Longitudinal Calculation of Water Poverty Index in the Middle East: Potential to Expedite Progress
Abstract
1. Introduction
1.1. Water Poverty Index
1.2. Water Poverty and Fragility
1.3. Water Poverty and Human Development
1.4. WPI, FSI and HDI
2. Materials and Methods
2.1. Data
- HDI: https://hdr.undp.org/data-center/human-development-index#/indicies/HDI (accessed on 29 January 2025) [47].
- FSI was accessed using this link: https://fragilestatesindex.org/ (accessed on 12 April 2025)
| Component | Sub-Components | Weights According to Classical Method | Weights According to PCA | |||
|---|---|---|---|---|---|---|
| 1996 | 2005 | 2014 | 2023 | |||
| Resources | 20% | 45.7% | 28.5% | 0% | 35.9% | |
| R1: External water Resources (Total external renewable water resources per capita) R2: Internal water Resources (Total Internal renewable water resources per capita) R2: Variability of precipitation (Long term average precipitation in depth) | 33.33% 33.33% 33.33% | 50% 50% 0% | 50% 0% 50% | 50% 0% 50% | 50% 50% 0% | |
| Access | 20% | 0% | 0% | 31.8% | 7.0% | |
| A1: Access to drinking water (Total population with access to safe drinking water) A2: Access sanitation facilities (People using safely managed sanitation services) A3: Access to irrigation to internal Resources (% of the area equipped for irrigation actually irrigated) | 33.33% 33.33% 33.33% | 50% 50% 0% | 50% 50% 0% | 50% 50% 0% | 0% 50% 50% | |
| Use | 20% | 7.3% | 32.4% | 0% | 7.0% | |
| U1: Water domestic use (Municipal water withdrawal) U2: Agricultural use (Agriculture, value added (% GDP)) U3: Industrial use (Industry (including construction), value added (% of GDP)) | 33.33% 33.33% 33.33% | 0% 50% 50% | 50% 50% 0% | 0% 50% 50% | 50% 0% 50% | |
| Capacity | 20% | 0% | 4.9% | 40.6% | 15.4% | |
| C1: Capacity Schooling (Mean Years of Schooling (HDI database)) C1: Health (Life expectancy _HDI) C3: GDPc (GDP per capita (current US$)) | 33.33% 33.33% 33.33% | 0% 100% 0% | 0% 100% 0% | 100% 0% 0% | 100% 0% 0% | |
| Environment | 20% | 47.0% | 34.2% | 27.6% | 41.7% | |
| E1: Fertilizers (Fertilizer consumption (kilograms per hectare of arable land)) E2: WatStress (Level of water stress: freshwater withdrawal as a proportion of available freshwater) | 50% 50% | 0% 100% | 0% 100% | 0% 100% | 0% 100% | |
2.2. Aggregation and Weighting
2.2.1. WPI
2.2.2. Fragility Measurement
- Country Indicators for Foreign Policy (CIFP): Developed by Carleton University. These assess state performance along three dimensions of statehood—authority, legitimacy, and capacity (ALC).
- Country Policy and Institutional Assessment (CPIA): Developed by World Bank. It represents the quality of a country’s present policy and institutional framework.
- Fragile states index (FSI): Developed by Fund for Peace and based on the existing social and economic, and political and military, pressures faced by each country. The scale is 1–120.
- Index of state weakness in the developing world (ISW): Developed by Brookings Institution. It enables the identification of potential patterns of state weakness, either within geographical regions or across functional areas.
- State fragility index (SFI): Developed by George Mason University. It is a measure of state effectiveness and legitimacy in the key dimensions of security, governance, economics, and social development.
- <30: Very sustainable (high stability);
- 30–59.9: Stable (minor vulnerability);
- 60–89.9: Warning (moderate challenge or risks of instability);
- 90–120: Alert (significant fragility and risk of conflict/collapse).
2.2.3. Human Development Measurement
2.3. Statistical Analysis for WPI, FSI and HDI
- (a)
- MS Excel 365 was used for data preparation/organization.
- (b)
- Stata 16 was used to perform all statistical analyses needed for normalization, component value calculations, and WPI calculations in classical, arithmetic, and geometric versions.
- (c)
- IBM SPSS Statistics 30.0 was used to determine the correlation between the three indices
3. Results
3.1. Middle Eastern Countries’ Performance in the Five WPI Components
3.2. Correlation Analysis Among Key Indices
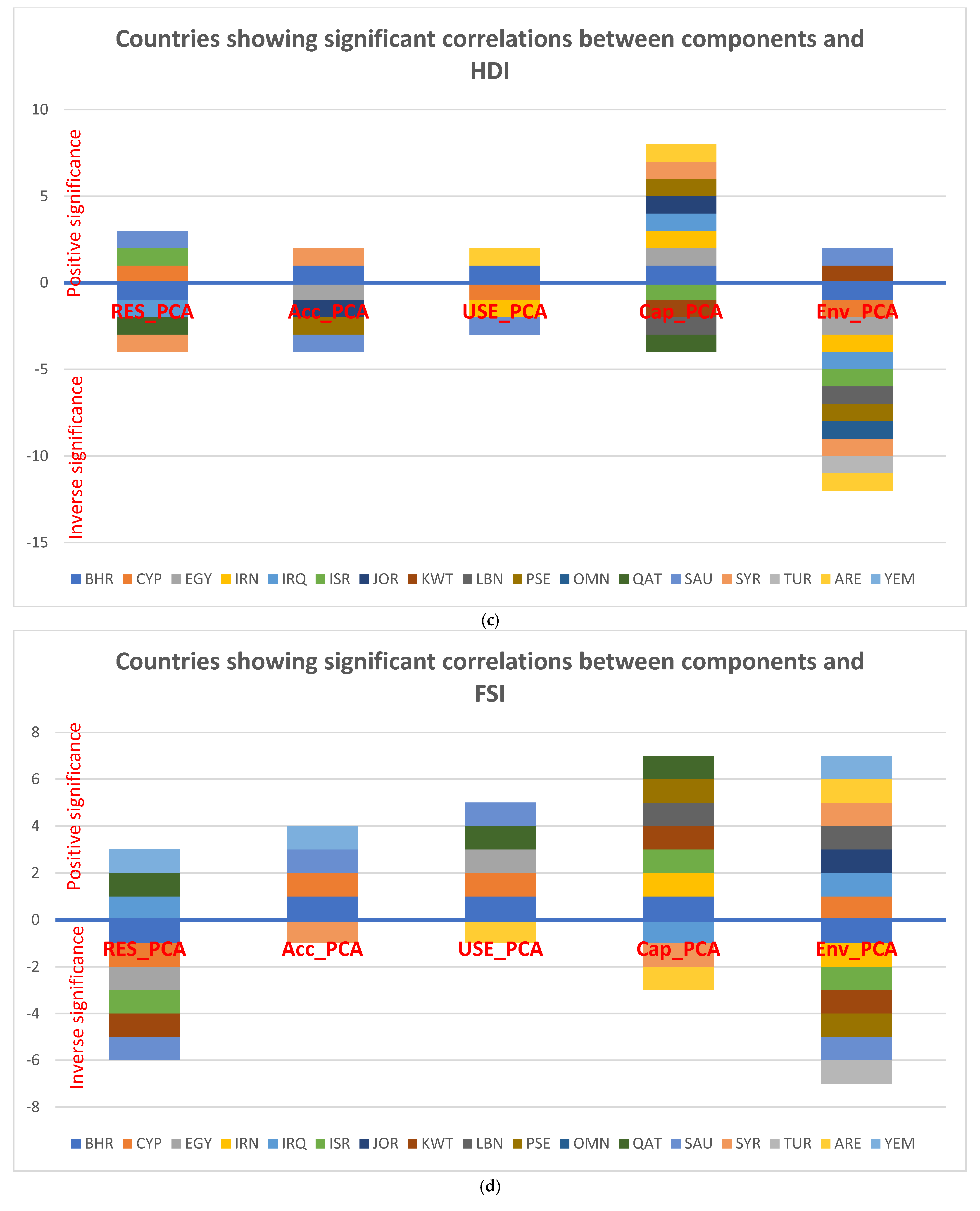
3.3. Correlations Between HDI, FSI, and WPI Components
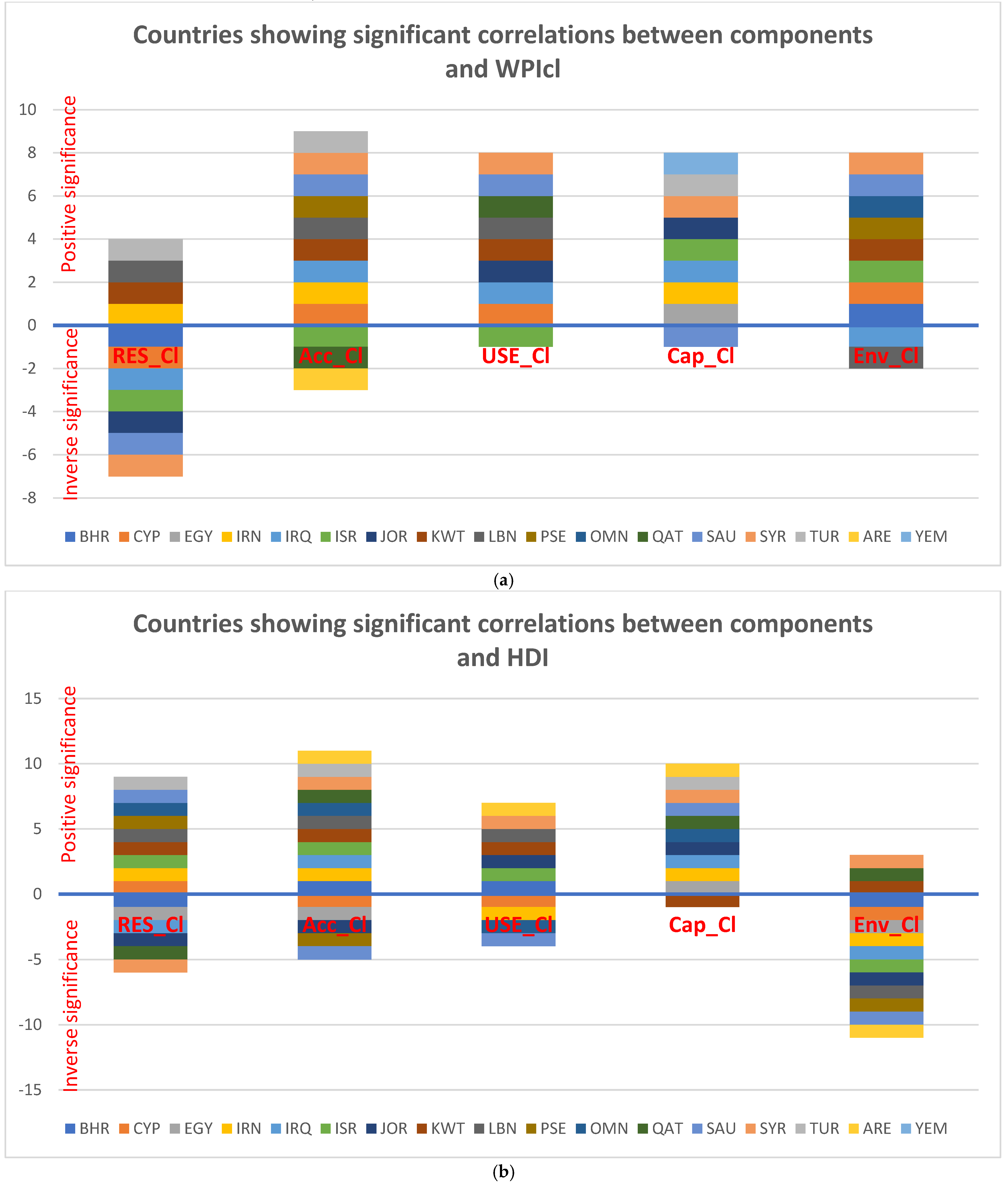
3.3.1. Correlation Analysis for HDI and FSI with Components Calculated Using Classical Method
3.3.2. Correlations Among HDI, FSI, and WPI Components Calculated Using PCA
3.4. Sensitivity Analysis
3.4.1. Sensitivity Analysis of HDI for WPI Components Calculated Using Classical Method
3.4.2. Sensitivity Analysis of FSI for WPI Components Calculated Using Classical Method
3.5. Linkages with Sustainable Development Goals
- Target 6.1: Universal and equitable access to safe and affordable drinking water, where “Access” is a crucial factor in water poverty, reinforcing the need for policies that improve water availability in fragile states.
- Targets 6.3 and 6.6: Improve water quality, wastewater treatment, and safe reuse, and protect and restore water-related ecosystems, where the “Environment” component of WPI aligns with the need to protect water resources, minimize pollution, preserve ecosystems, and ensure environmental sustainability.
- Target 6.4: Increase water-use efficiency and ensure sustainable withdrawals, where this target covers “Resources” and “Capacity” as key components of water security. This study supports efforts to develop infrastructure for sustainable management.
4. Conclusions
Supplementary Materials
Author Contributions
Funding
Data Availability Statement
Conflicts of Interest
References
- Gine, G.; Pirez-Foguet, A. Improved Method to Calculate a Water Poverty Index at Local Scale. J. Environ. Eng. 2010, 136, 1287–1298. [Google Scholar] [CrossRef]
- Gine, R.; Foguet, A. The Water Poverty Index: Assessing Water Scarcity at Different Scales. In Proceedings of the 2nd Congrés UPC Sostenible 2015, Barcelona, Spain, 2015; Grup de Recerca en Cooperació i Desenvolupament Humà Universitat Politècnica de Catalunya: Barcelona, Spain, 2015. [Google Scholar]
- Lawrence, P.; Meig, J.; Sullivan, C. The Water Poverty Index: An International Comparison. In Keele Economic Research Papers; Keele University, Department of Economics: Keele, UK, 2002; ISSN 1352-8955. [Google Scholar]
- Sullivan, C.; Meigh, J.; Giacomello, A.; Fediw, T.; Lawrence, P.; Samad, M.; Mlote, S.; Hutton, C.; Allan, J.; Schulze, R.; et al. The Water Poverty Index: Development and application at the community scale. Nat. Resour. Forum 2003, 27, 189–199. [Google Scholar] [CrossRef]
- Sullivan, C.A.; Vörösmarty, C.J.; Craswell, E.; Bunn, S.; Cline, S.; Heidecke, C.; Storeygard, A.; Proussevitch, A.; Douglas, E.; Bossio, D.; et al. Mapping the Links Between Water, Poverty and Food Security; GWSP Issues in GWS Research, No.1; Global Water System Project (GWSP) International Project Office (IPO): Bonn, Germany; Wallingford, UK, 2006. [Google Scholar]
- Alamarah-Tamimi, A.R.; Isayed, A.A.; Mughli, M.A. Using Socio-Economic Indicators for Integrated Water Resources Management: Case Study of Palestine. In Water Resources in the Middle East; Shuval, H., Dweik, H., Eds.; Springer: Berlin/Heidelberg, Germany, 2007; Volume 2. [Google Scholar] [CrossRef]
- Fenwick, C. Identifying the Water Poor: An Indicator Approach to Assessing Water Poverty in Rural Mexico. Ph.D. Thesis, The Department of Civil, Environmental and Geomatic Engineering, University College London, London, UK, 2010. [Google Scholar]
- Pérez-Foguet, A.; Giné Garriga, R. Analyzing water poverty in basins. Water Resour. Manag. 2011, 25, 3595–3612. [Google Scholar] [CrossRef]
- Ladi, T.; Mahmoudpour, A.; Sharif, A. Assessing impacts of the water poverty index components on the human development index in Iran. Habitat Int. 2021, 113, 102375. [Google Scholar] [CrossRef]
- Alqatarneh, G.; Al-Zboon, K. Water Poverty Index: A Tool for Water Resources Management in Jordan. Water Air Soil Pollut. 2022, 233, 461. [Google Scholar] [CrossRef]
- Gaswami, T.; Ghosal, S. Domestic water poverty in a semi-arid district of eastern India: Multiple dimensions, regional pattern, and association with human development. Environ. Dev. 2022, 44, 100742. [Google Scholar] [CrossRef]
- Jemmali, H.; Matoussi, M. A multidimensional analysis of water poverty at local scale: Application of improved water poverty index for Tunisia. Water Policy 2013, 15, 98–115. [Google Scholar] [CrossRef]
- Jemmali, H.; Sullivan, C. Multidimensional Analysis of Water Poverty in MENA Region: An Empirical Comparison with Physical Indicators. Soc. Indic. Res. 2014, 115, 253–277. [Google Scholar] [CrossRef]
- Carment, D.; Samy, Y. Aid Effectiveness in Fragile and Conflict-Affected Contexts: Lessons from More Than Two Decades of Research; United Nations for Development Economics Research: Helsinki, Finland, 2023. [Google Scholar]
- Isayed, A.; Menendez-Aguado, J.M.; Jemmali, H.; Mahmoud, N. Water Poverty Index over the Past Two Decades: A Comprehensive Review and Future Prospects—The Middle East as a Case Study. Water 2024, 16, 2250. [Google Scholar] [CrossRef]
- Sullivan, C. Calculating a water poverty index. World Dev. 2002, 30, 1195–1210. [Google Scholar] [CrossRef]
- Jemmali, H. Water Poverty in Africa: A Review and Synthesis of Issues, Potentials, and Policy Implications. Soc. Indic. Res. 2016, 136, 335–358. [Google Scholar] [CrossRef]
- Ferriera, I.A. Measuring state fragility: A review of the theoretical groundings of existing approaches. Third World Q. 2016, 38, 1291–1309. [Google Scholar] [CrossRef]
- Juran, L.; MacDonald, M.C.; Basu, N.B.; Hubbard, S.; Rajagopal, R.; Rajagopalan, P.; Philip, L. Development and application of a multi-scalar, participant-driven water poverty index in post-tsunami India. Int. J. Water Resour. Dev. 2016, 33, 955–975. [Google Scholar] [CrossRef]
- Jaren, L.S.; Mondal, M.S. Assessing Water Poverty of Livelihood Groups in Peri-Urban Areas around Dhaka under a Changing Environment. Water 2021, 13, 2674. [Google Scholar] [CrossRef]
- Prince, B.; Juran, L.; Sridhar, V.; Bukvic, A.; MacDonald, M. A statistical and spatial analysis of water poverty using a modified Water Poverty Index. Int. J. Water Resour. Dev. 2020, 37, 339–356. [Google Scholar] [CrossRef]
- Sullivan, C. The Potential for Calculating a Meaningful Water Poverty Index. Water Int. 2001, 26, 471–480. [Google Scholar] [CrossRef]
- Forouzani, M.; Karami, E. Agricultural water poverty index and sustainability. Agron. Sustain. Dev. 2011, 31, 415–432. [Google Scholar] [CrossRef]
- Kini, J. Inclusive water poverty index: A holistic approach for helping local water and sanitation services planning. Water Policy 2017, 19, 758–772. [Google Scholar] [CrossRef]
- Hailu, R.; Tolossa, D.; Alemu, G. Household Water Security Index: Development and Application in the Awash Basin of Ethiopia. Int. J. River Basin Manag. 2020, 20, 185–201. [Google Scholar] [CrossRef]
- Feitelson, E.; Chenoweth, J. Water poverty: Towards a meaningful indicator. Water Policy 2002, 4, 263–281. [Google Scholar] [CrossRef]
- Giné Garriga, R.; Pérez Foguet, A. Enhancing the water poverty index: Towards a meaningful indicator. In Proceedings of the IV Congrés Universitat I Cooperació al Desenvolupament, Barcelona, Spain, 12–14 November 2008; Universitat Autònoma de Barcelona: Barcelona, Spain, 2008. [Google Scholar]
- De Senna, L.; Maia, A.; De Medeiros, J. The Use of Principal Component Analysis for the Construction of the Water Poverty Index; Revista Brasileira de Recursos Hídricos: Porto Alegre, Brazil, 2019; Volume 24, pp. 1–14. ISSN 2318-0331. [Google Scholar] [CrossRef]
- Jemmali, H.; Abu-Ghunmi, L. Multidimensional analysis of the water-poverty nexus using a modified Water Poverty Index: A case study from Jordan. Water Policy 2016, 18, 826–843. [Google Scholar] [CrossRef]
- Mehta, L. Water and Human Development. In World Development; Elsevier: Amsterdam, The Netherlands, 2014; Volume 59, pp. 59–69. [Google Scholar]
- Bozorg-Haddad, O.; Zolghadr-Asli, B.; Sarzaeim, P.; Aboutalebi, M.; Chu, X.; Loáiciga, H. Evaluation of water shortage crisis in the Middle East and possible remedies. J. Water Supply: Res. Technol. AQUA 2019, 9, 85–98. [Google Scholar]
- Fund for Peace, Fragile State Index Reports. Available online: https://fragilestatesindex.org/ (accessed on 25 May 2025).
- Hemmati, B.; Forouzani, M.; Yazdanpanah, M.; Khosravipour, B. Comparison application of the analytic network process (ANP) and analytic hierarchy process (AHP) in analysis of the agricultural water poverty index: The case of dezful county. Iran. Agric. Ext. Educ. J. 2016, 11, Pe203–Pe220. [Google Scholar]
- El-Gafy, I. The water poverty index as an assistant tool for drawing strategies of the Egyptian water sector. Ain Shams Eng. J. 2018, 9, 173–186. [Google Scholar] [CrossRef]
- Zare-Bidaki, R.; Pouyandeh, M.; Zamani-Ahmadmahmoodi, R. Applying the enhanced Water Poverty Index (eWPI) to analyse water scarcity and income poverty relation in Beheshtabad Basin, Iran. Appl. Water Sci. 2022, 13, 53. [Google Scholar] [CrossRef]
- Sayyar, L.Z.; Mahdei, K.N.; Fami, H.S.; Motaghed, M. Developing and Analysing the Agricultural Water Poverty Index in West Iran. Sustainability 2022, 14, 1410. [Google Scholar] [CrossRef]
- Day, S.J. Managing Water Locally: An Inquiry into Community-Based Water Resources Management in Fragile States. Ph.D. Thesis, Cranfield University, School of Energy, Environmental Technology and Agrifood, Cranfield, UK, 2016. [Google Scholar]
- Ohlsson, L. Water Conflicts and Social Resource Scarcity. Phys. Chem. Earth Part B Hydrol. Ocean. Atmos. 2000, 25, 213–220. [Google Scholar] [CrossRef]
- Nussbaum, M.C. Capabilities as Fundamental Entitlements: Sen and Social Justice; Routlege Taylor and Francis Group: Oxfordshire, UK, 2003; pp. 33–59, ISSN 1466-4372. [Google Scholar] [CrossRef]
- Reddy, S.G.; Daoud, A. Chapter 34: Entitlements and Capabilities. In Cambridge Handbook of the Capability Approach; Cambridge University Press: Cambridge, UK, 2021. [Google Scholar] [CrossRef]
- Nabudere, D.W. Beyond Modernization and Development, or Why the Poor Reject Development. Geogr. Ann. Ser. B Hum. Geogr. 1997, 79, 203–215. [Google Scholar] [CrossRef]
- Desai, H. States of Fragility and Official Development Assistance. In OECD Development Cooperation Working Papers; No. 76; OECD Publishing: Paris, France, 2020. [Google Scholar] [CrossRef]
- Rasul, G. Managing the food, water, and energy nexus for achieving the Sustainable Development Goals in South Asia. Environ. Dev. 2016, 18, 14–25. [Google Scholar] [CrossRef]
- Seyoum, B. State fragility and human development: A study with special emphasis on social cohesion. Int. J. Soc. Econ. 2020, 48, 39–61. [Google Scholar] [CrossRef]
- World Bank. World Bank’s Data Bank on World’s Development Indicators. Available online: https://databank.worldbank.org/source/world-development-indicators (accessed on 29 August 2024).
- Jemmali, H.; Sullivan, C. Understanding Water Conflicts in the MENA Region: A Comparative Analysis Using a Restructured Water Poverty Index. In Routledge Handbook on the Middle East Economy; Taylor & Francis Group: Abingdon, UK, 2021. [Google Scholar] [CrossRef]
- United Nations Development Programme, Humnan Development Reports. Available online: https://hdr.undp.org/ (accessed on 1 January 2025).
- Slottje, D.J. Measuring the quality of life across countries. Rev. Econ. Stat. 1991, 73, 684–693. Available online: https://www.jstor.org/stable/2109407 (accessed on 18 June 2025). [CrossRef]
- Permaver, I.; Smits, J. Inequality in Human Development Across the Globe. In Population and Development Review; Wiley Online Library: Hoboken, NJ, USA, 2020. [Google Scholar]
- Anand, P.B. Scarcity, Entitlements and the Economics of Water in Developing Countries; Edward Elgar Publishing: Cheltenham, UK, 2007. [Google Scholar] [CrossRef]
- Rijsberman, F.R. Water scarcity: Fact or fiction? Agric. Water Manag. 2006, 80, 5–22. [Google Scholar] [CrossRef]









| # | Version | Originator | Main Components | Geographical Scale |
|---|---|---|---|---|
| 1 | Holistic WPI | [22] | Water availability, population with access to safe water and sanitation; time and effort taken to collect water for the household | National and international |
| 2 | Simple time analysis | [22] | Time required per person to collect a quantity of 1000 m3 | National and international |
| 3 | Classic Water Poverty Index (WPIcl) | [16] | Resources, Access, Use, Capacity, and Environment | Community, regional, national, and international |
| 4 | Water Wealth Index (WWI) | [5] | Food security Health Productivity Environment Institutional Capacity and Infrastructure Natural Baseline Endowment | Basin, regional, and national |
| 5 | Improved WPI (WPIa and WPIg) | [1] | Resources, Access, Use, Capacity, and Environment | Community, regional, national, and international |
| 6 | Agriculture Water Poverty Index (AWPI) | [23] | Resources, Access, Use, Capacity, and Environment | Community, regional, and national |
| 7 | Modified (multi-scalar, participant-driven) WPI | [19] | Quality, Quantity, Access, Secondary Sources, and Capacity | Community |
| 8 | Inclusive WPI (IWPI) | [24] | Resources, Access, Use, Capacity, Environment, and cohesion | Community, regional, national, and international |
| 9 | Household Water Security Index (HWSI) | [25] | Resources, Access, Use, Capacity, Environment, and institutions | Local/household level |
| 10 | Domestic WPI | [11] | Resources, Access, Use, Capacity, and Environment | Was tested at regional level only |
| WPIcl_avg | WPIa_avg | WPIg_avg | HDI_avg | FSI_avg | ||
|---|---|---|---|---|---|---|
| WPIcl_avg | Correlation Coefficient | 1.000 | 0.689 ** | 0.745 ** | 0.123 | 0.203 |
| Sig. (2-tailed) | 0.000 | 0.002 | <0.001 | 0.639 | 0.434 | |
| WPIa_avg | Correlation Coefficient | 1.000 | 0.973 ** | −0.282 | 0.353 | |
| Sig. (2-tailed) | 0.000 | <0.001 | 0.273 | 0.165 | ||
| WPIg_avg | Correlation Coefficient | 1.000 | −0.235 | 0.370 | ||
| Sig. (2-tailed) | 0.000 | 0.363 | 0.144 | |||
| HDI_avg | Correlation Coefficient | 1.000 | 0.152 | |||
| Sig. (2-tailed) | 0.000 | 0.560 | ||||
| FSI_avg | Correlation Coefficient | 1.000 | ||||
| Sig. (2-tailed) | 0.000 | |||||
Disclaimer/Publisher’s Note: The statements, opinions and data contained in all publications are solely those of the individual author(s) and contributor(s) and not of MDPI and/or the editor(s). MDPI and/or the editor(s) disclaim responsibility for any injury to people or property resulting from any ideas, methods, instructions or products referred to in the content. |
© 2025 by the authors. Licensee MDPI, Basel, Switzerland. This article is an open access article distributed under the terms and conditions of the Creative Commons Attribution (CC BY) license (https://creativecommons.org/licenses/by/4.0/).
Share and Cite
Isayed, A.; Menendez-Aguado, J.M.; Jemmali, H.; Mahmoud, N. Longitudinal Calculation of Water Poverty Index in the Middle East: Potential to Expedite Progress. Water 2025, 17, 2871. https://doi.org/10.3390/w17192871
Isayed A, Menendez-Aguado JM, Jemmali H, Mahmoud N. Longitudinal Calculation of Water Poverty Index in the Middle East: Potential to Expedite Progress. Water. 2025; 17(19):2871. https://doi.org/10.3390/w17192871
Chicago/Turabian StyleIsayed, Ashraf, Juan M. Menendez-Aguado, Hatem Jemmali, and Nidal Mahmoud. 2025. "Longitudinal Calculation of Water Poverty Index in the Middle East: Potential to Expedite Progress" Water 17, no. 19: 2871. https://doi.org/10.3390/w17192871
APA StyleIsayed, A., Menendez-Aguado, J. M., Jemmali, H., & Mahmoud, N. (2025). Longitudinal Calculation of Water Poverty Index in the Middle East: Potential to Expedite Progress. Water, 17(19), 2871. https://doi.org/10.3390/w17192871

