation of plant transpiration from groundwater and streamflow. Nature 2015, 525, 91–94. [Google Scholar] [CrossRef]
- Wang, R.; Kong, S.; Xu, L.; Li, Y.; Chen, W.; Zhao, E. Spatial distribution of soil salinity under different surface land cover types and micro-topography in the Yellow River Delta. Trans. Chin. Soc. Agric. Eng. 2020, 36, 132–141. [Google Scholar]
- Liu, Z.; Wang, L.; Qu, Z.; Zhang, R.; He, J.; Ma, G.; Li, E. The Changes in Depth and Physicochemical Properties of Groundwater in Response to Spring Irrigation in Hetao Irrigation District. J. Irrig. Drain. 2022, 41, 101–108. [Google Scholar] [CrossRef]
- Li, B.; Cui, X.; Zhu, Y.; Zheng, F. Hydrochemical characteristics and change of groundwater in Chaoyang District of Beijing City. Water Resour. Prot. 2012, 28, 7–12. [Google Scholar]
- Moussa, A.B.; Zouari, K.; Marc, V. Hydrochemical and isotope evidence of groundwater salinization processes on the coastal plain of Hammamet-Nabeul, north-eastern Tunisia. Phys. Chem. Earth 2011, 36, 167–178. [Google Scholar] [CrossRef]
- Saurabh, S.; Abhishek, S.; Ramsha, K.; Peiyue, L. Spatial analysis of groundwater quality and human health risk assessment in parts of Raebareli district, India. Environ. Earth Sci. 2021, 80, 800. [Google Scholar] [CrossRef]
- Patience, M.T.; Elumalai, V.; Rajmohan, N.; Li, P. Occurrence and distribution of nutrients and trace metals in groundwater in an intensively irrigated region, Luvuvhu catchment, South Africa. Environ. Earth Sci. 2021, 80, 752. [Google Scholar] [CrossRef]
- Nsabimana, A.; Li, P.; He, S.; He, X.; Alam, S.M.K.; Fida, M. Health Risk of the Shallow Groundwater and Its Suitability for Drinking Purpose in Tongchuan, China. Water 2021, 13, 3256. [Google Scholar] [CrossRef]
- Chen, L.; Hui, M.B.; Yang, Y.S. Analysis of Groundwater Chemical Characteristics and Spatiotemporal Evolution Trends of Influencing Factors in Southern Beijing Plain. Front. Environ. Sci. 2022, 10, 913542. [Google Scholar] [CrossRef]
- Gong, Z.; Tian, X.; Fu, L.; Niu, H.; Xia, Z.; Ma, Z.; Chen, J.; Zhou, Y. Chemical Characteristics and Controlling Factorsof Groundwater in Chahannur Basin. Water 2023, 15, 1524. [Google Scholar] [CrossRef]
- Wang, S.; Lei, S.; Zhang, M.; Hughes, C.; Crawford, J.; Liu, Z.; Qu, D. Spatial and Seasonal Isotope Variability in Precipitation across China: Monthly Isoscapes Based on Regionalized Fuzzy Clustering. J. Clim. 2022, 35, 3411–3425. [Google Scholar] [CrossRef]
- Zhao, Y.; Zhou, W.; Sun, B.; Yang, Y.; Li, J.; Li, J.; Cao, B.; Zhong, H. Root Distribution of Three Desert Shrubs and Soil Moisture in Mu Us Sand Land. Res. Soil Water Conserv. 2010, 17, 129–133. [Google Scholar]
- Jiang, L.; Li, Y. Comparison on Architecture Characteristics of Root Systems and Leaf Traits for Three Desert Shrubs Adapted to Arid Habitat. J. Desert Res. 2008, 28, 1118–1124. [Google Scholar]
- Yang, H.; Li, X.; Liu, L.; Jia, R.; Wang, Z.; Li, X.; Li, G. Biomass Allocation Patterns of Four Shrubs in Desert Grassland. J. Desert Res. 2013, 33, 1340–1348. [Google Scholar]
- Kuang, W.; Qian, J.; Ma, Q.; Liu, Z. Vertical distribution of soil organic carbon and its relation to root distribution in five desert shrub communities. Chin. J. Ecol. 2016, 35, 275–281. [Google Scholar] [CrossRef]
- Peng, L.; Dai, Y.; Shi, Q. Water Sources of Five Typical Plant Species in Desert in the East Junggar Basin, Xinjiang. Arid Zone Res. 2018, 35, 1146–1152. [Google Scholar] [CrossRef]
- Vandandorj, S.; Munkhjargal, E.; Boldgiv, B.; Gantsetseg, B. Changes in event number and duration of rain types over Mongolia from 1981 to 2014. Environ. Earth Sci. 2017, 76, 70. [Google Scholar] [CrossRef]
- Hao, S.; Li, F. Water sources for typical desert vegetation in the Ebinur Lake basin. J. Geogr. Sci. 2022, 32, 1103–1118. [Google Scholar] [CrossRef]
- Miao, B.; Meng, P.; Zhang, J.; He, F.; Sun, S. Difference of water relationships of poplar trees in Zhangbei County, Hebei, China based on stable isotope and thermal dissipation method. Chin. J. Appl. Ecol. 2017, 28, 2111–2118. [Google Scholar]
- Jie, Q.; Jianhua, S.; Bing, J.; Chunyan, Z.; Dongmeng, Z.; Xiaohui, H.; Chunlin, W.; Xinglin, Z. Water use strategies of Nitraria tangutorum in the lake-basin region of the Badain Jaran Desert. Front. Plant Sci. 2023, 14, 1240656. [Google Scholar] [CrossRef]
- Yang, H.; Auerswald, K.; Bai, Y.; Han, X. Complementarity in water sources among dominant species in typical steppe ecosystems of Inner Mongolia, China. Plant Soil 2011, 340, 303–313. [Google Scholar] [CrossRef]
- Wu, Y.; Zhou, H.; Zheng, X.J.; Li, Y.; Tang, L.S. Seasonal changes in the water use strategies of three co-occurring desert shrubs. Hydrol. Process. 2014, 28, 6265–6275. [Google Scholar] [CrossRef]
- Qi, K.; Xin, Z.; Zhang, J.; Zhu, Y. Root distribution characteristics of Ammopiptanthus mongolicus community in Ulan Buh Desert. Pratacult. Sci. 2019, 36, 1706–1715. [Google Scholar]
- Adrià, B.; Josep, P. Relative contribution of groundwater to plant transpiration estimated with stable isotopes. Sci. Rep. 2017, 7, 10580. [Google Scholar] [CrossRef] [PubMed]










| Species Name | Key Characteristics | Representative Photo |
|---|---|---|
| Artemisia ordosica | Shallow-rooted, extensive horizontal roots; dominant in fixed/semi-fixed dunes. | ![]() |
| Calligonum mongolicum | Deep-rooted; has a photosynthetic stem; highly drought-tolerant. | ![]() |
| Nitraria tangutorum | Deep-rooted; forms sand mounds; succulent berries. | ![]() |
| Reaumuria soongorica | Shallow-rooted; linear fleshy leaves; salt-secreting. | ![]() |
| Kalidium foliatum | Succulent leaves; highly salt-tolerant; often in saline areas. | ![]() |
| Ammopiptanthus mongolicus | Deep-rooted; thick leathery leaves; relict species. | ![]() |
| pH | TDS | K+ | Na+ | Ca2+ | Mg2+ | HCO3− | Cl− | SO42− | NO3− | |
|---|---|---|---|---|---|---|---|---|---|---|
| g/L | mg/L | |||||||||
| Mean | 7.92 | 2.03 | 6.66 | 590.34 | 68.25 | 69.31 | 287.24 | 715.34 | 400.04 | 17.49 |
| Mid | 7.88 | 1.06. | 5.77 | 229.00 | 46.40 | 36.60 | 229.00 | 198.00 | 223.00 | 2.84 |
| Min | 7.27 | 0.34 | 1.88 | 54.60 | 9.39 | 11.60 | 96.90 | 46.60 | 46.70 | 0.00 |
| Max | 8.60 | 9.56 | 24.00 | 2722.00 | 341.00 | 360.00 | 841.00 | 4942.00 | 1517.00 | 204.00 |
| Std | 0.29 | 2.24 | 4.47 | 678.01 | 74.66 | 87.64 | 176.92 | 1168.53 | 385.25 | 40.60 |
| CV | 0.04 | 1.10 | 0.67 | 1.15 | 1.09 | 1.26 | 0.62 | 1.63 | 0.96 | 2.32 |
| Profile | No. | Samples | δD (‰) | δ18O (‰) |
|---|---|---|---|---|
| PM01 | PM01-1 | Artemisia ordosica | −38 | 3.2 |
| Soil (0–20 cm) | −62 | −7.2 | ||
| Soil (20–40 cm) | −42 | −6.7 | ||
| Soil (40–60 cm) | −49 | −4.5 | ||
| Soil (60–80 cm) | −36 | 0.0 | ||
| PM01-3 | Artemisia ordosica | −41 | 2.8 | |
| Soil (0–20 cm) | −66 | −8.3 | ||
| Soil (20–40 cm) | −45 | −6.7 | ||
| Soil (40–60 cm) | −45 | −4.5 | ||
| Soil (60–80 cm) | −58 | −6.0 | ||
| PM01-4 | Artemisia ordosica | −30 | 5.5 | |
| Soil (0–20 cm) | −72 | −9.3 | ||
| Soil (20–40 cm) | −50 | −7.1 | ||
| Soil (40–60 cm) | −31 | −3.9 | ||
| Soil (60–80 cm) | −49 | −6.8 | ||
| PM01-5 | Calligonum mongolicum | −44 | −4.2 | |
| Soil (0–20 cm) | −68 | −8.4 | ||
| Soil (20–40 cm) | −55 | −6.6 | ||
| Soil (40–60 cm) | −57 | −3.9 | ||
| Soil (60–80 cm) | −56 | −3.4 | ||
| PM01-6 | Nitraria tangutorum | −43 | −1.8 | |
| Soil (0–20 cm) | −45 | −6.3 | ||
| Soil (20–40 cm) | −38 | −2.6 | ||
| Soil (40–60 cm) | −43 | −2.5 | ||
| PM01-9 | Artemisia ordosica | −36 | 3.2 | |
| Soil (0–20 cm) | −53 | −6.2 | ||
| Soil (20–40 cm) | −54 | −3.1 | ||
| Soil (40–60 cm) | −50 | −3.1 | ||
| Soil (60–80 cm) | −29 | 0.9 | ||
| ZQ10 | Groundwater | −65 | −7.0 | |
| ZQ11 | Groundwater | −44 | −2.6 | |
| ZQ22 | Groundwater | −64 | −7.2 | |
| PM02 | PM02-1 | Nitraria tangutorum | −50 | −4.2 |
| Reaumuria soongorica | −55 | −4.5 | ||
| Soil (0–20 cm) | −54 | −7.2 | ||
| Soil (20–40 cm) | −35 | −1.3 | ||
| Soil (40–60 cm) | −42 | −0.1 | ||
| Soil (60–80 cm) | −50 | −2.5 | ||
| PM02-4 | Nitraria tangutorum | −72 | −5.1 | |
| Kalidium foliatum | −63 | −5.3 | ||
| Soil (0–20 cm) | −53 | −6.2 | ||
| Soil (20–40 cm) | −41 | 2.9 | ||
| Soil (40–60 cm) | −49 | 0.4 | ||
| Soil (60–80 cm) | −55 | −1.7 | ||
| PM02-6 | Ammopiptanthus mongolicus | −61 | 0.6 | |
| Nitraria tangutorum | −52 | −3.1 | ||
| Soil (0–20 cm) | −45 | −5.2 | ||
| Soil (20–40 cm) | −50 | −0.9 | ||
| Soil (40–60 cm) | −63 | −4.6 | ||
| Soil (60–80 cm) | −71 | −6.6 |
Disclaimer/Publisher’s Note: The statements, opinions and data contained in all publications are solely those of the individual author(s) and contributor(s) and not of MDPI and/or the editor(s). MDPI and/or the editor(s) disclaim responsibility for any injury to people or property resulting from any ideas, methods, instructions or products referred to in the content. |
© 2025 by the authors. Licensee MDPI, Basel, Switzerland. This article is an open access article distributed under the terms and conditions of the Creative Commons Attribution (CC BY) license (https://creativecommons.org/licenses/by/4.0/).
Share and Cite
Li, X.; Zhou, J.; Zhou, W.; Mao, L.; Wang, C.; Hao, Y.; Bian, P. Hydrochemical Characteristics of Shallow Groundwater and Analysis of Vegetation Water Sources in the Ulan Buh Desert. Water 2025, 17, 3058. https://doi.org/10.3390/w17213058
Li X, Zhou J, Zhou W, Mao L, Wang C, Hao Y, Bian P. Hydrochemical Characteristics of Shallow Groundwater and Analysis of Vegetation Water Sources in the Ulan Buh Desert. Water. 2025; 17(21):3058. https://doi.org/10.3390/w17213058
Chicago/Turabian StyleLi, Xiaomeng, Jie Zhou, Wenhui Zhou, Lei Mao, Changyu Wang, Yi Hao, and Peng Bian. 2025. "Hydrochemical Characteristics of Shallow Groundwater and Analysis of Vegetation Water Sources in the Ulan Buh Desert" Water 17, no. 21: 3058. https://doi.org/10.3390/w17213058
APA StyleLi, X., Zhou, J., Zhou, W., Mao, L., Wang, C., Hao, Y., & Bian, P. (2025). Hydrochemical Characteristics of Shallow Groundwater and Analysis of Vegetation Water Sources in the Ulan Buh Desert. Water, 17(21), 3058. https://doi.org/10.3390/w17213058







