Evaluating the Ability of Wetlands to Remove Nutrients from Streams and Rivers Across the Conterminous United States by Diatom-Inferred Total Phosphorus
Abstract
1. Introduction
2. Materials and Methods
2.1. Ecoregions
2.2. Datasets
2.3. Determining Levels of Human Disturbance Activities
2.4. DI-TP Reconstruction
2.5. Effects of Spatial Scale and Levels of HDA in Wetlands on Removing DI-TP from Streams and Rivers
2.6. Interactions Between Spatial Scale and Level of Human Disturbance
2.7. Data Analysis
3. Results
3.1. Distribution of Wetlands and Other Types of LULC from 2008 to 2009
3.2. Reconstructed DI-TP
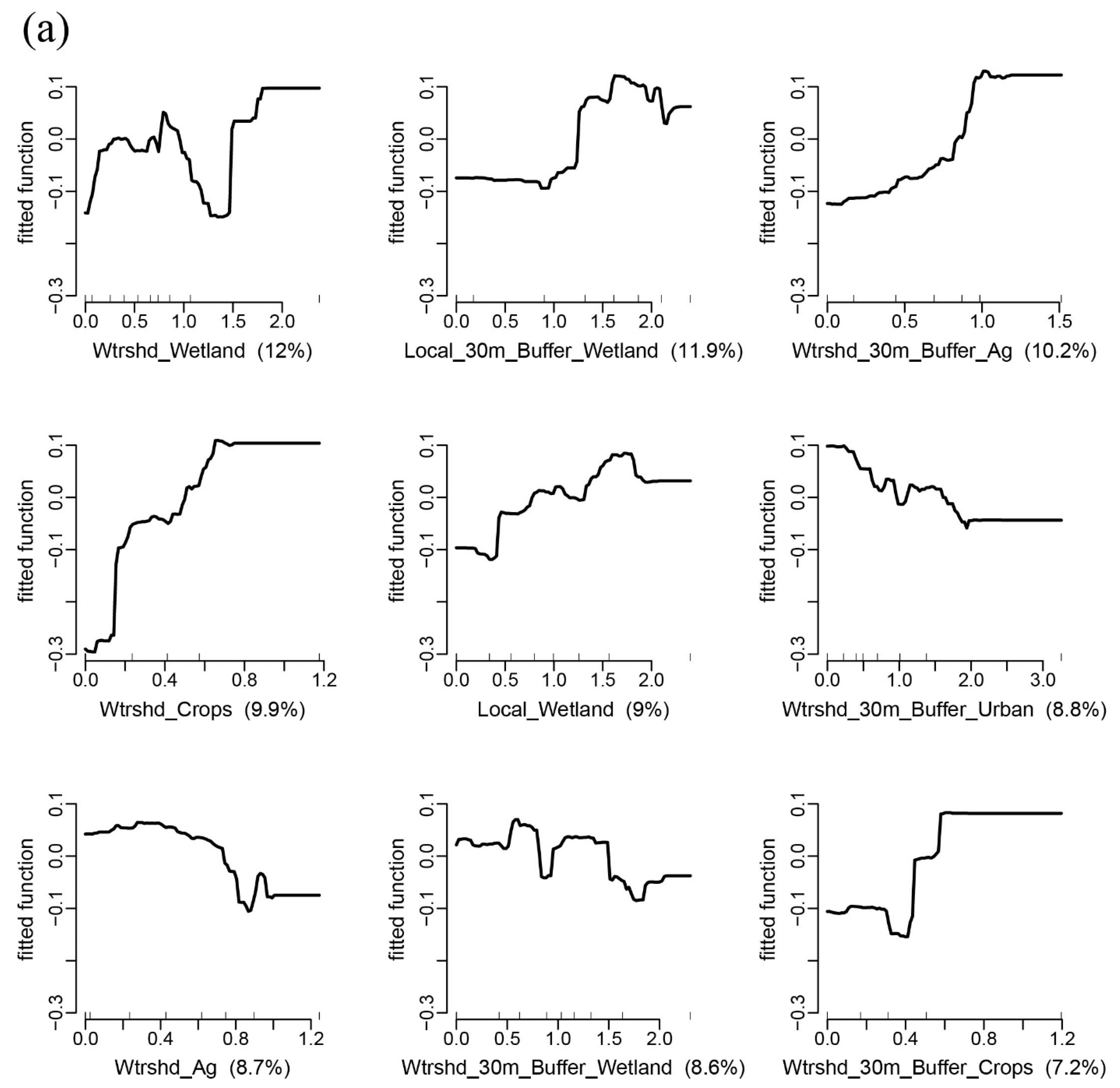
3.3. Effects of the Spatial Scale of Wetlands on Removing DI-TP
3.4. Effects of Wetlands on Removing DI-TP Under Different Levels of HDA
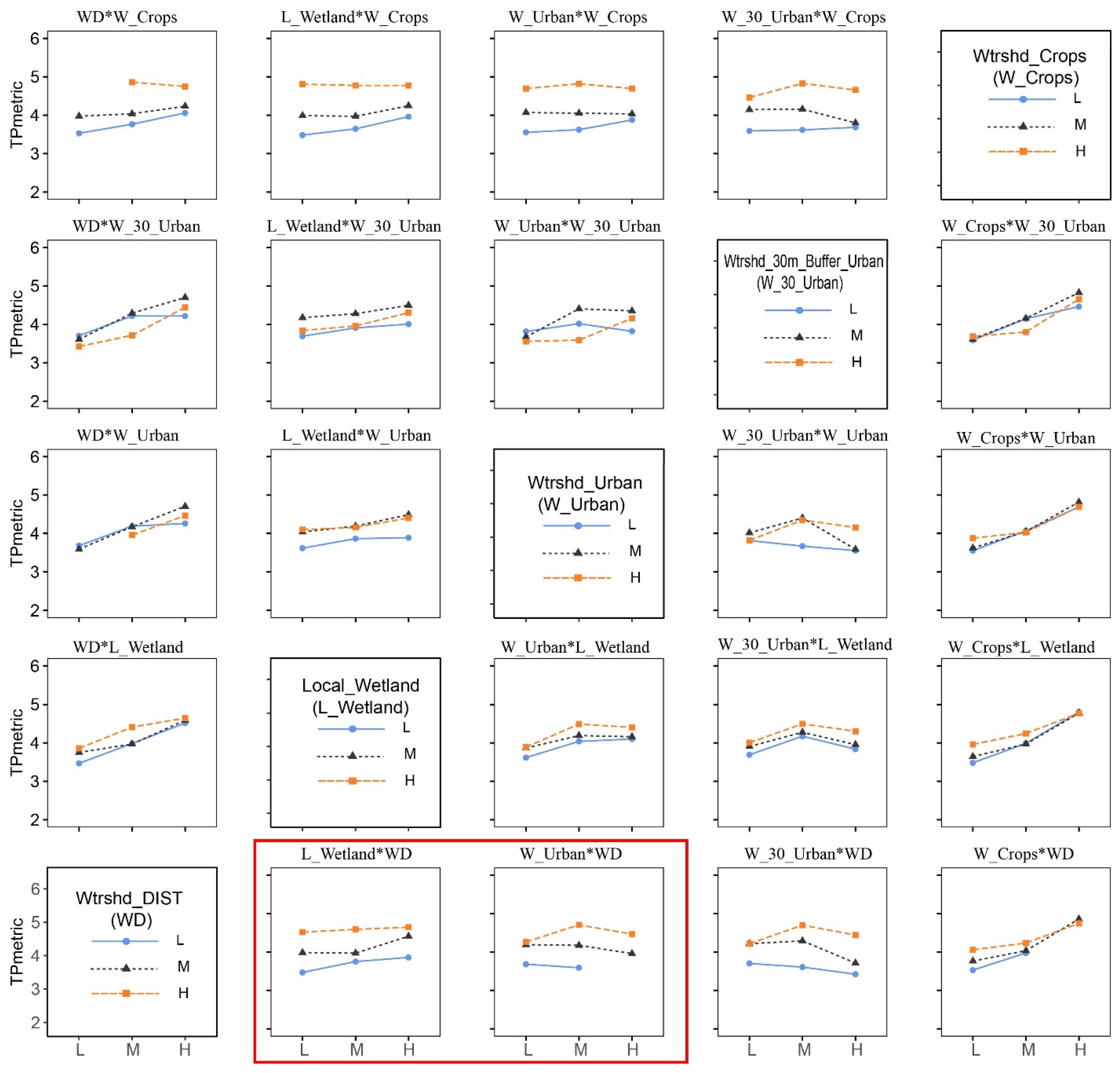
3.5. Interactions Between Spatial Scale and Level of HDA
4. Discussion
4.1. Reconstructed DI-TP
4.2. Effects of Spatial Scale of Wetlands
4.3. Effects of HDA on Wetlands
4.4. Interactions Between Spatial Scale and HDA in Wetlands
5. Conclusions and Further Research
Author Contributions
Funding
Data Availability Statement
Acknowledgments
Conflicts of Interest
Appendix A
| Variable | Site Designation | Percentile | ||||
|---|---|---|---|---|---|---|
| 5 | 25 | 50 | 75 | 95 | ||
| TP (µg/L) | Reference | 2.77 | 11.02 | 20.22 | 39.06 | 80.75 |
| Highly- disturbed | 15.12 | 67.14 | 149.64 | 284.94 | 1190.91 | |
| T N (µg/L) | Reference | 38.00 | 154.00 | 264.00 | 482.50 | 1086.00 |
| Highly- disturbed | 187.00 | 547.80 | 955.50 | 1856.50 | 7406.50 | |
| Conductivity (µS/cm) | Reference | 25.13 | 57.70 | 147.52 | 410.99 | 2059.39 |
| Highly- disturbed | 61.51 | 254.04 | 484.35 | 850.99 | 3205.58 | |
| pH | Reference | 6.71 | 7.46 | 7.97 | 8.31 | 8.54 |
| Highly- disturbed | 7.12 | 7.82 | 8.09 | 8.29 | 8.56 | |
| Color (Pt-Co) | Reference | 3.00 | 7.00 | 12.00 | 20.00 | 50.00 |
| Highly- disturbed | 5.00 | 11.00 | 17.00 | 40.00 | 67.07 | |
| Turbidity (NTU) | Reference | 0.30 | 1.48 | 3.24 | 6.04 | 18.83 |
| Highly- disturbed | 1.30 | 4.36 | 13.47 | 38.06 | 278.21 | |
| Watershed Crops | Reference | 0.00 | 0.00 | 0.38 | 1.50 | 5.22 |
| Highly- disturbed | 0.00 | 0.45 | 2.18 | 5.33 | 8.63 | |
| Watershed Urban | Reference | 0.00 | 0.56 | 1.43 | 2.03 | 2.64 |
| Highly- disturbed | 0.54 | 1.46 | 2.19 | 2.62 | 5.27 | |
| Watershed Ag | Reference | 0.00 | 0.00 | 1.42 | 3.47 | 6.68 |
| Highly- disturbed | 0.08 | 1.84 | 4.56 | 6.68 | 9.06 | |
| Watershed Wetland | Reference | 0.00 | 0.26 | 0.81 | 1.67 | 4.68 |
| Highly- disturbed | 0.00 | 0.47 | 0.99 | 1.73 | 4.20 | |
| Local Crops | Reference | 0.00 | 0.00 | 0.00 | 0.97 | 3.10 |
| Highly- disturbed | 0.00 | 0.00 | 1.38 | 5.15 | 8.57 | |
| Local Urban | Reference | 0.00 | 0.00 | 1.42 | 2.25 | 3.73 |
| Highly- disturbed | 0.00 | 1.12 | 2.08 | 3.22 | 8.29 | |
| Local Ag | Reference | 0.00 | 0.00 | 0.59 | 3.16 | 6.20 |
| Highly- disturbed | 0.00 | 0.73 | 4.07 | 6.70 | 9.01 | |
| Local Wetland | Reference | 0.00 | 0.00 | 0.93 | 2.91 | 6.82 |
| Highly- disturbed | 0.00 | 0.27 | 1.35 | 2.72 | 5.98 | |

References
- VanZomeren, C.M.; Berkowitz, J.F.; Lemke, A.M.; Kirkham, K.G. Soil P Storage Capacity in Agricultural Treatment Wetlands: Can a System Designed for N Reduction Also Retain P? Wetlands 2020, 40, 503–514. [Google Scholar] [CrossRef]
- Lemke, A.M.; Kirkham, K.G.; Wallace, M.P.; VanZomeren, C.M.; Berkowitz, J.F.; Kovacic, D.A. Nitrogen and Phosphorus Removal Using Tile-Treatment Wetlands: A 12-Year Study from the Midwestern United States. J. Environ. Qual. 2022, 51, 797–810. [Google Scholar] [CrossRef] [PubMed]
- Skinner, M. Wetland Phosphorus Dynamics and Phosphorus Removal Potential. Water Environ. Res. 2022, 94, e10799. [Google Scholar] [CrossRef] [PubMed]
- Ury, E.A.; Arrumugam, P.; Herbert, E.R.; Badiou, P.; Page, B.; Basu, N.B. Source or Sink? Meta-Analysis Reveals Diverging Controls of Phosphorus Retention and Release in Restored and Constructed Wetlands. Environ. Res. Lett. 2023, 18, 083002. [Google Scholar] [CrossRef]
- Zhang, W.; Li, H.; Xu, D.; Xia, T. Wetland Destruction in a Headwater River Leads to Disturbing Decline of In-Stream Nitrogen Removal. Environ. Sci. Technol. 2024, 58, 2774–2785. [Google Scholar] [CrossRef]
- Lintern, A.; Webb, J.; Ryu, D.; Liu, S.; Bende-Michl, U.; Waters, D.; Leahy, P.; Wilson, P.; Western, A. Key Factors Influencing Differences in Stream Water Quality across Space. Wiley Interdiscip. Rev. Water 2018, 5, e1260. [Google Scholar] [CrossRef]
- Zhang, J.; Li, S.; Jiang, C. Effects of Land Use on Water Quality in a River Basin (Daning) of the Three Gorges Reservoir Area, China: Watershed versus Riparian Zone. Ecol. Indic. 2020, 113, 106226. [Google Scholar] [CrossRef]
- Lei, C.; Wagner, P.D.; Fohrer, N. Effects of Land Cover, Topography, and Soil on Stream Water Quality at Multiple Spatial and Seasonal Scales in a German Lowland Catchment. Ecol. Indic. 2021, 120, 106940. [Google Scholar] [CrossRef]
- Sliva, L.; Williams, D.D. Buffer Zone versus Whole Catchment Approaches to Studying Land Use Impact on River Water Quality. Water Res. 2001, 35, 3462–3472. [Google Scholar] [CrossRef]
- Tanaka, M.O.; de Souza, A.L.T.; Moschini, L.E.; de Oliveira, A.K. Influence of Watershed Land Use and Riparian Characteristics on Biological Indicators of Stream Water Quality in Southeastern Brazil. Agric. Ecosyst. Environ. 2016, 216, 333–339. [Google Scholar] [CrossRef]
- Mello, K.d.; Valente, R.A.; Randhir, T.O.; dos Santos, A.C.A.; Vettorazzi, C.A. Effects of Land Use and Land Cover on Water Quality of Low-Order Streams in Southeastern Brazil: Watershed versus Riparian Zone. Catena 2018, 167, 130–138. [Google Scholar] [CrossRef]
- Xu, Q.; Yan, T.; Wang, C.; Hua, L.; Zhai, L. Managing Landscape Patterns at the Riparian Zone and Sub-Basin Scale Is Equally Important for Water Quality Protection. Water Res. 2023, 229, 119280. [Google Scholar] [CrossRef]
- Mitchell, M.E.; Shifflett, S.D.; Newcomer-Johnson, T.; Hodaj, A.; Crumpton, W.; Christensen, J.; Dyson, B.; Canfield, T.J.; Richmond, S.; Helmers, M.; et al. Ecosystem Services in Iowa Agricultural Catchments: Hypotheses for Scenarios with Water Quality Wetlands and Improved Tile Drainage. J. Soil Water Conserv. 2022, 77, 426–440. [Google Scholar] [CrossRef] [PubMed]
- Fergus, C.E.; Soranno, P.A.; Cheruvelil, K.S.; Bremigan, M.T. Multiscale Landscape and Wetland Drivers of Lake Total Phosphorus and Water Color. Limnol. Oceanogr. 2011, 56, 2127–2146. [Google Scholar] [CrossRef]
- Lomnicky, G.A.; Herlihy, A.T.; Kaufmann, P.R. Quantifying the Extent of Human Disturbance Activities and Anthropogenic Stressors in Wetlands across the Conterminous United States: Results from the National Wetland Condition Assessment. Environ. Monit. Assess. 2019, 191 (Suppl. S1), 324. [Google Scholar] [CrossRef] [PubMed]
- Verhoeven, J.T.; Arheimer, B.; Yin, C.; Hefting, M.M. Regional and Global Concerns over Wetlands and Water Quality. Trends Ecol. Evol. 2006, 21, 96–103. [Google Scholar] [CrossRef]
- Fisher, J.; Acreman, M. Wetland Nutrient Removal: A Review of the Evidence. Hydrol. Earth Syst. Sci. 2004, 8, 673–685. [Google Scholar] [CrossRef]
- Mitsch, W.J.; Day, J.W.; Zhang, L.; Lane, R.R. Nitrate-Nitrogen Retention in Wetlands in the Mississippi River Basin. Ecol. Eng. 2005, 24, 267–278. [Google Scholar] [CrossRef]
- Darwiche-Criado, N.; Comín, F.A.; Masip, A.; García, M.; Eismann, S.G.; Sorando, R. Effects of Wetland Restoration on Nitrate Removal in an Irrigated Agricultural Area: The Role of In-Stream and Off-Stream Wetlands. Ecol. Eng. 2017, 103, 426–435. [Google Scholar] [CrossRef]
- Hering, D.; Johnson, R.K.; Kramm, S.; Schmutz, S.; Szoszkiewicz, K.; Verdonschot, P.F.M. Assessment of European Streams with Diatoms, Macrophytes, Macroinvertebrates and Fish: A Comparative Metric-Based Analysis of Organism Response to Stress. Freshw. Biol. 2006, 51, 1757–1785. [Google Scholar] [CrossRef]
- Liu, B.; Chen, S.; Liu, H.; Guan, Y. Blue-Green Algae Enhanced Performance of Diatom-Based Multimetric Index on Defining Lake Condition under High Level of Human Disturbance. Sci. Total Environ. 2020, 730, 138846. [Google Scholar] [CrossRef]
- Liu, B.; Li, D.; Chen, S.; Wu, N.; Guan, Y. Improving Biological Condition Assessment Accuracy by Multimetric Index Approach with Microalgae in Streams and Lakes. Sci. Total Environ. 2021, 771, 145417. [Google Scholar] [CrossRef]
- Stevenson, R. Refining Diatom Indicators for Valued Ecological Attributes and Development of Water Quality Criteria. In Advances in Phycological Studies; Ognjanova-Rumenova, N., Manoylov, K., Eds.; Pensoft Publishers: Moscow, Russia, 2006; pp. 365–383. [Google Scholar]
- Pan, Y.; Stevenson, R.J.; Hill, B.H.; Herlihy, A.T.; Collins, G.B. Using Diatoms as Indicators of Ecological Conditions in Lotic Systems: A Regional Assessment. J. N. Am. Benthol. Soc. 1996, 15, 481–495. [Google Scholar] [CrossRef]
- Ponader, K.C.; Charles, D.F.; Belton, T.J. Diatom-Based TP and TN Inference Models and Indices for Monitoring Nutrient Enrichment of New Jersey Streams. Ecol. Indic. 2007, 7, 79–93. [Google Scholar] [CrossRef]
- Stevenson, R.J.; Pan, Y.; Manoylov, K.M.; Parker, C.A.; Larsen, D.P.; Herlihy, A.T. Development of Diatom Indicators of Ecological Conditions for Streams of the Western US. J. N. Am. Benthol. Soc. 2008, 27, 1000–1016. [Google Scholar] [CrossRef]
- Pajunen, V.; Kahlert, M.; Soininen, J. Stream Diatom Assemblages as Environmental Indicators—A Cross-Regional Assessment. Ecol. Indic. 2020, 113, 106183. [Google Scholar] [CrossRef]
- Keatley, B.E.; Bennett, E.M.; MacDonald, G.K.; Taranu, Z.E.; Gregory-Eaves, I. Land-Use Legacies Are Important Determinants of Lake Eutrophication in the Anthropocene. PLoS ONE 2011, 6, e15913. [Google Scholar] [CrossRef] [PubMed]
- Liu, B.; Chen, S.; Liu, H.; Guan, Y. Modeling Cyanobacteria Biomass by Surface Sediment Diatoms in Lakes: Problems and Suggestions. Ecol. Model. 2020, 430, 109056. [Google Scholar] [CrossRef]
- Gasiorowski, M.; Sienkiewicz, E.; Ciolko, U.; Kaucha, K.; Kupryjanowicz, M.; Szal, M. Cultural Eutrophication of a Central European Lowland Lake from the Bronze Age to the Present Recorded in Diatom and Cladocera Remains. Catena 2021, 204, 105404. [Google Scholar] [CrossRef]
- Omernik, J.M. Ecoregions of the Conterminous United States. Ann. Assoc. Am. Geogr. 1987, 77, 118–125. [Google Scholar] [CrossRef]
- USEPA. National Rivers and Streams Assessment: Site Evaluation Guidelines; Rep. EPA 841-B-07-008; U.S. Environmental Protection Agency: Washington, DC, USA, 2007. Available online: https://www.epa.gov/national-aquatic-resource-surveys/national-rivers-streams-assessment-2008-2009-site-evaluation (accessed on 10 February 2024).
- USEPA. National Rivers and Streams Assessment: Field Operations Manual; Rep. EPA 841-B-07-009; U.S. Environmental Protection Agency: Washington, DC, USA, 2007. Available online: https://www.epa.gov/national-aquatic-resource-surveys/national-rivers-streams-assessment-2008-2009-field-operations (accessed on 10 February 2024).
- USEPA. National Rivers and Streams Assessment: Laboratory Methods Manual; Rep. EPA 841-B-07-010; U.S. Environmental Protection Agency, Office of Water and Office of Research and Development: Washington, DC, USA, 2008. Available online: https://www.epa.gov/national-aquatic-resource-surveys/national-rivers-streams-assessment-2008-2009-laboratory (accessed on 10 February 2024).
- USEPA. National Rivers and Streams Assessment: Quality Assurance Project Plan; Rep. EPA 841-B-07-007; U.S. Environmental Protection Agency, Office of Water and Office of Research and Development: Washington, DC, USA, 2008. Available online: https://www.epa.gov/national-aquatic-resource-surveys/national-rivers-streams-assessment-2008-2009-quality-assurance (accessed on 10 February 2024).
- Krammer, K.; Lange-Bertalot, H. Bacillariophyceae, 1 Teil: Naviculaceae. In Süsswasserflora von Mitteleuropa; Band 2/1; Spektrum Akademischer Verlag: Heidelberg, Germany, 1999. [Google Scholar]
- Krammer, K.; Lange-Bertalot, H. Bacillariophyceae, 2 Teil: Bacillariaceae, Epithemiaceae, Urirellaceae. In Süsswasserflora von Mitteleuropa; Band 2/2; Spektrum Akademischer Verlag: Heidelberg, Germany, 1999. [Google Scholar]
- Krammer, K.; Lange-Bertalot, H. Bacillariophyceae, 3 Teil: Centrales, Fragilariaceae, Eunotiaceae. In Süsswasserflora von Mitteleuropa; Band 2/3; Spektrum Akademischer Verlag: Heidelberg, Germany, 2008. [Google Scholar]
- Krammer, K.; Lange-Bertalot, H. Bacillariophyceae, 4 Teil: Achnanthaceae, Kritische Ergänzungen zu Achnanthes s.l., Navicula s.str., Gomphonema. In Süsswasserflora von Mitteleuropa; Band 2/4; Spektrum Akademischer Verlag: Heidelberg, Germany, 2008. [Google Scholar]
- Zedler, J.B. Wetlands at Your Service: Reducing Impacts of Agriculture at the Watershed Scale. Front. Ecol. Environ. 2003, 1, 65–72. [Google Scholar] [CrossRef]
- Hogan, D.M.; Walbridge, M.R. Urbanization and Nutrient Retention in Freshwater Riparian Wetlands. Ecol. Appl. 2007, 17, 1142–1155. [Google Scholar] [CrossRef] [PubMed]
- ter Braak, C.J.; van Dame, H. Inferring pH from Diatoms: A Comparison of Old and New Calibration Methods. Hydrobiologia 1989, 178, 209–223. [Google Scholar] [CrossRef]
- Fritz, S.C.; Cumming, B.F.; Gasse, F.; Laird, K. Diatoms as indicators of hydrologic and climatic change in saline lakes. In The Diatoms: Applications for the Environmental and Earth Sciences; Stoermer, E.F., Smol, J.P., Eds.; Cambridge University Press: Cambridge, UK; New York, NY, USA, 1999; pp. 41–72. [Google Scholar]
- Elith, J.; Leathwick, J.R.; Hastie, T. A Working Guide to Boosted Regression Trees. J. Anim. Ecol. 2008, 77, 802–813. [Google Scholar] [CrossRef] [PubMed]
- Ridgeway, G. Generalized Boosted Regression Models: Documentation on the R Package ‘gbm’, Version 1.5-7. 2006. Available online: https://www.rdocumentation.org/packages/gbm/versions/1.5-7/topics/gbm-package (accessed on 11 May 2024).
- Liu, B.; Chen, S.; Liu, H.; Guan, Y. Changes in the Ratio of Benthic to Planktonic Diatoms to Eutrophication Status of Muskegon Lake through Time: Implications for a Valuable Indicator on Water Quality. Ecol. Indic. 2020, 114, 106284. [Google Scholar] [CrossRef]
- Pillsbury, R.; Stevenson, R.J.; Munn, M.D.; Waite, I. Relationships between Diatom Metrics Based on Species Nutrient Traits and Agricultural Land Use. Environ. Monit. Assess. 2019, 191, 228. [Google Scholar] [CrossRef]
- Soranno, P.A.; Cheruvelil, K.S.; Wagner, T.; Webster, K.E.; Bremigan, M.T. Effects of Land Use on Lake Nutrients: The Importance of Scale, Hydrologic Connectivity, and Region. PLoS ONE 2015, 10, e0135454. [Google Scholar] [CrossRef]
- Heiberger, R.M.; Holland, B. Statistical Analysis and Data Display: An Intermediate Course with Examples in R; Casella, G., Fienberg, S.E., Olkin, I., Eds.; Springer Texts in Statistics; Springer: New York, NY, USA, 2015; pp. 377–426. [Google Scholar] [CrossRef]
- Dahl, T.E. Wetlands Losses in the United States, 1780’s to 1980’s; U.S. Department of the Interior, Fish and Wildlife Service: Washington, DC, USA, 1990; 13p. [Google Scholar]
- Herlihy, A.T.; Kamman, N.C.; Sifneos, J.C.; Charles, D.; Enache, M.D.; Stevenson, R.J. Using Multiple Approaches to Develop Nutrient Criteria for Lakes in the Conterminous USA. Freshw. Sci. 2013, 32, 367–384. [Google Scholar] [CrossRef]
- Ponader, K.C.; Charles, D.F.; Belton, T.J.; Winter, D.M. Total Phosphorus Inference Models and Indices for Coastal Plain Streams Based on Benthic Diatom Assemblages from Artificial Substrates. Hydrobiologia 2008, 610, 139–152. [Google Scholar] [CrossRef]
- Winter, J.G.; Duthie, H.C. Epilithic Diatoms as Indicators of Stream Total N and Total P Concentration. J. N. Am. Benthol. Soc. 2000, 19, 32–49. [Google Scholar] [CrossRef]
- Stevenson, R.J.; Pan, Y.; Van Dam, H. Assessing Environmental Conditions in Rivers and Streams with Diatoms. In The Diatoms: Applications for the Environmental and Earth Sciences, 2nd ed.; Stoermer, E.F., Smol, J.P., Eds.; Cambridge University Press: Cambridge, UK, 2010; pp. 66–67. [Google Scholar]
- Liu, B.; Hou, W.; Kattel, G.; Li, D.; Yan, X. Advancing Potential of Diatom Indicators for Stream and Lake Water Quality Assessment against Nutrient-Induced Pollution. J. Appl. Phycol. 2023, 35, 721–737. [Google Scholar] [CrossRef]
- Shi, X.; Mao, D.; Song, K.; Xiang, H.; Li, S.; Wang, Z. Effects of Landscape Changes on Water Quality: A Global Meta-Analysis. Water Res. 2024, 260, 121946. [Google Scholar] [CrossRef] [PubMed]
- Li, D.; Si, Y.; Yan, X.; Kattel, G.; Kang, X.; Liu, B. Effect of Nutrient Enrichment and Climate Change on Historical Changes of the Cyanobacterial Community in a Shallow North Temperate Lake in China. Anthropocene 2025, 49, 100460. [Google Scholar] [CrossRef]
- Leibowitz, S.G.; Hill, R.A.; Creed, I.F.; Compton, J.E.; Golden, H.E.; Weber, M.H.; Rains, M.C.; Jones, C.E.; Lee, E.H.; Christensen, J.R.; et al. National Hydrologic Connectivity Classification Links Wetlands with Stream Water Quality. Nat. Water 2023, 1, 370–380. [Google Scholar] [CrossRef] [PubMed]
- Shi, P.; Zhang, Y.; Li, Z.; Li, P.; Xu, G. Influence of Land Use and Land Cover Patterns on Seasonal Water Quality at Multi-Spatial Scales. Catena 2017, 151, 182–190. [Google Scholar] [CrossRef]
- Yan, Z.; Li, P.; Li, Z.; Xu, Y.; Zhao, C.; Cui, Z. Effects of Land Use and Slope on Water Quality at Multi-Spatial Scales: A Case Study of the Weihe River Basin. Environ. Sci. Pollut. Res. 2023, 30, 57599–57616. [Google Scholar] [CrossRef]
- Yang, W.; Liu, Y.; Ou, C.; Gabor, S. Examining Water Quality Effects of Riparian Wetland Loss and Restoration Scenarios in a Southern Ontario Watershed. J. Environ. Manag. 2016, 174, 26–34. [Google Scholar] [CrossRef]
- Gilliam, J. Riparian Wetlands and Water Quality. J. Environ. Qual. 1994, 23, 896–900. [Google Scholar] [CrossRef]
- Smucker, N.J.; Detenbeck, N.E.; Morrison, A.C. Diatom Responses to Watershed Development and Potential Moderating Effects of Near-Stream Forest and Wetland Cover. Freshw. Sci. 2013, 32, 230–249. [Google Scholar] [CrossRef]
- Stevenson, R.J.; Novoveska, L.; Riseng, C.M.; Wiley, M.J. Comparing Responses of Diatom Species Composition to Natural and Anthropogenic Factors in Streams of Glaciated Ecoregions. Nova Hedwig. 2009, 135, 1–13. [Google Scholar]
- Sileshi, A.; Awoke, A.; Beyene, A.; Stiers, I.; Triest, L. Water Purifying Capacity of Natural Riverine Wetlands in Relation to Their Ecological Quality. Front. Environ. Sci. 2020, 8, 39. [Google Scholar] [CrossRef]
- Kéfi, S.; Guttal, V.; Brock, W.A.; Carpenter, S.R.; Ellison, A.M.; Livina, V.N.; Seekell, D.A.; Scheffer, M.; Van Nes, E.H.; Dakos, V. Early Warning Signals of Ecological Transitions: Methods for Spatial Patterns. PLoS ONE 2014, 9, e92097. [Google Scholar] [CrossRef] [PubMed]
- Xiong, Y.; Mo, S.; Wu, H.; Qu, X.; Liu, Y.; Zhou, L. Influence of Human Activities and Climate Change on Wetland Landscape Pattern—A Review. Sci. Total Environ. 2023, 879, 163112. [Google Scholar] [CrossRef] [PubMed]
- Richardson, C.; Qian, S.; Craft, C.; Qualls, R. Predictive Models for Phosphorus Retention in Wetlands. Wetl. Ecol. Manag. 1996, 4, 159–175. [Google Scholar] [CrossRef]
- Richardson, C.J.; Qian, S.S. Long-Term Phosphorus Assimilative Capacity in Freshwater Wetlands: A New Paradigm for Sustaining Ecosystem Structure and Function. Environ. Sci. Technol. 1999, 33, 1545–1551. [Google Scholar] [CrossRef]
- Bobbink, R.; Lamers, L. Effects of Increased Nitrogen Deposition. In Air Pollution and Plant Life, 2nd ed.; Bell, J.N.B., Treshow, M., Eds.; John Wiley & Sons: Chichester, UK, 2002; pp. 201–235. [Google Scholar]
- Nichols, D.S. Capacity of Natural Wetlands to Remove Nutrients from Wastewater. J. Water Pollut. Control Fed. 1983, 55, 495–505. [Google Scholar]
- Rutledge, J.M.; Chow-Fraser, P. Landscape Characteristics Driving Spatial Variation in Total Phosphorus and Sediment Loading from Sub-Watersheds of the Nottawasaga River, Ontario. J. Environ. Manag. 2019, 234, 357–366. [Google Scholar] [CrossRef]
- Johnston, C.A.; Detenbeck, N.E.; Niemi, G.J. The Cumulative Effect of Wetlands on Stream Water Quality and Quantity: A Landscape Approach. Biogeochemistry 1990, 10, 105–141. [Google Scholar] [CrossRef]
- Hogan, D.M.; Jordan, T.E.; Walbridge, M.R. Phosphorus Retention and Soil Organic Carbon in Restored and Natural Freshwater Wetlands. Wetlands 2004, 24, 573–585. [Google Scholar] [CrossRef]
- Peters, D.P.; Bestelmeyer, B.T.; Turner, M.G. Cross-Scale Interactions and Changing Pattern–Process Relationships: Consequences for System Dynamics. Ecosystems 2007, 10, 790–796. [Google Scholar] [CrossRef]
- Zheng, Y.; Zhang, G.; Wu, Y.; Xu, Y.J.; Dai, C. Dam Effects on Downstream Riparian Wetlands: The Nenjiang River, Northeast China. Water 2019, 11, 2038. [Google Scholar] [CrossRef]
- Soranno, P.A.; Cheruvelil, K.S.; Webster, K.E.; Bremigan, M.T.; Wagner, T.; Stow, C.A. Using Landscape Limnology to Classify Freshwater Ecosystems for Multi-Ecosystem Management and Conservation. Bioscience 2010, 60, 440–454. [Google Scholar] [CrossRef]
- Soranno, P.A.; Cheruvelil, K.S.; Bissell, E.G.; Bremigan, M.T.; Downing, J.A.; Fergus, C.E.; Filstrup, C.T.; Henry, E.N.; Lottig, N.R.; Stanley, E.H. Cross-Scale Interactions: Quantifying Multi-Scaled Cause–Effect Relationships in Macrosystems. Front. Ecol. Environ. 2014, 12, 65–73. [Google Scholar] [CrossRef]
- Liu, B.; Stevenson, R.J. Improving Assessment Accuracy for Lake Biological Condition by Classifying Lakes with Diatom Typology, Varying Metrics and Modeling Multimetric Indices. Sci. Total Environ. 2017, 609, 263–271. [Google Scholar] [CrossRef]








| Interaction | Df | Sum Sq | Mean Sq | F Value | p Value |
|---|---|---|---|---|---|
| Wtrshd_DIST:Wtrshd_Crops | 3 | 7.95 | 2.65 | 11.295 | <0.001 |
| Wtrshd_DIST:Wtrshd_30m_Buffer_Urban | 4 | 7.67 | 1.92 | 8.174 | <0.001 |
| Wtrshd_DIST:Local_Wetland | 4 | 7.67 | 1.92 | 8.171 | <0.001 |
| Wtrshd_DIST:Wtrshd_Urban | 3 | 3.63 | 1.21 | 5.158 | <0.01 |
| Wtrshd_DIST:Wtrshd_30m_Buffer_Urban:Local_30m_Buffer_Wetland | 5 | 2.8 | 0.56 | 2.391 | <0.05 |
| Wtrshd_DIST:Wtrshd_30m_Buffer_Urban:Local_Wetland | 8 | 3.97 | 0.5 | 2.117 | <0.05 |
| Wtrshd_DIST:Wtrshd_30m_Buffer_Urban:Wtrshd_Urban | 3 | 5.01 | 1.67 | 7.124 | <0.001 |
| Wtrshd_DIST:Wtrshd_Crops:Local_Crops | 3 | 1.94 | 0.65 | 2.757 | <0.05 |
| Wtrshd_DIST:Wtrshd_Crops:Wtrshd_Wetland | 6 | 3.39 | 0.57 | 2.41 | <0.05 |
| Wtrshd_DIST:Local_Wetland:Wtrshd_Urban:Wtrshd_Wetland | 3 | 2.31 | 0.77 | 3.287 | <0.05 |
| Wtrshd_30m_Buffer_Urban:Local_Wetland | 4 | 4.61 | 1.15 | 4.912 | <0.001 |
| Wtrshd_30m_Buffer_Urban:Wtrshd_30m_Buffer_Wetland | 4 | 3.79 | 0.95 | 4.035 | <0.01 |
| Wtrshd_30m_Buffer_Urban:Wtrshd_Urban | 4 | 9.56 | 2.39 | 10.189 | <0.001 |
| Wtrshd_30m_Buffer_Urban:Wtrshd_Wetland | 4 | 4.25 | 1.06 | 4.531 | <0.01 |
| Wtrshd_30m_Buffer_Urban:Local_Crops:Local_30m_Buffer_Wetland | 8 | 4.04 | 0.51 | 2.155 | <0.05 |
| Wtrshd_30m_Buffer_Urban:Wtrshd_Urban:Wtrshd_30m_Buffer_Wetland | 4 | 2.98 | 0.74 | 3.175 | <0.05 |
| Wtrshd_30m_Buffer_Urban:Wtrshd_Urban:Wtrshd_Wetland | 4 | 2.79 | 0.7 | 2.974 | <0.05 |
| Wtrshd_30m_Buffer_Urban:Wtrshd_Wetland:Wtrshd_30m_Buffer_Wetland | 4 | 2.7 | 0.67 | 2.873 | <0.05 |
| Wtrshd_30m_Buffer_Urban:Local_Wetland:Wtrshd_Urban:Local_Crops | 2 | 2 | 1 | 4.27 | <0.05 |
| Wtrshd_30m_Buffer_Urban:Local_Wetland:Wtrshd_Wetland:Wtrshd_30m_Buffer_Wetland | 2 | 1.85 | 0.92 | 3.937 | <0.05 |
| Wtrshd_30m_Buffer_Urban:Wtrshd_Wetland:Local_Crops:Wtrshd_30m_Buffer_Wetland | 1 | 1.03 | 1.03 | 4.392 | <0.05 |
| Wtrshd_Crops:Local_30m_Buffer_Wetland | 4 | 2.35 | 0.59 | 2.501 | <0.05 |
| Wtrshd_Crops:Local_Wetland | 4 | 6.49 | 1.62 | 6.916 | <0.001 |
| Wtrshd_Crops:Wtrshd_30m_Buffer_Urban | 4 | 3.5 | 0.88 | 3.732 | <0.01 |
| Wtrshd_Crops:Wtrshd_30m_Buffer_Wetland | 4 | 4.06 | 1.02 | 4.333 | <0.01 |
| Wtrshd_Crops:Wtrshd_Wetland | 4 | 3.87 | 0.97 | 4.13 | <0.01 |
| Wtrshd_Crops:Local_Wetland:Local_Crops | 6 | 3.76 | 0.63 | 2.671 | <0.05 |
| Wtrshd_Crops:Wtrshd_Urban:Wtrshd_Wetland | 5 | 3.46 | 0.69 | 2.949 | <0.05 |
| Wtrshd_Crops:Wtrshd_Wetland:Local_30m_Buffer_Wetland | 6 | 3.32 | 0.55 | 2.363 | <0.05 |
| Wtrshd_Crops:Wtrshd_30m_Buffer_Urban:Local_Wetland:Wtrshd_Wetland | 2 | 1.61 | 0.8 | 3.422 | <0.05 |
| Wtrshd_Urban:Local_Crops | 4 | 2.87 | 0.72 | 3.061 | <0.05 |
| Wtrshd_Wetland:Local_30m_Buffer_Wetland | 4 | 2.79 | 0.7 | 2.971 | <0.05 |
| Wtrshd_Wetland:Wtrshd_30m_Buffer_Wetland | 3 | 3.85 | 1.28 | 5.475 | <0.001 |
| Local_Wetland:Local_Crops | 4 | 5.19 | 1.3 | 5.53 | <0.001 |
| Local_Wetland:Wtrshd_Urban | 4 | 2.52 | 0.63 | 2.685 | <0.05 |
| Local_Wetland:Wtrshd_Urban:Wtrshd_30m_Buffer_Wetland | 4 | 2.27 | 0.57 | 2.415 | <0.05 |
Disclaimer/Publisher’s Note: The statements, opinions and data contained in all publications are solely those of the individual author(s) and contributor(s) and not of MDPI and/or the editor(s). MDPI and/or the editor(s) disclaim responsibility for any injury to people or property resulting from any ideas, methods, instructions or products referred to in the content. |
© 2025 by the authors. Licensee MDPI, Basel, Switzerland. This article is an open access article distributed under the terms and conditions of the Creative Commons Attribution (CC BY) license (https://creativecommons.org/licenses/by/4.0/).
Share and Cite
Li, H.; Yan, X.; Zhang, X.; Liu, B. Evaluating the Ability of Wetlands to Remove Nutrients from Streams and Rivers Across the Conterminous United States by Diatom-Inferred Total Phosphorus. Water 2025, 17, 2865. https://doi.org/10.3390/w17192865
Li H, Yan X, Zhang X, Liu B. Evaluating the Ability of Wetlands to Remove Nutrients from Streams and Rivers Across the Conterminous United States by Diatom-Inferred Total Phosphorus. Water. 2025; 17(19):2865. https://doi.org/10.3390/w17192865
Chicago/Turabian StyleLi, Haobo, Xiaomeng Yan, Xuerong Zhang, and Bo Liu. 2025. "Evaluating the Ability of Wetlands to Remove Nutrients from Streams and Rivers Across the Conterminous United States by Diatom-Inferred Total Phosphorus" Water 17, no. 19: 2865. https://doi.org/10.3390/w17192865
APA StyleLi, H., Yan, X., Zhang, X., & Liu, B. (2025). Evaluating the Ability of Wetlands to Remove Nutrients from Streams and Rivers Across the Conterminous United States by Diatom-Inferred Total Phosphorus. Water, 17(19), 2865. https://doi.org/10.3390/w17192865

