Study on Slope Stability of Paleo-Clay Strength Degradation Under Soaking and Wet–Dry Cycles
Abstract
1. Introduction
2. Materials and Methods
- (1)
- Continuous soaking under single rainfall events, where Paleo-clay remains submerged in water.
- (2)
- Under intermittent rainfall, Paleo-clay undergoes periodic drying and soaking cycles.
2.1. Experimental Material and Sample Preparation
2.2. Experimental Design and Testing Procedure
2.2.1. Wet–Dry Cycle Testing
2.2.2. Soaking Testing
2.3. Processing of Test Results
2.4. Curve Fitting Equation
2.5. Strength Discounting Method and Discriminant Conditions
3. Results
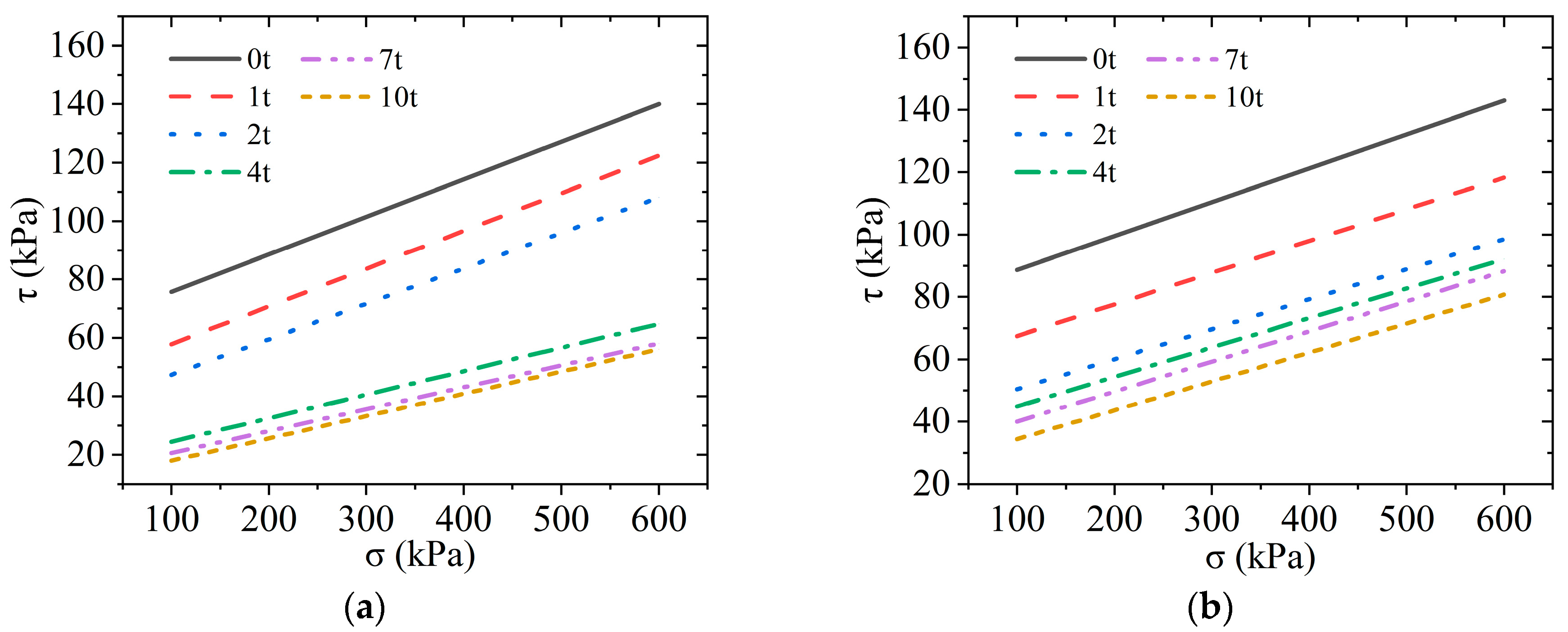
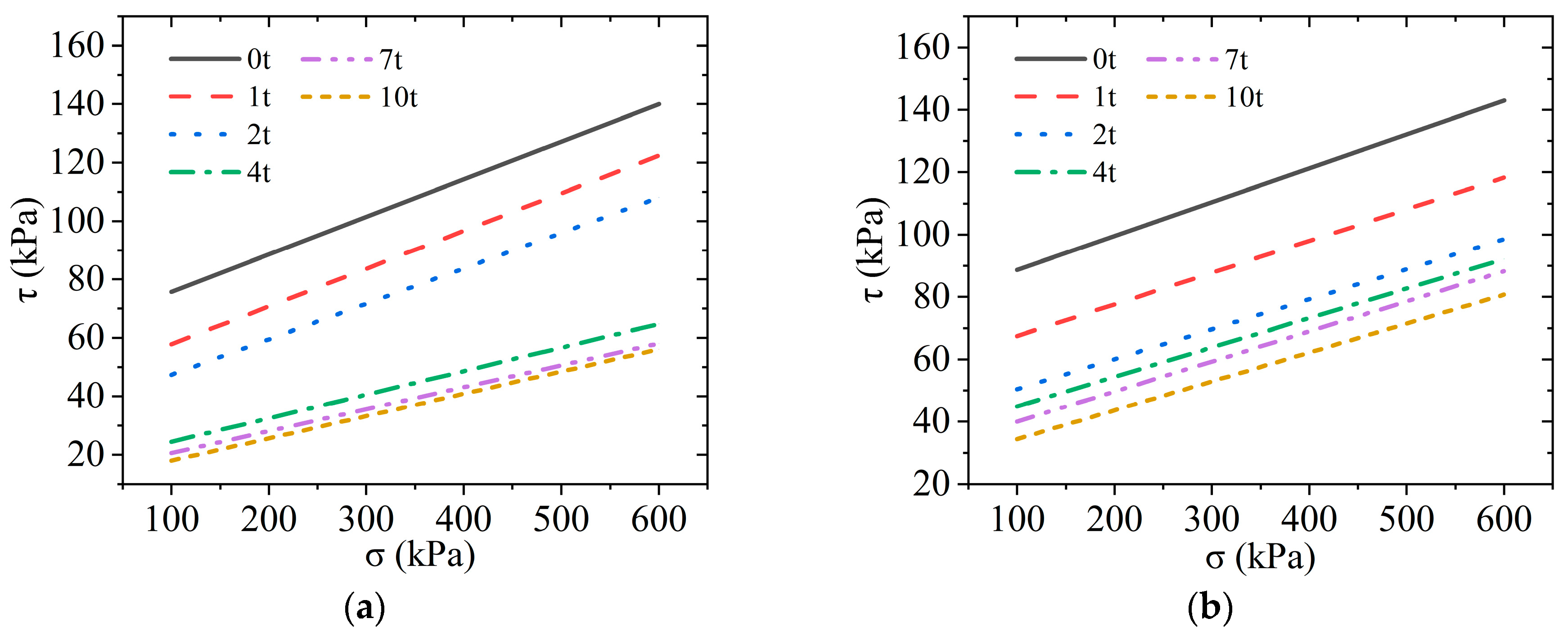
3.1. Influence of Wet–Dry Cycling on the Strength of Paleo-Clay
- The iron-bearing clay:
- The reticular clay:
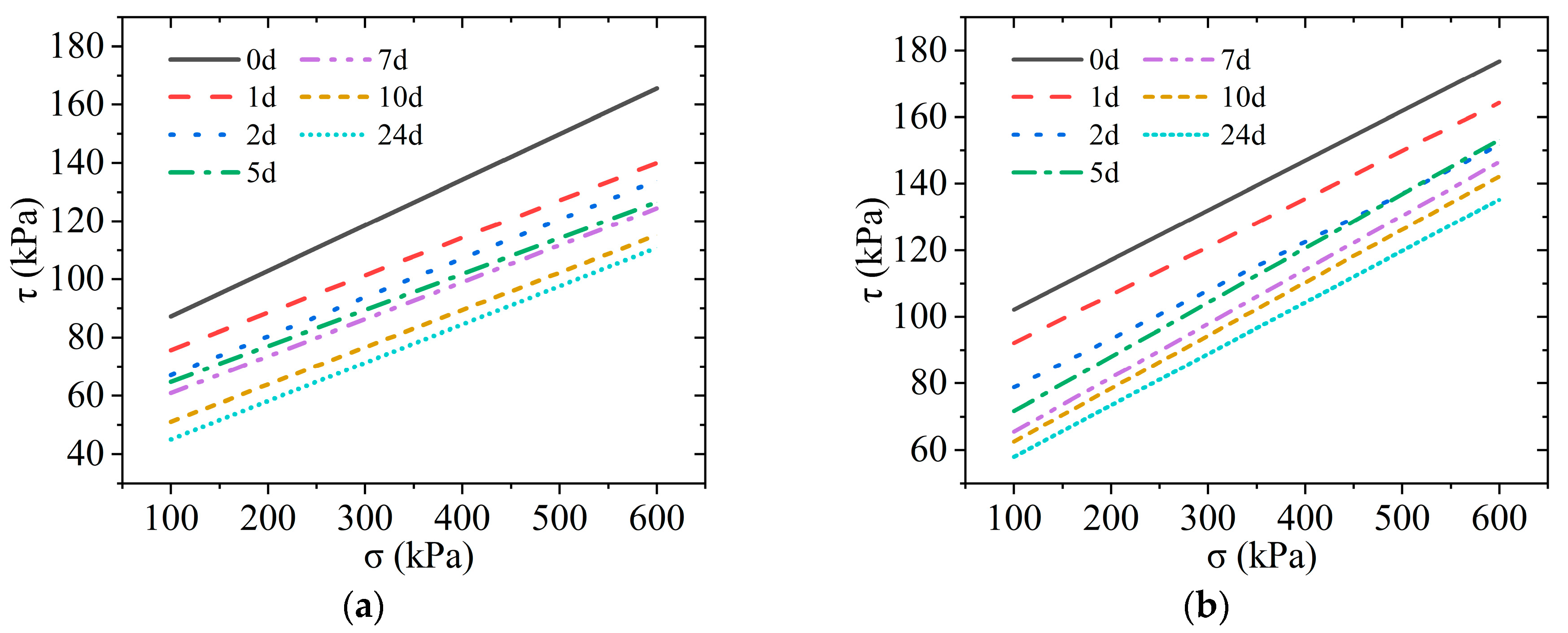
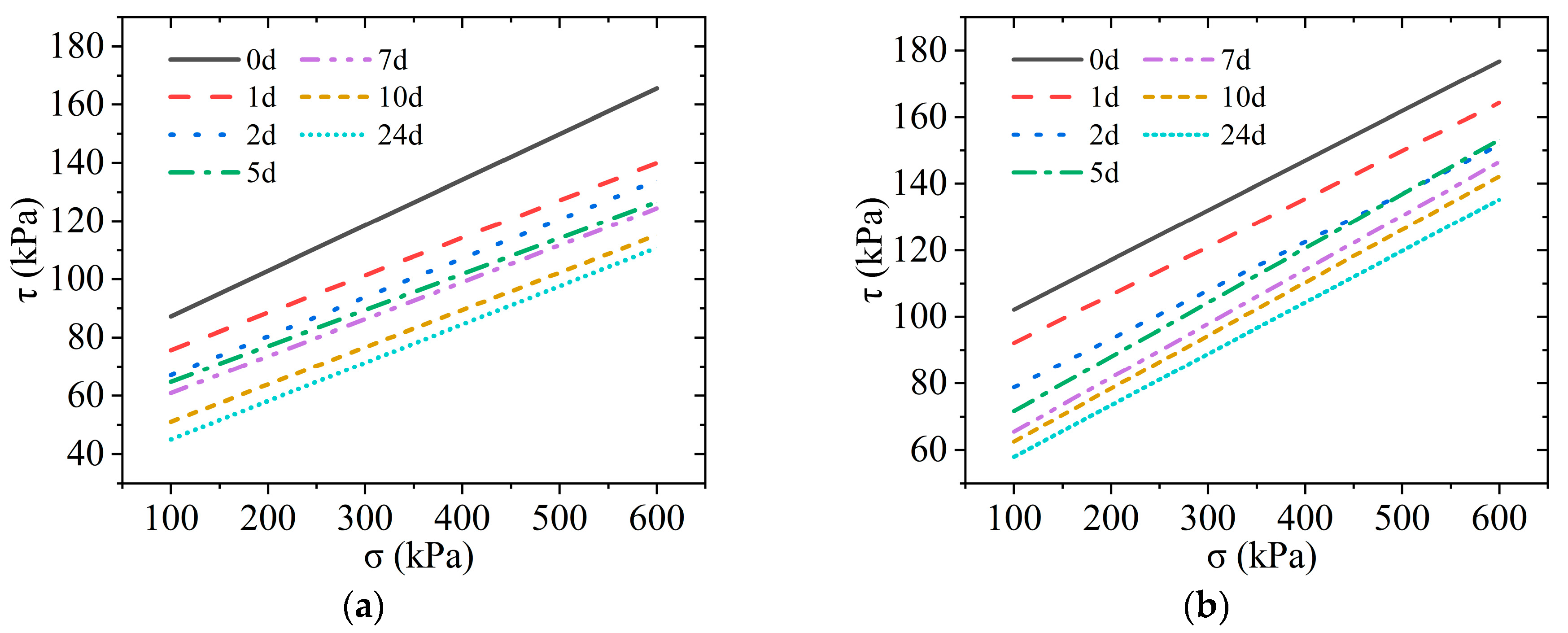
3.2. Study on the Influence of Soaking Time on the Strength of Paleo-Clay
- The iron-bearing clay:
- The reticular clay:
4. Engineering Examples
4.1. Stability Evolution of Type I Paleo-Clay Slope
- Wet–dry cycling conditions:
- Soaking conditions:
4.2. Stability Evolution of Type II Paleo-Clay Slope
- Wet–dry cycling conditions:
- Soaking conditions:
4.3. Stability Evolution of Type III Paleo-Clay Slope
- Wet–dry cycle conditions:
- Soaking conditions:
5. Discussion
5.1. Impact of Wet–Dry Cycles and Soaking on the Strength of Paleo-Clay
5.2. Stability Analysis of Paleo-Clay Slopes
6. Conclusions
- (1)
- In Jiayu County, the cohesion of the two main types of Paleo-clay decreases exponentially as the wet–dry cycles and soaking time go up, but the internal friction angle does not change much. The rate of decay due to wet–dry cycles is more pronounced compared to that due to soaking.
- (2)
- With the increase in the number of wet–dry cycles and soaking days, the stability of three types of Paleo-clay slopes decreases exponentially. Under soaking conditions, the overall stability of three types of Paleo-clay slopes is relatively good. However, under wet–dry cycle conditions, the stability coefficients of Type I and Type II Paleo-clay slopes eventually drop below 1.0, leading to slope deformation and failure.
- (3)
- The slope height and soil structure significantly influence the deformation characteristics and stability trends of Paleo-clay slopes during soaking and wet–dry cycles. The three types of slopes exhibit characteristics of traction landslides, with the sliding zone transitioning from deep to shallow layers. In practical engineering, more attention should be paid to the shallow failures of Paleo-clay slopes.
Author Contributions
Funding
Data Availability Statement
Acknowledgments
Conflicts of Interest
References
- Huang, S.P.; Yang, Y.H.; Xiao, H.L.; Cao, W.Y.; Cao, K.M.; Xing, R.M.; Wang, Y.C. Effect of Loading Direction on Deformation and Strength of Heterogeneous Paleo Clay Samples. Sustainability 2023, 15, 15852. [Google Scholar] [CrossRef]
- Aboudi Mana, S.C.; Hanafiah, M.M.; Chowdhury, A.J.K. Environmental characteristics of clay and clay-based minerals. Geol. Ecol. Landsc. 2017, 1, 155–161. [Google Scholar] [CrossRef]
- Ouyang, N.X.; Zhang, Y.Z.; Sheng, H.; Zhou, Q.; Huang, Y.X.; Yu, Z. Clay mineral composition of upland soils and its implication for pedogenesis and soil taxonomy in subtropical China. Sci. Rep. 2021, 11, 16. [Google Scholar] [CrossRef] [PubMed]
- Du, Y.; Li, L.; Yan, E.; Li, L.; Zhou, Y.; Wang, J.; Chen, H. Sensitivity analysis method of swelling of paleo-clay based on rough set theory and response surface method. Bull. Geol. Sci. Technol. 2021, 40, 204–213. [Google Scholar]
- Chang, J.; Ma, J.L.; Tang, X.Y. Study on Strength Attenuation Characteristics of Residual Expansive Soil under Wetting-Drying Cycles and Low Stress and Its Relationship with Shallow Landslide. Geofluids 2022, 2022, 10. [Google Scholar] [CrossRef]
- Khan, M.S.; Hossain, S.; Ahmed, A.; Faysal, M. Investigation of a shallow slope failure on expansive clay in Texas. Eng. Geol. 2017, 219, 118–129. [Google Scholar] [CrossRef]
- Wright, S.G. Evaluation of Soil Shear Strengths for Slope and Retaining Wall Stability Analyses with Emphasis on High Plasticity Clays; Texas Department of Transportation: Austiin, TX, USA, 2005. [Google Scholar]
- Yang, C.W.; Shi, W.B.; Qian, X.L.; Peng, X.W. Deformation and Failure Mechanism of Bedding Slopes Induced by Underground Mining: Case Study from Yanwan Village, Guizhou Province, China. Geotech. Geol. Eng. 2023, 41, 1877–1891. [Google Scholar] [CrossRef]
- Zhou, Y.Q.; Sheng, Q.; Chen, J.; Li, N.N.; Fu, X.D.; Zhou, Y.B. The failure mode of transmission tower foundation on the landslide under heavy rainfall: A case study on a 500-kV transmission tower foundation on the Yanzi landslide in Badong, China. Bull. Eng. Geol. Environ. 2022, 81, 27. [Google Scholar] [CrossRef]
- Yang, G.; Chen, Z.; Zhang, H.-r.; Duan, J.; Xia, X.; Lin, Y. Collapse mechanism of gentle expansive soil slope in drying and wetting cycles. J. Cent. South Univ. (Sci. Technol.) 2022, 53, 95–103. [Google Scholar]
- Yang, H.P.; Zheng, J.L.; Zhang, R. Addressing expansive soils. Civ. Eng. 2007, 77, 62–69. [Google Scholar] [CrossRef]
- Yongfu, X.; Yan, C.; Tang, H. Failure characteristics of expansive soil slope and standardization of slope slide prevention by geotextile bag. J. Cent. South Univ. (Sci. Technol.) 2022, 53, 1–20. [Google Scholar]
- Khan, S.; Ivoke, J.; Nobahar, M. Coupled Effect of Wet-Dry Cycles and Rainfall on Highway Slope Made of Yazoo Clay. Geosciences 2019, 9, 341. [Google Scholar] [CrossRef]
- Huang, S.-P.; E-chuan, Y.; Chen, Q.; YIN, X.-M. Variation of Strength and Deformation Characteristics of Paleo-Clay Under Dry-Wet Cycle and Continuous Soaking. J. Northeast. Univ. (Nat. Sci.) 2020, 41, 649. [Google Scholar]
- Yang, H.; Xiao, D. The influence of alternate dry-wet effect on the strength characteristic of expansive soils. J. Chang. Univ. Sci. Technol. (Nat. Sci.) 2005, 2, 1–5. [Google Scholar]
- Xu, B.; Yin, Z.; Liu, S. Experimental study of factors influencing expansive soil strength. Rock Soil Mech. 2011, 32, 44–50. [Google Scholar]
- Li, X.; Hu, H.; Guo, W. Dry-wet circulation intensity attenuation law of subgrade under the condition of clay. Highw. Eng. 2014, 39, 150–152. [Google Scholar]
- Li, W.W.; Wang, B.T.; Zuo, J.Y.; Zhou, B.S.; Zhang, H.X. Reliability Analysis of Expansive Soil Slope Stability Based on the Three-Broken Line Model. Math. Probl. Eng. 2021, 2021, 14. [Google Scholar] [CrossRef]
- Xiao, J.; Yang, H.P.; Zhang, J.H.; Tang, X.Y. Properties of Drained Shear Strength of Expansive Soil Considering Low Stresses and Its Influencing Factors. Int. J. Civ. Eng. 2018, 16, 1389–1398. [Google Scholar] [CrossRef]
- Xiao, J.; Yang, H.; Lin, J.; Chen, G. Simulating wet-dry cycles and low confining pressures triaxial test on expansive soil. China J Highw Transp 2019, 32, 21–28. [Google Scholar]
- Nobahar, M.; Khan, M.S.; Ivoke, J. Combined Effect of Rainfall and Shear Strength on the Stability of Highway Embankments Made of Yazoo Clay in Mississippi. Geotech. Geol. Eng. 2020, 38, 2787–2802. [Google Scholar] [CrossRef]
- Goh, S.G.; Rahardjo, H.; Leong, E.C. Shear Strength of Unsaturated Soils under Multiple Drying-Wetting Cycles. J. Geotech. Geoenviron. Eng. 2014, 140, 5. [Google Scholar] [CrossRef]
- Miao, F.S.; Zhao, F.C.; Wu, Y.P.; Li, L.W.; Ding, Y.M.; Meng, J.J. Macro and micro connections for slip zone soils of landslide under wetting-drying cycles in the Three Gorges Reservoir area. Landslides 2024, 21, 737–752. [Google Scholar] [CrossRef]
- Cheng, Z.; Li, Q.; Guo, X.; GONG, B. Study on the stability of expansive soil slope. J. Yangtze River Sci. Res. Inst. 2011, 28, 102. [Google Scholar]
- Li, X.; Kong, L.; Guo, A.; Liu, Y. Experimental research on shear strength of expansive soil under wetting-drying cycles based on wrapping method. Rock Soil Mech. 2014, 35, 675–682. [Google Scholar]
- Qi, S.C.; Vanapalli, S.K. Hydro-mechanical coupling effect on surficial layer stability of unsaturated expansive soil slopes. Comput. Geotech. 2015, 70, 68–82. [Google Scholar] [CrossRef]
- Zhang, K.; Sun, B.; Li, W.; Nie, M. Study on the failure mechanism of expansive soil slope and limit equilibrium analysis method based on fully softening strength. J. Cent. South Univ. (Sci. Technol.) 2022, 53, 75–94. [Google Scholar]
- McKeen, R.G.; Johnson, L.D. Climate-Controlled Soil Design Parameters for Mat Foundations. J. Geotech. Eng.-ASCE 1990, 116, 1073–1094. [Google Scholar] [CrossRef]
- Yin, Z.-Z.; Yuan, J.-P.; Wei, J.; Cao, X.-S.; Liu, H.-Q.; Xu, B. Influences of fissures on slope stability of expansive soil. Chin. J. Geotech. Eng. 2012, 34, 2155–2161. [Google Scholar]
- Gong, B.; Cheng, Z.-L.; Hu, B. Research on engineering properties of fissures in expansive soil. Rock Soil Mech. 2014, 35, 1825–1830. [Google Scholar]
- Li, W.C.; Lee, L.M.; Cai, H.; Li, H.J.; Dai, F.C.; Wang, M.L. Combined roles of saturated permeability and rainfall characteristics on surficial failure of homogeneous soil slope. Eng. Geol. 2013, 153, 105–113. [Google Scholar] [CrossRef]
- Qi, S.C.; Vanapalli, S.K. Influence of swelling behavior on the stability of an infinite unsaturated expansive soil slope. Comput. Geotech. 2016, 76, 154–169. [Google Scholar] [CrossRef]
- Zhao, Y. The Influence of Rainfall and Evaporization Wetting-Drying Cycles on the Slope Stability. Adv. Meteorol. 2022, 2022, 8. [Google Scholar] [CrossRef]
- Chen, Y.H.; Li, B.Y.; Xu, Y.T.; Zhao, Y.P.; Xu, J. Field Study on the Soil Water Characteristics of Shallow Layers on Red Clay Slopes and Its Application in Stability Analysis. Arab. J. Sci. Eng. 2019, 44, 5107–5116. [Google Scholar] [CrossRef]
- GB50123-2019; Standard for geotechnical testing method. BCPPH: Beijing, China, 2019.
- ASTM2850-23; Standard Test Method for Unconsolidated-Undrained Triaxial Compression Test on Cohesive Soils. ASTM International: West Conshohocken, PA, USA, 2023.
- Liu, S.Y.; Shao, L.T.; Li, H.J. Slope stability analysis using the limit equilibrium method and two finite element methods. Comput. Geotech. 2015, 63, 291–298. [Google Scholar] [CrossRef]
- Jian, Z.; Hong-Zhong, X.; Wen-Jie, H. Impact of wetting-drying cycle effects on stability of expansive soil slopes. Chin. J. Geotech. Eng. 2013, 35, 152–156. [Google Scholar]
- Ijaz, N.; Ye, W.M.; Rehman, Z.U.; Dai, F.C.; Ijaz, Z. Numerical study on stability of lignosulphonate-based stabilized surficial layer of unsaturated expansive soil slope considering hydro-mechanical effect. Transp. Geotech. 2022, 32, 17. [Google Scholar] [CrossRef]















| Soil Layer | Liquid Limit Wl | Plastic Limit Wp | Poisson’s Ratio ν | Permeability Coefficient k (m/s) | Natural Density ρ (g/cm3) | Dry Density ρ (g/cm3) | Water Content (%) |
|---|---|---|---|---|---|---|---|
| The iron-bearing clay | 38.17 | 21.93 | 0.3 | 1.00 × 10−7 | 1.96 | 1.53 | 22.72 |
| The reticular clay | 36.98 | 20.65 | 0.3 | 1.50 × 10−7 | 1.98 | 1.64 | 18.1 |
| Soil Layer | Number of Wet–Dry Cycles (Times) | 0 | 1 | 2 | 5 | 7 | 10 |
|---|---|---|---|---|---|---|---|
| The iron-bearing clay | Cohesive Strength c (kPa) | 63.0 | 44.9 | 35.2 | 16.4 | 13.0 | 10.4 |
| Decay Coefficient ηwI | 1 | 0.71 | 0.56 | 0.26 | 0.21 | 0.17 | |
| Friction Angle Φ (°) | 7.3 | 7.4 | 6.9 | 4.6 | 4.3 | 4.4 | |
| The reticular clay | Cohesive Strength c (kPa) | 77.8 | 57.3 | 40.8 | 35.5 | 30.5 | 25.1 |
| Decay Coefficient ηwR | 1 | 0.74 | 0.52 | 0.46 | 0.39 | 0.32 | |
| Friction Angle Φ (°) | 6.2 | 5.8 | 5.5 | 5.4 | 5.5 | 5.3 |
| Soil Layer | Soaking Time (Days) | 0 | 1 | 2 | 4 | 7 | 10 | 24 |
|---|---|---|---|---|---|---|---|---|
| The iron-bearing clay | Cohesive Strength c (kPa) | 71.6 | 63 | 53.7 | 52.4 | 48.3 | 38.4 | 31.9 |
| Decay Coefficient ηsI | 1 | 0.88 | 0.75 | 0.73 | 0.67 | 0.54 | 0.44 | |
| Friction Angle Φ (°) | 10.9 | 7.3 | 7.6 | 7.0 | 7.2 | 7.3 | 7.5 | |
| The reticular clay | Cohesive Strength c (kPa) | 87.2 | 77.8 | 64.2 | 55.4 | 49.3 | 46.6 | 42.4 |
| Decay Coefficient ηsR | 1 | 0.89 | 0.74 | 0.63 | 0.56 | 0.53 | 0.48 | |
| Friction Angle Φ (°) | 8.5 | 8.2 | 8.3 | 9.3 | 9.2 | 9.1 | 8.8 |
Disclaimer/Publisher’s Note: The statements, opinions and data contained in all publications are solely those of the individual author(s) and contributor(s) and not of MDPI and/or the editor(s). MDPI and/or the editor(s) disclaim responsibility for any injury to people or property resulting from any ideas, methods, instructions or products referred to in the content. |
© 2025 by the authors. Licensee MDPI, Basel, Switzerland. This article is an open access article distributed under the terms and conditions of the Creative Commons Attribution (CC BY) license (https://creativecommons.org/licenses/by/4.0/).
Share and Cite
Chen, Q.; Yan, E.; Huang, S.; Chen, N.; Xu, H.; Chen, F. Study on Slope Stability of Paleo-Clay Strength Degradation Under Soaking and Wet–Dry Cycles. Water 2025, 17, 172. https://doi.org/10.3390/w17020172
Chen Q, Yan E, Huang S, Chen N, Xu H, Chen F. Study on Slope Stability of Paleo-Clay Strength Degradation Under Soaking and Wet–Dry Cycles. Water. 2025; 17(2):172. https://doi.org/10.3390/w17020172
Chicago/Turabian StyleChen, Qian, Echuan Yan, Shaoping Huang, Nuo Chen, Hewei Xu, and Fengyang Chen. 2025. "Study on Slope Stability of Paleo-Clay Strength Degradation Under Soaking and Wet–Dry Cycles" Water 17, no. 2: 172. https://doi.org/10.3390/w17020172
APA StyleChen, Q., Yan, E., Huang, S., Chen, N., Xu, H., & Chen, F. (2025). Study on Slope Stability of Paleo-Clay Strength Degradation Under Soaking and Wet–Dry Cycles. Water, 17(2), 172. https://doi.org/10.3390/w17020172

